Physiological Signals and Demographic-Driven Prediction for Older Adults’ Cognitive Functions Under Complex Indoor Thermal and Lighting Environments
Abstract
1. Introduction
2. Materials and Methods
2.1. Experiment Setting
2.2. Experiment Procedure
2.3. Cognitive Performance Measurement
2.4. Participants
2.5. Data Analysis
2.6. Predictive Model Development
3. Results
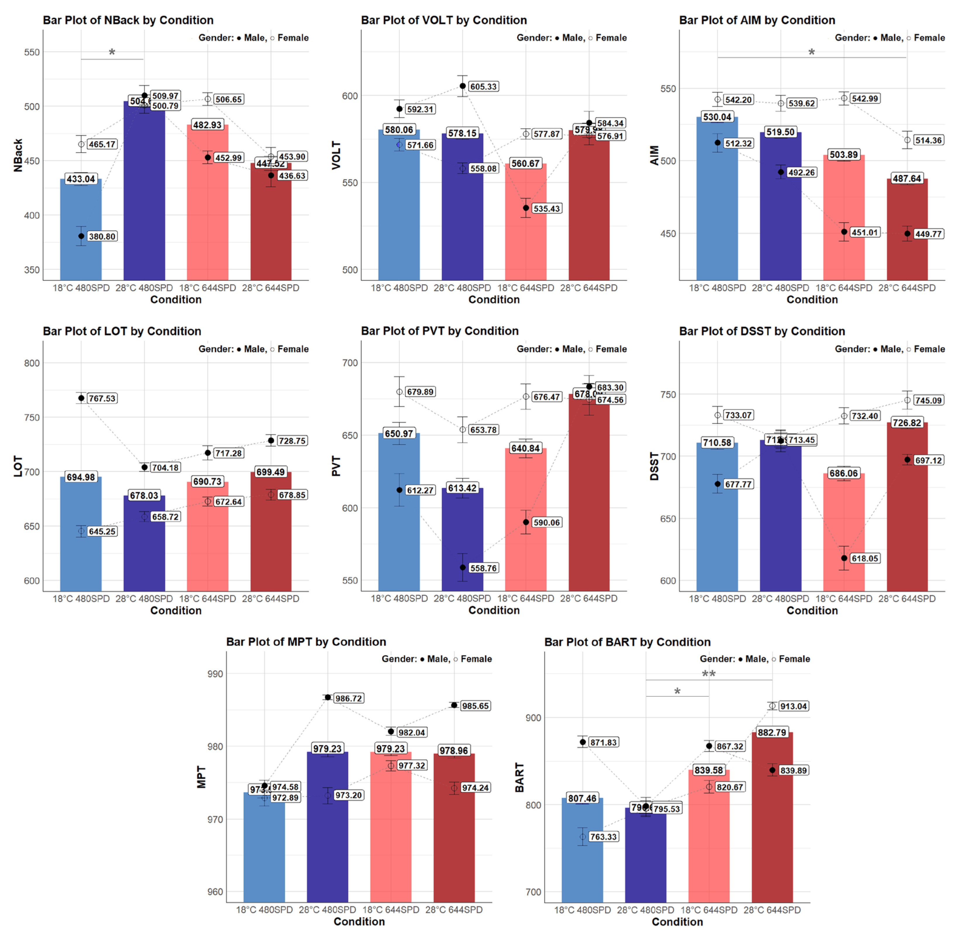
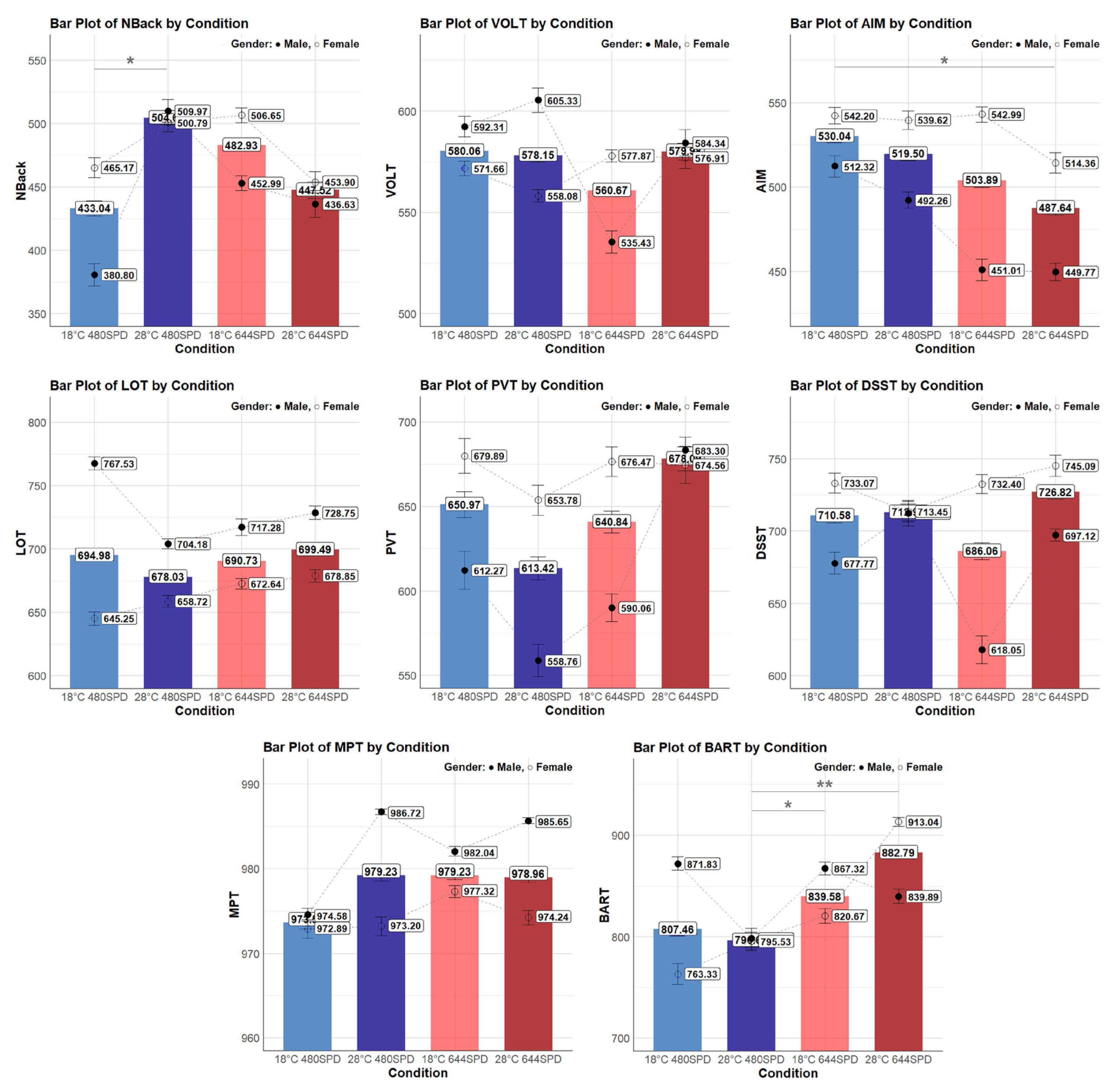
3.1. The Effect of Thermal and Lighting Conditions on Cognitive Performance
3.1.1. Individual Cognitive Domains
Memory
Visual and Spatial Perception
Attention and Concentration
Motor Skills and Construction
Execution Function
3.1.2. Overall Cognitive Performance
3.2. The Effect of Thermal and Lighting Conditions on Physiological Signals During Cognitive Tasks
3.2.1. Electrodermal Activity (EDA)
3.2.2. Pupil Size
3.3. The Relationship Between Indoor Environment, Physiological Signal, BMI, and Cognitive Task
3.4. Predictive Model
3.4.1. Individual Cognitive Task Predictive Model
3.4.2. Overall Cognitive Performance Predictive Model
4. Discussion
5. Conclusions
Author Contributions
Funding
Institutional Review Board Statement
Informed Consent Statement
Data Availability Statement
Acknowledgments
Conflicts of Interest
Abbreviations
| AM | Abstract Matching |
| AUC | Area Under ROC Curve |
| BART | Balloon Analog Risk Task |
| BMI | Body Mass Index |
| CART | Classification And Regression Tree |
| CCT | Correlated Color Temperature |
| DSST | Digit Symbol Substitution Task |
| EDA | Electrodermal Activity |
| ipRGCs | Intrinsically Photosensitive Retinal Ganglion Cells |
| LOT | Line Orientation Task |
| MPT | Motor Praxis Task |
| NBack | Fractal 2-back |
| PVT | Psychomotor Vigilance Test |
| REML | Restricted Maximum Likelihood |
| ROC | Receiver Operating Characteristic |
| SCN | Suprachiasmatic Nuclei |
| VOLT | Visual Object Learning Task |
Appendix A
Appendix A.1
| Task | Gender | ANOVA | Grouping Using Tukey Post Hoc | Mean Values | Significant Differences | ||||
|---|---|---|---|---|---|---|---|---|---|
| p-Value | 18 °C 480 nm | 28 °C 480 nm | 18 °C 644 nm | 28 °C 644 nm | Order | Differ | Adj p-Value | ||
| MPT | Overall | 0.111 | A | A | A | A | (4), (3), (2), (1) | N/A | |
| Female | 0.445 | A | A | A | A | (3), (4), (1), (2) | N/A | ||
| Male | 0.002 * | A | B | A B | B | (2), (4), (3), (1) | (2)–(1) | 0.003 | |
| (4)–(1) | 0.009 | ||||||||
| VOLT | Overall | 0.266 | A | A | A | A | (4), (1), (2), (3) | N/A | |
| Female | 0.775 | A | A | A | A | (4), (3), (1), (2) | N/A | ||
| Male | 0.004 * | A | A | B | A | (2), (1), (4), (3) | (2)–(3) | 0.005 | |
| (1)–(3) | 0.016 | ||||||||
| (4)–(3) | 0.043 | ||||||||
| NBack | Overall | 0.037 * | A | B | A B | A B | (2), (3), (4), (1) | (2)–(1) | 0.049 |
| Female | 0.718 | A | A | A | A | (2), (1), (3), (4) | N/A | ||
| Male | 0.008 * | A | B | A B | A B | (2), (3), (4), (1) | (2)–(1) | 0.005 | |
| AM | Overall | 0.010 * | A | A B | A B | B | (1), (2), (3), (4) | (1)–(4) | 0.012 |
| Female | 0.378 | A | A | A | A | (1), (2), (3), (4) | N/A | ||
| Male | 0.013 * | A | A B | B | B | (1), (2), (3), (4) | (1)–(3) | 0.042 | |
| (1)–(4) | 0.030 | ||||||||
| LOT | Overall | 0.055 | A | A | A | A | (4), (1), (3), (2) | N/A | |
| Female | 0.065 | A | A | A | A | (4), (2), (3), (1) | N/A | ||
| Male | <0.001 * | A | B | B | B | (1), (4), (2), (3) | (1)–(3) | <0.001 | |
| (1)–(2) | 0.003 | ||||||||
| (1)–(4) | 0.027 | ||||||||
| DSST | Overall | 0.845 | A | A | A | A | (1), (4), (2), (3) | N/A | |
| Female | 0.011 * | A B | B | A | A | (3), (4), (1), (2) | (3)–(2) | 0.015 | |
| (4)–(2) | 0.028 | ||||||||
| Male | 0.001 * | A B | A | B | B | (2), (1), (4), (3) | (2)–(3) | 0.001 | |
| (2)–(4) | 0.025 | ||||||||
| BART | Overall | 0.003 * | A B | B | A | A | (4), (3), (1), (2) | (4)–(2) | 0.005 |
| (3)–(2) | 0.039 | ||||||||
| Female | 0.001 * | A | A | A B | B | (4), (3), (1), (2) | (4)–(2) | 0.002 | |
| (4)–(1) | 0.006 | ||||||||
| Male | 0.310 | A | A | A | A | (2), (1), (4), (3) | N/A | ||
| PVT | Overall | 0.031 * | A | A | A | A | (4), (1), (2), (3) | N/A | |
| Female | 0.596 | A | A | A | A | (1), (4), (3), (2) | N/A | ||
| Male | 0.020 * | A B | A B | A | B | (4), (1), (2), (3) | (4)–(3) | 0.036 | |
Appendix B

References
- Prince, M.; Wimo, A.; Guerchet, M.; Ali, G.-C.; Wu, Y.-T.; Prina, M. World Alzheimer Report 2015. The Global Impact of Dementia: An Analysis of Prevalence, Incidence, Cost and Trends; hal-03495438; [Research Report]; Alzheimer’s Disease International: London, UK, 2015. [Google Scholar]
- Alzheimer’s & Dementia: The Journal of the Alzheimer’s Association. 2024 Alzheimer’s Disease Facts and Figures. Alzheimer’s Dement. 2024, 20, 3708–3821.
- Falck, R.S.; Best, J.R.; Davis, J.C.; Liu-Ambrose, T. The Independent Associations of Physical Activity and Sleep with Cognitive Function in Older Adults. J. Alzheimer’s Dis. 2018, 63, 1469–1484. [Google Scholar] [CrossRef]
- Landry, G.J.; Liu-Ambrose, T. Buying Time: A Rationale for Examining the Use of Circadian Rhythm and Sleep Interventions to Delay Progression of Mild Cognitive Impairment to Alzheimer’s Disease. Front. Aging Neurosci. 2014, 6, 325. [Google Scholar] [CrossRef]
- Klepeis, N.E.; Nelson, W.C.; Ott, W.R.; Robinson, J.P.; Tsang, A.M.; Switzer, P.; Behar, J.V.; Hern, S.C.; Engelmann, W.H. The National Human Activity Pattern Survey (NHAPS): A Resource for Assessing Exposure to Environmental Pollutants. J. Expo. Sci. Environ. Epidemiol. 2001, 11, 231–252. [Google Scholar] [CrossRef]
- Choi, J.-H.; Yeom, D. Study of Data-Driven Thermal Sensation Prediction Model as a Function of Local Body Skin Temperatures in a Built Environment. Build. Environ. 2017, 121, 130–147. [Google Scholar] [CrossRef]
- Choi, J.-H.; Loftness, V.; Aziz, A. Post-Occupancy Evaluation of 20 Office Buildings as Basis for Future IEQ Standards and Guidelines. Energy Build. 2012, 46, 167–175. [Google Scholar] [CrossRef]
- Kim, T.; Lim, S.; Yoon, S.-G.; Yeom, D. (Jason) Pupil Size and Gender-Driven Occupant’s Productivity Predictive Model for Diverse Indoor Lighting Conditions in the Office Environment. Build. Environ. 2022, 226, 109673. [Google Scholar] [CrossRef]
- Yuan, F.; Yao, R.; Sadrizadeh, S.; Li, B.; Cao, G.; Zhang, S.; Zhou, S.; Liu, H.; Bogdan, A.; Croitoru, C.; et al. Thermal Comfort in Hospital Buildings—A Literature Review. J. Build. Eng. 2022, 45, 103463. [Google Scholar] [CrossRef]
- Havenith, G.; Griggs, K.; Qiu, Y.; Dorman, L.; Kulasekaran, V.; Hodder, S. Higher Comfort Temperature Preferences for Anthropometrically Matched Chinese and Japanese versus White-Western-Middle-European Individuals Using a Personal Comfort/Cooling System. Build. Environ. 2020, 183, 107162. [Google Scholar] [CrossRef]
- Choi, J.H.; Yeom, D. Development of the Data-Driven Thermal Satisfaction Prediction Model as a Function of Human Physiological Responses in a Built Environment. Build. Environ. 2019, 150, 206–218. [Google Scholar] [CrossRef]
- Cen, C.; Cheng, S.; Wong, N.H. Effect of Elevated Air Temperature and Air Velocity on Thermal Comfort and Cognitive Performance in the Tropics. Build. Environ. 2023, 234, 110203. [Google Scholar] [CrossRef]
- Yeom, D.J.; Delogu, F. Thermal Preferences and Cognitive Performance Estimation via User’s Physiological Responses. In Proceedings of the 2019 ARCC International Conference: The Future of Praxis: Applied Research as a Bridge Between Theory and Practice, Toronto, ON, Canada, 29 May–1 June 2019. [Google Scholar]
- Lan, L.; Tang, J.; Wargocki, P.; Wyon, D.P.; Lian, Z. Cognitive Performance Was Reduced by Higher Air Temperature Even When Thermal Comfort Was Maintained over the 24–28 °C Range. Indoor Air 2022, 32, e12916. [Google Scholar] [CrossRef]
- Son, S.; Sharp, N.; Yeom, D.; Lamp, S. 0357 Older Adults’ Sleep Quality: Navigating the Impact of Daily Lighting and Thermal Conditions in Living Environments. Sleep 2024, 47, A153–A154. [Google Scholar] [CrossRef]
- Yeom, D.; Kim, T.; Yoon, S.-G. Productivity Prediction via Human Physiological Signals for an Optimum Thermal Environment. In Proceedings of the CLIMA 2022 Conference, Rotterdam, The Netherlands, 22–25 May 2022. [Google Scholar] [CrossRef]
- Yeom, D.J.; Delogu, F. Local Body Skin Temperature-Driven Thermal Sensation Predictive Model for the Occupant’s Optimum Productivity. Build. Environ. 2021, 204, 108196. [Google Scholar] [CrossRef]
- Wolkoff, P.; Azuma, K.; Carrer, P. Health, Work Performance, and Risk of Infection in Office-like Environments: The Role of Indoor Temperature, Air Humidity, and Ventilation. Int. J. Hyg. Environ. Health 2021, 233, 113709. [Google Scholar] [CrossRef]
- Abbasi, A.M.; Motamedzadeh, M.; Aliabadi, M.; Golmohammadi, R.; Tapak, L. The Impact of Indoor Air Temperature on the Executive Functions of Human Brain and the Physiological Responses of Body. Health Promot. Perspect. 2019, 9, 55–64. [Google Scholar] [CrossRef]
- Shishegar, N.; Boubekri, M.; Stine-Morrow, E.A.L.; Rogers, W.A. Tuning Environmental Lighting Improves Objective and Subjective Sleep Quality in Older Adults. Build. Environ. 2021, 204, 108096. [Google Scholar] [CrossRef]
- Figueiro, M.G. An Overview of the Effects of Light on Human Circadian Rhythms: Implications for New Light Sources and Lighting Systems Design. J. Light Vis. Environ. 2013, 37, 51–61. [Google Scholar] [CrossRef]
- Figueiro, M.G. A Proposed 24 h Lighting Scheme for Older Adults. Light. Res. Technol. 2008, 40, 153–160. [Google Scholar] [CrossRef]
- Rea, M.S.; Figueiro, M.G. Light as a Circadian Stimulus for Architectural Lighting. Light. Res. Technol. 2018, 50, 497–510. [Google Scholar] [CrossRef]
- Gooley, J.J.; Lu, J.; Chou, T.C.; Scammell, T.E.; Saper, C.B. Melanopsin in Cells of Origin of the Retinohypothalamic Tract. Nat. Neurosci. 2001, 4, 1165. [Google Scholar] [CrossRef]
- Hannibal, J.; Jamen, F.; Nielsen, H.S.; Journot, L.; Brabet, P.; Fahrenkrug, J. Dissociation between Light-Induced Phase Shift of the Circadian Rhythm and Clock Gene Expression in Mice Lacking the Pituitary Adenylate Cyclase Activating Polypeptide Type 1 Receptor. J. Neurosci. 2001, 21, 4883–4890. [Google Scholar] [CrossRef]
- Von Schantz, M.; Provencio, I.; Foster, R.G. Recent Developments in Circadian Photoreception: More than Meets the Eye. Investig. Ophthalmol. Vis. Sci. 2000, 41, 1605–1607. [Google Scholar]
- Chellappa, S.L.; Gordijn, M.C.M.; Cajochen, C. Can Light Make Us Bright? Effects of Light on Cognition and Sleep. In Progress in Brain Research; Elsevier B.V.: Amsterdam, The Netherlands, 2011; Volume 190, pp. 119–133. [Google Scholar]
- Sahin, L.; Figueiro, M.G. Alerting Effects of Short-Wavelength (Blue) and Long-Wavelength (Red) Lights in the Afternoon. Physiol. Behav. 2013, 116–117, 1–7. [Google Scholar] [CrossRef]
- Shishegar, N.; Boubekri, M. Lighting up Living Spaces to Improve Mood and Cognitive Performance in Older Adults. J. Environ. Psychol. 2022, 82, 101845. [Google Scholar] [CrossRef]
- Son, S.; Lamp, S.; Yeom, D.J.; Sharp, N. The Influence of Lighting and Thermal Environments on Sleep and Cognitive Function in Older Adults. Build. Environ. 2024, 265, 112028. [Google Scholar] [CrossRef]
- Vandewalle, G.; Balteau, E.; Phillips, C.; Degueldre, C.; Moreau, V.; Sterpenich, V.; Albouy, G.; Darsaud, A.; Desseilles, M.; Dang-Vu, T.T.; et al. Daytime Light Exposure Dynamically Enhances Brain Responses. Curr. Biol. 2006, 16, 1616–1621. [Google Scholar] [CrossRef] [PubMed]
- Perrin, F.; Peigneux, P.; Fuchs, S.; Phane Verhaeghe, S.; Laureys, S.; Middleton, B.; Degueldre, C.; Fiore, G.D.; Vandewalle, G.; Balteau, E.; et al. Nonvisual Responses to Light Exposure in the Human Brain during the Circadian Night. Curr. Biol. 2004, 14, 1842–1846. [Google Scholar] [CrossRef] [PubMed]
- Vandewalle, G.; Gais, S.; Schabus, M.; Balteau, E.; Carrier, J.; Darsaud, A.; Sterpenich, V.; Albouy, G.; Dijk, D.J.; Maquet, P. Wavelength-Dependent Modulation of Brain Responses to a Working Memory Task by Daytime Light Exposure. Cereb. Cortex 2007, 17, 2788–2795. [Google Scholar] [CrossRef]
- Hu, Z.; Yi, C.; Hao, J.; Qiao, X.; Guo, X. Comparative Study on the Effects of Lighting on Cognitive Ergonomics in Single and Multi-Working Modes. Neuroquantology 2018, 16, 341–349. [Google Scholar] [CrossRef]
- Lu, M.; Hu, S.; Mao, Z.; Liang, P.; Xin, S.; Guan, H. Research on Work Efficiency and Light Comfort Based on EEG Evaluation Method. Build. Environ. 2020, 183, 107122. [Google Scholar] [CrossRef]
- Lo, Y.T.C.; Su, W.P.; Mei, S.H.; Jou, Y.Y.; Huang, H.B. Association between Ambient Temperature and Cognitive Function in a Community-Dwelling Elderly Population: A Repeated Measurement Study. BMJ Open 2021, 11, e049160. [Google Scholar] [CrossRef]
- Hou, K.; Xu, X. Ambient Temperatures Associated with Reduced Cognitive Function in Older Adults in China. Sci. Rep. 2023, 13, 17414. [Google Scholar] [CrossRef]
- Wang, Y.; Huang, H.; Chen, G. Effects of Lighting on ECG, Visual Performance and Psychology of the Elderly. Optik 2020, 203, 164063. [Google Scholar] [CrossRef]
- Hoof, J.V.; Hensen, J.L.M. Thermal Comfort and Older Adults. Gerontechnology 2006, 4, 223–228. [Google Scholar] [CrossRef]
- Baquero, M.T.; Forcada, N. Thermal Comfort of Older People during Summer in the Continental Mediterranean Climate. J. Build. Eng. 2022, 54, 104680. [Google Scholar] [CrossRef]
- Knez, I.; Kers, C. Effects of Indoor Lighting, Gender, and Age on Mood and Cognitive Performance. Environ. Behav. 2000, 32, 817–831. [Google Scholar] [CrossRef]
- Quirke, M.; Bennett, K.; Chau, H.-W.; Preece, T.; Jamei, E. Environmental Design for People Living with Dementia. Encyclopedia 2023, 3, 1038–1057. [Google Scholar] [CrossRef]
- Barrick, A.L.; Sloane, P.D.; Williams, C.S.; Mitchell, C.M.; Connell, B.R.; Wood, W.; Hickman, S.E.; Preisser, J.S.; Zimmerman, S. Impact of Ambient Bright Light on Agitation in Dementia. Int. J. Geriat Psychiatry 2010, 25, 1013–1021. [Google Scholar] [CrossRef]
- van Hoof, J.; Kort, H.S.M.; Hensen, J.L.M.; Duijnstee, M.S.H.; Rutten, P.G.S. Thermal Comfort and the Integrated Design of Homes for Older People with Dementia. Build. Environ. 2010, 45, 358–370. [Google Scholar] [CrossRef]
- Tartarini, F.; Cooper, P.; Fleming, R.; Batterham, M. Indoor Air Temperature and Agitation of Nursing Home Residents With Dementia. Am. J. Alzheimers Dis. Other Dement. 2017, 32, 272–281. [Google Scholar] [CrossRef]
- Childs, C.; Elliott, J.; Khatab, K.; Hampshaw, S.; Fowler-Davis, S.; Willmott, J.R.; Ali, A. Thermal Sensation in Older People with and without Dementia Living in Residential Care: New Assessment Approaches to Thermal Comfort Using Infrared Thermography. Int. J. Environ. Res. Public Health 2020, 17, 6932. [Google Scholar] [CrossRef]
- Bellia, L.; d’Ambrosio Alfano, F.R.; Fragliasso, F.; Palella, B.I.; Riccio, G. On the Interaction between Lighting and Thermal Comfort: An Integrated Approach to IEQ. Energy Build. 2021, 231, 110570. [Google Scholar] [CrossRef]
- te Kulve, M.; Schlangen, L.; van Marken Lichtenbelt, W. Interactions between the Perception of Light and Temperature. Indoor Air 2018, 28, 881–891. [Google Scholar] [CrossRef]
- Toftum, J.; Thorseth, A.; Markvart, J.; Logadóttir, Á. Occupant Response to Different Correlated Colour Temperatures of White LED Lighting. Build. Environ. 2018, 143, 258–268. [Google Scholar] [CrossRef]
- Baniya, R.R.; Tetri, E.; Virtanen, J.; Halonen, L. The Effect of Correlated Colour Temperature of Lighting on Thermal Sensation and Thermal Comfort in a Simulated Indoor Workplace. Indoor Built Environ. 2018, 27, 308–316. [Google Scholar] [CrossRef]
- Laura, B.; Claudio, Z.C.; Massimiliano, Z.; Riccardo, P. Investigating the Validity of the Hue-Heat Effect on Thermal Sensitivity. Sci. Rep. 2024, 14, 21413. [Google Scholar] [CrossRef] [PubMed]
- Schellen, L.; Van Marken Lichtenbelt, W.D.; Loomans, M.G.L.C.; Toftum, J.; De Wit, M.H. Differences between Young Adults and Elderly in Thermal Comfort, Productivity, and Thermal Physiology in Response to a Moderate Temperature Drift and a Steady-State Condition: Differences between Young Adults and Elderly in Thermal Comfort, Productivity, and Thermal Physiology. Indoor Air 2010, 20, 273–283. [Google Scholar] [CrossRef]
- Ragland, J.D.; Turetsky, B.I.; Gur, R.C.; Gunning-Dixon, F.; Turner, T.; Schroeder, L.; Chan, R.; Gur, R.E. Working Memory for Complex Figures: An fMRI Comparison of Letter and Fractal n-Back Tasks. Neuropsychology 2002, 16, 370–379. [Google Scholar] [CrossRef] [PubMed]
- Glahn, D.C.; Gur, R.C.; Ragland, J.D.; Censits, D.M.; Gur, R.E. Reliability, Performance Characteristics, Construct Validity, and an Initial Clinical Application of a Visual Object Learning Test (VOLT). Neuropsychology 1997, 11, 602–612. [Google Scholar] [CrossRef]
- Glahn, D.C.; Cannon, T.D.; Gur, R.E.; Ragland, J.D.; Gur, R.C. Working Memory Constrains Abstraction in Schizophrenia. Biol. Psychiatry 2000, 47, 34–42. [Google Scholar] [CrossRef]
- Benton, A.L. Visuospatial Judgment. Arch. Neurol. 1978, 35, 364–367. [Google Scholar] [CrossRef]
- Usui, N.; Haji, T.; Maruyama, M.; Katsuyama, N.; Uchida, S.; Hozawa, A.; Omori, K.; Tsuji, I.; Kawashima, R.; Taira, M. Cortical Areas Related to Performance of WAIS Digit Symbol Test: A Functional Imaging Study. Neurosci. Lett. 2009, 463, 1–5. [Google Scholar] [CrossRef]
- Dinges, D.F.; Powell, J.W. Microcomputer Analyses of Performance on a Portable, Simple Visual RT Task during Sustained Operations. Behav. Res. Methods Instrum. Comput. 1985, 17, 652–655. [Google Scholar] [CrossRef]
- Basner, M.; Mollicone, D.; Dinges, D.F. Validity and Sensitivity of a Brief Psychomotor Vigilance Test (PVT-B) to Total and Partial Sleep Deprivation. Acta Astronaut. 2011, 69, 949–959. [Google Scholar] [CrossRef]
- Gur, R. Computerized Neurocognitive Scanning: I. Methodology and Validation in Healthy People. Neuropsychopharmacology 2001, 25, 766–776. [Google Scholar] [CrossRef] [PubMed]
- Lejuez, C.W.; Read, J.P.; Kahler, C.W.; Richards, J.B.; Ramsey, S.E.; Stuart, G.L.; Strong, D.R.; Brown, R.A. Evaluation of a Behavioral Measure of Risk Taking: The Balloon Analogue Risk Task (BART). J. Exp. Psychol. Appl. 2002, 8, 75–84. [Google Scholar] [CrossRef]
- Basner, M.; Savitt, A.; Moore, T.M.; Port, A.M.; McGuire, S.; Ecker, A.J.; Nasrini, J.; Mollicone, D.J.; Mott, C.M.; McCann, T.; et al. Development and Validation of the Cognition Test Battery for Spaceflight. Aerosp. Med. Hum. Perform. 2015, 86, 942–952. [Google Scholar] [CrossRef] [PubMed]
- Taylor, Y.; Merat, N.; Jamson, S. The Effects of Fatigue on Cognitive Performance in Police Officers and Staff During a Forward Rotating Shift Pattern. Saf. Health Work 2019, 10, 67–74. [Google Scholar] [CrossRef] [PubMed]
- Gamaldo, A.A.; Tan, S.C.; Sardina, A.L.; Henzi, C.; Guest, R.; Ross, L.A.; Willingham, K.; Zonderman, A.B.; Andel, R.A. Older Black Adults’ Satisfaction and Anxiety Levels After Completing Alternative Versus Traditional Cognitive Batteries. J. Gerontol. Ser. B 2020, 75, 1462–1474. [Google Scholar] [CrossRef]
- Mulvaney, S.W.; Lynch, J.H.; De Leeuw, J.; Schroeder, M.; Kane, S. Neurocognitive Performance Is Not Degraded After Stellate Ganglion Block Treatment for Post-Traumatic Stress Disorder: A Case Series. Mil. Med. 2015, 180, e601–e604. [Google Scholar] [CrossRef]
- Nasreddine, Z.S.; Phillips, N.A.; Bédirian, V.; Charbonneau, S.; Whitehead, V.; Collin, I.; Cummings, J.L.; Chertkow, H. The Montreal Cognitive Assessment, MoCA: A Brief Screening Tool for Mild Cognitive Impairment. J. Am. Geriatr. Soc. 2005, 53, 695–699. [Google Scholar] [CrossRef]
- Folstein, M.F.; Folstein, S.E.; McHugh, P.R. Mini-Mental State. J. Psychiatr. Res. 1975, 12, 189–198. [Google Scholar] [CrossRef] [PubMed]
- Fan, H.; Meng, Y.; Zhu, L.; Fan, M.; Wang, D.-M.; Zhao, Y.-Q. A Review of Methods for Assessment of Cognitive Function in High-Altitude Hypoxic Environments. Brain Behav. 2024, 14, e3418. [Google Scholar] [CrossRef]
- McNeish, D.; Harring, J. Covariance Pattern Mixture Models: Eliminating Random Effects to Improve Convergence and Performance. Behav. Res. Methods 2020, 52, 947–979. [Google Scholar] [CrossRef] [PubMed]
- McNeish, D.M.; Stapleton, L.M. The Effect of Small Sample Size on Two-Level Model Estimates: A Review and Illustration. Educ. Psychol. Rev. 2016, 28, 295–314. [Google Scholar] [CrossRef]
- Rotz, W.; Joshee, A.; Yang, J. Degrees of Freedom and Confidence Interval Coverage in Complex Model Based Sampling and Estimation. In Proceedings of the Survey Research Methods Section. American Statistical Association 2006, Seattle, WA, USA, 6–10 August 2006; pp. 3610–3614. [Google Scholar]
- De Ville, B. Decision Trees. WIREs Comput. Stats 2013, 5, 448–455. [Google Scholar] [CrossRef]
- Timofeev, R. Classification and Regression Trees (CART) Theory and Applications; Humboldt University: Berlin, Germany, 2004; Volume 54, p. 48. [Google Scholar]
- Powar, J.D.; Dase, R.; Bhosle, D. Prediction of Diabetes Using Logistic Regression, Classification, and Regression Tree. J. Res. Med. Interpathy Sci. 2024, 2, 17–21. [Google Scholar]
- Jung, S.; Lee, J. Exploring a Conceptual Framework of Koreans’ Residential Satisfaction Based on Maslow’s Human Needs: A Qualitative and Quantitative Integrated Study. Sustainability 2023, 15, 14312. [Google Scholar] [CrossRef]
- Rutkowski, L.; Jaworski, M.; Pietruczuk, L.; Duda, P. The CART Decision Tree for Mining Data Streams. Inf. Sci. 2014, 266, 1–15. [Google Scholar] [CrossRef]
- Daniya, T.; Geetha, M.; Suresh Kumar, K. Classification and Regression Trees with Gini Index. Adv. Math. Sci. J. 2020, 9, 8237–8247. [Google Scholar] [CrossRef]
- Zou, K.H.; O’Malley, A.J.; Mauri, L. Receiver-Operating Characteristic Analysis for Evaluating Diagnostic Tests and Predictive Models. Circulation 2007, 115, 654–657. [Google Scholar] [CrossRef] [PubMed]
- Fan, J.; Upadhye, S.; Worster, A. Understanding Receiver Operating Characteristic (ROC) Curves. Can. J. Emerg. Med. 2006, 8, 19–20. [Google Scholar] [CrossRef]
- Hoo, Z.H.; Candlish, J.; Teare, D. What Is an ROC Curve? Emerg. Med. J. 2017, 34, 357–359. [Google Scholar] [CrossRef]
- Artigas, J.M.; Felipe, A.; Navea, A.; Fandiño, A.; Artigas, C. Spectral Transmission of the Human Crystalline Lens in Adult and Elderly Persons: Color and Total Transmission of Visible Light. Investig. Ophthalmol. Vis. Sci. 2012, 53, 4076–4084. [Google Scholar] [CrossRef]
- Fu, C.; Xiao, K.; Karatzas, D.; Wuerger, S. Investigation of Unique Hue Setting Changes with Ageing. Chin. Opt. Lett. 2011, 9, 053301. [Google Scholar] [CrossRef]
- Delcampo-Carda, A.; Torres-Barchino, A.; Serra-Lluch, J. Chromatic Interior Environments for the Elderly: A Literature Review. Color Res. Appl. 2019, 44, 381–395. [Google Scholar] [CrossRef]
- Wang, Z.-Y.; Cho, J.Y. Older Adults’ Response to Color Visibility in Indoor Residential Environment Using Eye-Tracking Technology. Sensors 2022, 22, 8766. [Google Scholar] [CrossRef]
- Mostafavi, A.; Xu, T.B.; Kalantari, S. Effects of Illuminance and Correlated Color Temperature on Emotional Responses and Lighting Adjustment Behaviors. J. Build. Eng. 2024, 86, 108833. [Google Scholar] [CrossRef]
- Wang, Y.; Liu, Q.; Gao, W.; Pointer, M.R.; Huang, Z.; Chen, W.; Wu, J. Interactive Effect of Illuminance and Correlated Colour Temperature on Colour Preference and Degree of White Light Sensation for Chinese Observers. Optik 2020, 224, 165675. [Google Scholar] [CrossRef]
- Maykot, J.K.; Rupp, R.F.; Ghisi, E. A Field Study about Gender and Thermal Comfort Temperatures in Office Buildings. Energy Build. 2018, 178, 254–264. [Google Scholar] [CrossRef]
- Cai, H.; Lin, Q.; Liu, H.; Yu, S.; Li, X.; Xiao, H. The Effects of Indoor Light Environment on Mood and Alertness Through Physiological Measurements. In Proceedings of the 2021 International Conference on Sensing, Measurement & Data Analytics in the era of Artificial Intelligence (ICSMD), Nanjing, China, 21–23 October 2021; pp. 1–4. [Google Scholar]
- Kuo, H.-K.; Jones, R.N.; Milberg, W.P.; Tennstedt, S.; Talbot, L.; Morris, J.N.; Lipsitz, L.A. Cognitive Function in Normal-Weight, Overweight, and Obese Older Adults: An Analysis of the Advanced Cognitive Training for Independent and Vital Elderly Cohort. J. Am. Geriatr. Soc. 2006, 54, 97–103. [Google Scholar] [CrossRef] [PubMed]
- Kiesswetter, E.; Schrader, E.; Diekmann, R.; Sieber, C.C.; Volkert, D. Varying Associations Between Body Mass Index and Physical and Cognitive Function in Three Samples of Older Adults Living in Different Settings. J. Gerontol. Ser. A 2015, 70, 1255–1261. [Google Scholar] [CrossRef] [PubMed]
- Kim, S.; Kim, Y.; Park, S.M. Body Mass Index and Decline of Cognitive Function. PLoS ONE 2016, 11, e0148908. [Google Scholar] [CrossRef]
- Noh, H.-M.; Oh, S.; Song, H.J.; Lee, E.Y.; Jeong, J.-Y.; Ryu, O.-H.; Hong, K.-S.; Kim, D.-H. Relationships between Cognitive Function and Body Composition among Community-Dwelling Older Adults: A Cross-Sectional Study. BMC Geriatr. 2017, 17, 259. [Google Scholar] [CrossRef] [PubMed]
- Visnovcova, Z.; Mestanik, M.; Gala, M.; Mestanikova, A.; Tonhajzerova, I. The Complexity of Electrodermal Activity Is Altered in Mental Cognitive Stressors. Comput. Biol. Med. 2016, 79, 123–129. [Google Scholar] [CrossRef]









| Condition | Task | Cognitive Function | Cognitive Domain | Gender |
|---|---|---|---|---|
| Cool Temp (18 °C) & Cool Light (480 nm) | AM | Abstraction | Visual and spatial perception | Overall & Male |
| LOT | Spatial orientation | Visual and spatial perception | Male | |
| Cool Temp (18 °C) & Warm Light (644 nm) | DSST | Complex scanning & visual tracking | Attention and concentration | Female |
| Warm Temp (28 °C) & Cool Light (480 nm) | VOLT | Visual learning & spatial working memory | Memory | Male |
| DSST | Complex scanning & visual tracking | Attention and concentration | Male | |
| Warm Temp (28 °C) & Warm Light (644 nm) | MPT | Sensory motor speed | Motor skills and construction | Male |
| BART | Risk decision making | Execution function | Overall & Female | |
| Warm Temp (28 °C) (General) | NBack | Working memory | Memory | Overall & Male |
| PVT | Vigilant attention | Attention and concentration | Male |
| Memory | Visual–Spatial | Attention | Motor | Executive | |||||
|---|---|---|---|---|---|---|---|---|---|
| NBack | VOLT | AM | LOT | PVT | DSST | MPT | BART | ||
| Mean | 470.04 | 575.94 | 511.69 | 695.32 | 648.58 | 712.64 | 978.28 | 833.94 | |
| Relative variable importance (%) | BMI | 88.2 | 100.0 | 100.0 | 100.0 | 100.0 | 86.8 | 100.0 | 82.5 |
| EDA | 34.9 | 84.2 | 36.0 | 37.9 | 43.0 | 100.0 | 43.8 | 70.2 | |
| Pupil size | 100.0 | 88.0 | 51.0 | 68.2 | 25.2 | 90.6 | 32.4 | 100.0 | |
| Indoor condition | 0.0 | 43.2 | 0.0 | 7.8 | 9.2 | 0.0 | 8.5 | 71.6 | |
| Gender | 0.0 | 23.0 | 1.2 | 0.1 | 35.3 | 26.8 | 14.2 | 21.8 | |
| Number of nodes | 9 | 14 | 7 | 10 | 9 | 7 | 9 | 7 | |
| Accuracy (%) | 74.0 | 86.8 | 78.5 | 87.9 | 83.3 | 82.0 | 90.7 | 74.1 | |
| AUC (95% CI) | Training | 0.8838 (0.6769, 1) | 0.9783 (0.8994,1) | 0.9007 (0.6489, 1) | 0.9709 (0.8893,1) | 0.9335 (0.7446, 1) | 0.9082 (0.5982, 1) | 0.9551 (0.7887, 1) | 0.8483 (0.5567, 1) |
| Test | 0.8172 (0.7513, 0.8830) | 0.9149 (0.8724, 0.9573) | 0.8069 (0.7391, 0.8747) | 0.9436 (0.9122, 0.9749) | 0.8923 (0.8372, 0.9473) | 0.8791 (0.8627, 0.9315) | 0.9297 (0.8330, 0.9764) | 0.7663 (0.6893, 0.8373) | |
| # | Input Variables | Accuracy (%) | Improvement (%) |
|---|---|---|---|
| 1 | Condition + Gender | 54.0 | Baseline |
| 2 | Condition + BMI | 86.2 | +32.2 |
| 3 | Condition + Pupil Size | 67.2 | +13.2 |
| 4 | Condition + EDA | 66.1 | +12.1 |
| 5 | Pupil Size + EDA | 69.0 | +15.0 |
| 6 | BMI + Pupil Size | 89.7 | +35.7 |
| 7 | BMI + Pupil Size + EDA | 86.2 | +32.2 |
| 8 | BMI + Pupil Size + Gender | 89.7 | +35.7 |
| 9 | Condition + BMI + Pupil Size | 89.7 | +35.7 |
| 10 | Condition + BMI + Pupil Size + EDA + Gender | 87.9 | +33.9 |
Disclaimer/Publisher’s Note: The statements, opinions and data contained in all publications are solely those of the individual author(s) and contributor(s) and not of MDPI and/or the editor(s). MDPI and/or the editor(s) disclaim responsibility for any injury to people or property resulting from any ideas, methods, instructions or products referred to in the content. |
© 2026 by the authors. Published by MDPI on behalf of the Swiss Federation of Clinical Neuro-Societies. Licensee MDPI, Basel, Switzerland. This article is an open access article distributed under the terms and conditions of the Creative Commons Attribution (CC BY) license.
Share and Cite
Son, S.; Sharp, N.; Yeom, D. Physiological Signals and Demographic-Driven Prediction for Older Adults’ Cognitive Functions Under Complex Indoor Thermal and Lighting Environments. Clin. Transl. Neurosci. 2026, 10, 4. https://doi.org/10.3390/ctn10010004
Son S, Sharp N, Yeom D. Physiological Signals and Demographic-Driven Prediction for Older Adults’ Cognitive Functions Under Complex Indoor Thermal and Lighting Environments. Clinical and Translational Neuroscience. 2026; 10(1):4. https://doi.org/10.3390/ctn10010004
Chicago/Turabian StyleSon, Seonghyuk, Nina Sharp, and Dongwoo (Jason) Yeom. 2026. "Physiological Signals and Demographic-Driven Prediction for Older Adults’ Cognitive Functions Under Complex Indoor Thermal and Lighting Environments" Clinical and Translational Neuroscience 10, no. 1: 4. https://doi.org/10.3390/ctn10010004
APA StyleSon, S., Sharp, N., & Yeom, D. (2026). Physiological Signals and Demographic-Driven Prediction for Older Adults’ Cognitive Functions Under Complex Indoor Thermal and Lighting Environments. Clinical and Translational Neuroscience, 10(1), 4. https://doi.org/10.3390/ctn10010004

