Characterizing Forest Fuel Properties and Potential Wildfire Dynamics in Xiuwu, Henan, China
Abstract
:1. Introduction
2. Models and Methods
2.1. Regional Overview
2.1.1. Overview of the Study Area
2.1.2. Overview of Sampling Sites
2.2. Research Framework
2.3. Research Methods
2.3.1. Sample Plot Setup and Sampling Method
- Collection of Type I (shrub) samples: For each of the four shrub plots, three standardized shrubs were selected. From each shrub, a 10–20% mixture of stems, branches, and leaves of equal mass proportions was obtained. Within a standard plot, samples from the four plots were mixed separately according to the shrub species. The mixed sample should not be less than 500 g.
- Collection of Type Ⅱ (herbaceous) samples: all parts of herbaceous plants of all samples in the standard site were fully mixed, and about 300 g of fresh herbaceous plants were taken after mixing.
- Sample sampling of Ⅲ (humus): the harvesting method [20] was used to harvest the humus within each sample plot, and non-humus such as gravel, dirt, and obvious roots in the humus were removed, after which the samples were mixed to take about 300 g.
- Sample sampling for IV, V, VI (litter): We investigated the thickness of the litter, collected all litter in the quadrat, and divided it into 1 h (twigs with d < 0.64 cm), 10 h (0.64 cm ≤ d < 2.54 cm), 100 h (twigs with 2.54 cm ≤ d < 7.62 cm), and another three types. The whole harvest mixed sampling was carried out, and each type took about 300 g. Taking the sample back to the laboratory, we determined its dry-to-fresh ratio, ignition point, and calorific value.
2.3.2. Determination and Calculation Methods for Samples
- Determination of the Dry-to-Fresh Ratio
- 2.
- Ignition Point and Calorific Value
- 3.
- The combustible material load refers to the absolute dry mass of all combustible materials per unit area. The formula for calculating the combustible material load is as follows (Equation (2)):
- 4.
- The fuel bed thickness
- 5.
- Forest fire resistance:
2.3.3. Classification Method for Combustible Material Types
2.3.4. Simulation of Potential Fire Behavior
2.3.5. Data Processing and Analysis
3. Results and Analysis
3.1. Characteristics of Combustibles
3.1.1. Dry-to-Fresh Ratio Characteristics of Combustible Materials in Plots
- For combustible Type I (shrubs), the ratio ranges from 53% to 92%.
- For Type II (herbaceous), it varies between 26% and 80%.
- For Type III (humus), the ratio lies between 52% and 94%.
- Type IV (litter with diameter < 0.6 cm) exhibits a ratio ranging from 50% to 94%.
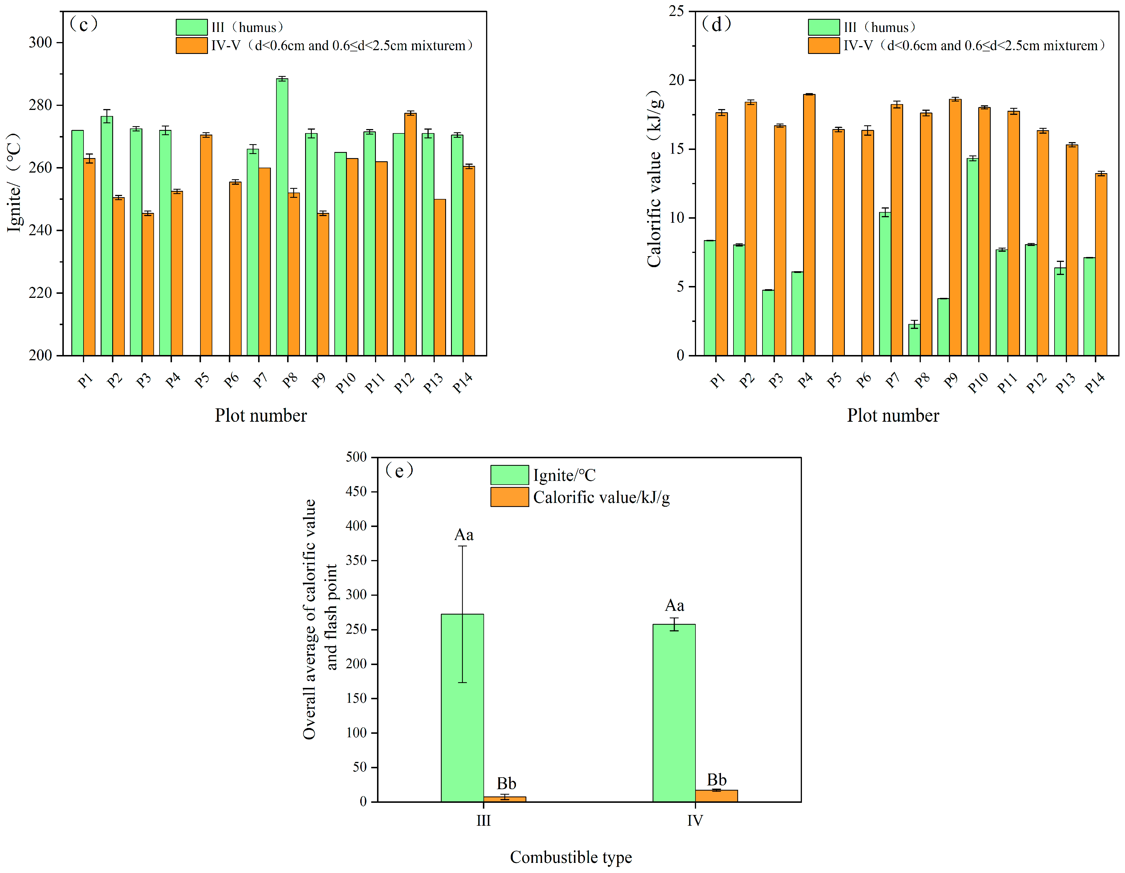
3.1.2. Ignition Point and Calorific Value Characteristics of Combustibles


3.1.3. Analysis of Correlation in Combustible Material Characteristics
3.1.4. Fire Resistance Evaluation of Forest Stands in Plots
3.2. Potential Fire Behavior of Combustible Materials
3.2.1. Classification of Combustible Material Types
3.2.2. Simulation Analysis of Surface Fire Behavior for Different Types of Combustible Materials
- Rate of Spread
- 2.
- Fireline Intensity
- 3.
- Flame Length
3.2.3. Sensitivity Analysis
3.2.4. Classification of Fire Behavior
4. Recommendations and Conclusions
4.1. Conclusions
4.2. Recommendations
Author Contributions
Funding
Data Availability Statement
Acknowledgments
Conflicts of Interest
References
- Joshi, A.K.; Joshi, P.K. Forest ecosystem services in the central Himalaya: Local benefits and global relevance. Proc. Natl. Acad. Sci. India Sect. B Biol. Sci. 2019, 89, 785–792. [Google Scholar] [CrossRef]
- Jiang, C. Temporal and Spatial Characteristics Analysis of Forest Fires in China from 2000 to 2018. World J. For. 2022, 11, 80–89. [Google Scholar] [CrossRef]
- Stephens, S.L.; Collins, B.M.; Fettig, C.J.; Finney, M.A.; Hoffma, C.M.; Knapp, E.E.; North, M.P.; Safford, H.; Wayman, R.B. Drought, tree mortality, and wildfire in forests adapted to frequent fire. BioScience 2018, 68, 77–88. [Google Scholar] [CrossRef]
- Schmidt, D.A.; Taylor, A.H.; Skinner, C.N. The influence of fuels treatment and landscape arrangement on simulated fire behavior, Southern Cascade range, California. For. Ecol. Manag. 2008, 255, 3170–3184. [Google Scholar] [CrossRef]
- Cruz, M.G.; Gould, J.S.; Hollis, J.J.; McCaw, W.L. A hierarchical classification of wildland fire fuels for Australian vegetation types. Fire 2018, 1, 13. [Google Scholar] [CrossRef]
- Curt, T.; Borgniet, L.; Bouillon, C. Wildfire frequency varies with the size and shape of fuel types in southeastern France: Implications for environmental management. J. Environ. Manag. 2013, 117, 150–161. [Google Scholar] [CrossRef]
- Sandberg, D.V.; Riccardi, C.L.; Schaaf, M.D. Fire potential rating for wildland fuelbeds using the Fuel Characteristic Classification System. Can. J. For. Res. 2007, 37, 2456–2463. [Google Scholar] [CrossRef]
- Fares, S.; Bajocco, S.; Salvati, L.; Camarretta, N.; Dupuy, J.L.; Xanthopoulos, G.; Guijarro, M.; Madrigal, J.; Hernando, C.; Corona, P. Characterizing potential wildland fire fuel in live vegetation in the Mediterranean region. Ann. For. Sci. 2017, 74, 1. [Google Scholar] [CrossRef]
- Palaiologou, P.; Kalabokidis, K.; Ager, A.A.; Day, M.A. Development of comprehensive fuel management strategies for reducing wildfire risk in Greece. Forests 2020, 11, 789. [Google Scholar] [CrossRef]
- Heisig, J.; Olson, E.; Pebesma, E. Predicting wildfire fuels and hazard in a central European temperate Forest using active and passive remote sensing. Fire 2022, 5, 29. [Google Scholar] [CrossRef]
- Zigner, K.; Carvalho, L.; Peterson, S.; Fujioka, F.; Duine, G.J.; Jones, C.; Roberts, D.; Moritz, M. Evaluating the ability of FARSITE to simulate wildfires influenced by extreme, downslope winds in Santa Barbara, California. Fire 2020, 3, 29. [Google Scholar] [CrossRef]
- Finney, M.A. Design of regular landscape fuel treatment patterns for modifying fire growth and behavior. For. Sci. 2001, 47, 219–228. [Google Scholar] [CrossRef]
- Andrews, P.L. BehavePlus fire modeling system: Past, present, and future. In Proceedings of the 7th Symposium on Fire and Forest Meteorology, Bar Harbor, ME, USA, 23–25 October 2007; American Meteorological Society: Boston, MA, USA, 2007; pp. 23–25. [Google Scholar]
- Hahn, G.E.; Coates, T.A.; Aust, W.M.; Michael, B.M.; Thomas-Van Gundy, M.A. Long-term impacts of silvicultural treatments on wildland fuels and modeled fire behavior in the Ridge and Valley Province, Virginia (USA). For. Ecol. Manag. 2021, 496, 119–475. [Google Scholar] [CrossRef]
- Zheng, H.; Hu, H. Study of combustible types in the eastern mountains of Northeast China. J. Wildland Fire. Sci. 1990, 4, 10–13. [Google Scholar]
- Yuan, C.; Wen, D. Current status and prospect of the study on classisification and modeling of forest fuel. World. For. Rse. 2001, 14, 29–34. [Google Scholar] [CrossRef]
- Tian, C.; Dai, X.; Wang, M.; Shu, L.; Gao, C. Study on the fuel types classification of forests in Beijing. Sci. Silv. Sin. 2006, 42, 76–80. [Google Scholar]
- Wang, S.; Zhang, H.; Feng, Z.; Wang, Y.; Su, J.; Gao, K.; Li, J. Dispersal limitation dominates the spatial distribution of forest fuel loads in Chongqing, China. Ecosyst. Health Sustain. 2023, 9, 0079. [Google Scholar] [CrossRef]
- Wu, Q.; Wu, Z.; Liu, S.; Li, S.; Xie, G. Classification of forest fuels and prediction of fire behavior in southern Jiangxi. Chin. J. Ecol. 2023, 1–15. [Google Scholar]
- Yang, X.; Sun, Z.; Chai, Z.; Qiu, Y.; Jiang, C. Research on the plot survey and load estimationof national forest fuels. For. Res. Manag. 2022, 1–6. [Google Scholar] [CrossRef]
- Zhu, Y.; Tian, D.; Yan, F. Effectiveness of entropy weight method in decision-making. Math. Probl. Eng. 2020, 2020, 3564835. [Google Scholar] [CrossRef]
- Belcher, C.M.; Hudspith, V.A. Changes to Cretaceous surface fire behaviour influenced the spread of the early angiosperms. New Phytol. 2017, 213, 1521–1532. [Google Scholar] [CrossRef]
- Yang, J.; Guo, K.; Dai, Y.; Tian, S.; Wang, W.; Jiang, Z.; Dai, Z. Spatial layout siting method for fire stations based on comprehensive forest fire risk distribution. Case. Stud. Therm. Eng. 2023, 49, 103243. [Google Scholar] [CrossRef]
- Anderson, M.J.; Ellingsen, K.E.; McArdle, B.H. Multivariate dispersion as a measure of beta diversity. Ecol. Lett. 2006, 9, 683–693. [Google Scholar] [CrossRef]
- Murtagh, F.; Legendre, P. Ward’s hierarchical agglomerative clustering method: Which algorithms implement ward’s criterion. J. Classif. 2014, 31, 274–295. [Google Scholar] [CrossRef]
- Chávez-Durán, Á.A.; Olvera-Vargas, M.; Figueroa-Rangel, B.; García, M.; Aguado, I.; Ruiz-Corral, J.A. Mapping homogeneous response areas for forest fuel management using geospatial data, k-means, and random forest classification. Forests 2022, 13, 1970. [Google Scholar] [CrossRef]
- Andrews, P.L. Current status and future needs of the BehavePlus Fire Modeling System. Int. J. Wildland Fire 2013, 23, 21–33. [Google Scholar] [CrossRef]
- Glitzenstein, J.S.; Streng, D.R.; Achtemeier, G.L.; Naeher, L.P.; Wade, D.D. Fuels and fire behavior in chipped and unchipped plots: Implications for land management near the wildland/urban interface. For. Ecol. Manag. 2006, 236, 18–29. [Google Scholar] [CrossRef]
- Ellsworth, L.M.; Litton, C.M.; Leary, J.J.K. Restoration impacts on fuels and fire potential in a dryland tropical ecosystem dominated by the invasive grass Megathyrsus maximus. Restor. Ecol. 2015, 23, 955–963. [Google Scholar] [CrossRef]
- Sow, M.; Hély, C.; Mbow, C.; Sambou, B. Fuel and fire behavior analysis for early-season prescribed fire planning in Sudanian and Sahelian savannas. J. Arid Environ. 2013, 89, 84–93. [Google Scholar] [CrossRef]
- Pacheco, M.; Oliveira, A.; Fernandes, P.; Silva, J. Effect of Fuel Management and Forest Composition on Fire Behavior. Environ. Sci. Proc. 2022, 17, 46. [Google Scholar] [CrossRef]
- Li, B.; Liu, G.; Shu, L. Simulation study on surface fire behavior of main forest types in Mentougou District, Beijing. J. Beijing For. Univ. 2022, 44, 96–105. [Google Scholar] [CrossRef]
- Frost, S.M.; Alexander, M.E.; Jenkins, M.J. The application of fire behavior modeling to fuel treatment assessments at Army Garrison Camp Williams, Utah. Fire 2022, 5, 78. [Google Scholar] [CrossRef]
- Ouarmim, S.; Paradis, L.; Asselin, H.; Bergeron, Y.; Ali, A.; Hély, C. Burning potential of fire refuges in the boreal mixedwood forest. Forests 2016, 7, 246. [Google Scholar] [CrossRef]
- Athanasiou, M.; Martinis, A.; Korakaki, E.; Avramidou, E.V. Development of a Fuel Model for Cistus spp. and Testing Its Fire Behavior Prediction Performance. Fire 2023, 6, 247. [Google Scholar] [CrossRef]
- Paritsis, J.; Landesmann, J.B.; Kitzberger, T.; Tiribelli, F.; Sasal, Y.; Quintero, C.; Dimarco, R.D.; Barrios-García, M.N.; Lglesias, A.l.; Diez, J.P.; et al. Pine plantations and invasion alter fuel structure and potential fire behavior in a Patagonian forest-steppe ecotone. Forests 2018, 9, 117. [Google Scholar] [CrossRef]
- Matthews, S.; Gould, J.; McCaw, L. Simple models for predicting dead fuel moisture in eucalyptus forests. Int. J. Wildland Fire 2010, 19, 459–467. [Google Scholar] [CrossRef]
- Yin, H.; Jin, H.; Zhao, Y.; Fan, Y.; Qin, L.; Chen, Q.; Huang, L.; Jia, X.; Liu, L.; Dai, Y.; et al. The simulation of surface fire spread based on Rothermel model in windthrow area of Changbai Mountain (Jilin, China). AIP Conf. Proc. 2018, 1944, 020021. [Google Scholar] [CrossRef]
- Ruecker, G.; Leimbach, D.; Tiemann, J. Estimation of Byram’s Fire Intensity and Rate of Spread from Spaceborne Remote Sensing Data in a Savanna Landscape. Fire 2021, 4, 65. [Google Scholar] [CrossRef]
- Weise, D.R.; Fletcher, T.H.; Cole, W.; Mahalingam, S.; Zhou, X.; Sun, L.; Li, J. Fire behavior in chaparral—Evaluating flame models with laboratory data. Combust. Flame 2018, 191, 500–512. [Google Scholar] [CrossRef]
- Sauder, D.C.; DeMars, C.E. An updated recommendation for multiple comparisons. Adv. Methods Pract. Psychol. Sci. 2019, 2, 26–44. [Google Scholar] [CrossRef]
- Li, S.; Zhang, Z.; Zheng, J.; Hou, G.; Liu, H.; Cui, X. Evaluation of Litter Flammability from Dominated Artificial Forests in Southwestern China. Forests 2023, 14, 1229. [Google Scholar] [CrossRef]
- Ali, A. Forest stand structure and functioning: Current knowledge and future challenges. Ecol. Indic. 2019, 98, 665–677. [Google Scholar] [CrossRef]
- Eftekharian, E.; Ghodrat, M.; He, Y.; Ong, R.H.; Kwok, K.C.S.; Zhao, M.; Samali, B. Investigation of terrain slope effects on wind enhancement by a line source fire. Case Stud. Therm. Eng. 2019, 14, 100467. [Google Scholar] [CrossRef]
- Edalati-Nejad, A.; Ghodrat, M.; Simeoni, A. Numerical investigation of the effect of sloped terrain on wind-driven surface fire and its impact on idealized structures. Fire 2021, 4, 94. [Google Scholar] [CrossRef]
- Cruz, M.G.; Alexander, M.E. The 10% wind speed rule of thumb for estimating a wildfire’s forward rate of spread in forests and shrublands. Ann. For. Sci. 2019, 76, 44. [Google Scholar] [CrossRef]
- Wang, Q.; Xiao, H.; Li, S.; Ruan, D.; Liu, S. Study on potential fire behaviors of xishan national forest park in kunming using behavePlus model. J. Zhejiang For. Sci. Technol. 2013, 33, 43–48. [Google Scholar]
- Zhang, Y.; Xiang, D.; Kong, L.; Gao, Y.; Ma, A. Research on the distribution of combustible materials and potential fire behavior in southwest Sichuan forests. J. Nat. Disasters 2023, 32, 108–116. [Google Scholar] [CrossRef]
- Phelps, N.; Beverly, J.L. Classification of forest fuels in selected fire-prone ecosystems of Alberta, Canada—Implications for crown fire behaviour prediction and fuel management. Ann. For. Sci. 2022, 79, 40. [Google Scholar] [CrossRef]
- Thomas, J.C.; Mueller, E.V.; Gallagher, M.R.; Clark, K.L.; Skowronski, N.; Simeoni, A.; Hadden, R.M. Coupled assessment of fire behavior and firebrand dynamics. Front. Mech. Eng 2021, 7, 650580. [Google Scholar] [CrossRef]
- Castillo, M.E.; Molina, J.R.; Silva, F.R.Y.; García-Chevesich, P.; Garfias, R. A system to evaluate fire impacts from simulated fire behavior in Mediterranean areas of Central Chile. Sci. Total. Environ. 2017, 579, 1410–1418. [Google Scholar] [CrossRef]
- Airey-Lauvaux, C.; Pierce, A.D.; Skinner, C.N.; Taylor, A.H. Changes in fire behavior caused by fire exclusion and fuel build-up vary with topography in California montane forests, USA. J. Environ. Manag. 2022, 304, 114255. [Google Scholar] [CrossRef]










| Plot Number | Dominant Tree Species | Age Group | Canopy Closure | Average Tree Height (m) | Average DBH (cm) (P1–P6)/Average Ground Diameter (cm) (P7–P14) | Soil Type | Altitude (m) | Slope-Aspect-Slope |
|---|---|---|---|---|---|---|---|---|
| P1 | Quercus | Young forest | 0.9 | 10.75 | 20.5 | brown soil | 468 | Fast-East-Downhill |
| P2 | Quercus | Young forest | 0.58 | 3.86 | 8 | yellow brown soil | 1124 | Slow-Southeast-Uphill |
| P3 | Paulownia | Young forest | 0.5 | 12.3 | 24.7 | yellow soil | 0 | Flat-no aspect-flat |
| P4 | Paulownia | Young forest | 0.55 | 8 | 12.5 | yellow soil | 563 | Urgent-Southeast-Downhill |
| P5 | Poplar | Young forest | 0.55 | 17.68 | 17.5 | yellow cinnamon | 88 | Flat-no aspect-flat |
| P6 | Poplar | Young forest | 0.55 | 9.4 | 16.3 | yellow soil | 81 | Flat-no aspect-flat |
| P7 | Vitex | Middle-aged forest | 0.59 | 2.1 | 1.7 | yellow soil | 452 | Slow-Northeast-Downhill |
| P8 | Vitex | Young forest | 0.75 | 2.2 | 1.13 | yellow cinnamon | 468 | Steep-Southwest Downhill |
| P9 | Vitex | Young forest | 0.55 | 0.8 | 0.4 | yellow brown soil | 280 | Oblique-Southeast-Uphill |
| P10 | Sumac | Young forest | 0.58 | 1.6 | 1.43 | Sandy soil | 505 | Flat-northwest-uphill |
| P11 | Sumac | Young forest | 0.58 | 2 | 1.73 | Sandy soil | 426 | Urgent-Northwest-Uphill |
| P12 | Sumac | Middle-aged forest | 0.85 | 1.7 | 1.23 | yellow cinnamon | 806 | Slow-Southeast-Uphill |
| P13 | Vitex | Young forest | 0.5 | 2.35 | 1.8 | yellow cinnamon | 403 | Slow-Northeast-Uphill |
| P14 | Sumac | Young forest | 0.5 | 0.7 | 0.67 | Sandy soil | 375 | Slow-Northeast-Uphill |
| Combustibles | Combustible Humidity Scenario | ||
|---|---|---|---|
| Low | Middle | High | |
| 1 h time lag combustibles | 3 | 6 | 9 |
| 10 h time lag combustibles | 4 | 7 | 10 |
| 100 h time lag combustibles | 5 | 8 | 11 |
| Live herbal combustibles | 30 | 60 | 90 |
| Living wood combustibles | 60 | 90 | 120 |
| Plot Number | Fresh-to-Dry Ratio/% | Ignite/℃ | Calorific Value/(kJ/g) | Final Score | ||||||
|---|---|---|---|---|---|---|---|---|---|---|
| Ⅰ | Ⅱ | Ⅲ | Ⅳ | Ⅴ | Ⅲ | Ⅳ | Ⅲ | Ⅵ | ||
| P1 | 0.024 | 0.123 | 0.049 | 0.068 | 0.047 | 0.051 | 0.020 | 0.060 | 0.026 | 0.468 |
| P2 | 0.030 | 0.017 | 0.086 | 0.000 | 0.047 | 0.052 | 0.021 | 0.017 | 0.011 | 0.281 |
| P3 | 0.013 | 0.123 | 0.029 | 0.032 | 0.003 | 0.052 | 0.032 | 0.000 | 0.044 | 0.328 |
| P4 | 0.016 | 0.023 | 0.058 | 0.021 | 0.047 | 0.051 | 0.028 | 0.024 | 0.000 | 0.268 |
| P5 | 0.136 | 0.123 | 0.193 | 0.068 | 0.047 | 0.000 | 0.049 | 0.085 | 0.049 | 0.750 |
| P6 | 0.058 | 0.083 | 0.193 | 0.178 | 0.047 | 0.000 | 0.049 | 0.034 | 0.050 | 0.692 |
| P7 | 0.025 | 0.044 | 0.072 | 0.063 | 0.047 | 0.050 | 0.013 | 0.050 | 0.014 | 0.378 |
| P8 | 0.021 | 0.123 | 0.000 | 0.004 | 0.047 | 0.055 | 0.041 | 0.022 | 0.026 | 0.338 |
| P9 | 0.000 | 0.123 | 0.002 | 0.032 | 0.000 | 0.051 | 0.034 | 0.000 | 0.007 | 0.249 |
| P10 | 0.021 | 0.032 | 0.062 | 0.074 | 0.047 | 0.050 | 0.000 | 0.060 | 0.018 | 0.364 |
| P11 | 0.021 | 0.018 | 0.019 | 0.083 | 0.047 | 0.051 | 0.022 | 0.056 | 0.024 | 0.342 |
| P12 | 0.025 | 0.014 | 0.006 | 0.006 | 0.047 | 0.051 | 0.021 | 0.109 | 0.051 | 0.330 |
| P13 | 0.019 | 0.000 | 0.014 | 0.006 | 0.047 | 0.051 | 0.027 | 0.015 | 0.070 | 0.250 |
| P14 | 0.015 | 0.020 | 0.008 | 0.004 | 0.047 | 0.051 | 0.024 | 0.051 | 0.110 | 0.331 |
| Canopy Closure | Stand Density | Average Chest Diameter | Herbal Load | Average Tree Height | Arbor Load | Shrub Load | 1 h Time Lag Load | Humus Load | |
|---|---|---|---|---|---|---|---|---|---|
| H (K) | 3.4929 | 10.4810 | 11.9838 | 2.8502 | 9.7190 | 12.2466 | 2.2667 | 10.3905 | 2.7787 |
| asymptotically significant | 0.4790 | 0.0331 * | 0.0175 * | 0.5832 | 0.0454 * | 0.0156 * | 0.6868 | 0.0343 * | 0.5955 |
| Model | Spread Rate | Fireline Intensity | Flame Length | ||||||
|---|---|---|---|---|---|---|---|---|---|
| MSE | RMSE | R2 | MSE | RMSE | R2 | MSE | RMSE | R2 | |
| Q-1 | 0.1111 | 0.3333 | 0.9995 | 2872.3203 | 53.594 | 0.9995 | 0.0052 | 0.0719 | 0.9968 |
| Q-2 | 0.0007 | 0.0256 | 0.9995 | 7.4924 | 2.7372 | 0.9995 | 0.0002 | 0.015 | 0.9973 |
| G-1 | 0.1308 | 0.3616 | 0.9835 | 302.9413 | 17.4052 | 0.9835 | 0.0006 | 0.024 | 0.9946 |
| G-2 | 0.0558 | 0.2362 | 0.9996 | 700.0769 | 26.459 | 0.9992 | 700.0769 | 26.459 | 0.9992 |
| Grade | Flame Length | Firebrand Intensity | Explanation of Fire Behavior |
|---|---|---|---|
| 1 | <0.8 | <170 | The fire is weak and can be controlled using hand tools |
| 2 | 0.8–1.1 | 170~350 | |
| 3 | 1.1–2.5 | 350~1730 | Stronger fires require specialized mechanical tools for fighting |
| 4 | 2.5–3.5 | 1730~3460 | Strong, hard-to-fight fires, forming crown fires and flying fires |
| 5 | >3.5 | >3460 | The fire was very intense, with crown fires, flying fires and large fires |
| Wind Speed | Slope | Type of Combustible | |||
|---|---|---|---|---|---|
| Q-1 | Q-2 | G-1 | G-2 | ||
| 0 | 0 | 1 | 1 | 1 | 1 |
| 10 | 1 | 1 | 1 | 1 | |
| 20 | 3 | 1 | 1 | 1 | |
| 30 | 3 | 1 | 1 | 2 | |
| 40 | 4 | 1 | 1 | 3 | |
| 2 | 0 | 3 | 1 | 1 | 3 |
| 10 | 3 | 1 | 1 | 3 | |
| 20 | 3 | 1 | 1 | 3 | |
| 30 | 4 | 1 | 1 | 3 | |
| 40 | 4 | 2 | 2 | 3 | |
| 4 | 0 | 4 | 2 | 2 | 3 |
| 10 | 5 | 2 | 2 | 3 | |
| 20 | 5 | 2 | 2 | 3 | |
| 30 | 5 | 2 | 2 | 3 | |
| 40 | 5 | 2 | 3 | 4 | |
| 6 | 0 | 5 | 2 | 3 | 4 |
| 10 | 5 | 2 | 3 | 4 | |
| 20 | 5 | 2 | 3 | 4 | |
| 30 | 5 | 3 | 3 | 4 | |
| 40 | 5 | 3 | 3 | 4 | |
Disclaimer/Publisher’s Note: The statements, opinions and data contained in all publications are solely those of the individual author(s) and contributor(s) and not of MDPI and/or the editor(s). MDPI and/or the editor(s) disclaim responsibility for any injury to people or property resulting from any ideas, methods, instructions or products referred to in the content. |
© 2023 by the authors. Licensee MDPI, Basel, Switzerland. This article is an open access article distributed under the terms and conditions of the Creative Commons Attribution (CC BY) license (https://creativecommons.org/licenses/by/4.0/).
Share and Cite
Shi, Y.; Feng, C.; Zhang, L.; Huang, W.; Wang, X.; Yang, S.; Chen, W.; Xie, W. Characterizing Forest Fuel Properties and Potential Wildfire Dynamics in Xiuwu, Henan, China. Fire 2024, 7, 7. https://doi.org/10.3390/fire7010007
Shi Y, Feng C, Zhang L, Huang W, Wang X, Yang S, Chen W, Xie W. Characterizing Forest Fuel Properties and Potential Wildfire Dynamics in Xiuwu, Henan, China. Fire. 2024; 7(1):7. https://doi.org/10.3390/fire7010007
Chicago/Turabian StyleShi, Yan, Changping Feng, Liwei Zhang, Wen Huang, Xin Wang, Shipeng Yang, Weiwei Chen, and Wenjie Xie. 2024. "Characterizing Forest Fuel Properties and Potential Wildfire Dynamics in Xiuwu, Henan, China" Fire 7, no. 1: 7. https://doi.org/10.3390/fire7010007
APA StyleShi, Y., Feng, C., Zhang, L., Huang, W., Wang, X., Yang, S., Chen, W., & Xie, W. (2024). Characterizing Forest Fuel Properties and Potential Wildfire Dynamics in Xiuwu, Henan, China. Fire, 7(1), 7. https://doi.org/10.3390/fire7010007
