Monitoring of Directed Energy Deposition Laser Beam of Nickel-Based Superalloy via High-Speed Mid-Wave Infrared Coaxial Camera
Abstract
1. Introduction
2. Materials and Methods
2.1. DED-LB System Setup
2.2. Monitoring Setup
3. Results and Discussion
3.1. Monitoring Procedure
3.2. Effects of Substrate Thickness
3.3. Effects of Closed-Loop Control
3.4. Metallographic Analysis
4. Conclusions
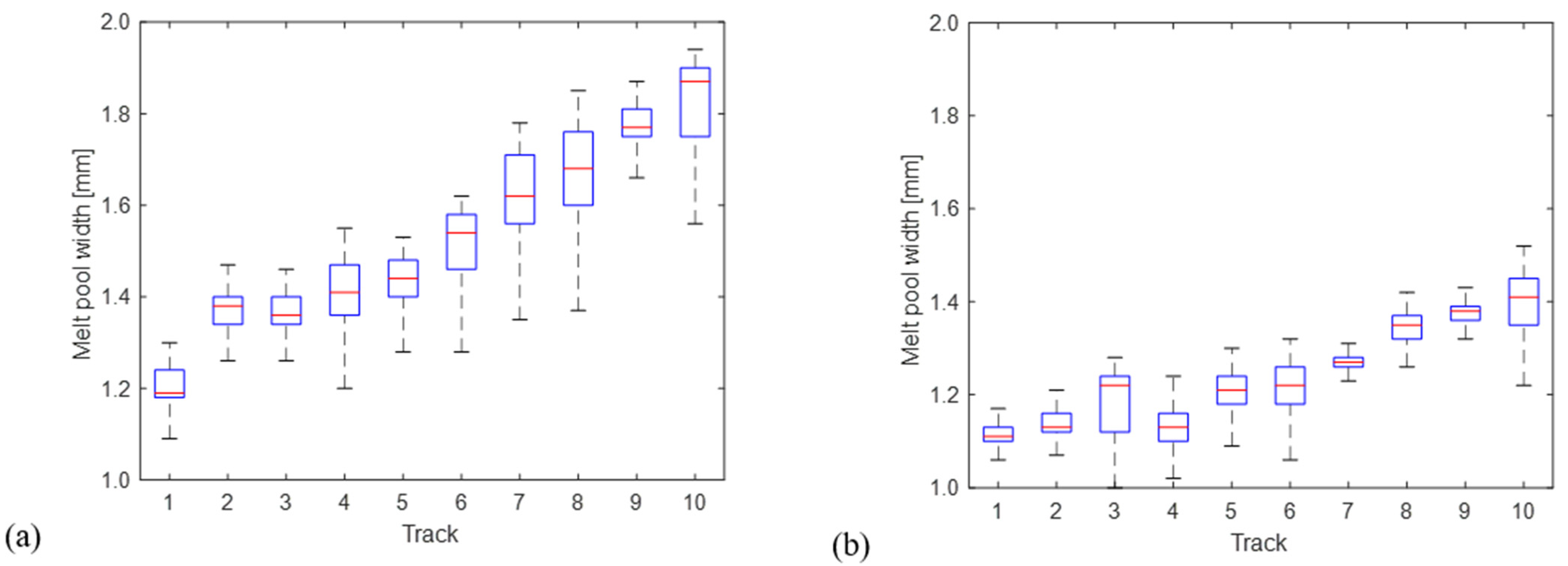
- The melt pool width is strongly affected by the heat accumulation generated in small-thickness substrates. This results in a total variation in the melt pool width for cladding deposition of 0.7 mm for the A-OL test and 0.3 mm for the B-OL test.
- The laser power control system demonstrated its ability to maintain the track width within the set range. The power output showed a decreasing trend in both proposed tests, leading to an average value for the manufacturing that is 23% lower for the A-OL test and 5% lower for the B-OL test.
- Metallographic analyses validate the data recorded by the monitoring system, especially from the perspective of track width. A much more irregular clad height is reported in the samples fabricated in open loop than those fabricated in closed loop. The control system was also shown to mitigate side effects of the deposition process, such as component deflections.
Author Contributions
Funding
Data Availability Statement
Conflicts of Interest
References
- Abdulhameed, O.; Al-Ahmari, A.; Ameen, W.; Mian, S.H. Additive Manufacturing: Challenges, Trends, and Applications. Adv. Mech. Eng. 2019, 11, 168781401882288. [Google Scholar] [CrossRef]
- Gibson, I.; Rosen, D.; Stucker, B.; Khorasani, M. Additive Manufacturing Technologies; Springer International Publishing: Cham, Switzerland, 2021; ISBN 978-3-030-56126-0. [Google Scholar]
- ISO/ASTM 52926-4:2023; Additive Manufacturing of Metals—Qualification Principles Part 4: Qualification of Operators for DED-LB. International Organization for Standardization: Geneva, Switzerland, 2023.
- Blakey-Milner, B.; Gradl, P.; Snedden, G.; Brooks, M.; Pitot, J.; Lopez, E.; Leary, M.; Berto, F.; Du Plessis, A. Metal Additive Manufacturing in Aerospace: A Review. Mater. Des. 2021, 209, 110008. [Google Scholar] [CrossRef]
- Mohd Yusuf, S.; Cutler, S.; Gao, N. Review: The Impact of Metal Additive Manufacturing on the Aerospace Industry. Metals 2019, 9, 1286. [Google Scholar] [CrossRef]
- Tepylo, N.; Huang, X.; Patnaik, P.C. Laser-Based Additive Manufacturing Technologies for Aerospace Applications. Adv. Eng. Mater. 2019, 21, 1900617. [Google Scholar] [CrossRef]
- Svetlizky, D.; Zheng, B.; Vyatskikh, A.; Das, M.; Bose, S.; Bandyopadhyay, A.; Schoenung, J.M.; Lavernia, E.J.; Eliaz, N. Laser-Based Directed Energy Deposition (DED-LB) of Advanced Materials. Mater. Sci. Eng. A 2022, 840, 142967. [Google Scholar] [CrossRef]
- Pollock, T.M.; Tin, S. Nickel-Based Superalloys for Advanced Turbine Engines: Chemistry, Microstructure and Properties. J. Propuls. Power 2006, 22, 361–374. [Google Scholar] [CrossRef]
- Satyanarayana, D.V.V.; Eswara Prasad, N. Nickel-Based Superalloys. In Aerospace Materials and Material Technologies; Prasad, N.E., Wanhill, R.J.H., Eds.; Indian Institute of Metals Series; Springer: Singapore, 2017; pp. 199–228. ISBN 978-981-10-2133-6. [Google Scholar]
- Wang, K.; Du, D.; Liu, G.; Pu, Z.; Chang, B.; Ju, J. Microstructure and Mechanical Properties of High Chromium Nickel-Based Superalloy Fabricated by Laser Metal Deposition. Mater. Sci. Eng. A 2020, 780, 139185. [Google Scholar] [CrossRef]
- Asavavisithchai, S.; Homkrajai, W.; Wangyao, P. Strain-Age Cracking after Postweld Heat Treatments in Inconel 738 Superalloy. High. Temp. Mater. Process. 2010, 29, 61–68. [Google Scholar] [CrossRef]
- Mazzarisi, M.; Errico, V.; Angelastro, A.; Campanelli, S.L. Influence of Standoff Distance and Laser Defocusing Distance on Direct Laser Metal Deposition of a Nickel-Based Superalloy. Int. J. Adv. Manuf. Technol. 2022, 120, 2407–2428. [Google Scholar] [CrossRef]
- Cho, K.T.; Nunez, L.; Shelton, J.; Sciammarella, F. Investigation of Effect of Processing Parameters for Direct Energy Deposition Additive Manufacturing Technologies. JMMP 2023, 7, 105. [Google Scholar] [CrossRef]
- Mazzarisi, M.; Angelastro, A.; Latte, M.; Colucci, T.; Palano, F.; Campanelli, S.L. Thermal Monitoring of Laser Metal Deposition Strategies Using Infrared Thermography. J. Manuf. Process. 2023, 85, 594–611. [Google Scholar] [CrossRef]
- Haley, J.; Leach, C.; Jordan, B.; Dehoff, R.; Paquit, V. In-Situ Digital Image Correlation and Thermal Monitoring in Directed Energy Deposition Additive Manufacturing. Opt. Express 2021, 29, 9927. [Google Scholar] [CrossRef] [PubMed]
- Binega, E.; Yang, L.; Sohn, H.; Cheng, J.C.P. Online Geometry Monitoring during Directed Energy Deposition Additive Manufacturing Using Laser Line Scanning. Precis. Eng. 2022, 73, 104–114. [Google Scholar] [CrossRef]
- Latte, M.; Mazzarisi, M.; Guerra, M.G.; Campanelli, S.L.; Galantucci, L.M. Key Performance Indexes for the Evaluation of Geometrical Characteristics and Subsurface Defects through Laser Line Monitoring of Laser Metal Deposition Process. Opt. Laser Technol. 2025, 182, 112085. [Google Scholar] [CrossRef]
- Errico, V.; Posa, P.; Mazzarisi, M.; Angelastro, A.; Campanelli, S.L. Effects of Laser-Deposited Maraging Steel on L-PBF 316L Component. Metals 2022, 12, 1669. [Google Scholar] [CrossRef]
- Jeon, I.; Yang, L.; Ryu, K.; Sohn, H. Online Melt Pool Depth Estimation during Directed Energy Deposition Using Coaxial Infrared Camera, Laser Line Scanner, and Artificial Neural Network. Addit. Manuf. 2021, 47, 102295. [Google Scholar] [CrossRef]
- Cai, Y.; Xiong, J.; Chen, H.; Zhang, G. A Review of In-Situ Monitoring and Process Control System in Metal-Based Laser Additive Manufacturing. J. Manuf. Syst. 2023, 70, 309–326. [Google Scholar] [CrossRef]
- Tang, Z.; Liu, W.; Wang, Y.; Saleheen, K.M.; Liu, Z.; Peng, S.; Zhang, Z.; Zhang, H. A Review on in Situ Monitoring Technology for Directed Energy Deposition of Metals. Int. J. Adv. Manuf. Technol. 2020, 108, 3437–3463. [Google Scholar] [CrossRef]
- Ali, N.; Tomesani, L.; Ascari, A.; Fortunato, A. Fabrication of Thin Walls with and without Close Loop Control as a Function of Scan Strategy Via Direct Energy Deposition. Lasers Manuf. Mater. Process. 2022, 9, 81–101. [Google Scholar] [CrossRef]
- Farshidianfar, M.H.; Khodabakhshi, F.; Khajepour, A.; Gerlich, A.P. Closed-Loop Control of Microstructure and Mechanical Properties in Additive Manufacturing by Directed Energy Deposition. Mater. Sci. Eng. A 2021, 803, 140483. [Google Scholar] [CrossRef]
- Smoqi, Z.; Bevans, B.D.; Gaikwad, A.; Craig, J.; Abul-Haj, A.; Roeder, B.; Macy, B.; Shield, J.E.; Rao, P. Closed-Loop Control of Meltpool Temperature in Directed Energy Deposition. Mater. Des. 2022, 215, 110508. [Google Scholar] [CrossRef]
- Freeman, F.; Chechik, L.; Thomas, B.; Todd, I. Calibrated Closed-Loop Control to Reduce the Effect of Geometry on Mechanical Behaviour in Directed Energy Deposition. J. Mater. Process. Technol. 2023, 311, 117823. [Google Scholar] [CrossRef]
- Kim, S.; Jeon, I.; Sohn, H. Infrared Thermographic Imaging Based Real-Time Layer Height Estimation during Directed Energy Deposition. Opt. Lasers Eng. 2023, 168, 107661. [Google Scholar] [CrossRef]
- Borovkov, H.; De La Yedra, A.G.; Zurutuza, X.; Angulo, X.; Alvarez, P.; Pereira, J.C.; Cortes, F. In-Line Height Measurement Technique for Directed Energy Deposition Processes. J. Manuf. Mater. Process. 2021, 5, 85. [Google Scholar] [CrossRef]
- Regulin, D.; Barucci, R. A Benchmark of Approaches for Closed Loop Control of Melt Pool Shape in DED. Int. J. Adv. Manuf. Technol. 2023, 126, 829–843. [Google Scholar] [CrossRef]
- Pandiyan, V.; Cui, D.; Richter, R.A.; Parrilli, A.; Leparoux, M. Real-Time Monitoring and Quality Assurance for Laser-Based Directed Energy Deposition: Integrating Co-Axial Imaging and Self-Supervised Deep Learning Framework. J. Intell. Manuf. 2023. [Google Scholar] [CrossRef]
- Mazzarisi, M.; Campanelli, S.L.; Angelastro, A.; Palano, F.; Dassisti, M. In Situ Monitoring of Direct Laser Metal Deposition of a Nickel-Based Superalloy Using Infrared Thermography. Int. J. Adv. Manuf. Technol. 2021, 112, 157–173. [Google Scholar] [CrossRef]








| Chemistry | Al | Br | C | Co | Cr | Mo | Ti | Ni | 
|---|---|---|---|---|---|---|---|---|
| Weight percentage (%) | 4.26 | 0.017 | 0.08 | 14.93 | 14.62 | 3.96 | 3.25 | Balance | 
| Laser Power (W) | Laser Spot Diameter (mm) | Gas Flow Rate (l/min) | Powder Flow Rate (g/min) | Deposition Speed (mm/min) | 
|---|---|---|---|---|
| 275 | 0.8 | 3 | 2.5 | 300 | 
| Specimen | H Start (μm) | H End (μm) | p Start (μm) | p End (μm) | Dil Start (%) | Dil End (%) | 
|---|---|---|---|---|---|---|
| A-OL | 395 | 733 | 133 | 115 | 25% | 14% | 
| B-OL | 406 | 548 | 109 | 98 | 21% | 15% | 
| A-CL | 359 | 435 | 128 | 94 | 26% | 18% | 
| B-CL | 378 | 427 | 114 | 68 | 23% | 14% | 
| Disclaimer/Publisher’s Note: The statements, opinions and data contained in all publications are solely those of the individual author(s) and contributor(s) and not of MDPI and/or the editor(s). MDPI and/or the editor(s) disclaim responsibility for any injury to people or property resulting from any ideas, methods, instructions or products referred to in the content. | 
© 2024 by the authors. Licensee MDPI, Basel, Switzerland. This article is an open access article distributed under the terms and conditions of the Creative Commons Attribution (CC BY) license (https://creativecommons.org/licenses/by/4.0/).
Share and Cite
Mazzarisi, M.; Angelastro, A.; Campanelli, S.L.; Errico, V.; Posa, P.; Fusco, A.; Colucci, T.; Edwards, A.J.; Corigliano, S. Monitoring of Directed Energy Deposition Laser Beam of Nickel-Based Superalloy via High-Speed Mid-Wave Infrared Coaxial Camera. J. Manuf. Mater. Process. 2024, 8, 294. https://doi.org/10.3390/jmmp8060294
Mazzarisi M, Angelastro A, Campanelli SL, Errico V, Posa P, Fusco A, Colucci T, Edwards AJ, Corigliano S. Monitoring of Directed Energy Deposition Laser Beam of Nickel-Based Superalloy via High-Speed Mid-Wave Infrared Coaxial Camera. Journal of Manufacturing and Materials Processing. 2024; 8(6):294. https://doi.org/10.3390/jmmp8060294
Chicago/Turabian StyleMazzarisi, Marco, Andrea Angelastro, Sabina Luisa Campanelli, Vito Errico, Paolo Posa, Andrea Fusco, Teresa Colucci, Alexander John Edwards, and Simona Corigliano. 2024. "Monitoring of Directed Energy Deposition Laser Beam of Nickel-Based Superalloy via High-Speed Mid-Wave Infrared Coaxial Camera" Journal of Manufacturing and Materials Processing 8, no. 6: 294. https://doi.org/10.3390/jmmp8060294
APA StyleMazzarisi, M., Angelastro, A., Campanelli, S. L., Errico, V., Posa, P., Fusco, A., Colucci, T., Edwards, A. J., & Corigliano, S. (2024). Monitoring of Directed Energy Deposition Laser Beam of Nickel-Based Superalloy via High-Speed Mid-Wave Infrared Coaxial Camera. Journal of Manufacturing and Materials Processing, 8(6), 294. https://doi.org/10.3390/jmmp8060294
 
        



 
       