Next Article in Journal
Evolution of Microstructures and Mechanical Properties of Laser-Welded Maraging Steel for Aerospace Applications: The Past, Present, and Future Prospect
Previous Article in Journal
An Explainable Lightweight Framework for Process Control and Fault Detection in Additive Manufacturing
 
 
Font Type:
Arial Georgia Verdana
Font Size:
Aa Aa Aa
Line Spacing:
Column Width:
Background:
Article

Optimization of Injection Molding Parameters for Warpage Reduction on Polypropylene Plates

by
Jorge Jiménez-Armendáriz
1,
Andrea Guevara-Morales
2,
Ulises Figueroa-López
2,
Mariel Alfaro-Ponce
3,
José Martínez-Trinidad
4 and
Moises Jimenez-Martinez
1,*
1
Tecnologico de Monterrey, School of Engineering and Sciences, Via Atlixcayotl 5718, Puebla 72453, Mexico
2
Tecnologico de Monterrey, School of Engineering and Sciences, Av Lago de Guadalupe KM 3.5, Margarita Maza de Juárez, Ciudad Lopez Mateos 52926, Mexico
3
Tecnologico de Monterrey, Institute of Advanced Materials for Sustainable Manufacturing, Calle del Puente 222 Col. Ejidos de Huipulco Tlalpan, Ciudad de Mexico 14380, Mexico
4
Grupo Ingeniería de Superficies, Instituto Politecnico Nacional, SEPI ESIME Zacantenco, CDMX, Ciudad de Mexico 07700, Mexico
*
Author to whom correspondence should be addressed.
J. Manuf. Mater. Process. 2025, 9(12), 393; https://doi.org/10.3390/jmmp9120393
Submission received: 30 September 2025 / Revised: 7 November 2025 / Accepted: 9 November 2025 / Published: 29 November 2025

Abstract

Injection molding is a high-volume manufacturing process widely used for producing polymer components; however, its process parameters strongly influence residual stress, warpage, and the resulting mechanical performance. This work presents a comprehensive factorial design and ANOVA to evaluate the simultaneous effects of the injection temperature, packing pressure, packing time, and specimen orientation on the warpage, hardness, tensile, and flexural properties of polypropylene plates. The results demonstrate that the injection temperature and packing pressure are the dominant factors affecting the hardness and ultimate tensile strength, whereas warpage is mainly governed by the injection temperature and orientation. Under the tested conditions, certain combinations of injection temperature and packing pressure led to an improved mechanical performance; however, these adjustments also produced reductions in other properties, indicating that the balance among parameters depends on the targeted application rather than a single optimal set. Conversely, the parameter combination that produced the lowest warpage still yielded a significant increase in E s e c , indicating that reducing the warpage does not necessarily compromise the tensile stiffness. Interestingly, variations in the stress distribution between the tensile and bending tests suggest that the solidification-induced structure of the material influences its mechanical response, with specimens that showed a lower tensile strength exhibiting a comparatively higher resistance under bending. These findings provide new insights into the trade-offs between dimensional accuracy and mechanical performance and offer practical guidelines for optimizing polypropylene injection molding processes.

1. Introduction

Injection molding is a highly productive manufacturing method. The numerous injection molding parameters that control the temperature and pressure present during filling, packing, and cooling result in different crystalline structures in the components and, therefore, different mechanical properties. Changes in the pressure and temperature during filling produce residual stresses that are not fully relaxed during solidification and that affect the mechanical performance [1]. Differences in temperature distribution during filling generate uneven solidification, which causes warpage [2].
Warpage is the distortion or bending out of plane of molding parts [3], and it is caused by variations in the molecular flow orientation in different areas of the surface and along the thickness, known as flow-induced residual stress, as well as uneven cooling rates and uneven shrinkage, which generate thermal residual stress [4]. While flow-induced stress generates anisotropy in the plane and thickness, thermal stress causes warpage [5]. In the packing phase, additional material is injected into the cavity to compensate for shrinkage occurring in solidification. The packing parameters can also be optimized to minimize warpage. Haddout et al. found that warpage increased from 0.6 s to 0.8 s and then decreased when the packing time was extended [6].
If the injection gate is big enough, as in the fan gate type, it takes longer to freeze, so the packing time does not affect the warpage, as found by Sun et al. [7]. Although packing can reduce shrinkage during solidification, adding more pressure may increase the residual stress on the material, increasing warpage, as found by Li et al. [8]. This increase and reduction behavior was also found by Haddout et al., when the warpage increased from 300 MPa to 375 MPa and then reduced until a P packing of 450 MPa [6]. Sun et al. observed a similar behavior [7].
Several works have studied the effect of the process parameters on warpage by experimental testing and identifying the best combination of parameters. Oliaei et al. [9] studied the effect of the coolant temperature, packing time, packing pressure, mold temperature, injection temperature, and their interactions on the shrinkage and warpage of polylactic acid (PLA), polylactic acid–thermoplastic polyurethane (PLA-TPU), and polylactic acid–thermoplastic starch (PLA-TPS) by performing an experiment using Taguchi’s L27 design and an ANOVA. From the ANOVA, they found that the injection temperature, coolant temperature, and packing time significantly affected the shrinkage and warpage values.
Chen et al. [10] studied the effect of the process parameters on the warpage of polyamide PA9T by performing experiments and measuring the warpage experimentally. From an ANOVA, they found that the packing pressure and injection temperature were the most significant factors affecting the warpage. Abdul et al. [11] determined the effect of the injection speed, holding time, and cooling time on shrinkage with experiments using the Taguchi design and an ANOVA. They concluded that the optimal combination of process parameters can reduce shrinkage by 5.06%.
Residual stresses are also linked to the morphology of layers formed during solidification, with an oriented outer layer and an amorphous inner core. This difference in the morphology results in different mechanical properties, as highly oriented chains in the skin of the part have higher values for the mechanical properties than the less-oriented core [12]. Because the process parameters determine the solidification process, the effect of the process parameters on the mechanical properties and optimization has also been studied experimentally. Zhang et al. [13] conducted experiments that followed an orthogonal design to determine the effect of the packing time, packing pressure, mold temperature, and injection rate on the PP tensile strength and obtained a tensile strength of 33.57 MPa, which is higher than the previous value, just by implementing the optimal process parameters.
Due to the characteristic skin-core morphology resulting from the rapid solidification of the outer surfaces [14] of injected material and the frozen orientation of polymeric chains [15], the effect of the process parameters on hardness has also been studied. Muneer et al. studied the effect of the injection pressure on the Shore D hardness of a mix of neat and recycled polypropylene and found an increase in hardness with a higher packing pressure [16]. Fucikova et al. also studied the effect of the injection pressure and mold temperature on the hardness of injected PP while considering the distance from the gate, finding a higher hardness with a lower injection pressure and mold temperature [15].
Due to the anisotropy generated by the frozen orientation of the chains and the accumulation of residual stress, the compressive behavior of injected PP, which can be addressed by three-point bending, should be evaluated. This property is important for developing materials for applications under bending, like beams and plates, where both tension and compression occur simultaneously in the component. The effect of the process parameters on the flexural properties has been studied experimentally, but our knowledge is still limited. Cunha et al. [17] predicted the flexural mechanical properties of PP as a function of the gate type, injection rate, and mold temperature. Most recently, Öktem et al. [18] experimentally optimized the flexural properties of PP by testing different combinations of melt temperature, injection pressure, packing pressure, packing time, and cooling time and implementing a multi-objective optimization model; however, they did not conclude on how the flexural properties were affected individually by changes in the process parameters or how they relate to the tensile properties.
To summarize, residual stress is a consequence of thermal and pressure changes during the injection, packing, and cooling processes, which are controlled by the process parameters. The residual stress distribution on the surface and the thickness of the part generates warpage and anisotropy in the mechanical properties. Although many works have studied the effect of process parameters on warpage, and on mechanical properties individually, a comprehensive study that simultaneously evaluates the effect of the process parameters on the warpage, tensile properties, flexural properties, and hardness is still lacking. Also, because warpage is a consequence of residual stress, warpage can be reduced without significantly varying the mechanical properties attributed to the distribution of residual stress. In this work, the injection temperature, packing pressure, and packing time were varied according to an experimental design to determine their effect on the warpage, hardness, secant tensile elastic modulus, ultimate tensile strength, strain at the ultimate tensile strength, flexural strength, and flexural modulus. The best combination of process parameters for a reduced warpage and improved mechanical properties was identified by an ANOVA and compared to a reference combination of processing parameters. Specimens at different orientations along the melt flow were cut, measured, and tested to consider the anisotropy of the mechanical properties.

2. Materials and Methods

The material injected was PP supplied by Politene. The supplied material was characterized by DSC (differential scanning calorimetry), FTIR (Fourier transform infrared spectroscopy), and MFR (melt flow rate) analyses at Tecnológico de Monterrey CEM.
A DSC analysis was performed to measure the temperature and heat flow associated with thermal transitions in the material by determining the enthalpy of the process. The process consisted of putting an empty reference pan and a pan containing the material on a thermoelectric disk, surrounded by a furnace. The temperature difference between the reference and sample pans was measured using area thermocouples, which depend on the heat capacity (Cp) of the sample, and calculating the heat flow by Ohm’s law [19]. From this analysis, a fusion melting temperature of 168.6 °C and a crystallization temperature of 113.21 °C were measured, which are close to the PP specifications.
An FTIR analysis was conducted by transmitting infrared radiation (10 µm wavelength) through the sample and measuring the resulting absorption spectrum, corresponding to molecular vibrational and rotational modes [20]. The peaks observed in the spectra of the injected material samples were consistent with the reference spectra for PP, confirming its composition.
An MFR analysis was performed according to the ASTM D1238 standard using a force-controlled extrusion plastometer [21]. Pellets were heated and extruded under constant force through a die 8 mm in height with a 2.095 mm orifice. The extrudate was cut at fixed time intervals, and the mass of each segment was measured using an analytical balance. The reported MFR corresponds to the average of three measurements. An MFR of 4.297 g/10 min was obtained, consistent with PP specifications.
The results from these analyses were employed to define the rheological and thermal properties of the material in the Moldflow simulation, which was performed to verify proper cavity filling for each experimental design combination.

2.1. Injection of Specimens

From the literature, the most commonly studied experimental parameters were identified: the melt temperature, mold temperature, packing pressure, and injection speed [1,22,23,24]. Based on this, the range of process parameters for PP shown in Table 1 was defined.
A Battenfeld TM 1000/525 injection molding machine with a closing force of 100 tons and a screw diameter of 35 mm was used to obtain the specimens. The injection pressure for all the samples was kept constant at 50 bar, adjusted directly from the machine console (equivalent to 75 MPa at the nozzle according to the conversion factor in Figure 1), and 1.65 s of injection time. The mold did not include an integrated thermal control or heating mechanism; therefore, its temperature was not actively regulated during the cooling stage. The absence of active temperature control could lead to variability in the measured mechanical properties, as reflected in the ANOVA. A constant cooling time of 30 s was applied in all cycles to ensure sufficient temperature reduction within the mold cavity before opening. The mold material was steel A36. The injected plate had dimensions of 140 mm × 132 mm and a 3.2 mm thickness, as shown in Figure 2. The fan injection gate in Figure 3 promoted a linear parallel direction of injected material along the principal axis, enabling the extraction of specimens with degrees of orientation to the injection flow as shown in Figure 4. The mold’s feeding system consisted of semi-circular runners with a diameter of 6 mm connected to a fan gate, as illustrated in Figure 5.
A full factorial experimental design was prepared. The factors and levels selected were the injection temperature ( T injection ), packing pressure ( P packing ), and packing time ( t packing ). Three equally spaced levels for each factor were determined. The factors and levels are shown in Table 2. The resulting 3 3 = 27 process parameter combinations and their identifiers are summarized in Table 3.
The maximum packing time was set to 6s in the design of experiments because no significant change in the article’s mass was observed beyond that packing time.
From the same state-of-the-art review, the most common levels of parameters regarded as control values were identified and are summarized in Table 4.
By comparing these intervals with the combinations in Table 3, the combination of process parameters that was selected as a reference was combination A. The injection speed was constant for all the specimens, so this factor was not the determinant for selecting the reference.
To account for the anisotropy of the material, the specimens were oriented at 0°, 45°, and 90° relative to the injection flow. For each parameter combination and orientation, four specimens were CNC-milled from the injected plates for the warpage, tensile, and bending tests. The alignment of the test specimens with the injection flux and its distribution on the injected piece are shown in Figure 4.
The geometry of the quasi-static tensile specimens followed the ASTM D638 Type IV standard [25]. The warpage and three-point bending specimens were prepared according to ASTM D790 [26]. Their rectangular geometry facilitated warpage measurements by the sectioning method. The measurements of the axial tension and three-point bending, and the warpage areas of the specimens, are shown in Figure 6a and Figure 6b, respectively.

2.2. Warpage Measurement on Plate

For the shape of the injected geometry shown in Figure 2, it was assumed that the point of maximum deflection is located at the center. After removing the feeding channel and the gate, the resulting shape was a 140 mm × 132 mm rectangle with a thickness of 3.2 mm.
The dimensions of the injected plate and the warpage measurements were obtained using a Mitutoyo Crysta-Apex CMM. The warpage was experimentally determined as the difference between the measured Z coordinate and the specimen thickness obtained with a micrometer, at the center of the width and 2.3 mm from the edge along the length. The probe was manually approached to the specimen at a low speed, and contact was triggered with a standard force of 0.75 N to record the measurement point.

2.3. Hardness Measurement

The hardness measurements were taken according to the ASTM D2240 standard for durometer hardness, using the Shore D scale for thermoplastics [27]. The durometer was operated manually by hand, by placing the specimen on a table and bringing the device into full contact by pressing it gently against the surface. A one-second delay was maintained between the initial contact and the reading acquisition. The measurements were taken on the grip area of the tensile test specimens, as shown in Figure 7. Six readings were obtained for each specimen and averaged to determine the mean hardness value for each parameter combination.

2.4. Mechanical Properties

To evaluate the tensile properties, the specimens were axially tested on an Instron universal testing machine equipped with a 600 kN load cell, according to the ASTM D638 standard, at a crosshead speed of 5 mm/min. Four specimens were tested for each combination of orientation (0°, 45°, 90°), injection temperature (220 °C, 240 °C, 260 °C), packing pressure (30 bar, 40 bar, 50 bar), and packing time (2 s, 4 s, 6 s).
After identifying the combination of process parameters with the best and worst tensile mechanical properties, specimens from these combinations were tested under three-point bending to determine their flexural properties and compare them with the reference. A test device was manufactured according to the ASTM D790 standard and attached to the same Instron universal testing machine. According to the standard, the device included two 10 mm diameter cylindrical supports at the specimen ends and a 10 mm diameter central cylindrical surface that applied the load. The device is shown in Figure 8.
The rate of crosshead motion was calculated as a function of specimen thickness. Because the specimen thickness varied with different packing parameters, an average crosshead speed of 1.5 mm/min was set for all tests. The tangent modulus of elasticity (flexural modulus) was calculated according to the ASTM D790 standard. In this method, the initial linear portion of the load–deflection curve was identified, as shown in Figure 9.
Due to the significant noise observed in the experimental bending load data, a low-pass filter implemented in Python was applied to prevent incorrect data interpretation. The filter parameters were manually tuned to 2 Hz (cutoff frequency), 50 Hz (sampling rate), and a filter order of 4 to obtain a smooth curve without offsetting the initial data. Figure 10 shows how the filtered data overlap with the original data.

2.5. Warpage in Specimen

To allow residual stress to relax, the specimens were cut by CNC milling using an HAAS VF2 from the injected plate shown in Figure 4. A resting period of three weeks (504 h) was applied before the measurements to ensure the complete stabilization of the residual stress, as recommended by Sun et al. (2019) [7], who reported negligible warpage variation after 12 days. The lateral face was then scanned using a Samsung DeskJet scanner. MATLAB R2024b region-of-interest (ROI) recognition was used to map the specimen borders. The mapped coordinates were employed to fit the curvature profile in MATLAB R2024b using the least squares method, with the points mapped along the lower border of the specimen. The calculated curvature ratio was then used to determine the warpage distance. Four warpage samples were measured for each combination of process parameters and orientation.

3. Results and Discussion

3.1. Hardness

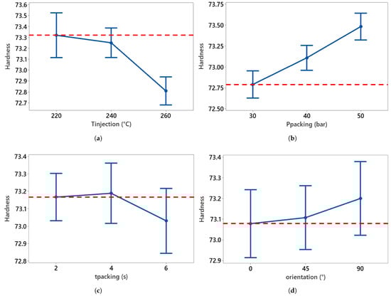
From the ANOVA results presented in Table 5, it can be concluded that the hardness is strongly affected by T injection and P packing . The packing time ( t packing ) also exerts an influence, though it is less significant. The hardness does not appear to vary significantly with different sample orientations relative to the melt flow during injection.
According to the main effects plot in Figure 11a, increasing the injection temperature from 220 °C to 260 °C decreased the hardness compared to the reference. Theoretically, this behavior can be explained by a reduction in the thickness of the skin layer due to a shorter crystallization time. In addition, a higher injection temperature increased the cooling rates, which reduced the crystallization time [14]. The lack of equipment to directly observe the morphology of the specimens represents a limitation of this study; thus, all morphological interpretations are based on theoretical models and their expected influence on the measured mechanical properties. Increasing the P packing from 30 bar to 50 bar increased the hardness by increasing the residual stress on the outer layer, as seen in Figure 11b. An excessive packing time (greater than 4 s) reduced the hardness, as shown in Figure 11c. There were no significant variations in the solidified structures at the outer surface of the part, as indicated in Figure 11d by the minimal changes in the hardness values with orientation.
The combinations of process parameters with the best and worst hardness were identified from the main effects plots and are summarized in Table 6. The best combination was combination H (220 °C/50 bar/4 s/90°) and the worst combination was combination U (260 °C/30 bar/6 s/0°). Compared to the reference, the hardness increased by 1.47% with the selection of the correct process parameters.

3.2. Warpage in Plate

From the 20 injected plates for the combinations of process parameters, numbers 5, 10, and 16 were selected for warpage measurements. The average measured Z distances for the CMM, thicknesses, and calculated warpage are reported in Table 7.
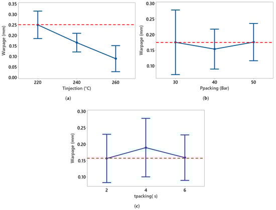
According to the ANOVA results in Table 8, only T injection had a significant effect on the measured warpage, while P packing and t packing did not significantly affect the warpage value.
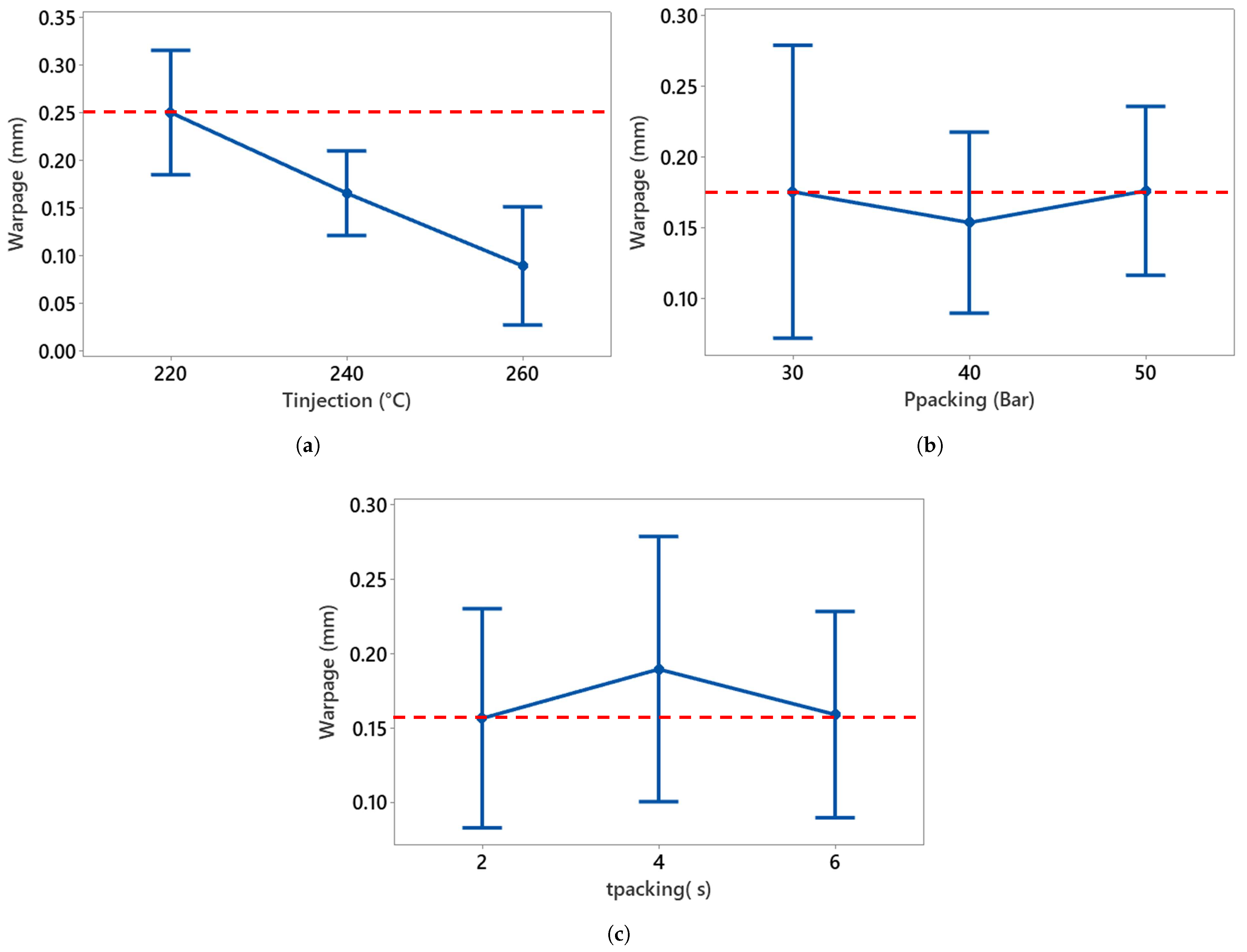
According to the main effect plots in Figure 12a, increasing the injection temperature from 220 °C to 260 °C reduced the warpage. This can be explained by the higher temperature allowing the cavity to fill evenly, reducing the areas with different temperatures and reducing uneven cooling and shrinkage—ultimately lowering warpage. In Figure 12b,c, the effects of the packing pressure and packing time were not significant due to a high variability.
Adding more material at a higher pressure compensates for the shrinkage during solidification, but increasing the melt pressure theoretically introduces tensile stress into the solidifying skin, thereby increasing the residual stress [5]. Increasing the packing time higher than that of the reference does not reduce warpage. The specimen warpage values differed from the plate values due to the higher relaxation of the residual stress in the specimen.
Table 9 compares the combination of parameters with the best and worst warpage value to the reference. Combination V (260 °C/40 bar/2 s) had the lowest warpage, and combination B (220 °C/30 bar/4 s) had the highest warpage value. The warpage was reduced by up to 98.32% with the selection of optimal process parameters.

3.3. Outlier Test

According to an outlier test for the E sec and UTS measurements, combinations Y12, C7, and N12 were removed because of extremely low E sec values (Figure 13a). The X18 and R12 samples were removed for showing abnormally high UTS values (Figure 13b).
The resulting standard deviation values shown in Figure 14a for E sec and Figure 14b were no longer considered outlier-driven after these removals. Because e uts is a dependent variable of UTS, it was not included in the outlier analysis.

3.4. Effect of Process Parameters on Tensile Secant Modulus

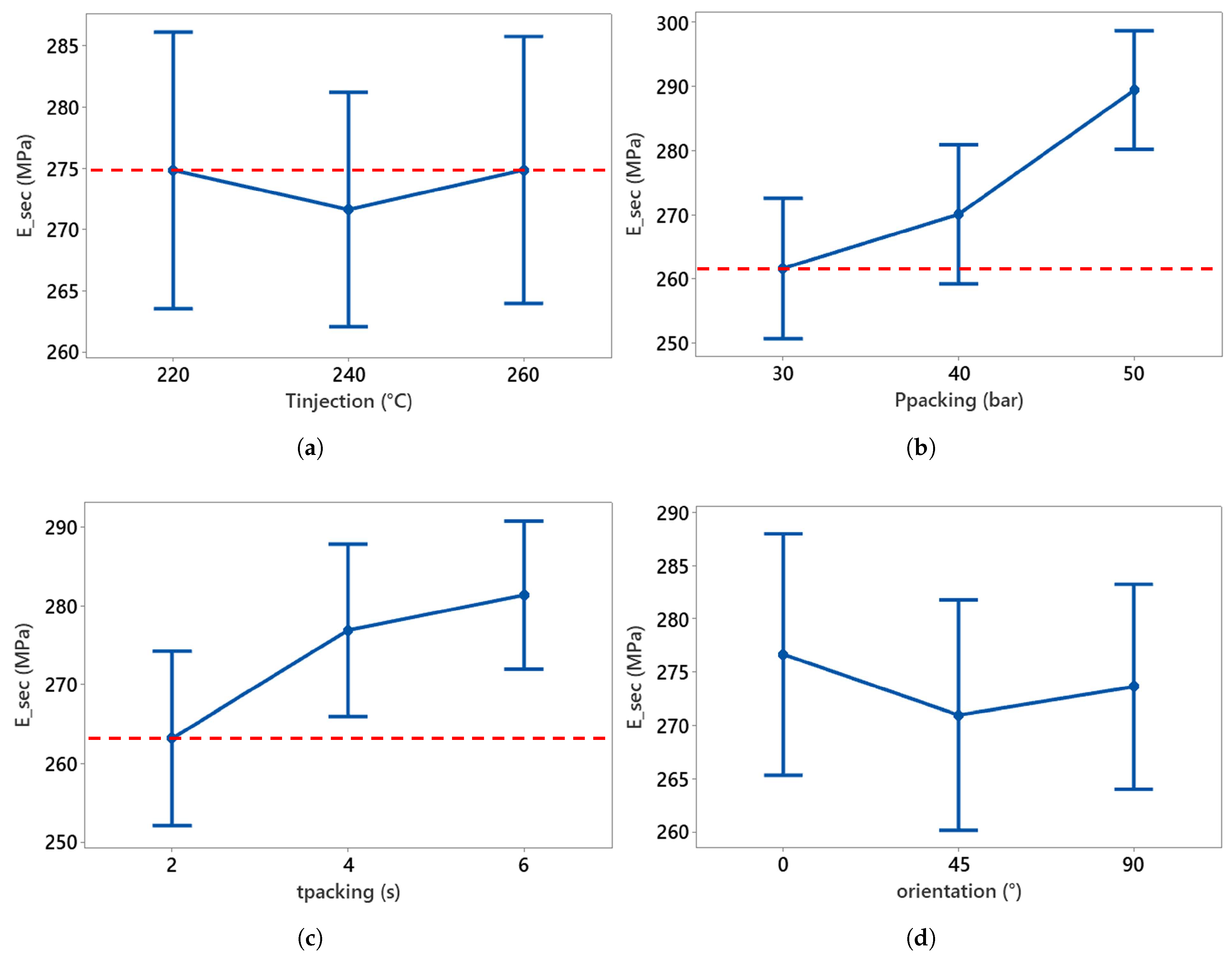
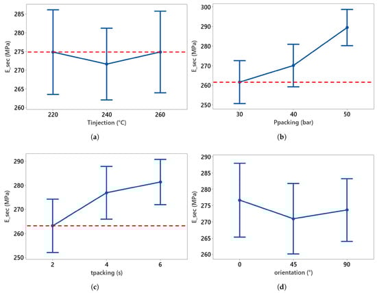
According to the ANOVA results in Table 10, P packing and t packing had a significant effect on E sec , meaning that the mechanical strength depends on the packing phase.
From the main effect graphs in Figure 15b,c, increasing P packing and t packing from 30 bar to 50 bar and 2 s to 4 s, respectively, increased E sec compared to the reference. This is in accordance with the results of Mehat et al., which showed that the module increases after 80% of P packing due to more material being packed into the cavity [28]. Farotti et al. did not find a clear effect of T injection and t packing on the elastic modulus for PP [29], but concluded that its behavior is determined by the interaction of the process parameters, although in this investigation, the interaction effect was not significant.
By comparing the mean E sec values for each combination in Figure 16 across all three orientations, the greatest improvement in E sec compared to the reference occurred for combination G, with a 67.5% enhancement, as shown in Table 11. The reference had the lowest value, with combination V being a close second, showing just a 17.57% improvement on average.

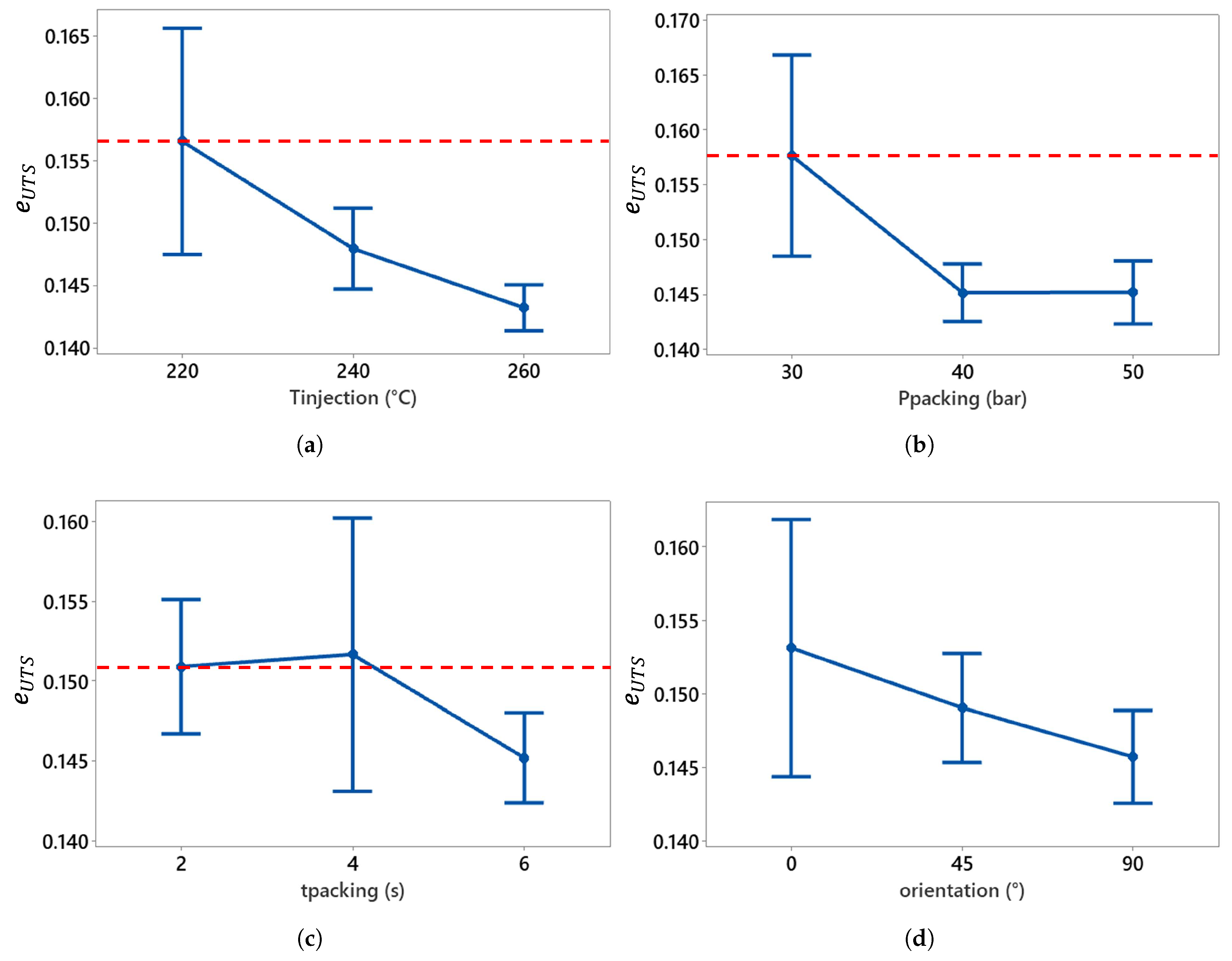
3.5. Effect of Process Parameters on Strain at Ultimate Tensile Strength

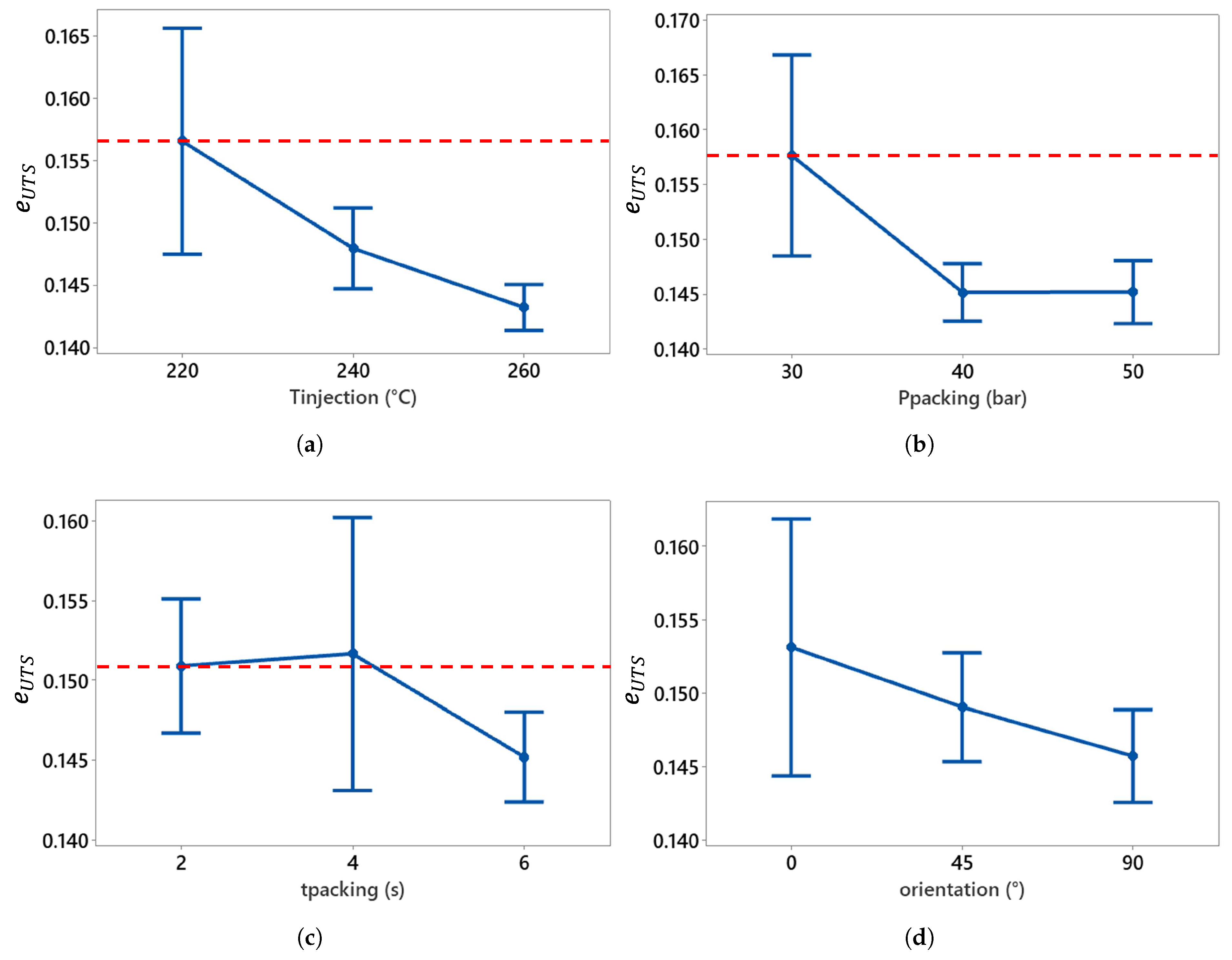
According to the ANOVA results in Table 12, T injection and P packing had significant effects on e UTS . When E sec increased, e UTS decreased, which explains its reduction with increasing P packing and t packing in Figure 17b and Figure 17c, respectively. Increasing T injection from 220 °C to 260 °C reduced e UTS , as shown in Figure 17a. The material was more elastic parallel to the injection flow, as shown in Figure 17d. This is because, as the angle increases, the orientation of molecular chains becomes less uniform, with multiple orientations present, which affects the material’s elasticity [4].
Compared to the average of the other combinations in Figure 18, the reference exhibited the highest elasticity. The best combination showed the lowest elasticity, with an average reduction of −27.34%, as shown in Table 13.

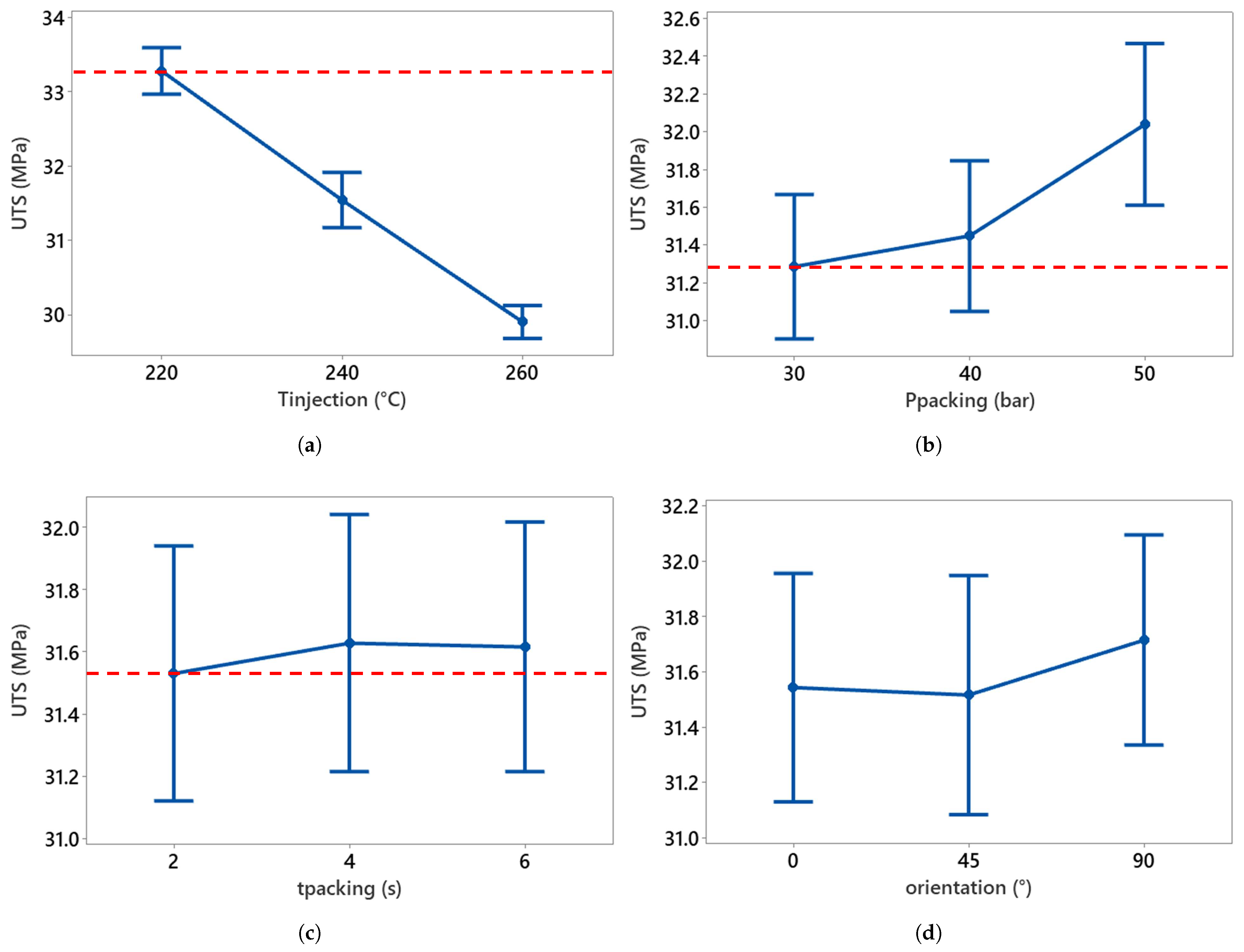
3.6. Effect of Process Parameters on Ultimate Tensile Strength

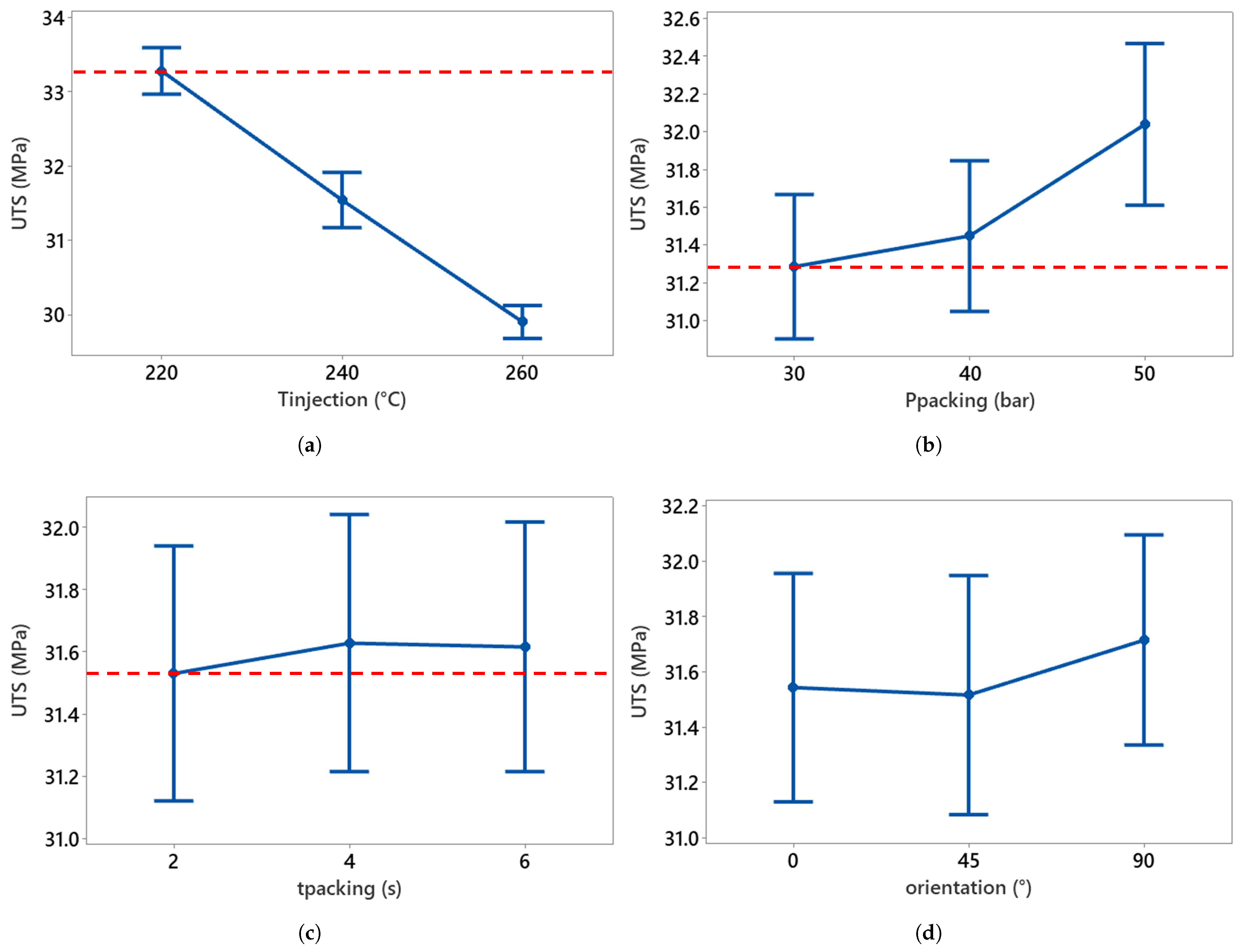
According to the ANOVA results in Table 14, the UTS depends mostly on T injection and P packing , while t packing and orientation did not show a significant effect.
The UTS decreased with increasing T injection relative to the reference in the main effects plot shown in Figure 19a. According to Phupewkeaw et al. [30], this behavior can be explained by the combination of a high residual shear stress and the formation of a thinner, more highly oriented skin layer resulting from the high cooling rates caused by the temperature difference between the elevated injection temperature and the mold. Zhang et al. [13] also found that increasing T injection beyond 220 °C reduced the UTS. Similarly, Mehat et al. [13] concluded that increasing T injection from 200 °C to 230 °C increased the UTS, which is consistent with the highest UTS observed at 220 °C in this study’s experimental results.
The UTS increased with the packing pressure from 40 to 50 bar, as shown in Figure 19b. Compressing the material at approximately 85% of the injection pressure improved its mechanical strength, consistent with the findings of Mehat et al. [28]. t packing increased slightly from 2 to 4 s, but no additional changes were observed thereafter.
In Figure 19d, the UTS increased relative to the reference with a degree of orientation beyond 45°. This observation contradicts the theoretical principle according to which molecular chains that are more oriented along the melt flow direction exhibit a higher mechanical strength [31]. It is well established in the literature that polymer anisotropy arises from the molecular orientation during flow [5].
The average measurements for each combination of process parameters were compared to the reference in Figure 20. For all three orientations, combination G exhibited the greatest enhancement, with an average UTS improvement of 6.5%, while combination V showed the lowest UTS, with an average reduction of 8.6% relative to the reference, as shown in Table 15.

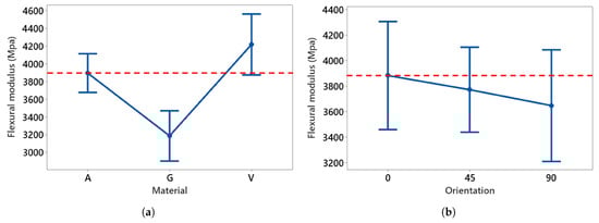
3.7. Effect of Material and Orientation on Flexural Strength

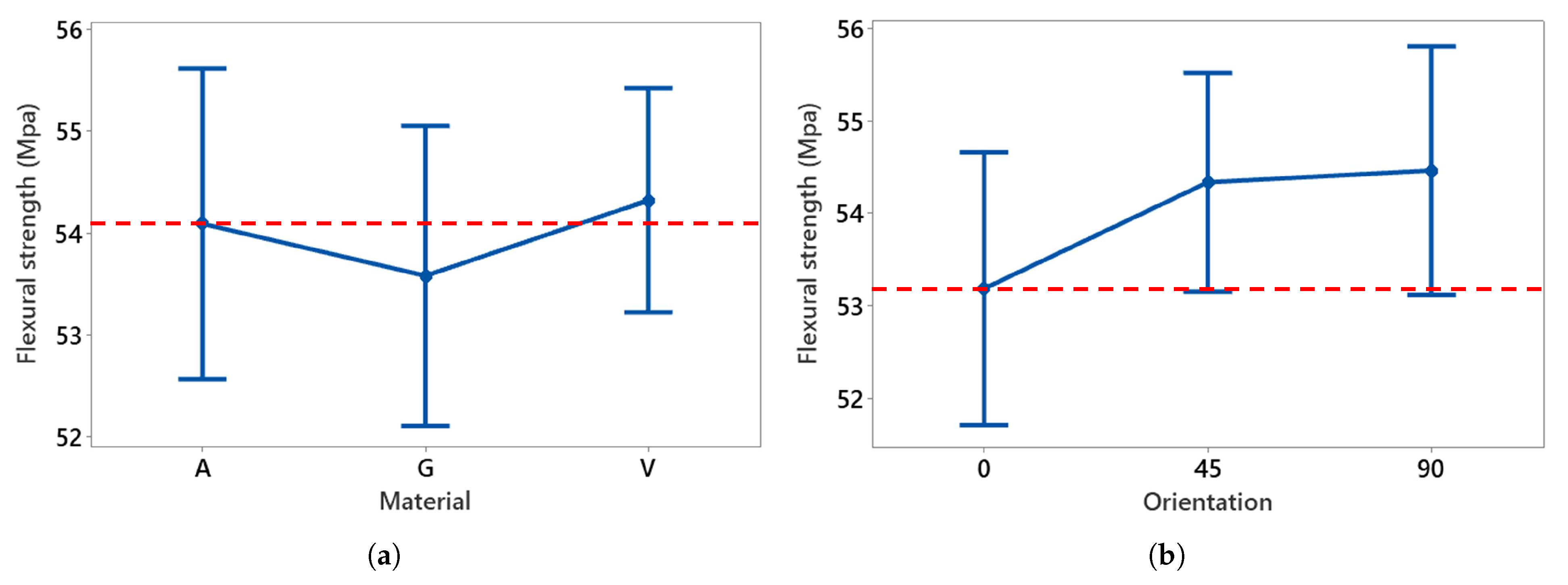
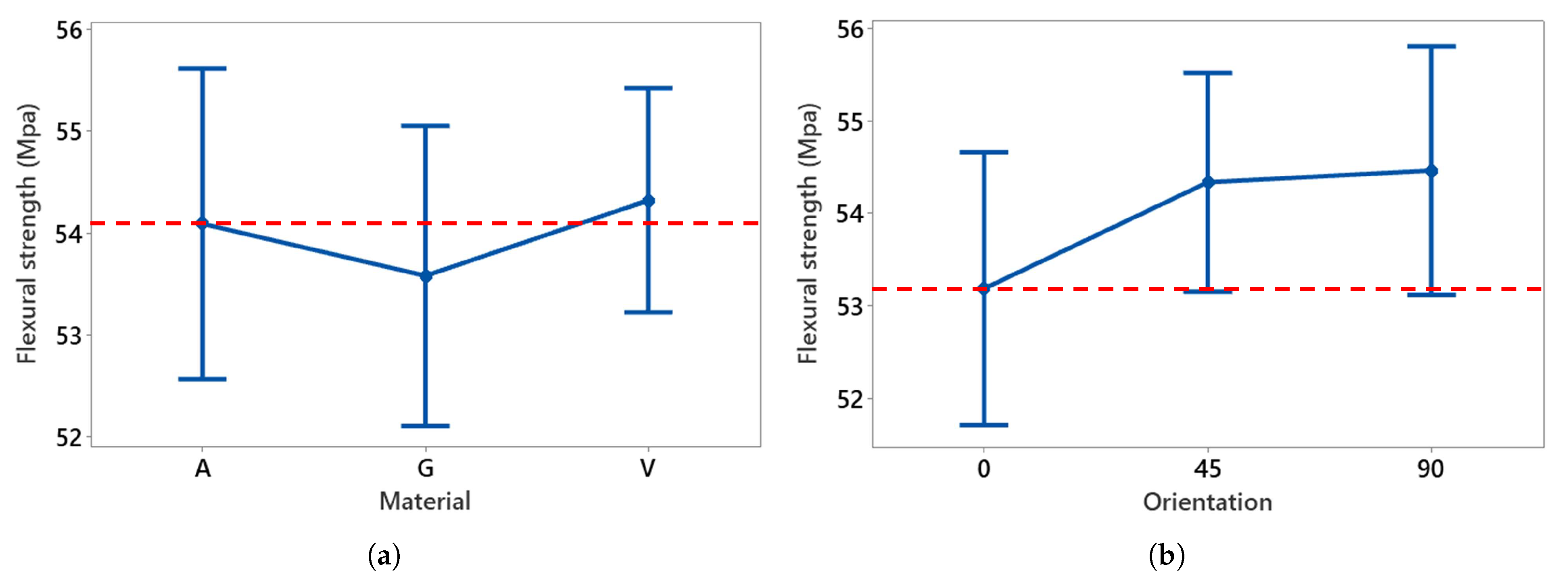
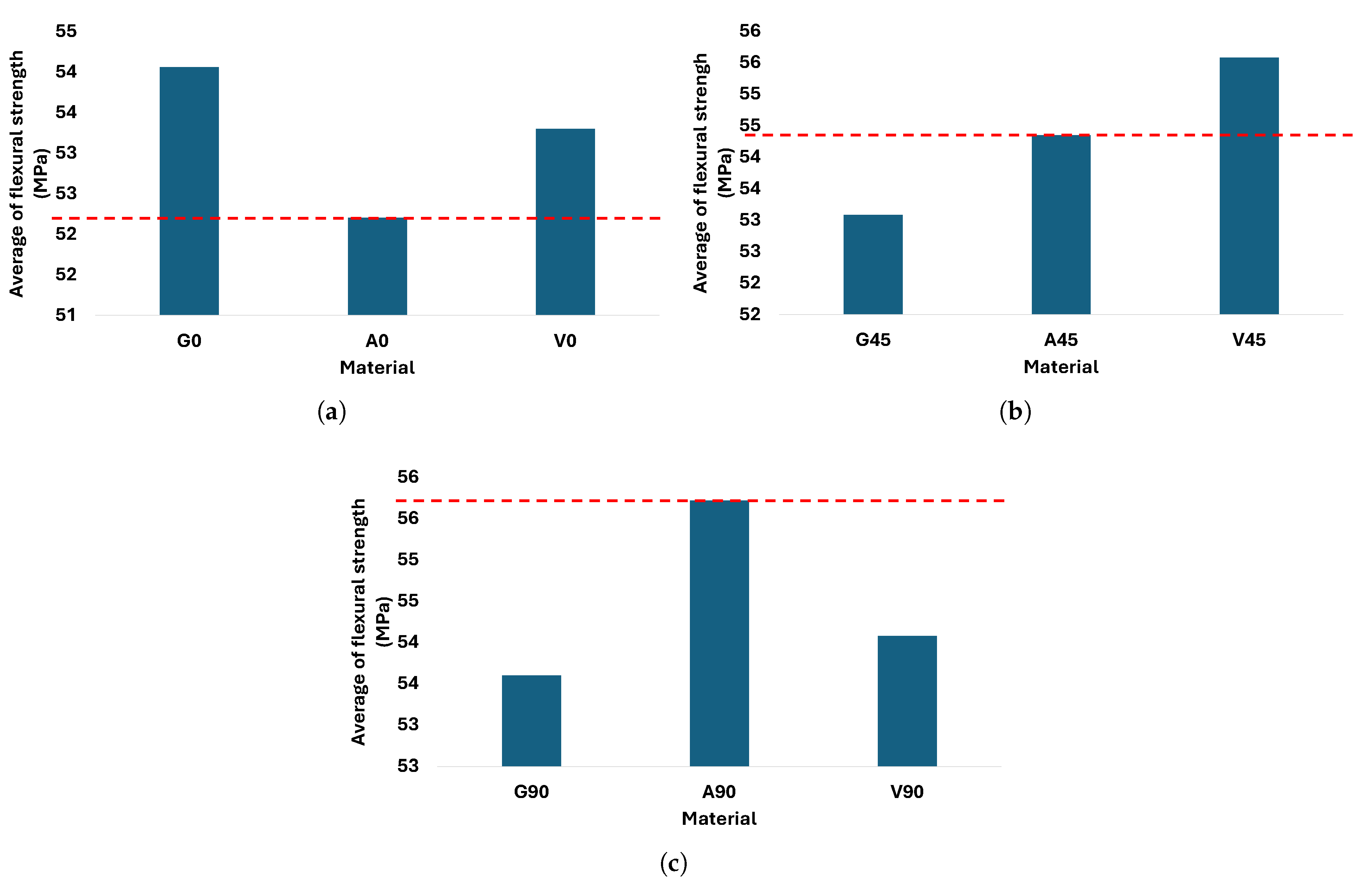
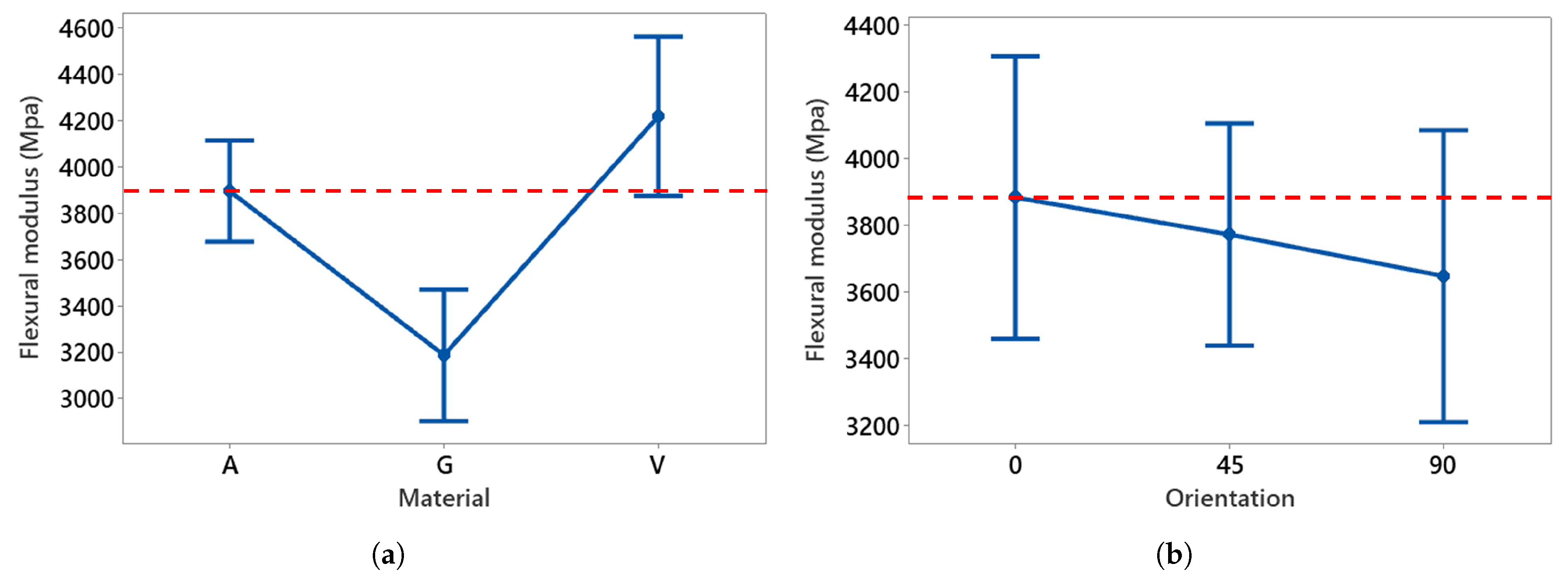
The flexural properties of the reference sample, the best combination (G), and the worst combination (V) were tested. Based on a comparison of the average flexural strengths across the three main orientations in Figure 21, combination G exhibited the highest flexural strength only at 0°, with a 3.54% improvement over the reference. At 45° and 90°, however, the worst combination outperformed combination G. At 90° (Figure 21), the reference showed the highest value, while the best combination was 3.80% lower than the reference.
According to the ANOVA results summarized in Table 16, neither the process parameters nor the orientation had a significant effect on the flexural strength, likely due to measurement variability. In Figure 22a, both the reference and the worst combination of process parameters exhibited a higher average flexural strength than the best combination, and in Figure 22b, the flexural strength increased from 0° to 45°, but no further changes were observed thereafter.

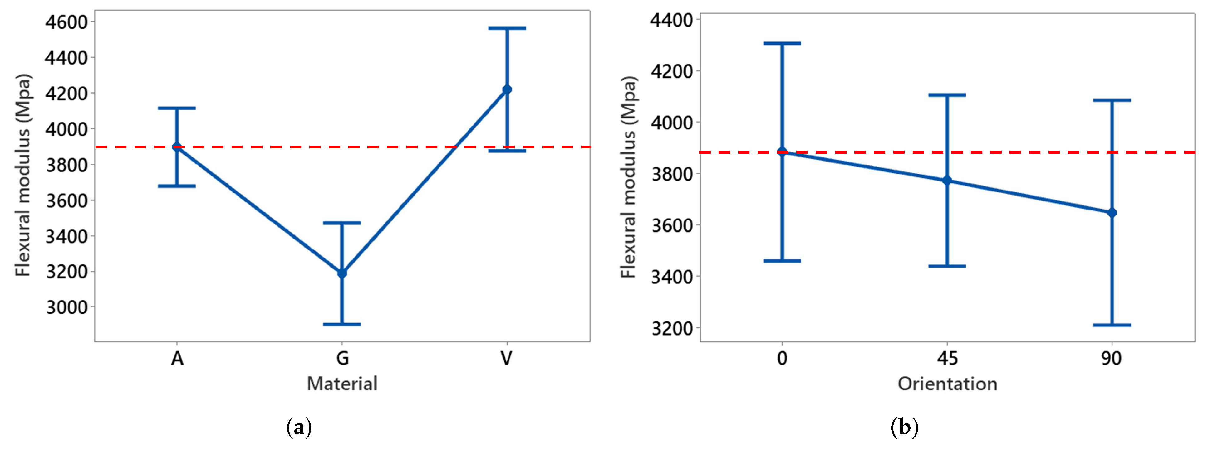
3.8. Effect of Material and Orientation of Flexural Modulus

Similarly, the average flexural modulus was compared in Figure 23. As shown in Figure 23a,b, at orientations of 0° and 45°, the worst combination outperformed the reference sample. Across all orientations, the best combination consistently exhibited the lowest flexural modulus. An improvement of 18.83% over the reference was observed for the V0° combination, while a reduction of 22.77% was recorded for the G90° combination.
According to the ANOVA results for the flexural modulus, which are summarized in Table 17, the process parameters had a significant effect, whereas orientation did not. In the main effects plots shown in Figure 24a, the best combination of process parameters exhibited the lowest flexural modulus, while the worst combination showed the highest. In Figure 24b, increasing the orientation angle slightly reduced the modulus, but the effect was not statistically significant due to measurement variability. The average improvement in the flexural modulus for the worst combination was 4.413%, as summarized in Table 18.

3.9. Effect of Process Parameters on Warpage from Sectioning Method

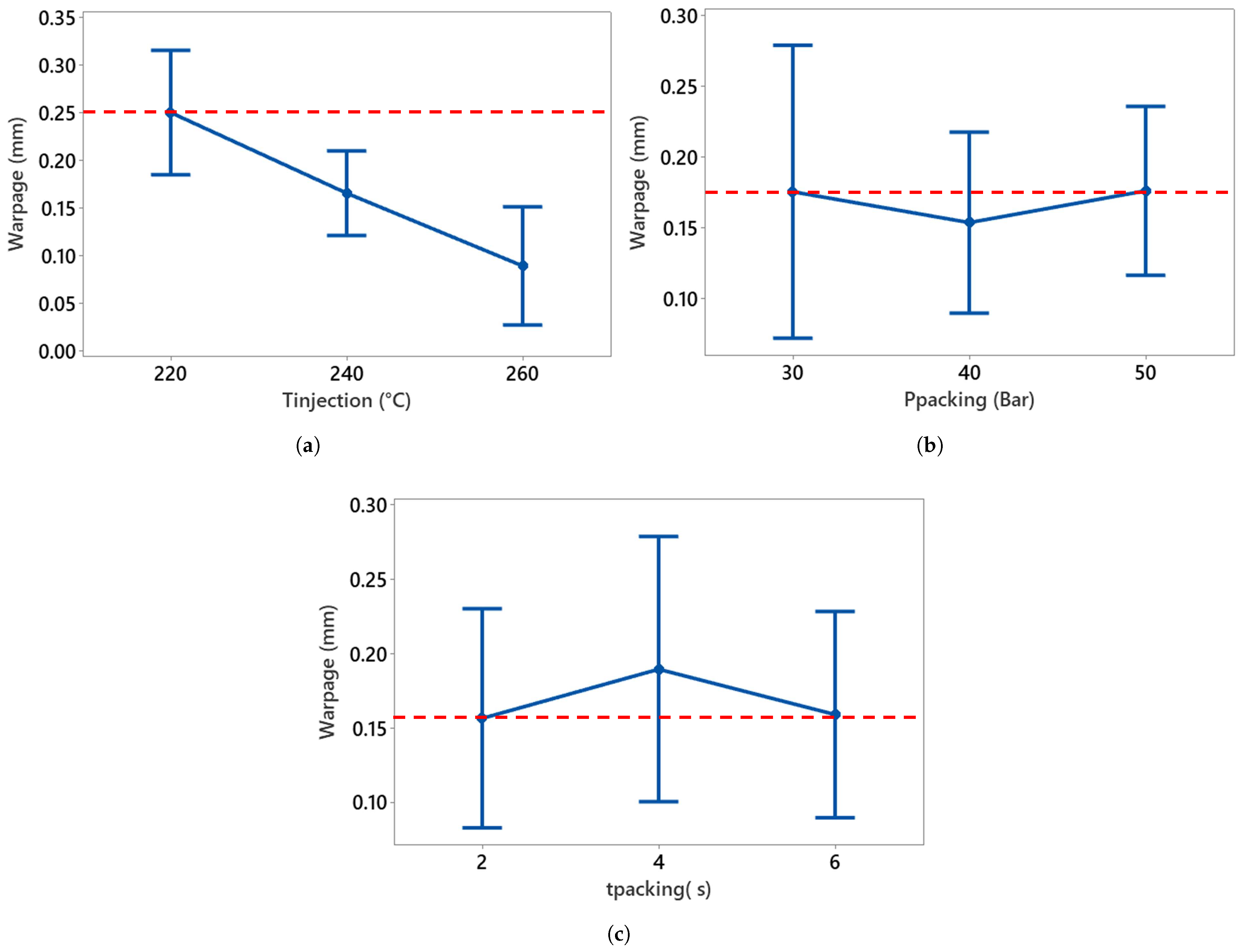
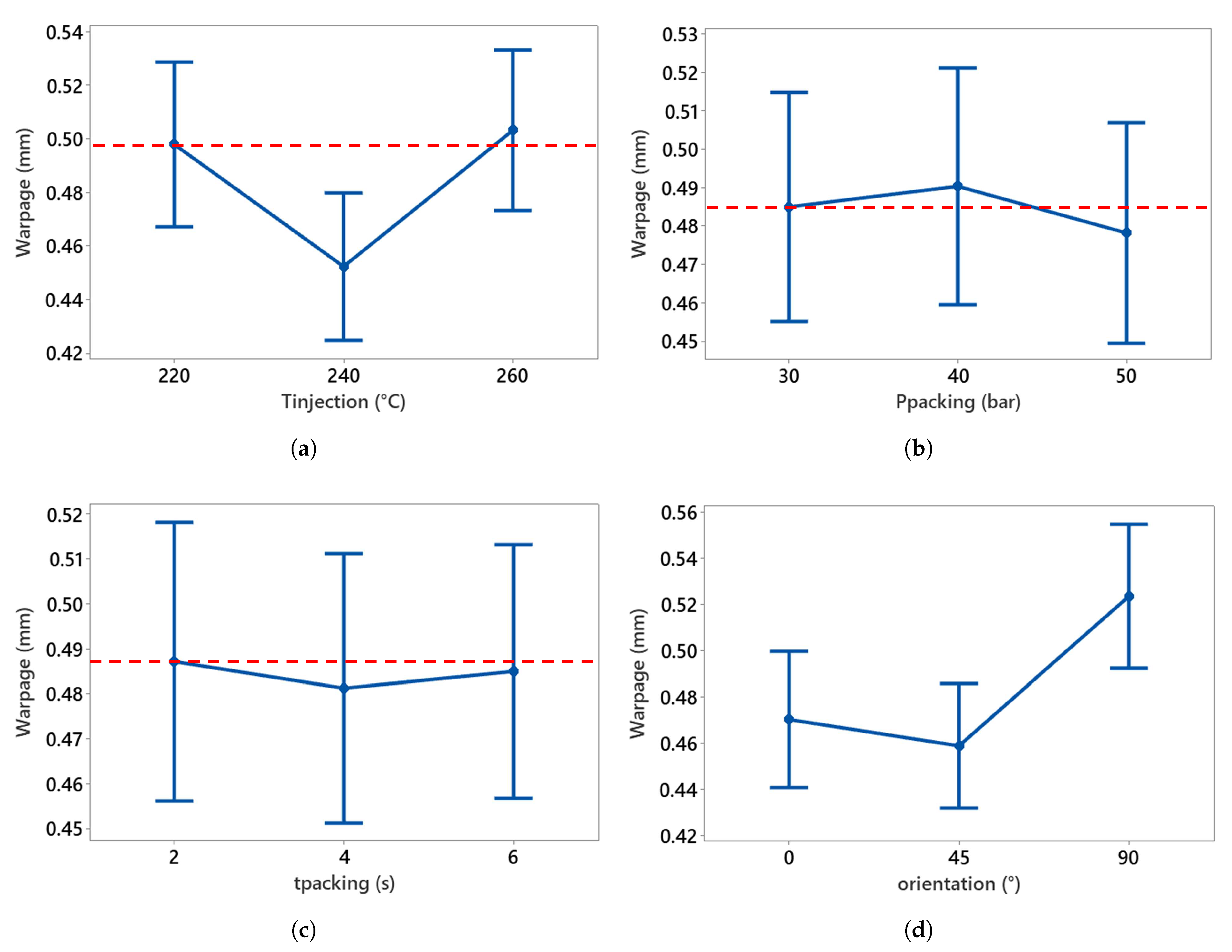
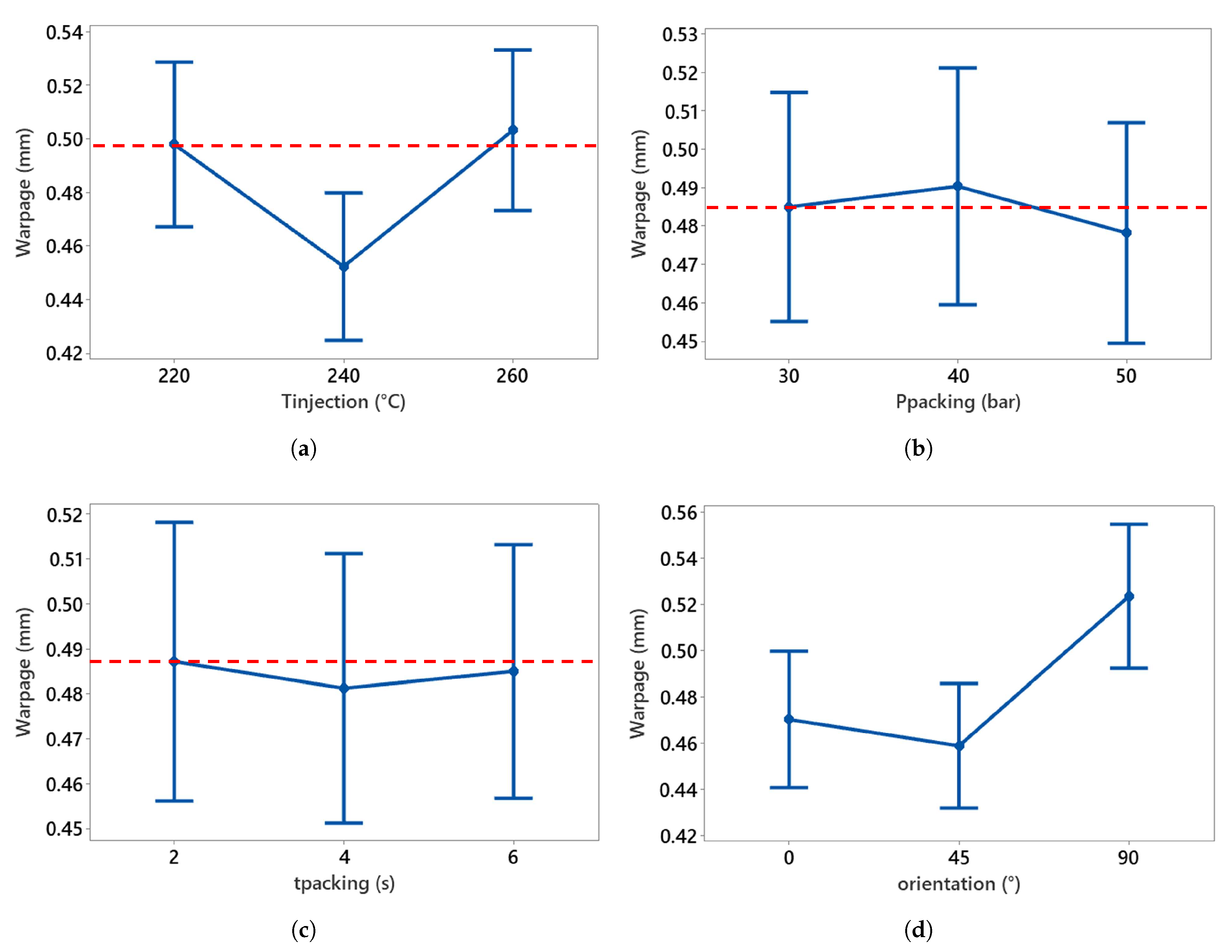
According to the ANOVA results summarized in Table 19, T injection and orientation had significant effects on the measured warpage, whereas P packing and t packing did not significantly influence the warpage values.
From the main effects plot shown in Figure 25a, increasing T injection from 220 °C to 240 °C reduced the warpage. Beyond this point, the warpage increased significantly at 260 °C, in agreement with the results of Haddout et al. [6]. Sun et al. also found that warpage decreased between 190 °C and 238 °C, while a lower injection temperature may increase the warpage by generating larger temperature gradients during cooling, which promote uneven shrinkage [7]. However, increasing the temperature to 260 °C led to higher warpage, likely due to excessive cooling differences between the inner and outer layers of the material.
In Figure 25b, increasing P packing from 30 to 40 bar increased the warpage, but a further rise to 50 bar significantly reduced it.
As shown in Figure 25c, increasing t packing from 2 to 4 s slightly reduced the warpage, but this effect was not statistically significant due to the high standard deviation. Subsequently, the warpage increased with longer packing times, consistent with the results reported by Li et al., who observed an increase in warpage from 2.5 s to 3.5 s, followed by a reduction when the packing time was extended to 4.5 s [8].
From the main effects plot shown in Figure 25d, a higher concentration of residual stress in the direction perpendicular to the flow resulted in greater warpage at the 90° orientation and decreased at lower angles, corresponding to regions of the plate where the concentration of residual stress—and thus, the deformation—is lower.
The combination of process parameters that produced the lowest warpage value across the three orientations in Figure 26 was combination R (240 °C/50 bar/6 s), showing an average reduction of 9.43% relative to the reference, as summarized in Table 20.
In Table 20, the best combination of process parameters, combination G, exhibited a significant reduction in warpage relative to the reference. However, at 45°, its warpage was significantly higher than that of the worst combination, and at 90°, the warpage was approximately equal to that of the reference.

3.10. Warpage of the Best and Worst Combinations

The resulting warpage for the best and worst combinations was compared with the reference and the combination that exhibited the lowest warpage in Table 21, to evaluate whether the reduction in warpage was associated with improved mechanical properties.
The combination with the highest tensile mechanical properties exhibited an average warpage that was 14.59% higher than the reference (0.46 mm), while the combination with the lowest tensile mechanical properties showed a slightly greater warpage value, but a significantly lower tensile elastic modulus and superior flexural properties. This behavior can be explained by the greater contribution of the outer layer to the material’s strength compared with the inner layers, due to the concentration of stress on the outer surface of the material during bending, whereas tensile strength is primarily influenced by the internal layers.
Despite exhibiting a morphology that theoretically leads to a lower tensile strength, which in turn favors a higher flexural modulus, the combination with the lowest warpage, when compared with the reference, still exhibited a significant improvement in the tensile modulus, indicating that warpage can be reduced without a significant loss in the mechanical properties.

4. Conclusions

This work presents a comprehensive experimental and statistical investigation on the influence of injection molding parameters—namely the injection temperature, packing pressure, and packing time—on the mechanical performance and warpage behavior of polypropylene (PP) components. By employing a full factorial design and a two-way ANOVA, this study provides quantitative insight into how process-induced thermal and pressure histories govern residual stress formation, morphological orientation, and dimensional stability.
The results confirm that the injection temperature and packing pressure are the most statistically significant factors affecting both the mechanical and geometrical outcomes, while the packing time and orientation exhibit lower-order effects, but relevant interactions. In particular, the interactions T injection × P packing and P packing × t packing significantly influenced the secant modulus ( E sec ), revealing that mechanical stiffness is a multivariate function of both the melt viscosity and the rate of cavity pressure dissipation during cooling. These findings align with polymer solidification models that describe the heterogeneous crystallization kinetics and skin-core morphology development in semicrystalline thermoplastics.
From a thermomechanical perspective, a higher injection temperature promoted a lower modulus and hardness, consistent with an increased amorphous fraction and a delayed nucleation rate. Conversely, a higher packing pressure led to an increased stiffness and hardness, attributed to an enhanced molecular packing density and a higher orientation of chain segments near the mold wall. However, excessive packing levels induced higher residual stress, which manifested as increased warpage and localized anisotropy—an effect supported by both statistical dispersion in the ANOVA results and the mechanical anisotropy observed between the tensile and flexural responses.
The warpage analysis demonstrated a non-monotonic dependence on the injection temperature, with the deformation minimized around 240 °C but exacerbated at both lower and higher temperature extremes. This behavior is consistent with the theoretical balance between viscoelastic relaxation, the shrinkage rate, and differential crystallization across the skin-core gradient. The use of a 504-hour stabilization period prior to measurement ensured that the warpage was recorded under equilibrium conditions, eliminating transient post-molding relaxation effects.
This study further highlights that bending behavior is governed primarily by the oriented outer layers, whereas the tensile response integrates the contribution of the entire thickness, including the less-oriented core region. This observation supports the theoretical framework of morphology-driven stress partitioning, where outer lamellae carry the dominant bending stress due to their higher degree of orientation and crystallinity. Even though microstructural characterization (e.g., XRD or optical microscopy) was not performed, these results are consistent with classical models of polymer solidification and the formation of transcrystalline structures under shear and temperature gradients.
The statistical and mechanical evidence jointly indicates that a process window centered around an injection temperature of 220–240 °C and a bar packing pressure of 40–50 offers an optimal balance between stiffness, strength, and dimensional stability. Under these conditions, improvements of up to 67.5% in the secant modulus and 6.5% in the tensile strength were achieved relative to the baseline, demonstrating that mechanical enhancement can be achieved without severe dimensional distortion when the parameters are properly coupled.
In summary, this study elucidated the complex interdependence between process parameters, morphology evolution, and the resulting mechanical anisotropy in injection-molded polypropylene. By integrating an experimental factorial analysis, a thermomechanical interpretation, and morphological theory, it provides a robust framework for process optimization. These findings have direct implications for the design of lightweight, dimensionally stable polymer components, where the controlled tailoring of the solidification dynamics can yield parts with predictable stiffness–warpage trade-offs and an improved functional performance.

Author Contributions

Conceptualization, J.J.-A., U.F.-L., M.A.-P., and M.J.-M.; methodology, J.J.-A., A.G.-M., and M.J.-M.; validation, J.M.-T.; formal analysis, J.J.-A.; investigation, J.J.-A. and U.F.-L.; resources, M.J.-M.; funding, M.J.-M.; writing—original draft, J.J.-A., M.A.-P., A.G.-M., U.F.-L., J.M.-T., and M.J.-M.; writing—review and editing, J.J.-A., M.A.-P., and M.J.-M.; visualization, J.J.-A.; supervision, A.G.-M. and M.J.-M. All authors have read and agreed to the published version of the manuscript.

Funding

This research was fully funded by the Mobility Research group of the School of Engineering and Science of Tecnologico de Monterrey and partially by the Consejo Mexiquense de Ciencia y Tecnología (COMECyT) through the Program for Linking Companies with Higher Education Institutions and Research Centers, under grant number VIN/2025/21.

Data Availability Statement

The original contributions presented in this study are included in the article. Further inquiries can be directed to the corresponding author.

Conflicts of Interest

The authors declare no conflicts of interest.

References

  1. Pang, L.; Zhang, C.; Dong, H.; Liu, Y. Research on lightweight injection molding (CAE) and numerical simulation calculate of New Energy Vehicle. Appl. Math. Nonlinear Sci. 2022, 8, 789–798. [Google Scholar] [CrossRef]
  2. Coca-Gonzalez, M.; Jimenez-Martinez, M. Warpage: Causes, manufacturing processes and future challenges: A review. Proc. Inst. Mech. Eng. Part L J. Mater. Des. Appl. 2025, 239, 1201–1217. [Google Scholar] [CrossRef]
  3. Kazmer, D.O. Injection Mold Design Engineering, 3rd ed.; Hanser Publishers: Munich, Germany, 2022. [Google Scholar]
  4. Zhao, N.; Lian, J.y.; Wang, P.f.; Xu, Z.b. Recent progress in minimizing the warpage and shrinkage deformations by the optimization of process parameters in plastic injection molding: A review. Int. J. Adv. Manuf. Technol. 2022, 120, 85–101. [Google Scholar] [CrossRef]
  5. Zoetelief, W.F.; Douven, L.F.A.; Housz, A.J.I. Residual thermal stresses in injection molded products. Polym. Eng. Sci. 1996, 36, 1886–1896. [Google Scholar] [CrossRef]
  6. Guerra, N.B.; Reis, T.M.; Scopel, T.; de Lima, M.S.; Figueroa, C.A.; Michels, A.F. Influence of process parameters and post-molding condition on shrinkage and warpage of injection-molded plastic parts with complex geometry. Int. J. Adv. Manuf. Technol. 2023, 128, 479–490. [Google Scholar] [CrossRef]
  7. Sun, X.; Zeng, D.; Tibbenham, P.; Su, X.; Kang, H.t. A new characterizing method for warpage measurement of injection-molded thermoplastics. Polym. Test. 2019, 76, 320–325. [Google Scholar] [CrossRef]
  8. Haddout, S. Optimization of Plastic Injection Molding Process Parameters for a DACIA Logan L90 Front Bumper with Taguchi Method. In Recent Advances in Manufacturing Engineering and Processes; Springer: Berlin/Heidelberg, Germany, 2024; pp. 56–62. [Google Scholar] [CrossRef]
  9. Oliaei, E.; Shiroud Heidari, B.; Davachi, S.M.; Bahrami, M.; Davoodi, S.; Hejazi, I.; Seyfi, J. Warpage and Shrinkage Optimization of Injection-Molded Plastic Spoon Parts for Biodegradable Polymers Using Taguchi, ANOVA and Artificial Neural Network Methods. J. Mater. Sci. Technol. 2016, 32, 710–720. [Google Scholar] [CrossRef]
  10. Chen, C.P.; Chuang, M.T.; Hsiao, Y.H.; Yang, Y.K.; Tsai, C.H. Simulation and experimental study in determining injection molding process parameters for thin-shell plastic parts via design of experiments analysis. Expert Syst. Appl. 2009, 36, 10752–10759. [Google Scholar] [CrossRef]
  11. Abdul, R.; Guo, G.; Chen, J.; Yoo, J. Shrinkage prediction of injection molded high density polyethylene parts with taguchi/artificial neural network hybrid experimental design. Int. J. Interact. Des. Manuf. (IJIDeM) 2020, 14, 345–357. [Google Scholar] [CrossRef]
  12. Laschet, G.; Alms, J.; Müller, M.; Apel, M.; Hopmann, C. Crystallization degree dependent effective thermo-elastic and thermal properties of an injection molded polypropylene component. Part 1: Multiscale simulation scheme and effective lamella properties. Polymer 2025, 320, 128051. [Google Scholar] [CrossRef]
  13. Zhang, T.; Chen, K.; Liu, G.; Zheng, X. Injection Molding Process Optimization of Polypropylene using Orthogonal Experiment Method Based on Tensile Strength. IOP Conf. Ser. Mater. Sci. Eng. 2019, 612, 032102. [Google Scholar] [CrossRef]
  14. Hnátková, E.; Dvorak, Z. Effect of the skin-core morphology on the mechanical properties of injection-moulded parts. Mater. Tehnol. 2016, 50, 195–198. [Google Scholar] [CrossRef]
  15. Fucikova, K.; Ovsik, M.; Cesnek, A.; Pis, A.; Vanek, J.; Stanek, M. Influence of Injection Molding Parameters and Distance from Gate on the Mechanical Properties of Injection-Molded Polypropylene. Polymers 2025, 17, 1012. [Google Scholar] [CrossRef]
  16. Muneer, R.; Hamza, L. Comparative study of hot and cold injection molds for the effect of secondary pressure changes on the shape of the final product. AIP Conf. Proc. 2022, 2660, 020064. [Google Scholar] [CrossRef]
  17. Cunha, A.M.; Pouzada, A.S.; Oliveira, M.J.; Crawford, R.J. The use of subcomponents for the prediction of the mechanical behaviour of polypropylene injection moulded products. Makromol. Chem. Macromol. Symp. 1988, 20–21, 475–487. [Google Scholar] [CrossRef]
  18. Öktem, H.; Shinde, D. Determination of Optimal Process Parameters for Plastic Injection Molding of Polymer Materials Using Multi-Objective Optimization. J. Mater. Eng. Perform. 2021, 30, 8616–8632. [Google Scholar] [CrossRef]
  19. Instruments, T. Differential Scanning Calorimeters. In Protein Stability and Folding: Theory and Practice; Humana Press: New York, NY, USA, 2025. [Google Scholar]
  20. RTI Laboratories. FTIR Analysis; RTI Laboratories: Livonia, MI, USA, 2015. [Google Scholar]
  21. Mertz, A.M.; Mix, A.W.; Baek, H.M.; Giacomin, A.J. Understanding melt index and ASTM D1238. J. Test. Eval. J. Test. Eval. 2013, 41, 1–13. [Google Scholar] [CrossRef]
  22. Moayyedian, M.; Chalak Qazani, M.R.; Pourmostaghimi, v. Optimized injection-molding process for thin-walled polypropylene part using genetic programming and interior point solver. Int. J. Adv. Manuf. Technol. 2022, 124, 297–313. [Google Scholar] [CrossRef]
  23. Lin, W.C.; Fan, F.Y.; Huang, C.F.; Shen, Y.K.; Wang, H. Analysis of the Warpage Phenomenon of Micro-Sized Parts with Precision Injection Molding by Experiment, Numerical Simulation, and Grey Theory. Polymers 2022, 14, 1845. [Google Scholar] [CrossRef]
  24. INEOS. Polypropylene Processing Guide; INEOS: London, UK, 2007. [Google Scholar]
  25. Jimenez-Martinez, M.; Varela-Soriano, J.; Carrera-Espinoza, R.; Coca-Gonzalez, J.M. Post-treatment to enhance the mechanical performance of printed Onyx. Front. Mech. Eng. 2025, 11, 1710902. [Google Scholar] [CrossRef]
  26. Raj, S.S.; Kuzmin, A.M.; Subramanian, K.; Sathiamoorthyi, S.; Kandasamy, K.T. Philosophy of selecting ASTM standards for mechanical characterization of polymers and polymer composites. Mater. Plast. 2021, 58, 247–256. [Google Scholar] [CrossRef]
  27. Jimenez-Martinez, M.; Alfaro-Ponce, M.; Muñoz-Ibañez, C. Design of an Aluminum alloy using a neural network-based model. Metals 2022, 12, 1587. [Google Scholar] [CrossRef]
  28. Mehat, N.; Kamaruddin, S. Optimization of mechanical properties of recycled plastic products via optimal processing parameters using the Taguchi method. J. Mater. Process. Technol. 2011, 211, 1989–1994. [Google Scholar] [CrossRef]
  29. Farotti, E.; Massimo, N. Injection molding. Influence of process parameters on mechanical properties of polypropylene polymer. A first study. Procedia Struct. Integr. 2018, 8, 256–264. [Google Scholar] [CrossRef]
  30. Phupewkeaw, N.; Srimuang, P. Optimization of Injection Molding Parameters for Isotactic Polypropylene using Box-Behnken Design: An Empirical Analysis. In Proceedings of the 2023 Research, Invention, and Innovation Congress (RI2C), Bangkok, Thailand, 24–25 August 2023; pp. 1–6. [Google Scholar] [CrossRef]
  31. Xiang, N.; Zhang, X.W.; Ge, Y.; Ding, Y.; Zheng, M.Y.; Yan, Y. Orientation morphology evolution and mechanical properties of injection molded thermoplastic polyurethane. J. Mater. Eng. 2021, 49, 156–163. [Google Scholar] [CrossRef]
Figure 1. Pressure conversion factor for a Battenfeld TM 1000/525.
Figure 1. Pressure conversion factor for a Battenfeld TM 1000/525.
Jmmp 09 00393 g001
Figure 2. Dimensions of the specimen plate obtained from injection molding and point of maximum deflection; (a) CAD design, (b) plate for measurement.
Figure 2. Dimensions of the specimen plate obtained from injection molding and point of maximum deflection; (a) CAD design, (b) plate for measurement.
Jmmp 09 00393 g002
Figure 3. Feeding fan gate measurements.
Figure 3. Feeding fan gate measurements.
Jmmp 09 00393 g003
Figure 4. Specimens with 90°, 0°, and 45° of orientation with injection direction. Red arrow indicates injection flow direction.
Figure 4. Specimens with 90°, 0°, and 45° of orientation with injection direction. Red arrow indicates injection flow direction.
Jmmp 09 00393 g004
Figure 5. Runners in cavity measurements.
Figure 5. Runners in cavity measurements.
Jmmp 09 00393 g005
Figure 6. Dimensions of quasi-static specimens according to standards: (a) tensile test specimen according to ASTM D638; (b) bending test specimen according to ASTM D790.
Figure 6. Dimensions of quasi-static specimens according to standards: (a) tensile test specimen according to ASTM D638; (b) bending test specimen according to ASTM D790.
Jmmp 09 00393 g006
Figure 7. Location of measurements along the length of the tensile test specimen; each marking has a separation of 10 mm.
Figure 7. Location of measurements along the length of the tensile test specimen; each marking has a separation of 10 mm.
Jmmp 09 00393 g007
Figure 8. Three-point bending flexural test device. Frontal view; isometric view.
Figure 8. Three-point bending flexural test device. Frontal view; isometric view.
Jmmp 09 00393 g008
Figure 9. Slope of tangent to initial straight-line portion (m) identified in load–deflection curve.
Figure 9. Slope of tangent to initial straight-line portion (m) identified in load–deflection curve.
Jmmp 09 00393 g009
Figure 10. Low-pass filter overlap with original data.
Figure 10. Low-pass filter overlap with original data.
Jmmp 09 00393 g010
Figure 11. Main effects plots of hardness versus process parameters are shown. (a) Injection temperature vs. hardness, (b) packing pressure vs. hardness, (c) packing time vs. hardness, and (d) orientation vs. hardness. The dotted red line is the reference value.
Figure 11. Main effects plots of hardness versus process parameters are shown. (a) Injection temperature vs. hardness, (b) packing pressure vs. hardness, (c) packing time vs. hardness, and (d) orientation vs. hardness. The dotted red line is the reference value.
Jmmp 09 00393 g011
Figure 12. Main effects of process parameters on plate warpage. (a) Injection temperature vs. warpage, (b) packing pressure vs. warpage, and (c) t packing vs. warpage. The dotted line is the reference value.
Figure 12. Main effects of process parameters on plate warpage. (a) Injection temperature vs. warpage, (b) packing pressure vs. warpage, and (c) t packing vs. warpage. The dotted line is the reference value.
Jmmp 09 00393 g012
Figure 13. Outliers for all E sec samples (a) and all UTS samples (b). The red square box represents the reference value, with scattered dots indicating the results for E sec and UTS, respectively.
Figure 13. Outliers for all E sec samples (a) and all UTS samples (b). The red square box represents the reference value, with scattered dots indicating the results for E sec and UTS, respectively.
Jmmp 09 00393 g013
Figure 14. (a) Range of E sec values for each combination of parameters and orientation. (b) Range of UTS values for each combination of parameters and orientation. Outliers removed.
Figure 14. (a) Range of E sec values for each combination of parameters and orientation. (b) Range of UTS values for each combination of parameters and orientation. Outliers removed.
Jmmp 09 00393 g014
Figure 15. Effects of injection parameters on E sec compared to the reference (dotted red line). (a) T injection , (b) P packing , (c) t packing , and (d) orientation.
Figure 15. Effects of injection parameters on E sec compared to the reference (dotted red line). (a) T injection , (b) P packing , (c) t packing , and (d) orientation.
Jmmp 09 00393 g015
Figure 16. Comparison of the E sec of the reference combination (red line) with the E sec value of all combinations for the three main orientations: (a) 0°, (b) 45°, and (c) 90°. The dotted line equals 1.05 times the reference value.
Figure 16. Comparison of the E sec of the reference combination (red line) with the E sec value of all combinations for the three main orientations: (a) 0°, (b) 45°, and (c) 90°. The dotted line equals 1.05 times the reference value.
Jmmp 09 00393 g016
Figure 17. Effect of injection parameters on strain at ultimate tensile strength compared to the reference (dotted red line). (a) T injection , (b) P packing , (c) t packing , and (d) orientation.
Figure 17. Effect of injection parameters on strain at ultimate tensile strength compared to the reference (dotted red line). (a) T injection , (b) P packing , (c) t packing , and (d) orientation.
Jmmp 09 00393 g017
Figure 18. Comparison of the e UTS of the reference combination (red line) with the e UTS value of all combinations for the three main orientations: (a) 0°, (b) 45°, and (c) 90°. The dotted line equals 1.05 times the reference value.
Figure 18. Comparison of the e UTS of the reference combination (red line) with the e UTS value of all combinations for the three main orientations: (a) 0°, (b) 45°, and (c) 90°. The dotted line equals 1.05 times the reference value.
Jmmp 09 00393 g018
Figure 19. Effects of UTS injection parameters compared to the reference (dotted red line). (a) T injection , (b) P packing , (c) t packing , and (d) orientation.
Figure 19. Effects of UTS injection parameters compared to the reference (dotted red line). (a) T injection , (b) P packing , (c) t packing , and (d) orientation.
Jmmp 09 00393 g019
Figure 20. Comparison of the UTS of the reference combination (red line) with the UTS value of all combinations for the three main orientations: (a) 0°, (b) 45°, and (c) 90°. The dotted line equals 1.05 times the reference value.
Figure 20. Comparison of the UTS of the reference combination (red line) with the UTS value of all combinations for the three main orientations: (a) 0°, (b) 45°, and (c) 90°. The dotted line equals 1.05 times the reference value.
Jmmp 09 00393 g020
Figure 21. Average flexural strength for the best, reference, and worst combination under the three main orientations compared to the reference ((dotted red line). (a) 0° orientation, (b) orientation, and (c) 90° orientation.
Figure 21. Average flexural strength for the best, reference, and worst combination under the three main orientations compared to the reference ((dotted red line). (a) 0° orientation, (b) orientation, and (c) 90° orientation.
Jmmp 09 00393 g021
Figure 22. Main effect plots of (a) material and (b) orientation on flexural strength compared to reference (dotted red line).
Figure 22. Main effect plots of (a) material and (b) orientation on flexural strength compared to reference (dotted red line).
Jmmp 09 00393 g022
Figure 23. Average flexural modulus for the best, reference, and worst combination under the three main orientations compared to the reference (dotted red line). (a) 0° orientation, (b) orientation, and (c) 90° orientation.
Figure 23. Average flexural modulus for the best, reference, and worst combination under the three main orientations compared to the reference (dotted red line). (a) 0° orientation, (b) orientation, and (c) 90° orientation.
Jmmp 09 00393 g023
Figure 24. Main effect plots of (a) material and (b) orientation on flexural modulus compared to reference (dotted red line).
Figure 24. Main effect plots of (a) material and (b) orientation on flexural modulus compared to reference (dotted red line).
Jmmp 09 00393 g024
Figure 25. Main effect plot of warpage with process parameters. (a) Injection temperature vs. warpage, (b) packing pressure vs. warpage, (c) packing time vs. warpage, and (d) orientation vs. warpage. Reference is the dotted red line.
Figure 25. Main effect plot of warpage with process parameters. (a) Injection temperature vs. warpage, (b) packing pressure vs. warpage, (c) packing time vs. warpage, and (d) orientation vs. warpage. Reference is the dotted red line.
Jmmp 09 00393 g025
Figure 26. Comparison of the warpage of the reference combination (red line) with the warpage value of all combinations for the three main orientations: (a) 0°, (b) 45°, and (c) 90°. The dotted line equals 1.05 times the reference value.
Figure 26. Comparison of the warpage of the reference combination (red line) with the warpage value of all combinations for the three main orientations: (a) 0°, (b) 45°, and (c) 90°. The dotted line equals 1.05 times the reference value.
Jmmp 09 00393 g026
Table 1. Injection molding parameters—common ranges.
Table 1. Injection molding parameters—common ranges.
ParameterRange
Injection temperature (°C)220–270
Mold temperature (°C)30–80
Packing pressure (% P injection )60–110
Injection speed (cm3/s)15.3–25.5
Table 2. Factors and levels for the experimental design.
Table 2. Factors and levels for the experimental design.
T injection (°C) P packing (bar) t packing (s)
220302
240404
260506
Table 3. Combinations of factors and levels resulting from the experimental design.
Table 3. Combinations of factors and levels resulting from the experimental design.
Combination T injection (°C) P packing (bar) t packing (s)
A220302
B220304
C220306
D220402
E220404
F220406
G220502
H220504
I220506
J240302
K240304
L240306
M240402
N240404
O240406
P240502
Q240504
R240506
S260302
T260304
U260306
V260402
W260404
X260406
Y260502
Z260504
AA260506
Table 4. Most common reference injection parameters.
Table 4. Most common reference injection parameters.
ParameterLevel
Injection temperature (°C)220
Injection speed (cm3/s)50
Packing pressure (% Pinjection)70–100
Packing time (s)15
Table 5. ANOVA table for hardness.
Table 5. ANOVA table for hardness.
Factorp-ValueIntepretation
T injection 0Has a significant effect
P packing 0Has a significant effect
t packing 0.185Does not have a significant effect
Orientation0.533Does not have a significant effect
T injection × P packing 0Has a significant effect
T injection × t packing 0.281Does not have a significant effect
T injection × orientation0.663Does not have a significant effect
P packing × t packing 0.405Does not have a significant effect
P packing × P orientation 0.972Does not have a significant effect
t packing × orientation0.799Does not have a significant effect
Table 6. Combination of process parameters for the best and worst hardness.
Table 6. Combination of process parameters for the best and worst hardness.
CombinationAHU
T injection (°C)220220260
P packing (bar)305030
t packing (s)246
Orientation90°
Hardness72.746773.815972.2985
Percentage of enhancementReference+1.47%−0.67%
Table 7. Average warpage obtained from injected plate.
Table 7. Average warpage obtained from injected plate.
CombinationThickness (mm)Z Height (mm)Warpage (m)
A3.7134.0870.374
B3.7074.0570.349
C3.6903.9970.307
D3.7223.8930.172
E3.7334.0100.277
F3.7173.9770.260
G3.7033.8770.174
H3.7473.9530.206
I3.7303.8600.130
J3.6043.7030.099
K3.3723.4400.068
L3.3453.5470.201
M3.5913.7870.195
N3.5903.7370.147
O3.5603.7130.153
P3.5673.7370.170
Q3.5933.8530.260
R3.6473.8430.197
S3.3833.4500.067
T3.3913.4370.046
U3.3873.4530.067
V3.4523.5170.065
W3.4093.4600.051
X3.3853.4470.062
Y3.3923.4830.092
Z3.4063.7070.301
AA3.3863.4400.054
Table 8. ANOVA table for warpage measured on plate.
Table 8. ANOVA table for warpage measured on plate.
Factorp-ValueIntepretation
T injection 0.002Has a significant effect
P packing 0.795Does not have a significant effect
t packing 0.626Does not have a significant effect
T injection  ×  P packing 0.016Has a significant effect
T injection  ×  t packing 0.643Does not have a significant effect
P packing  ×  t packing 0.161Does not have a significant effect
Table 9. Combination of process parameters for best and worst warpage on plate value.
Table 9. Combination of process parameters for best and worst warpage on plate value.
Combination
AVB
T injection (°C)220260220
P packing (bar)304030
t packing (s)224
Warpage37.40%6.29%34.90%
Warpage reductionReference98.32%6.68%
Table 10. ANOVA table of secant modulus.
Table 10. ANOVA table of secant modulus.
Factorp-ValueIntepretation
T injection 0.899Does not have a significant effect
P packing 0.001Has a significant effect
t packing 0.042Has a significant effect
Orientation0.758Does not have a significant effect
T injection × P packing 0Has a significant effect
T injection × t packing 0.898Does not have a significant effect
T injection × orientation0.854Does not have a significant effect
P packing × t packing 0.012Has a significant effect
P packing × P orientation 0.713Does not have a significant effect
t packing × orientation0.827Does not have a significant effect
Table 11. Percentage improvement in E sec compared to the reference.
Table 11. Percentage improvement in E sec compared to the reference.
Combination
AVG
T injection (°C)220260220
P packing (bar)304050
t packing (s)224
0° orientation-37.6%87.0%
45° orientation-6.7%45.2%
90° orientation-8.4%70.4%
Average-17.6%67.5%
Table 12. ANOVA table for e UTS .
Table 12. ANOVA table for e UTS .
Factorp-ValueIntepretation
T injection 0.003Has a significant effect
P packing 0.002Has a significant effect
t packing 0.241Does not have a significant effect
Orientation0.154Does not have a significant effect
T injection × P packing 0Has a significant effect
T injection × t packing 0.411Does not have a significant effect
T injection × orientation0.241Does not have a significant effect
P packing × t packing 0.064Does not have a significant effect
P packing × P orientation 0.134Does not have a significant effect
t packing × orientation0.746Does not have a significant effect
Table 13. Percentage improvement in e UTS compared to the reference.
Table 13. Percentage improvement in e UTS compared to the reference.
Combination
AVG
T injection (°C)220260220
P packing (bar)304050
t packing (s)224
0° orientation-−29.1%−32.3%
45° orientation-−21.6%−21.2%
90° orientation-−23.3%−28.6%
Average-−24.6%−27.3%
Table 14. ANOVA table for UTS.
Table 14. ANOVA table for UTS.
Factorp-ValueIntepretation
T injection 0.000Has a significant effect
P packing 0.002Has a significant effect
t packing 0.818Does not have a significant effect
Orientation0.549Does not have a significant effect
T injection × P packing 0.231Does not have a significant effect
T injection × t packing 0.701Does not have a significant effect
T injection × orientation0.724Does not have a significant effect
P packing × t packing 0.036Has a significant effect
P packing × P orientation 0.985Does not have a significant effect
t packing × orientation0.929Does not have a significant effect
Table 15. Percentage improvement for UTS compared to the reference.
Table 15. Percentage improvement for UTS compared to the reference.
Combination
AVG
T injection (°C)220260220
P packing (bar)304050
t packing (s)224
0° orientation-−8.16%7.06%
45° orientation-−9.71%6.95%
90° orientation-−7.89%5.51%
Average-−8.60%6.50%
Table 16. ANOVA table for flexural strength.
Table 16. ANOVA table for flexural strength.
Factorp-ValueIntepretation
Orientation0.291Does not have a significant effect
Material0.692Does not have a significant effect
Table 17. ANOVA table for flexural modulus.
Table 17. ANOVA table for flexural modulus.
Factorp-ValueIntepretation
Orientation0.456Does not have a significant effect
Material0.000Has a significant effect
Table 18. Percentage improvement in flexural modulus compared to the reference.
Table 18. Percentage improvement in flexural modulus compared to the reference.
Combination
AVG
T injection (°C)220260220
P packing (bar)304050
t packing (s)224
0° orientation-18.83%−12.60%
45° orientation-5.48%−19.00%
90° orientation-−0.93%−22.77%
Average-4.41%−18.13%
Table 19. ANOVA table for warpage value and process parameters.
Table 19. ANOVA table for warpage value and process parameters.
Factorp-ValueIntepretation
T injection 0.027Has a significant effect
P packing 0.828Does not have a significant effect
t packing 0.955Does not have a significant effect
Orientation0.004Has a significant effect
T injection × P packing 0.2Does not have a significant effect
T injection × t packing 0.649Does not have a significant effect
T injection × orientation0Has a significant effect
P packing × t packing 0.0347Has a significant effect
P packing × P orientation 0.757Does not have a significant effect
t packing × orientation0.052Does not have a significant effect
Table 20. Percentage improvement in warpage compared to the reference.
Table 20. Percentage improvement in warpage compared to the reference.
Combination
AVGR
T injection (°C)220260220240
P packing (bar)30405050
t packing (s)2246
0° orientation-−11.69%−22.69%−6.2%
45° orientation-2.36%15.72%−20.6%
90° orientation-56.33%50.75%−1.5%
Average-15.67%14.59%−9.4%
Table 21. Improvement in mechanical properties and warpage of the worst combination, the best combination, and the combination with the lowest warpage.
Table 21. Improvement in mechanical properties and warpage of the worst combination, the best combination, and the combination with the lowest warpage.
AVGR
E sec -17.6%67.5%46.6%
e UTS -−24.6%−27.3%−22.7%
UTS-−8.6%6.5%−2.2%
Flexural strength-−0.9%0.5%-
Flexural modulus-4.4%−18.1%-
Warpage-15.7%14.6%−9.4%
Disclaimer/Publisher’s Note: The statements, opinions and data contained in all publications are solely those of the individual author(s) and contributor(s) and not of MDPI and/or the editor(s). MDPI and/or the editor(s) disclaim responsibility for any injury to people or property resulting from any ideas, methods, instructions or products referred to in the content.

Share and Cite

MDPI and ACS Style

Jiménez-Armendáriz, J.; Guevara-Morales, A.; Figueroa-López, U.; Alfaro-Ponce, M.; Martínez-Trinidad, J.; Jimenez-Martinez, M. Optimization of Injection Molding Parameters for Warpage Reduction on Polypropylene Plates. J. Manuf. Mater. Process. 2025, 9, 393. https://doi.org/10.3390/jmmp9120393

AMA Style

Jiménez-Armendáriz J, Guevara-Morales A, Figueroa-López U, Alfaro-Ponce M, Martínez-Trinidad J, Jimenez-Martinez M. Optimization of Injection Molding Parameters for Warpage Reduction on Polypropylene Plates. Journal of Manufacturing and Materials Processing. 2025; 9(12):393. https://doi.org/10.3390/jmmp9120393

Chicago/Turabian Style

Jiménez-Armendáriz, Jorge, Andrea Guevara-Morales, Ulises Figueroa-López, Mariel Alfaro-Ponce, José Martínez-Trinidad, and Moises Jimenez-Martinez. 2025. "Optimization of Injection Molding Parameters for Warpage Reduction on Polypropylene Plates" Journal of Manufacturing and Materials Processing 9, no. 12: 393. https://doi.org/10.3390/jmmp9120393

APA Style

Jiménez-Armendáriz, J., Guevara-Morales, A., Figueroa-López, U., Alfaro-Ponce, M., Martínez-Trinidad, J., & Jimenez-Martinez, M. (2025). Optimization of Injection Molding Parameters for Warpage Reduction on Polypropylene Plates. Journal of Manufacturing and Materials Processing, 9(12), 393. https://doi.org/10.3390/jmmp9120393

Article Metrics

Back to TopTop