The Experimental and Modeling Study of Femtosecond Laser-Ablated Silicon Surface
Abstract
1. Introduction
2. Materials and Modeling Method
2.1. Experimental Setup and Sample Analysis
2.2. The Modeling
3. Results and Discussion
3.1. Experimental Results
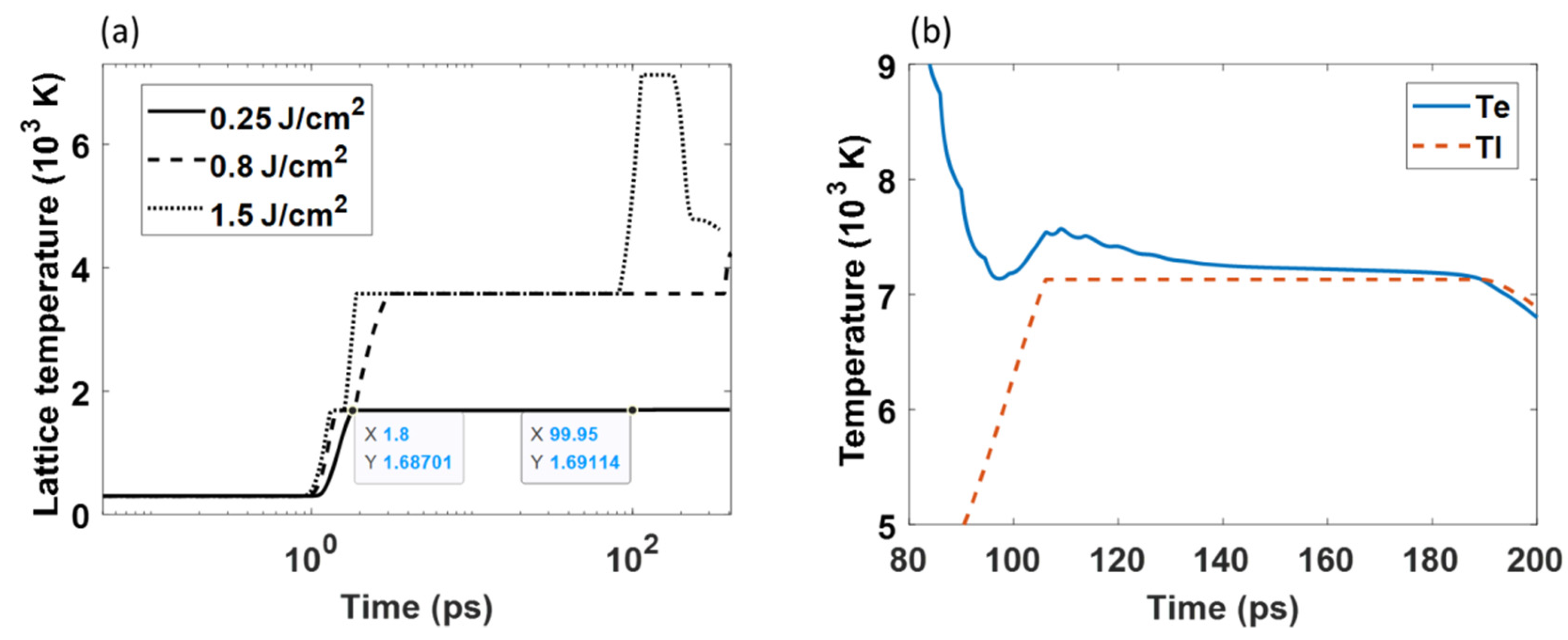
3.2. Simulation Results
4. Conclusions
- Two different ablation thresholds obtained by the relationship between laser fluence and ablation depth were nearly 0.84 and 1.67 J/cm2;
- The melting, vaporization, and phase explosion thresholds determined by the numerical simulation were 0.25, 0.8, and 1.5 J/cm2, respectively;
- Comparing the simulation results obtained using the fluences of 0.25 and 3.06 J/cm2, a higher laser intensity caused a greater electron transit from the valence band to the conduction band. The Auger recombination effect highly influenced the carrier density in a high-fluence regime;
- The dynamic reflectivity and free-carrier absorption varied with carrier density. The free-carrier absorption coefficient obtained at high fluences was higher than that obtained at low fluences and caused a higher electron temperature at high fluences;
- The simulation results from the phase explosion model were in line with the experimental results in a moderate-fluence regime.
Author Contributions
Funding
Data Availability Statement
Acknowledgments
Conflicts of Interest
References
- Florian, C.; Fischer, D.; Freiberg, K.; Duwe, M.; Sahre, M.; Schneider, S.; Hertwig, A.; Krüger, J.; Rettenmayr, M.; Beck, U. Single femtosecond laser-pulse-induced superficial amorphization and re-crystallization of silicon. Materials 2021, 14, 1651. [Google Scholar] [CrossRef]
- Zhao, J.H.; Li, X.B.; Chen, Q.D.; Chen, Z.G.; Sun, H.B. Ultrafast laser-induced black silicon, from micro-nanostructuring, infrared absorption mechanism, to high performance detecting devices. Mater. Today Nano 2020, 11, 100078. [Google Scholar] [CrossRef]
- Borodaenko, Y.; Gurbatov, S.; Tutov, M.; Zhizhchenko, A.; Kulinich, S.A.; Kuchmizhak, A.; Mironenko, A. Direct Femtosecond Laser Fabrication of Chemically Functionalized Ultra-Black Textures on Silicon for Sensing Applications. Nanomaterials 2021, 11, 401. [Google Scholar] [CrossRef]
- Liu, Y.; Ding, Y.; Xie, J.; Chen, M.; Yang, L.; Lv, X.; Yuan, J. Research on Monocrystalline Silicon Micro-Nano Structures Irradiated by Femtosecond Laser. Materials 2022, 15, 4897. [Google Scholar] [CrossRef] [PubMed]
- Liu, Y.-H.; Kuo, K.-K.; Cheng, C.-W.; Lee, A.-C. Femtosecond laser two-beam interference applied to 4H-SiC surface hierarchical micro-nano structure fabrication. Opt. Laser Technol. 2022, 151, 108081. [Google Scholar] [CrossRef]
- Liu, Y.-H.; Cheng, C.-W. Green wavelength femtosecond laser ablated copper surface. Opt. Commun. 2022, 509, 127875. [Google Scholar] [CrossRef]
- Gedvilas, M.; Indrišiūnas, S.; Voisiat, B.; Stankevičius, E.; Selskis, A.; Račiukaitis, G. Nanoscale thermal diffusion during the laser interference ablation using femto-, pico-, and nanosecond pulses in silicon. Phys. Chem. Chem. Phys. 2018, 20, 12166–12174. [Google Scholar] [CrossRef]
- Guillermin, M.; Garrelie, F.; Sanner, N.; Audouard, E.; Soder, H. Single-and multi-pulse formation of surface structures under static femtosecond irradiation. Appl. Surf. Sci. 2007, 253, 8075–8079. [Google Scholar] [CrossRef]
- Sundaram, S.; Mazur, E. Inducing and probing non-thermal transitions in semiconductors using femtosecond laser pulses. Nat. Mater. 2002, 1, 217–224. [Google Scholar] [CrossRef] [PubMed]
- Bonse, J.; Baudach, S.; Krüger, J.; Kautek, W.; Lenzner, M. Femtosecond laser ablation of silicon–modification thresholds and morphology. Appl. Phys. A 2002, 74, 19–25. [Google Scholar] [CrossRef]
- Borowiec, A.; Mackenzie, M.; Weatherly, G.; Haugen, H. Transmission and scanning electron microscopy studies of single femtosecond-laser-pulse ablation of silicon. Appl. Phys. A 2003, 76, 201–207. [Google Scholar] [CrossRef]
- Sikora, A.; Grojo, D.; Sentis, M. Wavelength scaling of silicon laser ablation in picosecond regime. J. Appl. Phys. 2017, 122, 045702. [Google Scholar] [CrossRef]
- Zayarny, D.; Ionin, A.; Kudryashov, S.; Makarov, S.; Kuchmizhak, A.; Vitrik, O.; Kulchin, Y.N. Surface ablation of aluminum and silicon by ultrashort laser pulses of variable width. JETP Lett. 2016, 103, 752–755. [Google Scholar] [CrossRef]
- Agranat, M.B.; Anisimov, S.I.; Ashitkov, S.I.; Ovchinnikov, A.V.; Kondratenko, P.S.; Sitnikov, D.S.; Fortov, V.E.e. On the mechanism of the absorption of femtosecond laser pulses in the melting and ablation of Si and GaAs. JETP Lett. 2006, 83, 501–504. [Google Scholar] [CrossRef]
- Hwang, D.J.; Grigoropoulos, C.P.; Choi, T.Y. Efficiency of silicon micromachining by femtosecond laser pulses in ambient air. J. Appl. Phys. 2006, 99, 083101. [Google Scholar] [CrossRef]
- Ionin, A.; Kudryashov, S.; Seleznev, L.; Sinitsyn, D.; Bunkin, A.; Lednev, V.; Pershin, S. Thermal melting and ablation of silicon by femtosecond laser radiation. J. Exp. Theor. Phys. 2013, 116, 347–362. [Google Scholar] [CrossRef]
- Smirnov, N.A.; Kudryashov, S.I.; Danilov, P.A.; Rudenko, A.A.; Ionin, A.A.; Nastulyavichus, A.A. Silicon ablation by single ultrashort laser pulses of variable width in air and water. JETP Lett. 2018, 108, 368–373. [Google Scholar] [CrossRef]
- Van Driel, H.M. Kinetics of high-density plasmas generated in Si by 1.06-and 0.53-μm picosecond laser pulses. Phys. Rev. B 1987, 35, 8166. [Google Scholar] [CrossRef] [PubMed]
- Chen, J.; Tzou, D.; Beraun, J. Numerical investigation of ultrashort laser damage in semiconductors. Int. J. Heat Mass Transf. 2005, 48, 501–509. [Google Scholar] [CrossRef]
- Rämer, A.; Osmani, O.; Rethfeld, B. Laser damage in silicon: Energy absorption, relaxation, and transport. J. Appl. Phys. 2014, 116, 053508. [Google Scholar] [CrossRef]
- Allenspacher, P.; Huettner, B.; Riede, W. Ultrashort Pulse Damage of Si and Ge Semiconductors; SPIE: Bellingham, WA, USA, 2003; Volume 4932. [Google Scholar]
- Wu, B.; Shin, Y.C. A simplified predictive model for high-fluence ultra-short pulsed laser ablation of semiconductors and dielectrics. Appl. Surf. Sci. 2009, 255, 4996–5002. [Google Scholar] [CrossRef]
- Tsibidis, G.D.; Barberoglou, M.; Loukakos, P.A.; Stratakis, E.; Fotakis, C. Dynamics of ripple formation on silicon surfaces by ultrashort laser pulses in subablation conditions. Phys. Rev. B 2012, 86, 115316. [Google Scholar] [CrossRef]
- Moser, R.; Domke, M.; Winter, J.; Huber, H.P.; Marowsky, G. Single pulse femtosecond laser ablation of silicon–a comparison between experimental and simulated two-dimensional ablation profiles. Adv. Opt. Technol. 2018, 7, 255–264. [Google Scholar] [CrossRef]
- Chen, C.; Zhang, F.; Zhang, Y.; Xiong, X.; Ju, B.-F.; Cui, H.; Chen, Y.-L. Single-pulse femtosecond laser ablation of monocrystalline silicon: A modeling and experimental study. Appl. Surf. Sci. 2022, 576, 151722. [Google Scholar] [CrossRef]
- Vaghasiya, H.; Krause, S.; Miclea, P.-T. Thermal and non-thermal ablation mechanisms in crystalline silicon by femtosecond laser pulses: Classical approach of the carrier density two temperature model. J. Phys. D Appl. Phys. 2022, 55, 175109. [Google Scholar] [CrossRef]
- Feng, T.; Chen, G.; Han, H.; Qiao, J. Femtosecond-laser-ablation dynamics in silicon revealed by transient reflectivity change. Micromachines 2022, 13, 14. [Google Scholar] [CrossRef]
- Liu, J. Simple technique for measurements of pulsed Gaussian-beam spot sizes. Opt. Lett. 1982, 7, 196–198. [Google Scholar] [CrossRef] [PubMed]
- Fox, M. Free excitons at high densities. In Optical Properties of Solids, 2nd ed.; Oxford University Press: Oxford, UK, 2010; pp. 104–106. [Google Scholar]
- Lorazo, P.; Lewis, L.J.; Meunier, M. Short-pulse laser ablation of solids: From phase explosion to fragmentation. Phys. Rev. Lett. 2003, 91, 225502. [Google Scholar] [CrossRef]
- Thorstensen, J.; Erik Foss, S. Temperature dependent ablation threshold in silicon using ultrashort laser pulses. J. Appl. Phys. 2012, 112, 103514. [Google Scholar] [CrossRef]
- Korfiatis, D.; Thoma, K.-A.T.; Vardaxoglou, J. Numerical modeling of ultrashort-pulse laser ablation of silicon. Appl. Surf. Sci. 2009, 255, 7605–7609. [Google Scholar] [CrossRef]
- Kelly, R.; Miotello, A. Contribution of vaporization and boiling to thermal-spike sputtering by ions or laser pulses. Phys. Rev. E 1999, 60, 2616. [Google Scholar] [CrossRef]
- Shaheen, M.; Gagnon, J.; Fryer, B. Femtosecond laser ablation behavior of gold, crystalline silicon, and fused silica: A comparative study. Laser Phys. 2014, 24, 106102. [Google Scholar] [CrossRef]
- Bonse, J.; Brzezinka, K.W.; Meixner, A.J. Modifying single-crystalline silicon by femtosecond laser pulses: An analysis by micro Raman spectroscopy, scanning laser microscopy and atomic force microscopy. Appl. Surf. Sci. 2004, 221, 215–230. [Google Scholar] [CrossRef]
- Danilov, P.; Ionin, A.; Kudryashov, S.; Makarov, S.; Rudenko, A.; Saltuganov, P.; Seleznev, L.; Yurovskikh, V.; Zayarny, D.; Apostolova, T. Silicon as a virtual plasmonic material: Acquisition of its transient optical constants and the ultrafast surface plasmon-polariton excitation. J. Exp. Theor. Phys. 2015, 120, 946–959. [Google Scholar] [CrossRef]
- Ionin, A.A.; Kudryashov, S.I.; Makarov, S.V.; Saltuganov, P.N.; Seleznev, L.V.; Sinitsyn, D.V.e.; Sharipov, A. Ultrafast electron dynamics on the silicon surface excited by an intense femtosecond laser pulse. JETP Lett. 2012, 96, 375–379. [Google Scholar] [CrossRef]
- Danilov, P.; Ionin, A.; Khmelnitskii, R.; Kiseleva, I.; Kudryashov, S.; Mel’nik, N.; Rudenko, A.; Smirnov, N.; Zayarny, D. Electron-ion coupling and ambipolar diffusion in dense electron-hole plasma in thin amorphous Si films studied by single-shot, pulse-width dependent ultrafast laser ablation. Appl. Surf. Sci. 2017, 425, 170–175. [Google Scholar] [CrossRef]
- Schinke, C.; Christian Peest, P.; Schmidt, J.; Brendel, R.; Bothe, K.; Vogt, M.R.; Kröger, I.; Winter, S.; Schirmacher, A.; Lim, S. Uncertainty analysis for the coefficient of band-to-band absorption of crystalline silicon. AIP Adv. 2015, 5, 067168. [Google Scholar] [CrossRef]
- Zhao, X.; Shin, Y.C. Ablation dynamics of silicon by femtosecond laser and the role of early plasma. J. Manuf. Sci. Eng. 2013, 135, 061015. [Google Scholar] [CrossRef]









Disclaimer/Publisher’s Note: The statements, opinions and data contained in all publications are solely those of the individual author(s) and contributor(s) and not of MDPI and/or the editor(s). MDPI and/or the editor(s) disclaim responsibility for any injury to people or property resulting from any ideas, methods, instructions or products referred to in the content. |
© 2023 by the authors. Licensee MDPI, Basel, Switzerland. This article is an open access article distributed under the terms and conditions of the Creative Commons Attribution (CC BY) license (https://creativecommons.org/licenses/by/4.0/).
Share and Cite
Liu, Y.-H.; Cheng, C.-W. The Experimental and Modeling Study of Femtosecond Laser-Ablated Silicon Surface. J. Manuf. Mater. Process. 2023, 7, 68. https://doi.org/10.3390/jmmp7020068
Liu Y-H, Cheng C-W. The Experimental and Modeling Study of Femtosecond Laser-Ablated Silicon Surface. Journal of Manufacturing and Materials Processing. 2023; 7(2):68. https://doi.org/10.3390/jmmp7020068
Chicago/Turabian StyleLiu, Yi-Hsien, and Chung-Wei Cheng. 2023. "The Experimental and Modeling Study of Femtosecond Laser-Ablated Silicon Surface" Journal of Manufacturing and Materials Processing 7, no. 2: 68. https://doi.org/10.3390/jmmp7020068
APA StyleLiu, Y.-H., & Cheng, C.-W. (2023). The Experimental and Modeling Study of Femtosecond Laser-Ablated Silicon Surface. Journal of Manufacturing and Materials Processing, 7(2), 68. https://doi.org/10.3390/jmmp7020068

