A Sparse Feature-Based Mixed Signal Frequencies Detecting for Unmanned Aerial Vehicle Communications
Abstract
1. Introduction
2. Mechanism of Mixed-Signal Separation Detection Method
3. Mixed-Signal Separation Frequency Detection Network Framework
| Algorithm 1 Network framework training and inference methods. |
| Method Name: Training and Inference of Mixed-Signal Separation Frequency Detection Network Framework. Training inputs: input data /*Mixed-signal, obtained from Equation (1)*/ Training outputs: /*Signal separation network model*/, /*Component number detection network model*/, /*Component frequency estimation network model*/ 1: Divide into n parts, with each part consisting of m samples. The ith part of the samples is denoted as . 2: for /* “” refers to the number of training rounds. “N” represents the overall number of training rounds*/ 3: while /*“” stands for the learning rate. “” denotes the threshold value of the learning rate. Training is stopped when */ 4: for /*The error value is obtained according to Equation (4), and the weight of is optimized by using Equation (5) */ /*The error value is obtained according to Equation (7), and the weight of is optimized by using Equation (8)*/ /* The error value is obtained according to Equation (10), and the weight of is optimized by using Equation (11) */ 5: end for 6: end while 7: When does not descend for 5 consecutive rounds /* is the total error value*/ 8: end for Inference input: /* The mixed-signal is obtained by Equation (1) and is completely different from */ Inference output: 1: /* is the optimized weight value of the signal separation network */ 2: /* is the optimized weight value of the sub-signal number detection network */ 3: /* is the optimized weight value of the sub-signal frequency detection network, When , */ 4: Return , |
4. Simulation Verification and Analysis
4.1. Dataset
| Algorithm 2 Training set and validation set generation methods. |
| Method Name: Generation method of training set and validation set. 1: /* Randomly select an integer from to represent the number of components in the maxed-signal*/ 2: /* “” represents the initial frequency of the component signal and obeys a uniform distribution */ 3: /* “” represents the random interval of the frequency of each component signal and follows a normal distribution. N denotes the number of sample points*/ /* “” represents the frequency of the i th component signal */ /* “” represents the amplitude of the i th component signal */ /* “” represents the phase of the i th component signal*/ 4: end for 5: |
4.2. Simulation Parameters and Evaluation Indicators
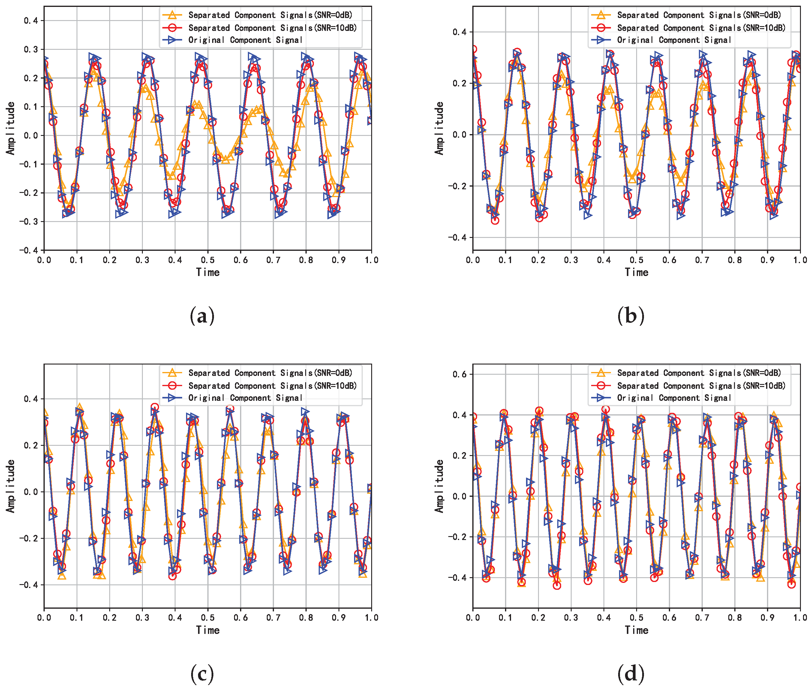
4.3. Simulation Results and Analysis
5. Conclusions
Author Contributions
Funding
Institutional Review Board Statement
Informed Consent Statement
Data Availability Statement
Conflicts of Interest
Abbreviations
| UAV | Unmanned Aerial Vehicle |
| SNR | Signal-to-Noise Ratio |
| SFsRNet | Sparse Feature Signal Reconstruction Network Framework |
| MSE | Mean Square Error |
| Conv | Convolutional Layer |
| Pool | Max Pooling Layer |
| ReLU | Rectified Linear Unit |
| FC | Fully Connected Layer |
| TConv | Transposed Convolution Layer |
| BN | Batch Normalization Layer |
| SGE | Spatial Group-wise Enhance |
| Adam | Adaptive Moment estimation |
References
- Huang, Y.; Cui, H.; Hou, Y.; Hao, C.; Wang, W.; Zhu, Q.; Li, J.; Wu, Q.; Wang, J. Space-based Electromagnetic Spectrum Sensing and Situation Awareness. Space Sci. Technol. 2024, 4, 0109. [Google Scholar] [CrossRef]
- Zhou, B.; Ma, X.; Kuang, T.; Li, J. New Paradigm of Electromagnetic Spectrum Space Situation Cognition: Spectrum Semantic and Spectrum Behavior. Data Acquis. Process. 2022, 37, 1198–1207. [Google Scholar]
- Wang, Y.; Zou, N.; Fu, J.; Liang, G.L. Transient Signal Detection Method Based on Partial Instantaneous Energy Density Level. Electron. Inf. Technol. 2013, 35, 1720–1724. [Google Scholar] [CrossRef]
- Josip, L.; Ivana, R.; Dinko, B. A Survey on the Energy Detection of OFDM Signals with Dynamic Threshold Adaptation: Open Issues and Future Challenges. Sensors 2021, 21, 3080. [Google Scholar] [CrossRef]
- Vartiainen, J.; Karvonen, H.; Matinmikko-Blue, M.; Mendes, L.; Saarnisaari, H.; Matos, A. Energy Detection Based Spectrum Sensing for Rural Area Networks. EAI Endorsed Trans. Wirel. Spectr. 2020, 4, e6. [Google Scholar] [CrossRef]
- Wu, W.; Wang, Z.; Yuan, L.; Zhou, F.; Lang, F.; Wang, B.; Wu, Q. IRS-enhanced energy detection for spectrum sensing in cognitive radio networks. IEEE Wirel. Commun. Lett. 2021, 10, 2254–2258. [Google Scholar] [CrossRef]
- Yoo, S.K.; Sofotasios, P.C.; Cotton, S.L.; Muhaidat, S.; Badarneh, O.S.; Karagiannidis, G.K. Entropy and Energy Detection-Based Spectrum Sensing Over F-Composite Fading Channels. IEEE Trans. Commun. 2019, 67, 4641–4653. [Google Scholar] [CrossRef]
- Dibal, P.Y.; Onwuka, E.N.; Agajo, J.; Alenoghena, C.O. Wideband spectrum sensing in cognitive radio using discrete wavelet packet transform and principal component analysis. Phys. Commun. 2020, 38, 100918. [Google Scholar] [CrossRef]
- El Khamy, S.E.; Abd el Malek, M.B.; Kamel, S.H. A stationary wavelet transform approach to compressed spectrum sensing in cognitive radio. Int. J. Commun. Syst. 2017, 30, e3140. [Google Scholar] [CrossRef]
- Kumar, A.; Saha, S.; Bhattacharya, R. Wavelet transform based novel edge detection algorithms for wideband spectrum sensing in CRNs. AEU—Int. J. Electron. Commun. 2018, 84, 100–110. [Google Scholar] [CrossRef]
- Mukherjee, N.; Chattopadhyaya, A.; Chattopadhyay, S.; Sengupta, S. Discrete-wavelet-transform and stockwell-transform-based statistical parameters estimation for fault analysis in grid-connected wind power system. IEEE Syst. J. 2020, 14, 4320–4328. [Google Scholar] [CrossRef]
- Zhou, F.; Xu, W.; Yuan, J.; Tian, B.; Li, J. Research on the Joint Optimization of Hop Period Estimation Method for Link16 Signals. J. Shenyang Ligong Univ. 2022, 41, 14–19. [Google Scholar]
- Osadchiy, A.; Kamenev, A.; Saharov, V.; Chernyi, S. Signal processing algorithm based on discrete wavelet transform. Designs 2021, 5, 41. [Google Scholar] [CrossRef]
- Zhou, R.; Zhang, Y.; Sun, X.; Guo, C. A cooperative spectrum sensing algorithm based on Bayesian compressed sensing. In Proceedings of the 2017 3rd IEEE International Conference on Computer and Communications (ICCC), Chengdu, China, 13–16 December 2017; pp. 658–662. [Google Scholar]
- Yan, S. Collaborative spectrum sensing for cognitive radio networks by using 1-bit compressed sensing. In Proceedings of the 4th International Conference on Communication and Information Processing, Qingdao, China, 2–4 November 2018; pp. 289–293. [Google Scholar]
- Zhao, J.; Liu, Q.; Wang, X.; Mao, S. Scheduled sequential compressed spectrum sensing for wideband cognitive radios. IEEE Trans. Mob. Comput. 2017, 17, 913–926. [Google Scholar] [CrossRef]
- Zhang, X.; Tan, H.; Lyu, W. Low-complexity generalized space shift keying signal detection algorithm based on compressed sensing. Comput. Appl. 2023, 43, 3890–3895. [Google Scholar]
- Li, S.; Shang, J.; Chen, Q.; Sun, Y.; Liu, J.X. A compressed sensing based two-stage method for detecting epistatic interactions. Int. J. Data Min. Bioinform. 2016, 14, 354–372. [Google Scholar] [CrossRef]
- Zhang, H.; Dong, Z.; Sun, M.; Gu, H.; Wang, Z. TP-CNN: A Detection Method for atrial fibrillation based on transposed projection signals with compressed sensed ECG. Comput. Methods Programs Biomed. 2021, 210, 106358. [Google Scholar] [CrossRef]
- Feng, J.; Yang, L.T.; Ren, B.; Zou, D.; Dong, M.; Zhang, S. Tensor Recurrent Neural Network With Differential Privacy. IEEE Trans. Comput. 2024, 73, 683–693. [Google Scholar] [CrossRef]
- Borylo, P.; Biernacka, E.; Domzal, J.; Kadziolka, B.; Kantor, M.; Rusek, K.; Skala, M.; Wajda, K.; Wojcik, R.; Zabek, W. Neural Networks in Selected Aspects of Communications and Networking. IEEE Access 2024, 12, 132856–132890. [Google Scholar] [CrossRef]
- Ding, X.; Ni, T.; Zou, Y.; Zhang, G. Deep learning for satellites based spectrum sensing systems: A low computational complexity perspective. IEEE Trans. Veh. Technol. 2022, 72, 1366–1371. [Google Scholar] [CrossRef]
- Pan, X.; Cao, K. Spectrum Sensing Based on CNN-LSTM with Attention for Cognitive Radio Networks. In Proceedings of the 2023 8th International Conference on Intelligent Informatics and Biomedical Sciences (ICIIBMS), Okinawa, Japan, 23–25 November 2023; Volume 8, pp. 63–67. [Google Scholar]
- Mehrabian, A.; Sabbaghian, M.; Yanikomeroglu, H. CNN-based detector for spectrum sensing with general noise models. IEEE Trans. Wirel. Commun. 2022, 22, 1235–1249. [Google Scholar] [CrossRef]
- Wang, Y.; Feng, Y.X.; Song, B.X.; Qian, B. Spectrum sensing method for wireless signals based on kurtosis estimation. Acta Armamentarii 2024, 1–12. [Google Scholar] [CrossRef]
- Izacard, G.; Bernstein, B.; Fernandez Granda, C. A learning-based framework for line-spectra super-resolution. In Proceedings of the ICASSP 2019-2019 IEEE International Conference on Acoustics, Speech and Signal Processing (ICASSP), Brighton, UK, 12–17 May 2019; pp. 3632–3636. [Google Scholar]
- Izacard, G.; Mohan, S.; Fernandez Granda, C. Data-driven estimation of sinusoid frequencies. In Advances in Neural Information Processing Systems; Cornell University Library: Ithaca, NY, USA, 2019; pp. 5127–5137. [Google Scholar]
- Pan, P.; Zhang, Y.; Deng, Z.; Qi, W. Deep learning-based 2-D frequency estimation of multiple sinusoidals. IEEE Trans. Neural Netw. Learn. Syst. 2021, 33, 5429–5440. [Google Scholar] [CrossRef] [PubMed]
- Dreifuerst, R.M.; Heath, R.W. Signalnet: A low resolution sinusoid decomposition and estimation network. IEEE Trans. Signal Process. 2022, 70, 4454–4467. [Google Scholar] [CrossRef]
- Guo, Y.; Bao, Y.; Li, H.; Zhang, Y. Deep learning-based adaptive mode decomposition and instantaneous frequency estimation for vibration signal. Mech. Syst. Signal Process. 2023, 199, 110463. [Google Scholar] [CrossRef]
- Yang, H.; Monte-Moreno, E.; Hernández-Pajares, M.; Roma-Dollase, D. Real-time interpolation of global ionospheric maps by means of sparse representation. J. Geod. 2021, 95, 71. [Google Scholar] [CrossRef]
- Zha, Z.; Yuan, X.; Wen, B.; Zhang, J.; Zhou, J.; Zhu, C. Image restoration using joint patch-group-based sparse representation. IEEE Trans. Image Process. 2020, 29, 7735–7750. [Google Scholar] [CrossRef]
- Feng, J.; Yang, L.T.; Zhu, Q.; Choo, K.K.R. Privacy-Preserving Tensor Decomposition Over Encrypted Data in a Federated Cloud Environment. IEEE Trans. Dependable Secur. Comput. 2020, 17, 857–868. [Google Scholar] [CrossRef]
- Wang, X.; Zhang, K.; Wang, J.; Jin, Y. An Enhanced Competitive Swarm Optimizer With Strongly Convex Sparse Operator for Large-Scale Multiobjective Optimization. IEEE Trans. Evol. Comput. 2022, 26, 859–871. [Google Scholar] [CrossRef]
- Yang, J.; Wright, J.; Huang, T.; Ma, Y. Image Super-Resolution Via Sparse Representation. IEEE Trans. Image Process. 2010, 19, 2861–2873. [Google Scholar] [CrossRef]
- Li, X.; Hu, X.; Yang, J. Spatial Group-wise Enhance: Improving Semantic Feature Learning in Convolutional Networks. arXiv 2019, arXiv:1905.09646. [Google Scholar]
- Giang, T.L.; Dang, K.B.; Le, Q.T.; Nguyen, V.G.; Tong, S.S.; Pham, V.M. U-Net convolutional networks for mining land cover classification based on high-resolution UAV imagery. IEEE Access 2020, 8, 186257–186273. [Google Scholar] [CrossRef]
- Li, G.; Gu, X.; Chen, C.; Zhou, C.; Xiao, D.; Wan, W.; Cai, H. Low-Frequency Magnetotelluric Data Denoising Using Improved Denoising Convolutional Neural Network and Gated Recurrent Unit. IEEE Trans. Geosci. Remote Sens. 2024, 62, 5909216. [Google Scholar] [CrossRef]













| Layer Name | Number of Filters/Neurons | Kernel Size | Output Dimension |
|---|---|---|---|
| FC+ReLU | 100 | - | 1 × 1024 |
| FC+ReLU | 1024 | - | 1 × 1024 |
| Conv+Pool+ReLU | 16 | 3 × 3/2 × 2 | 16 × 16 |
| Conv+BN+ReLU | 16 | 3 × 3 | 16 × 16 |
| Conv+Pool+ReLU | 32 | 3 × 3/2 × 2 | 8 × 8 |
| Conv+BN+ReLU | 32 | 3 × 3 | 8 × 8 |
| Conv+Pool+ReLU | 64 | 3 × 3/2 × 2 | 4 × 4 |
| Conv+BN+ReLU | 64 | 3 × 3 | 4 × 4 |
| Conv+BN+ReLU | 64 | 3 × 3 | 4 × 4 |
| TConv+ReLU | 32 | 2 × 2 | 8 × 8 |
| Conv+BN+ReLU | 32 | 3 × 3 | 8 × 8 |
| TConv+ReLU | 16 | 2 × 2 | 16 × 16 |
| Conv+BN+ReLU | 16 | 3 × 3 | 16 × 16 |
| TConv+ReLU | 6 | 2 × 2 | 32 × 32 |
| SGE+Sigmoid | 6 | 1 × 1 | 32 × 32 |
| Layer Name | Number of Filters/Neurons | Kernel Size | Output Dimension |
|---|---|---|---|
| Conv+BN+ReLU | 16 | 2 × 3 | 1 × 100 |
| Conv+BN+ReLU | 32 | 1 × 3 | 1 × 50 |
| Conv+BN+ReLU | 64 | 1 × 3 | 1 × 25 |
| TConv+ReLU | 1 | 1 × 5 | 1 × 125 |
| FC+ReLU | 125 | - | 32 |
| FC+SoftMax | 32 | - | 5 |
| Layer Name | Number of Filters/Neurons | Kernel Size | Output Dimension |
|---|---|---|---|
| Complex+Conv+ReLU | 36 | 3 × 3 | 2 × 100 |
| Complex+Conv+ReLU | 36 | 1 × 3 | 2 × 100 |
| Complex+Conv+ReLU | 36 | 1 × 3 | 1 × 25 |
| TConv+ReLU | 1 | 2 × 5 | 1 × 500 |
| FC+ReLU | 500 | - | 64 |
| FC+Tanh | 64 | - | 5 |
| Dataset | Total Number of Samples | SNR (dB) | Data Dimensions |
|---|---|---|---|
| training set | 8 W | −10~20 | 2 × 100 |
| validation set 1 | 2.4 W | −10~20 | 2 × 100 |
| validation set 2 | 2.4 W | −10~20 | 2 × 100 |
| Optimizer | Learning Rate | Epochs | Batch | Early Stopping |
|---|---|---|---|---|
| Adam | 0.001 | 200 | 1024 | Yes |
| Method Name | m = 2 | m = 3 | m = 4 | m = 5 |
|---|---|---|---|---|
| DeepNet | 86.96% | 81.92% | 79.33% | 87.99% |
| ResFreqNet | 89.98% | 83.85% | 80.07% | 86.9% |
| SignalNet | 88.46% | 81.03% | 73.93% | 88.19% |
| SamdNet | 88.83% | 82.5% | 77.22% | 87.7% |
| DnCNN-GRU | 90.12% | 84.09% | 80.23% | 88.51% |
| SFsRNet | 90.88% | 85.63% | 82.51% | 90.3% |
| Method Name | SNR = 0 dB | SNR = 10 dB | SNR = 20 dB |
|---|---|---|---|
| DeepNet | 8.42% | 4.31% | 4.99% |
| ResFreqNet | 10.05% | 4.05% | 3.73% |
| SignalNet | 21.91% | 16.83% | 16.13% |
| SamdNet | 10.59% | 5.84% | 5.03% |
| DnCNN-GRU | 8.13% | 3.88% | 3.46% |
| SFsRNet | 7.32% | 2.28% | 0.96% |
| Method Name | ||||
|---|---|---|---|---|
| DeepNet | 3.72% | 4.59% | 5.72% | 6.76% |
| ResFreqNet | 3.1% | 4.45% | 5.6% | 6.69% |
| SignalNet | 5.6% | 8.96% | 14.5% | 27.56% |
| SamdNet | 4.38% | 6.4% | 7.99% | 8.91% |
| DnCNN-GRU | 2.79% | 4.25% | 5.45% | 6.02% |
| SFsRNet | 2.05% | 2.61% | 3.57% | 3.47% |
| Method Name | ||
|---|---|---|
| DeepNet | 74.43% | 88.53% |
| ResFreqNet | 76.44% | 90.09% |
| SignalNet | 52.39% | 70.25% |
| SamdNet | 64.74% | 85.56% |
| DnCNN-GRU | 81.15% | 92.37% |
| SFsRNet | 90.66% | 94.48% |
| Method Name | ||||
|---|---|---|---|---|
| DeepNet | 88.23% | 79.67% | 71.09% | 64.72% |
| ResFreqNet | 91.08% | 81.83% | 73.25% | 67.41% |
| SignalNet | 66.52% | 49.22% | 42.11% | 37.05% |
| SamdNet | 81.21% | 66.24% | 54.5% | 55.86% |
| DnCNN-GRU | 94.43% | 85.86% | 78.28% | 74.46% |
| SFsRNet | 96.43% | 92.88% | 87.9% | 87.61% |
| Method Name | Parameters (M) | Computational Complexity (M) | Training Time (ms) | Inference Time (ms) |
|---|---|---|---|---|
| DeepNet | 15.8 | 74.87 | 611 | 2.48 |
| ResFreqNet | 13.04 | 32.89 | 278 | 1.72 |
| SignalNet | 6.5 | 50.41 | 472 | 2.13 |
| SamdNet | 4.85 | 65.26 | 491 | 2.19 |
| DnCNN-GRU | 14.69 | 71.44 | 531 | 2.33 |
| SFsRNet | 4.9 | 56.92 | 364 | 1.86 |
Disclaimer/Publisher’s Note: The statements, opinions and data contained in all publications are solely those of the individual author(s) and contributor(s) and not of MDPI and/or the editor(s). MDPI and/or the editor(s) disclaim responsibility for any injury to people or property resulting from any ideas, methods, instructions or products referred to in the content. |
© 2025 by the authors. Licensee MDPI, Basel, Switzerland. This article is an open access article distributed under the terms and conditions of the Creative Commons Attribution (CC BY) license (https://creativecommons.org/licenses/by/4.0/).
Share and Cite
Wang, Y.; Feng, Y.; Zhou, F.; Chen, X.; Wang, J.; Zhang, P. A Sparse Feature-Based Mixed Signal Frequencies Detecting for Unmanned Aerial Vehicle Communications. Drones 2025, 9, 34. https://doi.org/10.3390/drones9010034
Wang Y, Feng Y, Zhou F, Chen X, Wang J, Zhang P. A Sparse Feature-Based Mixed Signal Frequencies Detecting for Unmanned Aerial Vehicle Communications. Drones. 2025; 9(1):34. https://doi.org/10.3390/drones9010034
Chicago/Turabian StyleWang, Yang, Yongxin Feng, Fan Zhou, Xi Chen, Jian Wang, and Peiying Zhang. 2025. "A Sparse Feature-Based Mixed Signal Frequencies Detecting for Unmanned Aerial Vehicle Communications" Drones 9, no. 1: 34. https://doi.org/10.3390/drones9010034
APA StyleWang, Y., Feng, Y., Zhou, F., Chen, X., Wang, J., & Zhang, P. (2025). A Sparse Feature-Based Mixed Signal Frequencies Detecting for Unmanned Aerial Vehicle Communications. Drones, 9(1), 34. https://doi.org/10.3390/drones9010034

