Dropping Fire Retardants by Helicopter and Its Application to Wildfire Prevention near Electrical Transmission Lines
Abstract
1. Introduction
2. Test Program
2.1. Test Combustibles
2.2. Fire Scene Layout and Measurement Scheme
2.3. Fire Extinguishing Schemes
- (1)
- The helicopter carried the bucket fire extinguishing device to spray the flame-retardant water agent on the wood cribs three times at a speed of 20 km/h and at a height of 32 m, as shown in Figure 8;
- (2)
- The wood cribs were allowed to naturally air-dry for 1 h;
- (3)
- A certain amount of water and oil was added to the pilot oil pan to ignite the pilot oil under the wood cribs;
- (4)
- The temperature, radiant heat flux density, and mass loss in the fire field were measured;
- (5)
- A ground water pipe was used to extinguish the remaining fire in the wood crib when the Crib#2 wood crib fire field collapsed.
3. Flame Retardant Test
3.1. Comparative Testing of Flame Retardancy When Different Wood Crib Sizes Were Used
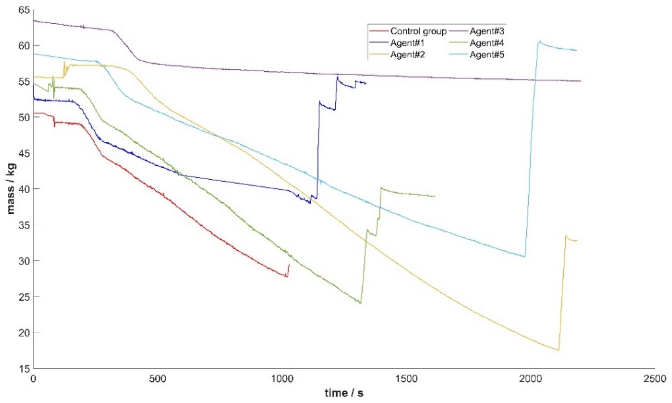
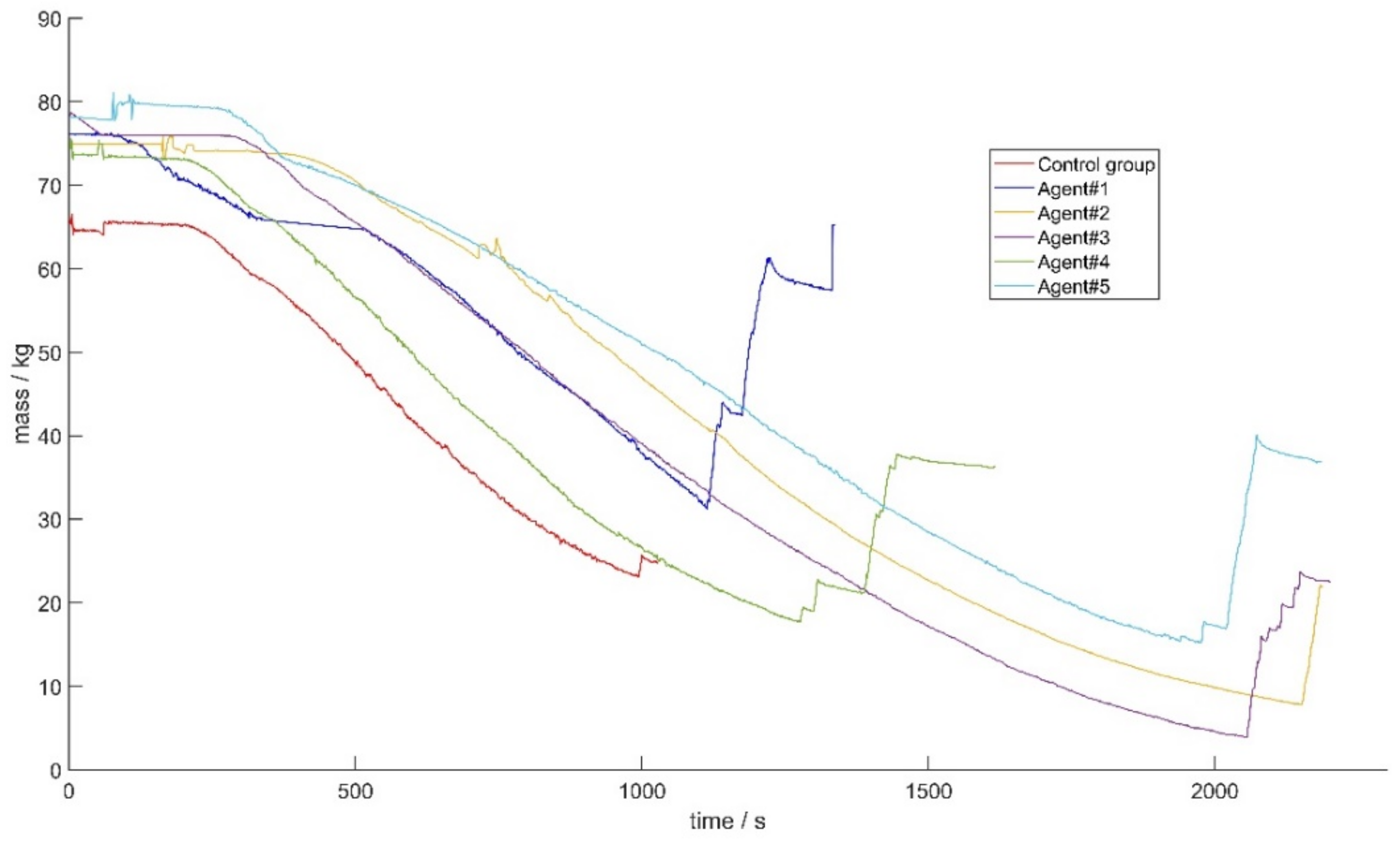
Mass Loss, Radiation Intensity and Temperature of the Wood Crib in the Control Group
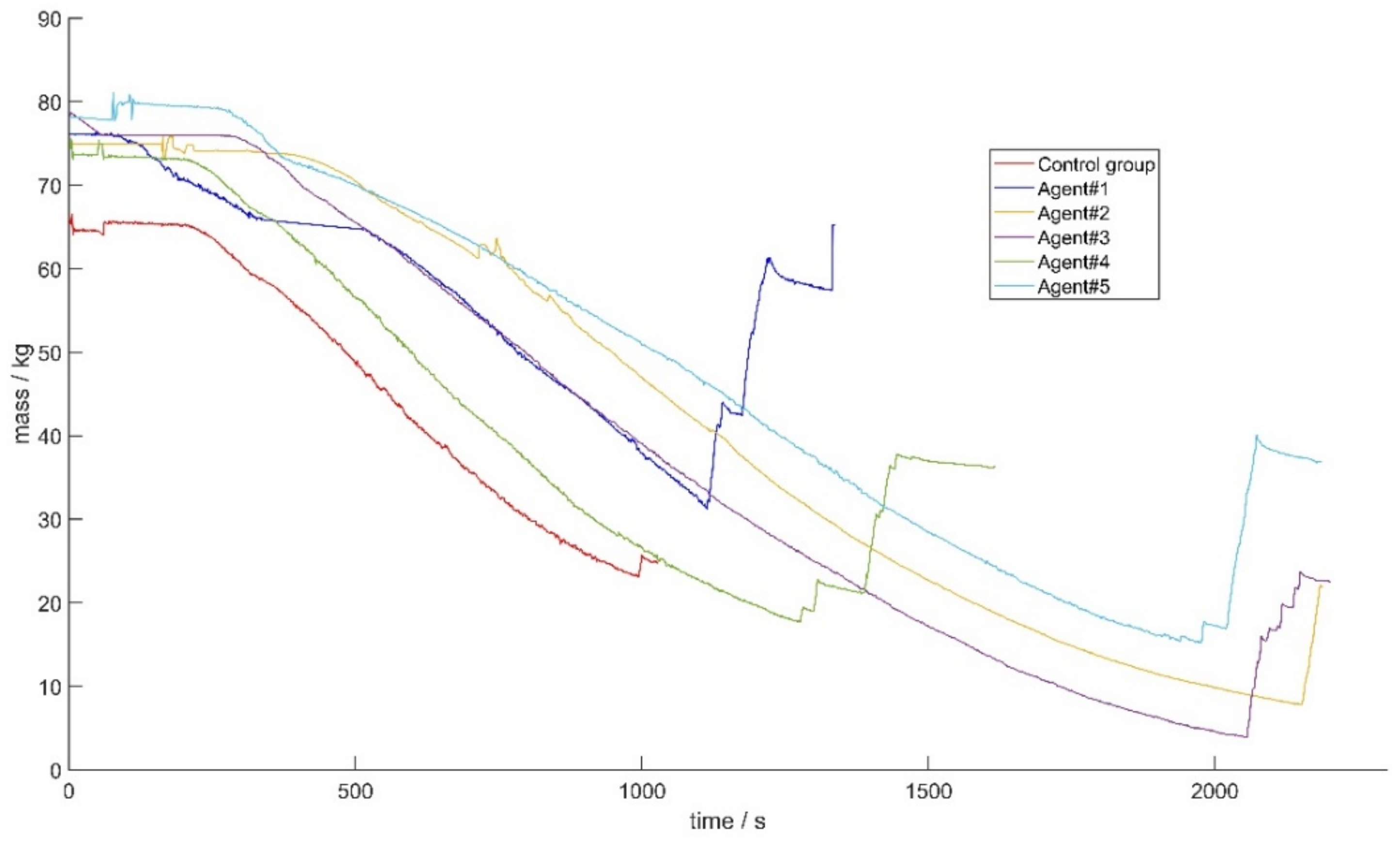
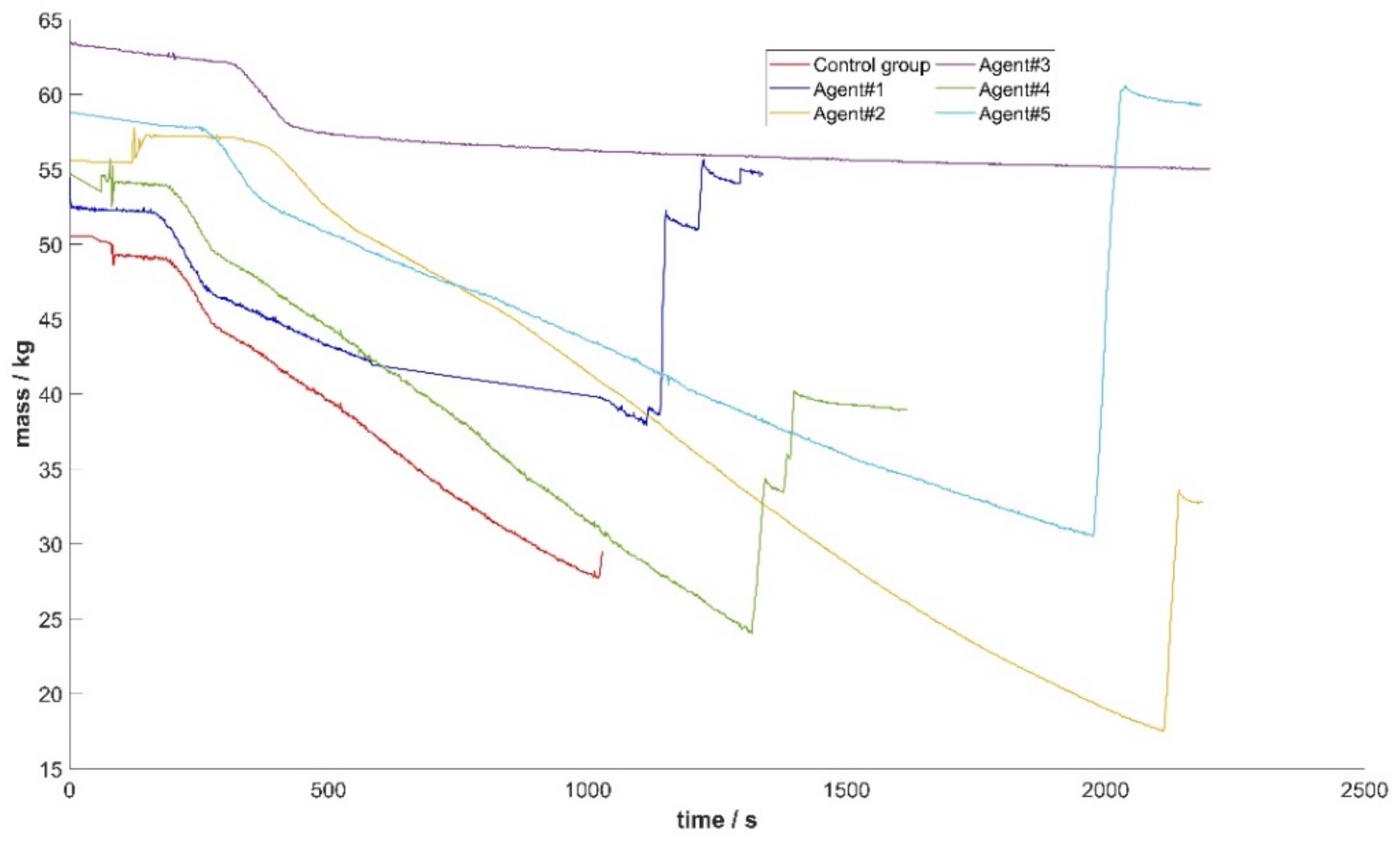
3.2. Tests on Flame-Retardant Water Agents When Sprayed from a Helicopter
3.2.1. Coverage by the Flame-Retardant Water Agent When Sprayed from a Helicopter
3.2.2. Pure Water (Agent#1)
3.2.3. Class AB Flame Retardant (Agent#2)
3.2.4. Gel Flame Retardant (Agent#3)
3.2.5. The 10% Class A Flame Retardant (Agent#4)
3.2.6. The 10% Class A flame Retardant + 0.6% Guar Gum (Agent#5)
4. Discussion and Analysis
- (1)
- Compared with not spraying any flame-retardant water agent, spraying pure water, 10% Class AB flame retardant, 10% Class A flame retardant, or gel flame retardant can reduce the radiation intensity and mass loss due to the wood crib fire to a certain extent, thus prolonging the burning time of the wood crib fire;
- (2)
- With regard to the mass loss index, the flame retardant properties from high to low are as follows: 10% Class A flame retardant + 0.6% guar gum > gel flame retardant > 10% Class A flame retardant > Class AB flame retardant > pure water. In terms of the radiant heat intensity index, the flame retardant properties from high to low are as follows: gel flame retardant ≈ 10% Class A flame retardant + 0.6% guar gum > 10% Class A flame retardant > Class AB flame retardant > pure water. Although the use of a flame-retardant water agent has little effect on retarding and reducing the temperature inside the combustibles, the temperature above the combustibles decreased significantly due to the reduction in fire intensity;
- (3)
- When a wildfire spreads and expands, the water on the surface and inside of the surrounding combustibles will evaporate when the adjacent combustibles burn, thus reducing the effect of flame retardants, especially when the helicopter cannot completely cover the combustible surface. These uncovered surfaces are the weak points that lead to the spread of fires, and in this case, it is often impossible to stop the wildfire by spraying flame-retardant water agents;
- (4)
- The temperature analysis of the thermocouples at 1 m, 1.7 m, and 2.7 m height shows that the temperature at the three heights can be effectively reduced, but the temperature inside the wood crib is not reduced.
- (1)
- Pure water can only moisten the wood crib. The pure water in and on the wooden crib does not have a flame retardant role when it is completely evaporated by the standing and ignition processes. Water volume limitations and the short absorption time mean that the wood crib cannot be completely covered, resulting in a poor flame retardant effect;
- (2)
- Class AB flame retardant has poor wind resistance, which means that its diffusion area is wider than those of Agent#1, Agent#3, and Agent#4. Furthermore, the amount of flame-retardant water agent per unit area is also less. When dropped from the air, the foam covers a wide area and helps limit the spread of the fire. Once dispersed on a fire, the foam absorbs heat from combustion while the bubble structure slowly releases water, which is absorbed by wood fuels. Foam improves the effectiveness of water by (1) helping water soak deeper and more quickly into forest fuels, such as wood, brush, and wood debris; and (2) slowing the evaporation of water held within the foam;
- (3)
- The gel flame-retardant water agent has good water absorption performance and poor fluidity, which means that that the water utilization rate is high. The principle consists of two components: One is that super absorbent particles absorb water (hundreds of times their own weight) in a chemical-physical process called hydration. The stacked and water-filled “bubbles” greatly enhance the thermal protection performance of the flame-retardant water agent. The second one is to prevent the flame-retardant water agent from turning into steam in the superheated air above the wood crib fire and being taken away by the high-temperature smoke plume gas. The adhesive properties of the gel-based Agent#3 slow down the evaporation process, enabling more product to reach the fire source through hot air [32]. These two aspects need to be taken into account when gel flame retardant is sprayed from a helicopter. When the amount of flame-retardant water agent is less than that required for fire retardant (that is, the fire field intensity is large, for example, with the 12-layer wood crib when it is still fully burning after the flame retardant has been applied), the fire retardant performance is poor because the gel-based Agent#3 cannot cover all the burning points. When the amount of flame-retardant water agent is sufficient relative to the fire retardant requirements (that is, the intensity of the fire field is small; for example, a 4-layer wood cribs cannot be ignited after the flame retardant has been applied), a colloid can form on the surface of the wood strip that wraps around it to prevent the combustibles from being ignited. If there is not complete coverage (100%) on all surfaces, then gels are useless as the exposed area can catch fire and burn right through a structure. Therefore, helicopters should spray more gel flame retardants to cover the surface of combustibles as much as possible. A ground coating should be used as far as possible to protect wooden structures and improve helicopter spraying efficiency at reducing the intensity of the fire field;
- (4)
- Class A flame retardant contains large amount of salts. When (NH4)2CO3 decomposes, Class A flame retardant absorbs 48 kJ/mol more heat than pure water and evaporates water to rapidly cool down. It also generates inert gases, such as NH3 and CO2, to isolate oxygen. The phosphoric acid, metaphosphoric acid, and polymetaphosphoric acid produced in the chemical reactions can react with carbonaceous compounds and generate a dense and flame retardant coating over the surface of combustible materials, which can effectively delay the re-ignition time and reduce the fire intensity after re-ignition [33];
- (5)
- Class A flame retardant + guar gum is a mixture of Agent#2 and Agent#3 and has both chemical flame retardant and physical flame retardant effects. It is consistent with the flame retardant principle outlined by Ref. [12] and its flame retardancy is relatively better than single flame retardants.
5. Applications
6. Conclusions
- (1)
- Compared to not spraying any flame-retardant water agent, pure water, Class AB flame retardants, Class A flame retardants, gel flame retardants, etc., can reduce the intensity of a wood crib fire to a certain extent;
- (2)
- The mass loss index results showed that the flame retardancy from high to low was 10% Class A flame retardant + 0.6% guar gum > gel flame retardant > 10% Class A flame retardant > Class AB flame retardant > pure water. The radiant heat intensity index results showed that flame retardancy from high to low was gel flame retardant ≈ 10% Class A flame retardant + 0.6% guar gum > 10% Class A flame retardant > Class AB flame retardant > pure water;
- (3)
- Based on the flame-retardant properties of the different flame retardants tested in this study, they were applied in Loudi, Changde, and other cities in Hunan Province to prevent and control wildfire disasters near transmission lines. They effectively ensured the safe operation of dense power grid channels during the high-incidence period for wildfires in the power grid area and under extreme dry weather conditions;
- (4)
- In this study, only laboratory experiments were carried out; the impact of ladder combustible on the flame-retardant properties has not been studied. This method can be studied more thoroughly in future wildfire experiments.
Author Contributions
Funding
Institutional Review Board Statement
Informed Consent Statement
Data Availability Statement
Acknowledgments
Conflicts of Interest
References
- Jolly, W.M.; Cochrane, M.A.; Freeborn, P.H.; Holden, Z.A.; Brown, T.J.; Williamson, G.J.; Bowman, D.M. Climate-induced variations in global wildfire danger from 1979 to 2013. Nat. Commun. 2015, 6, 7537. [Google Scholar] [CrossRef] [PubMed]
- Halofsky, J.E.; Peterson, D.L.; Harvey, B.J. Changing wildfire, changing forests: The effects of climate change on fire regimes and vegetation in the Pacific Northwest, USA. Fire Ecol. 2020, 16, 1–26. [Google Scholar] [CrossRef]
- Moein, C.; Ansari, B.; Mohagheghi, S. Vulnerability assessment of the power grid against progressing wildfires. Fire Saf. J. 2015, 73, 20–28. [Google Scholar]
- Hamed, M.; AghaKouchak, A. Increasing exposure of energy infrastructure to compound hazards: Cascading wildfires and extreme rainfall. Environ. Res. Lett. 2019, 14, 104018. [Google Scholar]
- Wu, C.; Lu, J.; Chen, B.; Liu, Y.; Zhou, T.; Zhou, T. Control strategy for large-scale fires near power transmission lines and its application. IET Gener. Transm. Distrib. 2021, 15, 704–715. [Google Scholar] [CrossRef]
- Wolff, M. The San Francisco Department of Public Health’s Assessment of the Vulnerability of Hospitals and Care Facilities to Extreme Heat and Wildfire Smoke, and Identification of Best Practices to Prepare for These Impacts. AGU Fall Meet. Abstr. 2019, 2019, GH33A-09. [Google Scholar]
- Lu, J.; Zhou, T.; Wu, C.; Li, B.; Tan, Y.; Zhu, Y. Fault statistics and analysis of 220 kV and above power transmission line in province-level power grid. High Volt. Eng. 2016, 42, 200–207. (In Chinese) [Google Scholar] [CrossRef]
- Kal’avský, P.; Petríček, P.; Kelemen, M.; Rozenberg, R.; Jevčák, J.; Tomaško, R.; Mikula, B. The efficiency of aerial firefighting in varying flying conditions. In Proceedings of the 2019 International Conference on Military Technologies (ICMT), Brno, Czech Republic, 30–31 May 2019. [Google Scholar]
- Plucinski, M.P.; Gould, J.S.; McCarthy, G.; Hollis, J. The Effectiveness and Efficiency of Aerial Firefighting in Australia; Bushfire CRC: Melbourne, Australia, 2007; Available online: http://hdl.handle.net/102.100.100/126629?index=1 (accessed on 10 January 2023).
- Bae, T.-H.; Lee, S.-Y. Study on efficient operation on aerial fire fighting helicopter in forest fire. Fire Sci. Eng. 2015, 29, 45–52. [Google Scholar] [CrossRef]
- Trakas, D.N.; Hatziargyriou, N.D. Optimal distribution system operation for enhancing resilience against wildfires. IEEE Trans. Power Syst. 2017, 33, 2260–2271. [Google Scholar] [CrossRef]
- Zhou, T.; Lu, J.; Wu, C.; Lan, S. Numerical calculation and analysis of water dump distribution out of the belly tanks of firefighting helicopters. Safety 2022, 8, 69. [Google Scholar] [CrossRef]
- Jazebi, S.; De Leon, F.; Nelson, A. Review of wildfire management techniques—Part I: Causes, prevention, detection, suppression, and data analytics. IEEE Trans. Power Deliv. 2019, 35, 430–439. [Google Scholar] [CrossRef]
- Yue, Y.S.; Zou, Y.H.; Huang, F.Y.; Gong, Z.X.; Wang, C. Study on the flashover characteristics of ±500 kV DC transmission lines caused by forest fire under reduced-voltage operation. In Proceedings of the 2017 EPTC Power Transmission and Transformation Technology Conference, Chongqing, China, 15–16 March 2017. [Google Scholar]
- Yu, A.C.; Lopez Hernandez, H.; Kim, A.H.; Stapleton, L.M.; Brand, R.J.; Mellor, E.T.; Bauer, C.P.; McCurdy, G.D.; Wolff, A.J., III; Chan, D.; et al. Wildfire prevention through prophylactic treatment of high-risk landscapes using viscoelastic retardant fluids. Proc. Natl. Acad. Sci. USA 2019, 116, 20820–20827. [Google Scholar] [CrossRef]
- Fiedler, N.C.; Lacerda, G.R.; Ramalho, A.H.C.; Berude, L.C.; Neves, F.P.; Rodrigues, C.K. Firefighting combat with fire retardants at different concentrations. Floresta 2019, 50, 1107–1112. [Google Scholar] [CrossRef]
- Nabipour, H.; Shi, H.; Wang, X.; Hu, X.; Song, L.; Hu, Y. Flame retardant cellulose-based hybrid hydrogels for firefighting and fire prevention. Fire Technol. 2022, 58, 2077–2091. [Google Scholar] [CrossRef]
- Bae, T.-H.; Lee, S.-Y.; Son, J.-H. Study on ground water drop pattern and coverage level by helicopter. Fire Sci. Eng. 2013, 27, 54–61. [Google Scholar] [CrossRef]
- Legendre, D.; Becker, R.; Alméras, E.; Chassagne, A. Air tanker drop patterns. Int. J. Wildland Fire 2013, 23, 272–280. [Google Scholar] [CrossRef]
- Vernol, B.; Downs, M. Development of a navigation/situation display to improve aerial fire fighting safety and efficiency. In Proceedings of the Human Factors and Ergonomics Society Annual Meeting, San Diego, CA, USA, 9–13 October 1995; SAGE Publications: Los Angeles, CA, USA, 1995; Volume 39. [Google Scholar]
- Koufopoulou, S.; Michalopoulos, C.; Tzamtzis, N.; Pappa, A. Impact of a long term fire retardant (Fire Trol 931) on the leaching of Na, Al, Fe, Mn, Cu and Si from a Mediterranean forest soil: A short-term, lab-scale study. Bull. Environ. Contam. Toxicol. 2014, 92, 708–713. [Google Scholar] [CrossRef]
- Crouch, R.L.; Timmenga, H.J.; Barber, T.R.; Fuchsman, P.C. Post-fire surface water quality: Comparison of fire retardant versus wildfire-related effects. Chemosphere 2006, 62, 874–889. [Google Scholar] [CrossRef]
- Paul, M.J.; LeDuc, S.D.; Lassiter, M.G.; Moorhead, L.C.; Noyes, P.D.; Leibowitz, S.G. Wildfire induces changes in receiving waters: A review with considerations for water quality management. Water Resour. Res. 2022, 58, e2021WR030699. [Google Scholar] [CrossRef]
- Boigné, E.; Bennett, N.R.; Wang, A.; Ihme, M. Examining the effect of fire retardant on the combustion of wood via X-ray computed tomography. In Proceedings of the 12th US National Combustion Meeting, College Station, TX, USA, 24–26 May 2021. [Google Scholar]
- National Interagency Fire Center. “Interagency Standards for Fire and Aviation Operations” (PDF). Available online: https://www.nifc.gov/sites/default/files/redbook-files/RedBookAll.pdf (accessed on 1 January 2023).
- McAllister, S.; Finney, M. Burning rates of wood cribs with implications for wildland fires. Fire Technol. 2016, 52, 1755–1777. [Google Scholar] [CrossRef]
- Smith, P.G.; Thomas, P.H. The rate of burning of wood cribs. Fire Technol. 1970, 6, 29–38. [Google Scholar] [CrossRef]
- Zhou, T.; Lu, J.; He, L.; Wu, C.; Luo, J. Experiments in aerial firefighting with and without additives and its application to suppress wildfires near electrical transmission lines. J. Fire Sci. 2022, 40, 313–346. [Google Scholar] [CrossRef]
- Hermouet, F.; Guillaume, É.; Rogaume, T.; Richard, F.; El Houssami, M. Experimental determination of the evolution of the incident heat flux received by a combustible during a cone calorimeter test: Influence of the flame irradiance. J. Fire Sci. 2021, 39, 119–141. [Google Scholar] [CrossRef]
- Gupta, V.; Torero, J.L.; Hidalgo, J.P. Burning dynamics and in-depth flame spread of wood cribs in large compartment fires. Combust. Flame 2021, 228, 42–56. [Google Scholar] [CrossRef]
- Konishi, T.; Kikugawa, H.; Iwata, Y.; Koseki, H.; Sagae, K.; Ito, A.; Kato, K. Aerial firefighting against urban fire: Mock-up house experiments of fire suppression by helicopters. Fire Saf. J. 2008, 43, 363–375. [Google Scholar] [CrossRef]
- João, B.; Bordado, C.M.; Gomes, J.F.P. New technologies for effective forest fire fighting. Int. J. Environ. Stud. 2007, 64, 243–251. [Google Scholar]
- Alba, À.; Pastor, E.; Planas, E. Different scales for studying the effectiveness of long-term forest fire retardants. Prog. Energy Combust. Sci. 2008, 34, 782–796. [Google Scholar]




























| Serial No. | Thermocouple No. | Measuring Height/m | Inside or Above the Wood Crib | Location No. |
|---|---|---|---|---|
| 1 | Scale#1 | 0.0 | Underneath the wood crib | Array#1 |
| 2 | T#1-1 | 0.25 | Inside the wood crib | |
| 3 | T#1-2 | 0.33 | Inside the wood crib | |
| 4 | T#1-3 | 0.41 | Inside the wood crib | |
| 5 | T#1-4 | 1.0 | Above the wood crib | |
| 6 | T#1-5 | 1.7 | Above the wood crib | |
| 7 | Scale#2 | 0.0 | Underneath the wood crib | Array#2 |
| 8 | T#2-1 | 0.29 | Inside the wood crib | |
| 9 | T#2-2 | 0.37 | Inside the wood crib | |
| 10 | T#2-3 | 0.45 | Inside the wood crib | |
| 11 | T#2-4 | 0.53 | Inside the wood crib | |
| 12 | T#2-5 | 0.61 | Inside the wood crib | |
| 13 | T#2-6 | 1.0 | Above the wood crib | |
| 14 | T#2-7 | 1.7 | Above the wood crib | |
| 15 | T#2-8 | 2.7 | Above the wood crib | |
| 16 | RadiationHeatFlowMeters | 0.98 | Above the wood crib | |
| 17 | Scale#3 | 0.0 | Underneath the wood crib | Array#3 |
| 18 | T#3-1 | 0.25 | Inside the wood crib | |
| 19 | T#3-2 | 0.33 | Inside the wood crib | |
| 20 | T#3-3 | 0.41 | Inside the wood crib | |
| 21 | T#3-4 | 0.48 | Inside the wood crib | |
| 22 | T#3-5 | 1.0 | Above the wood crib | |
| 23 | T#3-6 | 1.7 | Above the wood crib |
| No. | Flame Retardant Type | Weight Ratio of Flame Retardant to Water | Flame Retardant No. | Flame Retardant Components |
|---|---|---|---|---|
| 1 | Control group | The control group is not sprayed with any water agent | ||
| 2 | Pure water | / | Agent#1 | Pure water |
| 3 | Class AB flame retardant | 10% | Agent#2 | Main components: 0.1~2% fs-1157 fluorocarbon surfactant; 1~3% surface active betaine (α-Dodecyldimethyl betaine); 0.5~2% corrosion inhibitor (1H-Benzotriazole); The rest is water |
| 4 | Gel flame retardant | 0.3% | Agent#3 | Main components: Benzoin-SA Complex 50%; Polyacrylamide 50%; |
| 5 | Class A flame retardant | 10% | Agent#4 | Main components: 23 wt.% potassium chloride; 52~65 wt.% ammonium carbonate; 12~25 wt.% disodium hydrogen phosphate; The rest are flame retardants adjusted to a specific gravity of 1.1 by water |
| 6 | Class A flame retardant + 0.6% guar gum | 10% | Agent#5 | Main components: 23 wt.% potassium chloride; 52~65 wt.% ammonium carbonate; 12~25 wt.% disodium hydrogen phosphate; 0.6 wt.% Guar gum; The rest are flame retardants adjusted to a specific gravity of 1.1 by water |
| No. | Flame Retardant | Crib#1 Initial Weight/kg | Crib#1 Weight after Spraying Fire-Extinguishing Agent/kg | Crib#2 Initial Weight/kg | Crib#2 Weight after Spraying Fire-Extinguishing Agent/kg | Crib#3 Initial Weight/kg | Crib#3 Weight after Spraying Fire-Extinguishing Agent/kg |
|---|---|---|---|---|---|---|---|
| 1 | Control Group | 42.3 | / | 115.5 | / | 57.2 | / |
| 2 | Pure Water | 40.5 | 46.2 | 121.6 | 129.75 | 58.3 | 67.9 |
| 3 | Class AB Flame Retardant | 40.2 | 47.35 | 117.4 | 122.4 | 59.6 | 66.65 |
| 4 | Gel Flame Retardant | 39.9 | 55.25 | 126.3 | 148.1 | 58.5 | 68.4 |
| 5 | Class A Flame Retardant | 38.9 | 42.1 | 120.1 | 126 | 55.6 | 56.9 |
| 6 | 0.6% Thickened Class A Flame Retardant | 41.3 | 47 | 125.8 | 138.2 | 58.0 | 66.1 |
| Crib No. | Project | Control Group | Agent#1 | Agent#2 | Agent#3 | Agent#4 | Agent#5 |
|---|---|---|---|---|---|---|---|
| Crib#1 | Maximum temperature (°C) | 928 | 623 | 887 | 583 | 729 | 798 |
| Average mass loss in stable combustion stage (kg/s) | 0.026 | 0.0160 | 0.023 | / | 0.0266 | 0.0222 | |
| Crib#2 | Maximum temperature (°C) | 1156 | 1110 | 1067 | 1091 | 1128 | 1080 |
| The maximum value of radiant heat flux (kw/m2) | 110 | 114 | 100 | 102 | 94 | 87 | |
| The average value of radiant heat flux (kw/m2) | 87.95 | 101.56 | 74.61 | 43.14 | 63.9 | 45.77 | |
| Average mass loss in stable combustion stage (kg/s) | 0.115 | 0.1359 | 0.1047 | 0.0799 | 0.0867 | 0.0630 | |
| Crib#3 | Maximum temperature (°C) | 1056 | 917 | 990 | 997 | 1058 | 967 |
| Average mass loss in stable combustion stage (kg/s) | 0.053 | 0.0432 | 0.0429 | 0.0465 | 0.0522 | 0.0418 |
| Location | Date | Flight Time | Number of Buckets | Amount of Flame Retardant (kg) | Fire Extinguishing Line |
|---|---|---|---|---|---|
| Changde | 26–27 August | 13 h 51 min | 93 | 2258 | Fire in Shimen County |
| Loudi | 4 September | 59 min | 5 | 80 | 500 kV Jinhong Line #003 |
| Loudi | 5 September | 2 h 21 min | 18 | 80 | 500 kV Changmin Line #179–#180, 220 kV Qunkang Line |
| Loudi | 6 September | 2 h 44 min | 27 | 50 | 500 kV Changmin Line #179–#181 |
| Loudi | 7 September | 4 h 33 min | 53 | 100 | 500 kV Changmin Line #044–#046 |
| Loudi | 8 September | 8 h 56 min | 97 | 150 | Forest fire in Weishan Township, Xinhua County, Loudi City |
| Loudi | 1 September | 1 h 6 min | 8 | 30 | 500 kV Changmin Line #192 |
| Loudi | 11 September | 3 h 34 min | 50 | 80 | 220 kV Tizhong Line #27 |
| Yongzhou | 14 September | 5 h 18 min | 16 | 80 | Forest fire in Huangjiangyuan Village, Yongzhou |
| Yongzhou | 15–17 September | 18 h 45 min | 92 | 450 | |
| Loudi | 19 September | 1 h 41 min | 13 | 50 | 500 kV Hongmin Line 2#74-#75 |
| Loudi | 23 September | 49 min | 5 | 50 | 500 kV Jinhong Line I #003, 220 kv Jinti Line III #5 |
| Loudi | 24 September | 3 h 32 min | 30 | 100 | 220 kV Hongbao Line #59 |
| Loudi | 26 September | 2 h 2 min | 13 | 50 | 220 kV Tiqun Line I #78–79 |
| Loudi | 27 September | 1 h 35 min | 8 | 40 | 220 kV Liankang Line 1#7–#8 |
| Loudi | 30 September | 4 h 4 min | 37 | 100 | 220 kV Tihe Line I #13–#14 |
Disclaimer/Publisher’s Note: The statements, opinions and data contained in all publications are solely those of the individual author(s) and contributor(s) and not of MDPI and/or the editor(s). MDPI and/or the editor(s) disclaim responsibility for any injury to people or property resulting from any ideas, methods, instructions or products referred to in the content. |
© 2023 by the authors. Licensee MDPI, Basel, Switzerland. This article is an open access article distributed under the terms and conditions of the Creative Commons Attribution (CC BY) license (https://creativecommons.org/licenses/by/4.0/).
Share and Cite
Lu, J.; Zhou, T.; Wu, C.; Ou, Y. Dropping Fire Retardants by Helicopter and Its Application to Wildfire Prevention near Electrical Transmission Lines. Fire 2023, 6, 176. https://doi.org/10.3390/fire6050176
Lu J, Zhou T, Wu C, Ou Y. Dropping Fire Retardants by Helicopter and Its Application to Wildfire Prevention near Electrical Transmission Lines. Fire. 2023; 6(5):176. https://doi.org/10.3390/fire6050176
Chicago/Turabian StyleLu, Jiazheng, Tejun Zhou, Chuanping Wu, and Yangyi Ou. 2023. "Dropping Fire Retardants by Helicopter and Its Application to Wildfire Prevention near Electrical Transmission Lines" Fire 6, no. 5: 176. https://doi.org/10.3390/fire6050176
APA StyleLu, J., Zhou, T., Wu, C., & Ou, Y. (2023). Dropping Fire Retardants by Helicopter and Its Application to Wildfire Prevention near Electrical Transmission Lines. Fire, 6(5), 176. https://doi.org/10.3390/fire6050176

