Comparison of Aluminum Alloy and Copper Friction Stir Burnishing Tools Combined with Direct Energy Deposition Arc Process on Microstructure and Microhardness of 316L Stainless Steel
Abstract
1. Introduction
2. Materials and Methods
2.1. The Simultaneous Process Experiment
2.2. Microhardness and Microstructure Analysis
2.3. Corrosion Test
- Surface corrosion through visual inspection;
- Evaluation and measurement of the number of inclusions and pits.
3. Results
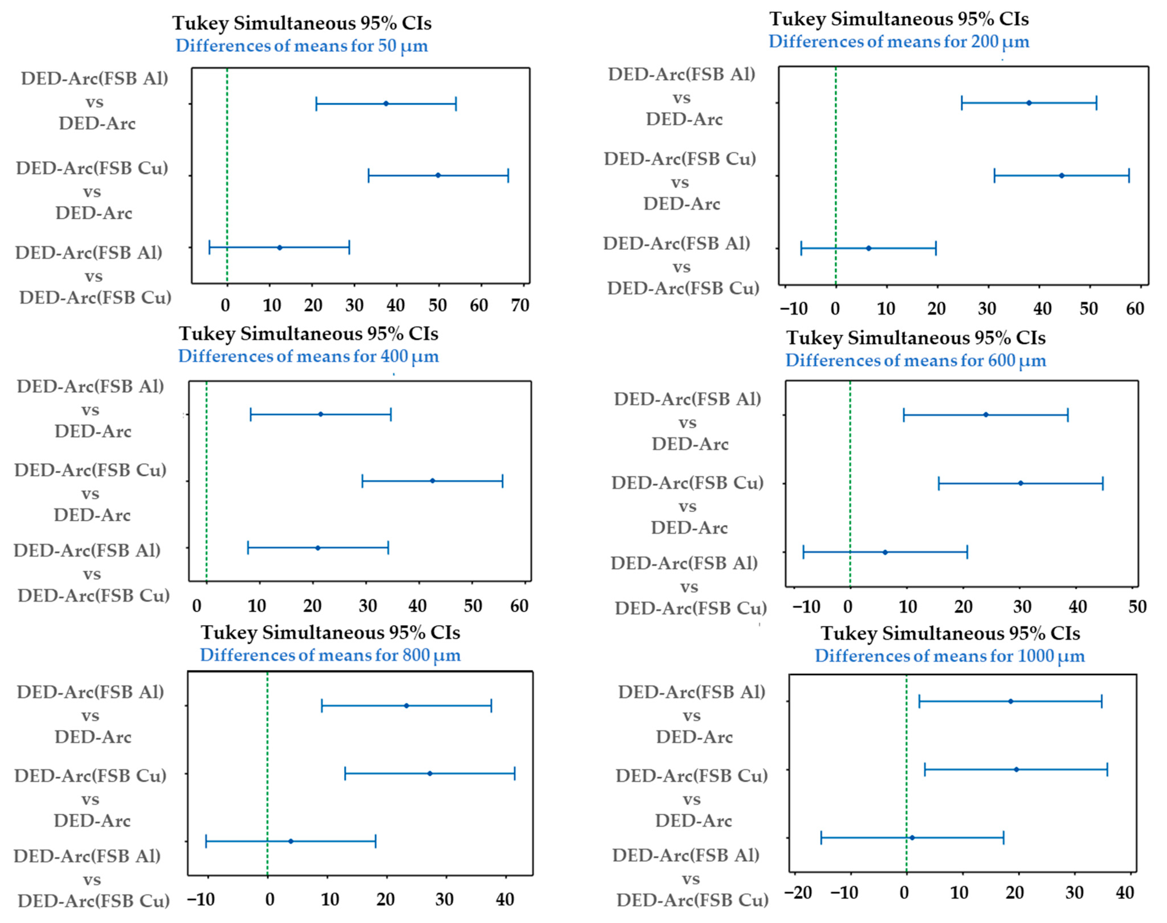
3.1. Microhardness
3.2. Secondary Dendrite Arm Spacing (SDAS)
3.3. Microstructure
3.4. Cooling Rate
3.5. Corrosion
4. Discussion
4.1. The Influence of FSB Tools on Microhardness and Microstructure
4.2. The Effect of FSB Tools on Corrosion Behavior
5. Conclusions and Future Work
- (1)
- The current findings emphasize that employing FSB tools made of Al and Cu in a simultaneous processing approach effectively mitigates the issue of coarse columnar dendrites commonly observed in the DED-Arc process. This improvement was attributed to applying thrust and shear forces with the FSB tool, which induced significant plastic strain when applied to the workpiece at temperatures exceeding the recrystallization threshold. This strain facilitates microstructural transformation by promoting dynamic recrystallization, reducing SDAS size, and limiting dislocation density. Statistical analysis confirmed that at all measured depths, the SDAS mean values were significantly reduced in specimens processed with FSB tools, with the Cu tool showing a more pronounced effect. Furthermore, comparing specimens processed with and without FSB tools highlights the critical role of cooling rates in shaping the microstructure, directly influencing microhardness properties.
- (2)
- The microhardness of specimens processed with DED-Arc combined with FSB tools made of Cu and Al were significantly improved compared to those processed without FSB tools. The highest average microhardness values were observed at a depth of 50 μm, with approximately 250 HV for the Cu FSB tool and 240 HV for the Al FSB tool. As the depth increased, microhardness decreased slightly. Statistical analysis revealed significant differences in microhardness values across all depths, with specimens processed by DED-Arc combined with FSB tools outperforming those processed without FSB tools. However, when comparing the FSB tools, no significant difference in microhardness was found between the Cu and Al FSB tools, except at 400 μm, where the Cu FSB tool exhibited consistently higher microhardness.
- (3)
- DED-Arc combined with FSB tools exhibited corrosion behavior influenced by the tool material. The Cu FSB tool produced no visible surface corrosion, possibly due to protective copper films, but it resulted in higher pit density, as shown by the ImageJ software analysis. In contrast, the Al FSB tool caused visible surface corrosion with lower density, possibly due to aluminum particle accumulation and galvanic effects with austenitic stainless steel. These findings suggest that surface and subsurface microstructural effects and tool-induced surface modifications may play significant roles, requiring further investigation to understand the mechanisms fully.
Author Contributions
Funding
Data Availability Statement
Conflicts of Interest
References
- Costa, J.N.; de Assis Faria, G.; Porcaro, R.R.; Pereira, I.C. Evaluation of near Immersion Active Cooling on the Microstructure and Mechanical Properties of AISI 316L Stainless Steel Obtained with Additive Manufacturing by DED-Arc. Int. J. Adv. Manuf. Technol. 2024, 134, 1419–1432. [Google Scholar] [CrossRef]
- Singh, A.; Kapil, S.; Das, M. A Comprehensive Review of the Methods and Mechanisms for Powder Feedstock Handling in Directed Energy Deposition. Addit. Manuf. 2020, 35, 101388. [Google Scholar] [CrossRef]
- Cunningham, C.R.; Flynn, J.M.; Shokrani, A.; Dhokia, V.; Newman, S.T. Invited Review Article: Strategies and Processes for High Quality Wire Arc Additive Manufacturing. Addit. Manuf. 2018, 22, 672–686. [Google Scholar] [CrossRef]
- Wu, B.; Pan, Z.; Ding, D.; Cuiuri, D.; Li, H.; Xu, J.; Norrish, J. A Review of the Wire Arc Additive Manufacturing of Metals: Properties, Defects and Quality Improvement. J. Manuf. Process. 2018, 35, 127–139. [Google Scholar] [CrossRef]
- Tomar, B.; Shiva, S.; Nath, T. A Review on Wire Arc Additive Manufacturing: Processing Parameters, Defects, Quality Improvement and Recent Advances. Mater. Today Commun. 2022, 31, 103739. [Google Scholar] [CrossRef]
- Jin, W.; Zhang, C.; Jin, S.; Tian, Y.; Wellmann, D.; Liu, W. Wire Arc Additive Manufacturing of Stainless Steels: A Review. Appl. Sci. 2020, 10, 1563. [Google Scholar] [CrossRef]
- Pattanayak, S.; Sahoo, S.K. Gas Metal Arc Welding Based Additive Manufacturing—A Review. CIRP J. Manuf. Sci. Technol. 2021, 33, 398–442. [Google Scholar] [CrossRef]
- Evans, S.I.; Wang, J.; Qin, J.; He, Y.; Shepherd, P.; Ding, J. A Review of WAAM for Steel Construction—Manufacturing, Material and Geometric Properties, Design, and Future Directions. Structures 2022, 44, 1506–1522. [Google Scholar] [CrossRef]
- Chen, X.; Li, J.; Cheng, X.; He, B.; Wang, H.; Huang, Z. Microstructure and Mechanical Properties of the Austenitic Stainless Steel 316L Fabricated by Gas Metal Arc Additive Manufacturing. Mater. Sci. Eng. A 2017, 703, 567–577. [Google Scholar] [CrossRef]
- Zhao, Y.; Chen, Y.; Wang, Z.; Ye, J.; Zhao, W. Mechanical Properties, Microstructural Characteristics and Heat Treatment Effects of WAAM Stainless-Steel Plate Material. J. Build. Eng. 2023, 75, 106988. [Google Scholar] [CrossRef]
- Shah, A.; Aliyev, R.; Zeidler, H.; Krinke, S. A Review of the Recent Developments and Challenges in Wire Arc Additive Manufacturing (WAAM) Process. J. Manuf. Mater. Process. 2023, 7, 97. [Google Scholar] [CrossRef]
- Zhang, Y.; Cheng, F.; Wu, S. Improvement of Pitting Corrosion Resistance of Wire Arc Additive Manufactured Duplex Stainless Steel through Post-Manufacturing Heat-Treatment. Mater. Charact. 2021, 171, 110743. [Google Scholar] [CrossRef]
- Zhong, Y.; Liu, L.; Wikman, S.; Cui, D.; Shen, Z. Intragranular Cellular Segregation Network Structure Strengthening 316L Stainless Steel Prepared by Selective Laser Melting. J. Nucl. Mater. 2016, 470, 170–178. [Google Scholar] [CrossRef]
- Bevan, M.; Ameri, A.; East, D.; Austin, D.; Brown, A.; Hazell, P.; Escobedo, J. Mechanical Properties and Behavior of Additive Manufactured Stainless Steel 316L. In Characterization of Minerals, Metals, and Materials 2017; Springer: Berlin/Heidelberg, Germany, 2017; pp. 577–583. ISBN 978-3-319-51381-2. [Google Scholar]
- Martin, L.P.; Luccitti, A.; Walluk, M. Evaluation of Additive Friction Stir Deposition of AISI 316L for Repairing Surface Material Loss in AISI 4340. Int. J. Adv. Manuf. Technol. 2022, 121, 2365–2381. [Google Scholar] [CrossRef]
- Li, Z.; Chai, L.; Tang, Y.; Zhang, C.; Qi, L.; Zhang, K.; Peng, C.; Huang, C. 316L Stainless Steel Repaired Layers by Weld Surfacing and Laser Cladding on a 27SiMn Steel: A Comparative Study of Microstructures, Corrosion, Hardness and Wear Performances. J. Mater. Res. Technol. 2023, 23, 2043–2053. [Google Scholar] [CrossRef]
- Yang, S.F.; Li, C.W.; Chen, A.Y.; Gan, B.; Gu, J.F. Microstructure and Corrosion Resistance of Stainless Steel Manufactured by Laser Melting Deposition. J. Manuf. Process. 2021, 65, 418–427. [Google Scholar] [CrossRef]
- Wang, C.; Zhu, P.; Wang, F.; Lu, Y.H.; Shoji, T. Anisotropy of Microstructure and Corrosion Resistance of 316L Stainless Steel Fabricated by Wire and Arc Additive Manufacturing. Corros. Sci. 2022, 206, 110549. [Google Scholar] [CrossRef]
- Vinoth, V.; Sathiyamurthy, S.; Natarajan, U.; Venkatkumar, D.; Prabhakaran, J.; Sanjeevi Prakash, K. Examination of Microstructure Properties of AISI 316L Stainless Steel Fabricated by Wire Arc Additive Manufacturing. Mater. Today Proc. 2022, 66, 702–706. [Google Scholar] [CrossRef]
- Huang, L.; Chen, X.; Konovalov, S.; Su, C.; Fan, P.; Wang, Y.; Xiaoming, P.; Panchenko, I. A Review of Challenges for Wire and Arc Additive Manufacturing (WAAM). Trans. Indian. Inst. Met. 2023, 76, 1123–1139. [Google Scholar] [CrossRef]
- Xiong, Y.; Wen, D.; Zheng, Z.; Sun, C.; Xie, J.; Li, J. Effect of Heat Treatment on Microstructure and Mechanical Properties of Directed Energy Deposition-Arc 300M Steel. Mater. Charact. 2023, 198, 112756. [Google Scholar] [CrossRef]
- Paranthaman; Poosapadi, D.; Sailesh, A.; Sharma, V.; Singh, R.; L, R.B.; Arun, K.K.; Ravichandran, M.; Senthil, T.S. Role of Heat Treatment in Enhancing Microstructure and Properties of Inconel 625 Manufactured by Directed Energy Deposition Using Wire Arc. J. Alloys Metall. Syst. 2025, 9, 100147. [Google Scholar] [CrossRef]
- Rodrigues, T.A.; Escobar, J.D.; Shen, J.; Duarte, V.R.; Ribamar, G.G.; Avila, J.A.; Maawad, E.; Schell, N.; Santos, T.G.; Oliveira, J.P. Effect of Heat Treatments on 316 Stainless Steel Parts Fabricated by Wire and Arc Additive Manufacturing: Microstructure and Synchrotron X-Ray Diffraction Analysis. Addit. Manuf. 2021, 48, 102428. [Google Scholar] [CrossRef]
- Yuan, D.; Sun, X.; Sun, L.; Zhang, Z.; Guo, C.; Wang, J.; Jiang, F. Improvement of the Grain Structure and Mechanical Properties of Austenitic Stainless Steel Fabricated by Laser and Wire Additive Manufacturing Assisted with Ultrasonic Vibration. Mater. Sci. Eng. A 2021, 813, 141177. [Google Scholar] [CrossRef]
- Zhang, T.; Li, H.; Gong, H.; Ding, J.; Wu, Y.; Diao, C.; Zhang, X.; Williams, S. Hybrid Wire—Arc Additive Manufacture and Effect of Rolling Process on Microstructure and Tensile Properties of Inconel 718. J. Mater. Process. Technol. 2022, 299, 117361. [Google Scholar] [CrossRef]
- Rodrigues, T.A.; Duarte, V.R.; Tomás, D.; Avila, J.A.; Escobar, J.D.; Rossinyol, E.; Schell, N.; Santos, T.G.; Oliveira, J.P. In-Situ Strengthening of a High Strength Low Alloy Steel during Wire and Arc Additive Manufacturing (WAAM). Addit. Manuf. 2020, 34, 101200. [Google Scholar] [CrossRef]
- Xu, H.; Tian, T.; Hua, B.; Zhan, W.; Niu, L.; Han, B.; Zhang, Q. Effect of In-Situ Rolling and Heat Treatment on Microstructure, Mechanical and Corrosion Properties of Wire-Arc Additively Manufactured 316L Stainless Steel. J. Mater. Res. Technol. 2023, 27, 3349–3361. [Google Scholar] [CrossRef]
- Günen, A.; Gürol, U.; Koçak, M.; Çam, G. A New Approach to Improve Some Properties of Wire Arc Additively Manufactured Stainless Steel Components: Simultaneous Homogenization and Boriding. Surf. Coat. Technol. 2023, 460, 129395. [Google Scholar] [CrossRef]
- Niu, F.; Bi, W.; Li, C.; Sun, X.; Ma, G.; Wu, D. TiC Ceramic Coating Reinforced 304 Stainless Steel Components Fabricated by WAAM-LC Integrated Hybrid Manufacturing. Surf. Coat. Technol. 2023, 465, 129635. [Google Scholar] [CrossRef]
- Dinovitzer, M.; Chen, X.; Laliberte, J.; Huang, X.; Frei, H. Effect of Wire and Arc Additive Manufacturing (WAAM) Process Parameters on Bead Geometry and Microstructure. Addit. Manuf. 2019, 26, 138–146. [Google Scholar] [CrossRef]
- Richmire, S.; Hall, K.; Haghshenas, M. Design of Experiment Study on Hardness Variations in Friction Stir Welding of AM60 Mg Alloy. J. Magnes. Alloys 2018, 6, 215–228. [Google Scholar] [CrossRef]
- Nakata, Y.; Abe, T.; Kaneko, J. Suppression of Anisotropy by Wire and Arc Additive Manufacturing with Finishing Process. J. Adv. Mech. Des. Syst. Manuf. 2021, 15, JAMDSM0066. [Google Scholar] [CrossRef]
- Praveena, B.A.; Lokesh, N.; Abdulrajak, B.; Santhosh, N.; Praveena, B.L.; Vignesh, R. A Comprehensive Review of Emerging Additive Manufacturing (3D Printing Technology): Methods, Materials, Applications, Challenges, Trends and Future Potential. Mater. Today Proc. 2022, 52, 1309–1313. [Google Scholar] [CrossRef]
- Wynne, Z.; Buchanan, C.; Kyvelou, P.; Gardner, L.; Kromanis, R.; Stratford, T.; Reynolds, T. Dynamic Testing and Analysis of the World’s First Metal 3D Printed Bridge. Case Stud. Constr. Mater. 2022, 17, e01541. [Google Scholar] [CrossRef]
- Cordkaew, T.; Kaneko, J.; Abe, T. Analysis of the Relationship Between Process Parameters and Microhardness for the Finishing Process by Wire Arc Additive Manufacturing Combined with the FSB Tool of Austenitic Stainless Steel 316L. Int. J. Autom. Technol. 2024, 18, 688–701. [Google Scholar] [CrossRef]
- Duarte, V.R.; Rodrigues, T.A.; Schell, N.; Miranda, R.M.; Oliveira, J.P.; Santos, T.G. Hot Forging Wire and Arc Additive Manufacturing (HF-WAAM). Addit. Manuf. 2020, 35, 101193. [Google Scholar] [CrossRef]
- Ma, Y.; Dong, H.; Li, P.; Wu, B.; Huang, L.; Zhang, L.; Li, C.; Li, J. Galvanic Corrosion of AA5052/304SS Welded Joint with Zn-Based Filler Metal in Marine Engineering. Corros. Sci. 2023, 211, 110912. [Google Scholar] [CrossRef]
- Ram, D. Comparison of Copper and Aluminum as the Thermal Link. Material for Conduction-Cooled Accelerator Cavities. engrXiv 2022. [Google Scholar] [CrossRef]
- Yamashita, M.; Iwatsuka, T.; Taguchi, H.; Nikawa, M. Impact Joining of Pure Copper C1100 and Aluminum Alloy A6061-T6 Plates at Edges. Metals 2022, 12, 1565. [Google Scholar] [CrossRef]
- Das, A.; Barai, A.; Masters, I. Williams Comparison of Tab-To-Busbar Ultrasonic Joints for Electric Vehicle Li-Ion Battery Applications. World Electr. Veh. J. 2019, 10, 55. [Google Scholar] [CrossRef]
- Bhowmik, A.; Kumar Khandelwal, A. Mechanical Behaviour of Annealed Al 5052 at Different Temperatures. Mater. Today Proc. 2021, 46, 6091–6096. [Google Scholar] [CrossRef]
- Vandersluis, E.; Ravindran, C. Comparison of Measurement Methods for Secondary Dendrite Arm Spacing. Metallogr. Microstruct. Anal. 2017, 6, 89–94. [Google Scholar] [CrossRef]
- Gonsalez-Bueno, C.; da Silva, S.; Brennan, M.; Lopes Junior, V. Structural Damage Detection in an Aeronautical Panel Using Analysis of Variance. Mech. Syst. Signal Process. 2015, 52, 206–216. [Google Scholar] [CrossRef]
- Naksuk, N.; Nakngoenthong, J.; Printrakoon, W.; Yuttawiriya, R. Real-Time Temperature Measurement Using Infrared Thermography Camera and Effects on Tensile Strength and Microhardness of Hot Wire Plasma Arc Welding. Metals 2020, 10, 1046. [Google Scholar] [CrossRef]
- Li, K.; Chen, W.; Gong, N.; Pu, H.; Luo, J.; Zhang, D.Z.; Murr, L.E. A Critical Review on Wire-Arc Directed Energy Deposition of High-Performance Steels. J. Mater. Res. Technol. 2023, 24, 9369–9412. [Google Scholar] [CrossRef]
- ASTM G1-03; Standard Practice for Preparing, Cleaning, and Evaluating Corrosion Test Specimens. ASTM International: West Conshohocken, PA, USA, 2003.
- ASTM G48-11; Standard Test Methods for Pitting and Crevice Corrosion Resistance of Stainless Steels and Related Alloys by Use of Ferric Chloride Solution. ASTM International: West Conshohocken, PA, USA, 2020.
- ASTM G46-94; Standard Guide for Examination and Evaluation of Pitting Corrosion. ASTM International: West Conshohocken, PA, USA, 1994.
- Adamczyk, K.; Stokkan, G.; Di Sabatino, M. Guidelines for Establishing an Etching Procedure for Dislocation Density Measurements on Multicrystalline Silicon Samples. MethodsX 2018, 5, 1178–1186. [Google Scholar] [CrossRef]
- Chen, W.; Yin, G.; Feng, Z.; Liao, X. Effect of Powder Feedstock on Microstructure and Mechanical Properties of the 316L Stainless Steel Fabricated by Selective Laser Melting. Metals 2018, 8, 729. [Google Scholar] [CrossRef]
- Cicutti, C.; Boeri, R. On the Relationship between Primary and Secondary Dendrite Arm Spacing in Continuous Casting Products. Scr. Mater. 2001, 45, 1455–1460. [Google Scholar] [CrossRef]
- Vora, J.; Parmar, H.; Chaudhari, R.; Khanna, S.; Doshi, M.; Patel, V. Experimental Investigations on Mechanical Properties of Multi-Layered Structure Fabricated by GMAW-Based WAAM of SS316L. J. Mater. Res. Technol. 2022, 20, 2748–2757. [Google Scholar] [CrossRef]
- Koli, Y.; Aravindan, S.; Rao, P.V. Influence of Heat Input on the Evolution of δ-Ferrite Grain Morphology of SS308L Fabricated Using WAAM-CMT. Mater. Charact. 2022, 194, 112363. [Google Scholar] [CrossRef]
- Li, Y.; Luo, Y.; Li, J.; Song, D.; Xu, B.; Chen, X. Ferrite Formation and Its Effect on Deformation Mechanism of Wire Arc Additive Manufactured 308 L Stainless Steel. J. Nucl. Mater. 2021, 550, 152933. [Google Scholar] [CrossRef]
- Kumar, M.; Singh, J.; Singh Uppal, A. Improvement in Corrosion Resistance of AISI 316L Stainless Steel Weld Cladding Using GTA Remelting Technique. Mater. Today Proc. 2022, 65, 3224–3228. [Google Scholar] [CrossRef]
- Qiu, J.; Wu, A.; Li, Y.; Xu, Y.; Scarlat, R.; Macdonald, D.D. Galvanic Corrosion of Type 316L Stainless Steel and Graphite in Molten Fluoride Salt. Corros. Sci. 2020, 170, 108677. [Google Scholar] [CrossRef]
- Rahman, M.A.; Jamal, S.; Cruz, M.V.; Silwal, B.; Taheri, H. In Situ Process Monitoring of Multi-Layer Deposition in Wire Arc Additive Manufacturing (WAAM) Process with Acoustic Data Analysis and Machine Learning. Int. J. Adv. Manuf. Technol. 2024, 132, 5087–5101. [Google Scholar] [CrossRef]
- Nanda, A.; Mahapatra, A.; Mohapatra, B. mahapatra, abinash Multiple Comparison Test by Tukey’s Honestly Significant Difference (HSD): Do the Confident Level Control Type I Error. Int. J. Appl. Math. Stat. 2021, 6, 59–65. [Google Scholar] [CrossRef]
- Lee, S. CMT-Based Wire Arc Additive Manufacturing Using 316L Stainless Steel: Effect of Heat Accumulation on the Multi-Layer Deposits. Metals 2020, 10, 278. [Google Scholar] [CrossRef]
- Zhang, G.; He, G.; Gu, Y.; Shi, Y. Effect of Process Parameters on Arc Shape, Macroscopic Features, and Microhardness in Pulsed GMA–Additive Manufacturing. Crystals 2023, 13, 546. [Google Scholar] [CrossRef]
- Xu, H.; Zhang, Q.; Tian, T.; Niu, L.; Li, H.; Han, B.; Zhu, H.; Wang, X. In-Situ Hot Rolling Directed Energy Deposition-Arc Repair of Shafts. Addit. Manuf. 2023, 61, 103362. [Google Scholar] [CrossRef]
- Abrami, M.B.; Tocci, M.; Obeidi, M.A.; Brabazon, D.; Pola, A. Prediction of Microstructure for AISI316L Steel from Numerical Simulation of Laser Powder Bed Fusion. Met. Mater. Int. 2022, 28, 2735–2746. [Google Scholar] [CrossRef]
- Hansen, N. Hall–Petch Relation and Boundary Strengthening. Scr. Mater. 2004, 51, 801–806. [Google Scholar] [CrossRef]
- Haldar, N.; Anand, S.; Datta, S.; Das, A. Microstructure and Mechanical Property Characterization of Wire Arc Additively Manufactured SS308L Built Part: Study of Heat Interaction Phenomena. J. Mater. Eng. Perform. 2024, 33, 13178–13202. [Google Scholar] [CrossRef]
- Kumar, M.D.B.; Arivazhagan, N.; Tofil, S.; Andersson, J.; Kozak, J.; Manikandan, M. Influence of Pulsed Current GTAW-WAAM Process Parameters on the Single Layer Bead Geometry and Multi Bead Multi-Layer Deposition of a Nickel-Based Superalloy. Mater. Today Commun. 2024, 39, 108824. [Google Scholar] [CrossRef]
- Yanushkevich, Z.; Dobatkin, S.V.; Belyakov, A.; Kaibyshev, R. Hall-Petch Relationship for Austenitic Stainless Steels Processed by Large Strain Warm Rolling. Acta Mater. 2017, 136, 39–48. [Google Scholar] [CrossRef]
- Zhu, P.; Cao, X.; Wang, W.; Zhao, J.; Lu, Y.; Shoji, T. An Investigation on Microstructure and Pitting Corrosion Behavior of 316L Stainless Steel Weld Joint. J. Mater. Res. 2017, 32, 3904–3911. [Google Scholar] [CrossRef]
- Vatani, R.; Zamani-Meymian, M.-R.; Ghaffarinejad, A.; Khalilzadeh, S. Corrosion Protection of CrCu Alloy Coating on Stainless Steel. Surf. Coat. Technol. 2023, 474, 130106. [Google Scholar] [CrossRef]
- Mirshekari, G.R.; Tavakoli, E.; Atapour, M.; Sadeghian, B. Microstructure and Corrosion Behavior of Multipass Gas Tungsten Arc Welded 304L Stainless Steel. Mater. Des. 2014, 55, 905–911. [Google Scholar] [CrossRef]
- Abbasi Aghuy, A.; Zakeri, M.; Moayed, M.H.; Mazinani, M. Effect of Grain Size on Pitting Corrosion of 304L Austenitic Stainless Steel. Corros. Sci. 2015, 94, 368–376. [Google Scholar] [CrossRef]















| Material | Chemical Composition (wt.%) | |||||
|---|---|---|---|---|---|---|
| C | Si | Mn | Ni | Cr | Mo | |
| Wire Z 3321 YS316L | 0.025 | 0.39 | 1.58 | 12.7 | 19.2 | 2.3 |
| Experiment Parameter | Value |
|---|---|
| Welding current | 220 A |
| Welding voltage | 20.5 V |
| Assist gas | 15 L/min |
| Ar 98% | |
| O2 2% | |
| Torch height | 15 mm |
| Torch to tool distance | 20 mm |
| Machine feed speed | 356 mm/min |
| Rotational Speed | 1900 rpm |
| Depth of stirring | 0.5 mm |
| Process | Temperature @1073.2 K (K) | Temperature @773.15 K (K) | Time @1073.2 K (s) | Time @773.15 K (s) | Cooling Rate (K/s) |
|---|---|---|---|---|---|
| DED-Arc | 1058.9 | 782.45 | 9 | 18 | 303.87 |
| DED-Arc combined with Al FSB tool | 1060 | 772.25 | 8 | 17 | 305.12 |
| DED-Arc combined with Cu FSB tool | 1093.8 | 774.15 | 6 | 12 | 326.43 |
Disclaimer/Publisher’s Note: The statements, opinions and data contained in all publications are solely those of the individual author(s) and contributor(s) and not of MDPI and/or the editor(s). MDPI and/or the editor(s) disclaim responsibility for any injury to people or property resulting from any ideas, methods, instructions or products referred to in the content. |
© 2025 by the authors. Licensee MDPI, Basel, Switzerland. This article is an open access article distributed under the terms and conditions of the Creative Commons Attribution (CC BY) license (https://creativecommons.org/licenses/by/4.0/).
Share and Cite
Cordkaew, T.; Kaneko, J.; Abe, T. Comparison of Aluminum Alloy and Copper Friction Stir Burnishing Tools Combined with Direct Energy Deposition Arc Process on Microstructure and Microhardness of 316L Stainless Steel. J. Manuf. Mater. Process. 2025, 9, 53. https://doi.org/10.3390/jmmp9020053
Cordkaew T, Kaneko J, Abe T. Comparison of Aluminum Alloy and Copper Friction Stir Burnishing Tools Combined with Direct Energy Deposition Arc Process on Microstructure and Microhardness of 316L Stainless Steel. Journal of Manufacturing and Materials Processing. 2025; 9(2):53. https://doi.org/10.3390/jmmp9020053
Chicago/Turabian StyleCordkaew, Teerayut, Jun’ichi Kaneko, and Takeyuki Abe. 2025. "Comparison of Aluminum Alloy and Copper Friction Stir Burnishing Tools Combined with Direct Energy Deposition Arc Process on Microstructure and Microhardness of 316L Stainless Steel" Journal of Manufacturing and Materials Processing 9, no. 2: 53. https://doi.org/10.3390/jmmp9020053
APA StyleCordkaew, T., Kaneko, J., & Abe, T. (2025). Comparison of Aluminum Alloy and Copper Friction Stir Burnishing Tools Combined with Direct Energy Deposition Arc Process on Microstructure and Microhardness of 316L Stainless Steel. Journal of Manufacturing and Materials Processing, 9(2), 53. https://doi.org/10.3390/jmmp9020053

