Past Logging and Wildfire Increase above Ground Carbon Stock Losses from Subsequent Wildfire
Abstract
:1. Introduction
2. Materials and Methods
2.1. Study Area and Survey Design
2.2. Live and Dead Trees
2.3. Understorey Vegetation
2.4. Coarse Woody Debris
2.5. Litter
2.6. Site Data
2.7. Analysis
3. Results
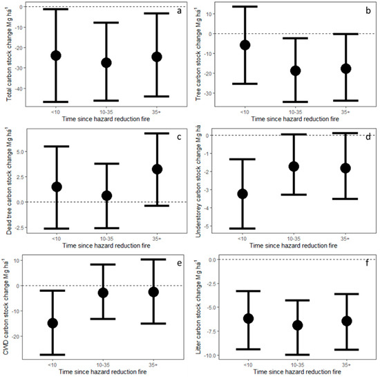
3.1. Disturbance History
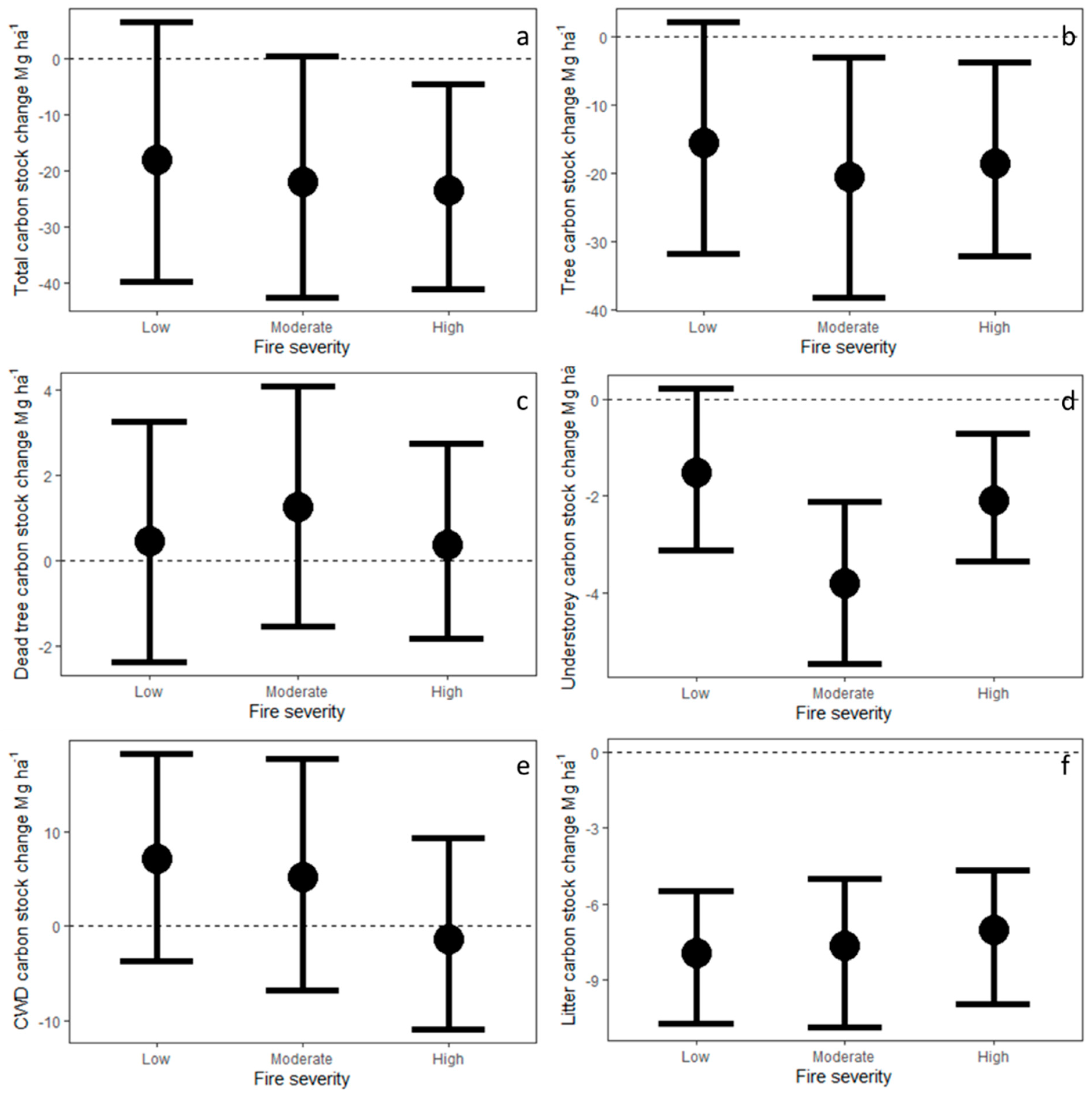
3.2. Fire Severity
4. Discussion
4.1. Disturbance History
4.2. Fire Severity
4.3. Environmental Variation
4.4. Managing Carbon Stability
5. Conclusions
Supplementary Materials
Author Contributions
Funding
Data Availability Statement
Acknowledgments
Conflicts of Interest
References
- Norris, J.; Arnold, S.; Fairman, T. An indicative estimate of carbon stocks on Victoria’s publicly managed land using the FullCAM carbon accounting model. Aust. For. 2010, 73, 209–219. [Google Scholar] [CrossRef]
- Bradford, J.B.; Fraver, S.; Milo, A.M.; D’Amato, A.W.; Palik, B.; Shinneman, D.J. Effects of multiple interacting disturbances and salvage logging on forest carbon stocks. For. Ecol. Manag. 2012, 267, 209–214. [Google Scholar] [CrossRef]
- Bowman, D.M.; Murphy, B.P.; Neyland, D.L.; Williamson, G.J.; Prior, L.D. Abrupt fire regime change may cause landscape-wide loss of mature obligate seeder forests. Glob. Chang. Biol. 2014, 20, 1008–1015. [Google Scholar] [CrossRef] [PubMed]
- Bowman, D.M.; Williamson, G.J.; Price, O.F.; Ndalila, M.N.; Bradstock, R.A. Australian forests, megafires and the risk of dwindling carbon stocks. Plant Cell Environ. 2021, 44, 347–355. [Google Scholar] [CrossRef] [PubMed]
- Bowman, D.M.; Murphy, B.P.; Boer, M.M.; Bradstock, R.A.; Cary, G.J.; Cochrane, M.A.; Fensham, R.J.; Krawchuk, M.A.; Price, O.F.; Williams, R.J. Forest fire management, climate change, and the risk of catastrophic carbon losses. Front. Ecol. Environ. 2013, 11, 66–68. [Google Scholar] [CrossRef] [Green Version]
- Hurteau, M.D.; North, M.P.; Koch, G.W.; Hungate, B.A. Opinion: Managing for disturbance stabilizes forest carbon. Proc. Natl. Acad. Sci. USA 2019, 116, 10193–10195. [Google Scholar] [CrossRef] [Green Version]
- Keith, H.; Lindenmayer, D.B.; Mackey, B.G.; Blair, D.; Carter, L.; McBurney, L.; Okada, S.; Konishi-Nagano, T. Accounting for biomass carbon stock change due to wildfire in temperate forest landscapes in Australia. PLoS ONE 2014, 9, e107126. [Google Scholar] [CrossRef] [Green Version]
- Bennett, L.T.; Bruce, M.J.; Machunter, J.; Kohout, M.; Krishnaraj, S.J.; Aponte, C. Assessing fire impacts on the carbon stability of fire-tolerant forests. Ecol. Appl. 2017, 27, 2497–2513. [Google Scholar] [CrossRef]
- Volkova, L.; Meyer, C.M.; Murphy, S.; Fairman, T.; Reisen, F.; Weston, C. Fuel reduction burning mitigates wildfire effects on forest carbon and greenhouse gas emission. Int. J. Wildland Fire 2014, 23, 771–780. [Google Scholar] [CrossRef]
- Roxburgh, S.; Wood, S.; Mackey, B.; Woldendorp, G.; Gibbons, P. Assessing the carbon sequestration potential of managed forests: A case study from temperate Australia. J. Appl. Ecol. 2006, 43, 1149–1159. [Google Scholar] [CrossRef]
- Wilson, N.; Bradstock, R.; Bedward, M. Comparing forest carbon stock losses between logging and wildfire in forests with contrasting responses to fire. For. Ecol. Manag. 2021, 481, 118701. [Google Scholar] [CrossRef]
- Keith, H.; Lindenmayer, D.; Mackey, B.; Blair, D.; Carter, L.; McBurney, L.; Okada, S.; Konishi-Nagano, T. Managing temperate forests for carbon storage: Impacts of logging versus forest protection on carbon stocks. Ecosphere 2014, 5, 1–34. [Google Scholar] [CrossRef] [Green Version]
- Bennett, L.T.; Aponte, C.; Baker, T.G.; Tolhurst, K.G. Evaluating long-term effects of prescribed fire regimes on carbon stocks in a temperate eucalypt forest. For. Ecol. Manag. 2014, 328, 219–228. [Google Scholar] [CrossRef]
- Fedrigo, M.; Kasel, S.; Bennett, L.T.; Roxburgh, S.H.; Nitschke, C.R. Carbon stocks in temperate forests of south-eastern Australia reflect large tree distribution and edaphic conditions. For. Ecol. Manag. 2014, 334, 129–143. [Google Scholar] [CrossRef]
- Collins, L.; Bradstock, R.; Ximenes, F.; Horsey, B.; Sawyer, R.; Penman, T. Aboveground forest carbon shows different responses to fire frequency in harvested and unharvested forests. Ecol. Appl. 2019, 29, e01815. [Google Scholar] [CrossRef] [Green Version]
- Benyon, R.G.; Lane, P.N. Ground and satellite-based assessments of wet eucalypt forest survival and regeneration for predicting long-term hydrological responses to a large wildfire. For. Ecol. Manag. 2013, 294, 197–207. [Google Scholar] [CrossRef]
- Burrows, G. Buds, bushfires and resprouting in the eucalypts. Aust. J. Bot. 2013, 61, 331–349. [Google Scholar] [CrossRef]
- Bennett, L.T.; Fairman, T.A.; Nitschke, C.R.; Aponte, C. Effects of multiple fires on the carbon stability of fire-tolerant eucalypt forests depends on fire frequency and severity. In Proceedings of the 2019 ESA Annual Meeting, ESA, Washington, DC, USA, 11–16 August 2019. [Google Scholar]
- Bennett, L.T.; Bruce, M.J.; MacHunter, J.; Kohout, M.; Tanase, M.A.; Aponte, C. Mortality and recruitment of fire-tolerant eucalypts as influenced by wildfire severity and recent prescribed fire. For. Ecol. Manag. 2016, 380, 107–117. [Google Scholar] [CrossRef]
- Dunn, C.J.; Bailey, J.D. Tree mortality and structural change following mixed-severity fire in Pseudotsuga forests of Oregon’s western Cascades, USA. For. Ecol. Manag. 2016, 365, 107–118. [Google Scholar] [CrossRef]
- Etchells, H.; O’Donnell, A.J.; McCaw, W.L.; Grierson, P.F. Fire severity impacts on tree mortality and post-fire recruitment in tall eucalypt forests of southwest Australia. For. Ecol. Manag. 2020, 459, 117850. [Google Scholar] [CrossRef]
- Benson, J. The effect of 200 years of European settlement on the vegetation and flora of New South Wales. Cunninghamia 1991, 2, 343–370. [Google Scholar]
- Watson, G.M.; French, K.; Collins, L. Timber harvest and frequent prescribed burning interact to affect the demography of Eucalypt species. For. Ecol. Manag. 2020, 475, 118463. [Google Scholar] [CrossRef]
- Vivian, L.M.; Cary, G.J.; Bradstock, R.A.; Gill, A.M. Influence of fire severity on the regeneration, recruitment and distribution of eucalypts in the Cotter River Catchment, Australian Capital Territory. Austral Ecol. 2008, 33, 55–67. [Google Scholar] [CrossRef]
- Collins, L. Eucalypt forests dominated by epicormic resprouters are resilient to repeated canopy fires. J. Ecol. 2020, 108, 310–324. [Google Scholar] [CrossRef]
- Fairman, T.A.; Bennett, L.T.; Tupper, S.; Nitschke, C.R. Frequent wildfires erode tree persistence and alter stand structure and initial composition of a fire-tolerant sub-alpine forest. J. Veg. Sci. 2017, 28, 1151–1165. [Google Scholar] [CrossRef]
- Fairman, T.A.; Bennett, L.T.; Nitschke, C.R. Short-interval wildfires increase likelihood of resprouting failure in fire-tolerant trees. J. Environ. Manag. 2019, 231, 59–65. [Google Scholar] [CrossRef] [PubMed]
- Bowman, D.; Kirkpatrick, J. Establishment, suppression and growth of Eucalyptus delegatensis RT Baker in multiaged forests. I. The effects of fire on mortality and seedling establishment. Aust. J. Bot. 1986, 34, 63–72. [Google Scholar] [CrossRef]
- Boer, M.M.; de Dios, V.R.; Bradstock, R.A. Unprecedented burn area of Australian mega forest fires. Nat. Clim. Chang. 2020, 10, 171–172. [Google Scholar] [CrossRef]
- Bowman, D.; Williamson, G.; Yebra, M.; Lizundia-Loiola, J.; Pettinari, M.L.; Shah, S.; Bradstock, R.; Chuvieco, E. Wildfires: Australia needs national monitoring agency. Nature 2020, 584, 188–191. [Google Scholar] [CrossRef] [PubMed]
- Kearney, D. Native Forest Silviculture Manual; Foresty Cprporation: Beecroft, Australia, 2015. [Google Scholar]
- Nolan, R.H.; Boer, M.M.; Resco de Dios, V.; Caccamo, G.; Bradstock, R.A. Large-scale, dynamic transformations in fuel moisture drive wildfire activity across southeastern Australia. Geophys. Res. Lett. 2016, 43, 4229–4238. [Google Scholar] [CrossRef] [Green Version]
- State Government of NSW Department of Planning‚ Industry and Environment. Fire Extent and Severity Mapping (FESM). 2020. Available online: https://www.planning.nsw.gov.au/ (accessed on 3 January 2022).
- Ximenes, F.A.; Gardner, W.D.; Richards, G.P. Total above-ground biomass and biomass in commercial logs following the harvest of spotted gum (Corymbia maculata) forests of SE NSW. Aust. For. 2006, 69, 213–222. [Google Scholar] [CrossRef]
- Paul, K.I.; Roxburgh, S.H.; Chave, J.; England, J.R.; Zerihun, A.; Specht, A.; Lewis, T.; Bennett, L.T.; Baker, T.G.; Adams, M.A. Testing the generality of above-ground biomass allometry across plant functional types at the continent scale. Glob. Chang. Biol. 2016, 22, 2106–2124. [Google Scholar] [CrossRef] [PubMed]
- Van Wagner, C. The line intersect method in forest fuel sampling. For. Sci. 1968, 14, 20–26. [Google Scholar]
- McCarthy, G.J. Report 44: Surface Fine Fuel Hazard Rating—Forest Fuels in East Gippsland; Department of Sustainability and Environment: East Melbourne, Australia, 2004; p. 33. [Google Scholar]
- Gibson, R.; Danaher, T.; Hehir, W.; Collins, L. A remote sensing approach to mapping fire severity in south-eastern Australia using sentinel 2 and random forest. Remote Sens. Environ. 2020, 240, 111702. [Google Scholar] [CrossRef]
- Tolhurst, K.G.; McCarthy, G. Effect of prescribed burning on wildfire severity: A landscape-scale case study from the 2003 fires in Victoria. Aust. For. 2016, 79, 1–14. [Google Scholar] [CrossRef]
- Fick, S.E.; Hijmans, R.J. WorldClim 2: New 1-km spatial resolution climate surfaces for global land areas. Int. J. Climatol. 2017, 37, 4302–4315. [Google Scholar] [CrossRef]
- Bürkner, P.-C. brms: An R package for Bayesian multilevel models using Stan. J. Stat. Softw. 2017, 80, 1–28. [Google Scholar] [CrossRef] [Green Version]
- R Core Team. R: A Language and Environment for Statistical Computing, 4.0.0; R Foundation for Statistical Computing: Vienna, Austria, 2020. [Google Scholar]
- Pedersen, E.J.; Miller, D.L.; Simpson, G.L.; Ross, N. Hierarchical generalized additive models in ecology: An introduction with mgcv. PeerJ 2019, 7, e6876. [Google Scholar] [CrossRef] [Green Version]
- Volkova, L.; Weston, C.J. Carbon loss from planned fires in southeastern Australian dry Eucalyptus forests. For. Ecol. Manag. 2015, 336, 91–98. [Google Scholar] [CrossRef]
- Applegate, G.B. Biomass of Blackbutt (Eucalyptus pilularis Sm.) Forests on Fraser Island; University of New England: Armidale, Australia, 1982. [Google Scholar]
- Santin, C.; Doerr, S.H.; Jones, M.W.; Merino, A.; Warneke, C.; Roberts, J.M. The relevance of pyrogenic carbon for carbon budgets from fires: Insights from the FIREX experiment. Glob. Biogeochem. Cycles 2020, 34, e2020GB006647. [Google Scholar] [CrossRef]
- Rumpel, C.; Ba, A.; Darboux, F.; Chaplot, V.; Planchon, O. Erosion budget and process selectivity of black carbon at meter scale. Geoderma 2009, 154, 131–137. [Google Scholar] [CrossRef]
- Aponte, C.; Tolhurst, K.G.; Bennett, L.T. Repeated prescribed fires decrease stocks and change attributes of coarse woody debris in a temperate eucalypt forest. Ecol. Appl. 2014, 24, 976–989. [Google Scholar] [CrossRef]
- VicForests. VicForests 2015 Ecologically Sustainable Forest Management Plan; VicForests: Melbourne, Australia, 2015. [Google Scholar]
- Miesel, J.; Reiner, A.; Ewell, C.; Maestrini, B.; Dickinson, M. Quantifying changes in total and pyrogenic carbon stocks across fire severity gradients using active wildfire incidents. Front. Earth Sci. 2018, 6, 41. [Google Scholar] [CrossRef] [Green Version]
- Barker, J.W.; Price, O.F. Positive severity feedback between consecutive fires in dry eucalypt forests of southern Australia. Ecosphere 2018, 9, e02110. [Google Scholar] [CrossRef]
- Bassett, M.; Chia, E.K.; Leonard, S.W.; Nimmo, D.G.; Holland, G.J.; Ritchie, E.G.; Clarke, M.F.; Bennett, A.F. The effects of topographic variation and the fire regime on coarse woody debris: Insights from a large wildfire. For. Ecol. Manag. 2015, 340, 126–134. [Google Scholar] [CrossRef]
- Price, O.F.; Bradstock, R.A. The efficacy of fuel treatment in mitigating property loss during wildfires: Insights from analysis of the severity of the catastrophic fires in 2009 in Victoria, Australia. J. Environ. Manag. 2012, 113, 146–157. [Google Scholar] [CrossRef]
- Taylor, C.; McCarthy, M.A.; Lindenmayer, D.B. Nonlinear effects of stand age on fire severity. Conserv. Lett. 2014, 7, 355–370. [Google Scholar] [CrossRef] [Green Version]






| Carbon Component | Measured Variable | Source |
|---|---|---|
| Trees (Live and dead) | AGB (kg) = 57.6 − 12(DBH) + 0.92(DBH)2 | [34] |
| Understorey | AGB (kg) = exp (−3.007 + 2.428 × ln(D10)) × 1.128 | [35] |
| Coarse woody debris | Volume = π2∑Diameter2/(8 × Transect Length) | [36] |
| Litter (high cover) | Litter mass (kg) = (0.36 × Depth) − 1.21 | [37] |
| Litter (low cover) | Litter mass (kg) = (0.41 × Depth) − 2.35 | [37] |
Publisher’s Note: MDPI stays neutral with regard to jurisdictional claims in published maps and institutional affiliations. |
© 2022 by the authors. Licensee MDPI, Basel, Switzerland. This article is an open access article distributed under the terms and conditions of the Creative Commons Attribution (CC BY) license (https://creativecommons.org/licenses/by/4.0/).
Share and Cite
Wilson, N.; Bradstock, R. Past Logging and Wildfire Increase above Ground Carbon Stock Losses from Subsequent Wildfire. Fire 2022, 5, 26. https://doi.org/10.3390/fire5010026
Wilson N, Bradstock R. Past Logging and Wildfire Increase above Ground Carbon Stock Losses from Subsequent Wildfire. Fire. 2022; 5(1):26. https://doi.org/10.3390/fire5010026
Chicago/Turabian StyleWilson, Nicholas, and Ross Bradstock. 2022. "Past Logging and Wildfire Increase above Ground Carbon Stock Losses from Subsequent Wildfire" Fire 5, no. 1: 26. https://doi.org/10.3390/fire5010026
APA StyleWilson, N., & Bradstock, R. (2022). Past Logging and Wildfire Increase above Ground Carbon Stock Losses from Subsequent Wildfire. Fire, 5(1), 26. https://doi.org/10.3390/fire5010026
