Abstract
This paper provides an overview of the three-year effort to design and implement a prototypical sense-and-avoid (SAA) system based on a multisensory architecture leveraging data fusion between optical and radar sensors. The work was carried out within the context of the Italian research project named TERSA (electrical and radar technologies for remotely piloted aircraft systems) undertaken by the University of Pisa in collaboration with its industrial partners, aimed at the design and development of a series of innovative technologies for remotely piloted aircraft systems of small scale (MTOW < 25 Kgf). The system leverages advanced computer vision algorithms and an extended Kalman filter to enhance obstacle detection and tracking capabilities. The “Sense” module processes environmental data through a radar and an electro-optical sensor, while the “Avoid” module utilizes efficient geometric algorithms for collision prediction and evasive maneuver computation. A novel hardware-in-the-loop (HIL) simulation environment was developed and used for validation, enabling the evaluation of closed-loop real-time interaction between the “Sense” and “Avoid” subsystems. Extensive numerical simulations and a flight test campaign demonstrate the system’s effectiveness in real-time detection and the avoidance of non-cooperative obstacles, ensuring compliance with UAV aero mechanical and safety constraints in terms of minimum separation requirements. The novelty of this research lies in (1) the design of an innovative and efficient visual processing pipeline tailored for SWaP-constrained mini-UAVs, (2) the formulation an EKF-based data fusion strategy integrating optical data with a custom-built Doppler radar, and (3) the development of a unique HIL simulation environment with realistic scenery generation for comprehensive system evaluation. The findings underscore the potential for deploying such advanced SAA systems in tactical UAV operations, significantly contributing to the safety of flight in non-segregated airspaces
1. Introduction
During recent years, unmanned aircraft systems (UASs) and their operations have registered a significant increase in number, sophistication, and technical complexity. UASs are no longer a military-exclusive reality, but several studies are currently evaluating their possible employment in a broad variety of civil applications [1,2]. These range from monitoring and surveillance tasks such as border and maritime patrol missions [3], search and rescue operations [4], forest fire detection, road traffic surveillance, and critical infrastructure protection to commercial purposes such as aerial imagery and crop assessment in agriculture [5]. Recent research efforts have also investigated the innovative use of UAVs as communication relays in wireless powered communication networks (WPCNs) to improve connectivity and data transmission efficiency in remote or infrastructure-limited areas, leveraging trajectory optimization and clustering strategies to minimize the Age of Information (AoI) [6,7]. This rapid expansion of UAV employment in several fields is motivated by the unmatched versatility in terms of application scenarios that these systems offer, both military and civil, and by the numerous advantages connected with the employment of a vehicle that does not require a pilot onboard. However, the lack of the presence of a human pilot onboard also poses a series of profound safety-related concerns and technical challenges mainly connected to the risk of a mid-air collision with another aircraft, which may hinder the successful integration of unmanned aircraft in civil non-segregated airspace. The next section briefly highlights some of the current regulations for UAV flight.
1.1. Rules for Unmanned Aircraft Systems
In Italy, UAV operation is restricted within the visual line of sight (VLOS) by the Italian regulatory authority (ENAC), and a specific request must be filed and approved every time a beyond-visual-line-of-sight (BVLOS) operation is to be conducted [8]. In the United States in the past years, aeronautical agencies and authorities were involved in the definition of proper regulations to allow UAVs for a safe access to flight, culminating with FAA issuing mandatory installation, onboard UAVs, of dedicated systems for autonomous obstacle detection and avoidance as a requirement for non-segregated flight operation [9]. Such systems are required to meet or exceed human capabilities in terms of avoiding potential collision threats, a concept that several authors and regulation authorities such as the European Union Aviation Safety Agency (EASA) refer to as an “equivalent level of safety” that the UAS should possess for the safe integration in the global airspace [10]. Consequently, a huge effort by worldwide research institutions has been put into place to devise proper sense-and-avoid systems with the overall goal of mitigating the risk of mid-air collision between UAVs and other aircraft. The limitations connected with the UAS’s own size and weight, the so-called SWaP (seize, weight, and power constraints), force the designer to come up with innovative hardware solutions such as dedicated lightweight embedded system-on-a-chip (SOC) platforms for vision processing and tailored radar with low power consumptions and limited physical size. Such constraints often impose to solve real-time, complex, detection and tracking problems utilizing the limited computational and power resources available onboard. In addition, the fundamental requirement of being able to autonomously detect and avoid non-cooperative intruders which are generally not equipped with transponders and do not take active part in conflict resolution prevent the adoption of well-consolidated cooperative avoidance technologies such as traffic collision avoidance systems, TCASs [11], or automatic dependent surveillance–broadcast (ADB-S). This in turn forces the designer to develop innovative solutions leveraging a multitude of sensors with the aim of rendering UAVs capable of solving the impending conflict on its own.
1.2. Autonomous Collision Avoidance Solutions
From a taxonomical standpoint, autonomous SAA systems are usually categorized according to the sensor type they rely on, which can be active or passive. For the former case, radar exploiting frequency-modulated continuous wave (FMCW) technology is becoming more and more popular for SAA purposes because of the economical, low Size, weight, and power solution they offer. In addition, radar sensors appear interesting because they provide positioning information (in terms of range, range rate, and angular measurement) practically under any weather or illumination condition. Several works have investigated the use of radar sensors for SAA applications; in [12], a SAA system comprising the combination of cooperative sensors (TCAS and ADB-S) and a radar is tested in an extensive flight trials campaign; the authors of [13] describe an algorithm for the safe navigation of small-sized UAVs within an airspace leveraging secondary surveillance radar (SSR). Other examples of UAV detection methods based on radar are described in [14,15]. Radar is not the only active sensor which is being investigated for SAA applications. An example of another active sensor, laser imaging detection and ranging (LIDAR), currently studied for SAA applications, is provided in [16]. Passive sensors and specifically optical sensors, on the other hand, generally offer a higher accuracy in terms of target angular position reconstruction, a higher refresh rate, and a lower power absorption and weight; on the other hand, their operation is severely limited in low-lighting conditions (i.e., night) and direct target position reconstruction is not possible because a single camera sensor cannot measure distance directly. In [17], the problem of estimating target distance with only a camera sensor is overcome by means of a depth estimation model based on a lightweight encoder–decoder architecture trained on a large database of airborne objects. The deep learning model is trained to translate the input image from the monocular camera to a depth mask, classifying every pixel into depth values. In [18], the authors leverage an implementation of the You Only Look Once (YOLO) object detector to detect cooperative micro-UAVs within the field of view (FOV) of a camera. Sensor data coming from the cooperative navigation system are exploited to reduce the search window in a strip of the image, which is computed starting from the approximate relative position of the two UAVs and attitude information of the UAV where the camera is mounted. Other examples of different strategies employed to tackle the task of intruder detection relying solely on camera sensors can be found in [19,20]. Other authors have instead favored an approach exploiting the fusion of passive and active sensors. This choice is motivated by the fact that sensor fusion strategies can leverage the complementary advantages of different sensor sources. For example, in [21], a radar/visual fusion approach designed to fuse the radar and visual tracks is discussed for a non-cooperative sense-and-avoid system for low-altitude flying UAVs. In [22], an integrated sense-and-avoid system, based on data fusion between an electro-optical (EO) and radar sensor, developed by the Italian Aerospace Research Centre (CIRA) and the university of Naples, is deployed onboard a customized TECNAM P-92 and is thoroughly tested and discussed. In the work, particular focus is placed on integration details, fusion logics, algorithms, and flight results relevant to the achievable situational awareness.
1.3. TERSA Project
A radar/visual multisensory architecture was chosen also for the implementation of one of the activities of the recently concluded Italian project named TERSA. The project aimed at the design and development of several innovative technologies for a lightweight UAV including the development of a collision avoidance system for unmanned aerial vehicles leveraging data fusion between an optical and radar sensor. The project involved the University of Pisa (UNIPI) and a consortium of industrial partners led by the Italian UAV manufacturing company Sky Eye Systems (SES), and it led to the development of a fully autonomous SAA system to be installed onboard a new generation of lightweight UAVs manufactured by SES in Italy. The research conducted within the TERSA project makes several significant contributions to the field of sense-and-avoid systems for mini-UAVs. The novelty of this work lies predominantly in three key aspects. Firstly, unlike conventional approaches that often rely on computationally intensive algorithms, this research introduces an innovative and efficient visual processing pipeline specifically designed for deployment on small UAVs. This pipeline addresses the stringent size, weight, and power (SWaP) constraints and limited computational resources typical of these platforms, ensuring a high refresh rate while performing complex vision processing tasks such as real-time object detection with egomotion compensation and target tracking. The algorithms are optimized for speed and efficiency without compromising accuracy, marking a significant advancement over existing methods. Secondly, a new formulation of an effective data fusion strategy based on an extended Kalman filter for the integration of optical data with the compact custom-built Doppler Radar system is proposed. The EKF effectively combines the strengths of both sensor types, mitigating their individual limitations and providing a more robust and accurate estimation of intruder aircraft states. A simple constant speed dynamic model coupled with angle and distance measurement reprojection in an inertial reference system proves effective for the reconstruction of target velocity and position states while exhibiting high computational efficiency. The data fusion algorithm’s capability to reject noise was proved by artificially degrading measurements during simulation by injecting zero mean Gaussian noise in the sensor’s data lines. Finally, a major contribution of this research is the development of a sophisticated hardware-in-the-loop (HIL) simulation environment. This environment goes beyond existing simulation frameworks by incorporating the generation of realistic artificial scenery, specifically designed to evaluate the closed-loop real-time interaction between the “Sense” and “Avoid” subsystems. This novel simulation framework, unprecedented in the UAV collision avoidance design literature to the best of the authors’ knowledge, provides a more realistic and rigorous platform for system verification and validation as a preliminary stage of system verification before the actual flight, significantly enhancing the reliability of the development process.
This article presents an overview of the system that was developed during the project, from the identification and definition of the technical requirements to the actual flight test conducted to validate the system. Specifically, the present article is organized as follows: Section 2 describes the high-level requirements of the system that guided the entire design process; Section 3 describes the sense-and-avoid system architecture developed during the project; Section 4 details the principal algorithms designed for the implementation of the system, with particular focus on the computer vision object detection and tracking algorithms and the data fusion strategy adopted; Section 5 describes the numerical simulations conducted to validate the system, providing an overview of the integrated HIL simulation environment that was developed at the flight-by-wire laboratories of the Civil and Industrial Engineering Department of the University of Pisa; and Section 6 describes the flight test campaign conducted in cooperation with Sky Eye System and ECHOES radar technologies, the partner who manufactured the radar, aimed at the validation of the integrated system. Finally, Section 7 presents the conclusion of the research work and provides an outlook for future developments.
2. System High-Level Requirements
UAV autonomous anti-collision systems are still in the developing stage, and research studies are still being carried out to identify system requirements and sensing solutions. As a consequence, at present, specific requirements to be met by the system designer do not exist; however a collection of universally accepted specifications, guidelines, and recommendations formulated by ICAO [23,24], FAA [25], ASTM [26], EUROCONTROL [27], RTCA [11], and other research institutes [28,29,30] have been used to define the system requirements for the present application. A SAA system is usually composed of two main modules. The sense module, from a functional standpoint, must acquire information from the environment to contribute to building awareness of what is happening in the vicinity of the RPA and to detect potential hazards. The task of the avoid module, on the other hand, is to guarantee both a separation provision and a collision avoidance function. Separation provision is intended as the capability to separate the UAVs from other aircraft whenever air traffic control (ATC) is not providing separation. The pilot in command (PIC) should be warned by the system following a loss of separation so that the PIC may maneuver as required. The system should immediately prompt the PIC as soon as separation is restored and should seek approval to return on initial trajectory. This function should separate the UAV from other aircraft by a minimum distance of 0.5 nm in the horizontal plane and 500 ft in the vertical plane. Collision avoidance function instead should operate independently from ATC and should either provide the PIC with valuable cues about an impending collision, waiting for them to employ corrective actions, or should autonomously resolve imminent collision, executing avoidance maneuvers. Several requirements can be pointed out both for sense-and-avoid modules for our application.
2.1. Reference Aircraft
The sense-and-avoid system, the object of the present work, is designed to be embarked and operated onboard the reference aircraft manufactured by SES (Figure 1), whose main geometrical and inertial characteristics are reported in Table 1. The stringent SWaP constraints of the UAV and the compliance with its aero mechanical limits have guided the entire design process for the system.
Figure 1.
Reference TERSA aircraft.
Table 1.
Reference aircraft characteristics [31].
2.2. Sense Requirements
The principal requirements are summarized below, as follows:
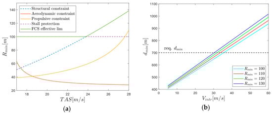
- Detection range, . It is connected to the time to collision by means of approaching speed. It must be sufficiently large to allow for an avoidance maneuver complying with aircraft dynamic, structural, and aerodynamical constraints that guarantee a minimum separation of 500 ft at the closest point of approach to the obstacle (“miss distance”) [26]. For the characterization of this requirement, the procedure described in [30] has been adopted by considering the most critical condition of a frontal encounter. Since the evasive maneuver will be conducted by means of a corrected turn on the horizontal plane, essentially depends on four factors, namely UAV speed, ; intruder aircraft speed, ; latency between detection and evasive command execution, ; and especially the minimum turn radius, . With reference to Figure 2, the minimum required detection range can be expressed aswhere represents the distance between the UAV and intruder at the beginning of the evasive maneuver. With very good approximation, the minimum distance between the two aircrafts is obtained when the UAV has reached a turn angle given by:
The quantity can then be expressed as:
Now, by substituting the expression of given by Equation (2) in Equation (3) and plugging the latter into Equation (1), we obtain the analytical estimation of the required minimum detection range:
This formula has been used for the numerical derivation of Figure 3b. Once assigned the time delay due to computation latencies , the required minimum detection range only depends on the minimum turn radius and clearly, it gets smaller as the latter decreases. As well known in the aeronautical literature, the minimum turn radius (in a stationary maneuver at constant altitude and speed) for a conventional fixed wing aircraft depends on three constraints, which are aerodynamic, structural, and propulsive. As an example, Figure 3a shows the minimum attainable turn radius at sea level for the TERSA aircraft according to each constraint, where realistic bounds have been assumed for the maximum lift coefficient , the maximum vertical load factor , and the available thrust (actual exact values provided by the manufacturer have been omitted due to NDA reasons). A lower threshold of is enforced by the flight control system (FCS) as a stall protection mechanism. As it can be noted, in the range of operative flight speeds (), the structural constraint is the only effective bound but in turn is capped by the stall protection limit. Assuming a conservative computational latency value of = 5 s, a detection range of appears satisfactory for the effectiveness of a collision avoidance maneuver with an intruder flying at a comparable cruise speed as the UAV.
Figure 2.
Minimum detection range analytical computation [30].
Figure 2.
Minimum detection range analytical computation [30].

Figure 3.
(a) Minimum turn radius as a function of aerodynamic, structural, and propulsive constraints for TERSA aircraft. (b) Minimum detection required range as a function of intruder aircraft airspeed.
Figure 3.
(a) Minimum turn radius as a function of aerodynamic, structural, and propulsive constraints for TERSA aircraft. (b) Minimum detection required range as a function of intruder aircraft airspeed.

- Field of view: A widely accepted guideline for manned aircraft manufacturers is to build cockpits as to ensure a visibility of ±110° (azimuthal) and ±15° (in elevation) [26]. Usually, the same requirement is extended to unmanned aircraft. However, due to the prototypical nature of this system, an FOV of ±60° has been identified as the design requirement. As a matter of fact, preliminary sensitivity analysis conducted on a wide range of collision encounter scenarios, considering an intruder cruise speed comparable with the UAV cruise speed, have shown that given an assigned detection range , FOV angles greater than 55° do not substantially affect the detectability of the intruder aircraft.
- Refresh rates: For a precise tracking of the intruder aircraft, computer vision algorithms should run at a sufficiently high frequency, at > 10 frames per second (FPS). Given the limited computational power available onboard, it is thus essential to optimize object detection and tracking algorithms and to select the best compromise between image resolution and performance. Data fusion algorithms are based on a standard implementation of an extended Kalman filter and, thanks to optimized linear algebra libraries, do not pose a significant computation burden on the vision processing unit (VPU) processor. Likewise, collision avoidance routines that exploit simple geometric laws do not constitute a bottleneck for performance; the computation of the setpoint on the desired ground track angle to carry out the maneuver essentially boils down to the extraction of the roots of a fourth-order polynomial, which again is performed effectively on the VPU processor by means of optimized linear algebra libraries (OpenBLAS/cuBLAS). The bottleneck is thus represented by the object detector pipeline.
- Optical sensor resolution: The choice of the optimal compromise is the result of a trade-off between computational efficiency and the capability of detecting small targets at a great distance. The performance of the visual tracker chosen for the implementation of the system is essentially independent of the resolution because it acts on a finite set of discrete anchor points. On the contrary, the object detection pipeline is strongly affected by the size of the image, as detailed in Section 4. At the same time, a higher resolution is beneficial for the following two major reasons:
- 1
- The attainable maximum angular resolution can be expressed aswhere is the physical sensor width, H is the sensor horizontal resolution (number of pixels in the horizontal direction), is the minimum measurable distance between the object centroid and the vertical central axis of the image, is the horizontal pixel density of the sensor, and is the focal length.
- 2
- Johnson criteria state that the maximum distance at which an object of physical characteristic size of can be detected by an optical sensor, denoting with the minimum number of pixels the object needs to occupy for a successful detection (Johnson’s factor usually assumed = 2) and with as the physical size of the pixel, is given by [30]
For a given sensor’s size, the higher the resolution, the lower the single-pixel physical size. For these two reasons, it is thus clear that a higher resolution would be beneficial. For the development of the system, considering the specifications of the vision processing unit chosen (see Section 3.1) and the typical dimensions of the UAVs belonging to the same class as the TERSA aircraft, a resolution of was chosen. This turned out to be an ideal compromise allowing for a refresh rate of the computer vision pipeline of almost , while at the same time allowing us to detect a target with the same wingspan of the UAV at a distance close to the radar minimum detection range In our trials, we also experimented with different resolutions that proved unsuitable for the specific application. If on one hand, the “HD ready” resolution () did not excessively degrade the KLT performances due to its computational efficiency, on the other hand, it proved very heavy in the object detection stage with motion compensation, and we could not achieve more than on the Jetson Nano. Conversely, a lower resolution of allowed for a very high stable frame rate thought the entire vision processing pipeline, but the intruder could not be detected up until too far along during the encounter (), leaving too little of a separation between the aircraft when starting the maneuver to perform an effective collision avoidance.
2.3. Avoid Requirements
Given the prototypical nature of the system, some simplified assumptions have been made during the definition of the requirements for the collision avoidance module that can be summarized as follows:
- One single intruder aircraft present at a given time in the conflict scenario belonging to the same UAV class with comparable cruise speed and altitude.
- The intruder aircraft maintains its original linear stationary flight course, flying wing leveled and at a constant speed. Several combinations of relative initial positions and relative speeds are evaluated.
- Evasive maneuver is conducted by means of a correct turn on the horizontal plane, conducted at constant speed and altitude.
The reason as to why a climbing evasive maneuver has not been considered is briefly justified in the following. A study has been conducted evaluating the maximum flight path angle attainable by the reference aircraft in a steep (stationary) climb maneuver, utilizing an aero mechanical dataset provided by courtesy of SES. Specifically, as well known, the maximum attainable flight path angle is given by
where is the available thrust, is the aerodynamic drag, and is the aircraft weight. Indicating aircraft lift with , weight with , and the pitching moment (along the body fixed y axis) with , the equilibrium in the vertical plane can be expressed as
And applying the principle of superimposition of effects (PSE), former equations can be expressed by means of Equation (9), where the terms represent variation with respect to the reference condition.
where is the UAV coefficient of lift in the reference flight condition () and is the change in the lift coefficient with respect to the reference condition due to a deflection of the UAV elevator of ; likewise, is the change in the lift coefficient with respect to the reference condition due to a change in the UAV angle of attack of and is the change in the lift coefficient due to a change in the flight speed of Surface area is denoted with , air density with , and flight speed with . In the second equation of system of Equations (9), is the pitching moment coefficient in the reference condition, while the other terms are the variation with respect to the reference condition analogously to the lift coefficient.
Once the trim problem is solved for the angle of attack (AOA) and elevator deflection ensuring equilibrium ( respectively), drag force is computed by means of Equation (10).
Available thrust as a function of flight speed, engine RPM, and altitude is obtained by means of engine maps provided by courtesy of SES. Figure 4 shows the attainable flight path angle as a function of RPM and flight speed at a given altitude.
Figure 4.
Maximum attainable flight path angle @ for stationary climb.
The exact value of for a given altitude is found by solving the maximization problem described by Equation (7) while enforcing the respect of trim equilibrium described by Equation (9). For instance, at an altitude of 9.57° corresponds to a true air speed of TAS = 18.8 and an engine setting of 7950 RPM. Considering a detection range of , this would result in , which is insufficient to ensure a minimum separation provision of as recommended in the guidelines. It should be noted that the actual minimum separation attainable with a climbing maneuver alone would be even smaller than the aforementioned estimate due to engine and aircraft dynamics, which prevent the onset of an immediate maximum flight path angle and unavoidable latencies between actual detection and evasive command implementation.
Granted that a climbing maneuver alone wouldn’t provide necessary separation to avoid the obstacle and in light of the fact that for safety reasons, especially when flying at low altitudes, a sudden pitch-down maneuver is not recommended, it is decided to carry out the evasive action by means of a coordinated turn on the horizontal plane, with the general aim of better exploiting the maneuverability characteristics of the TERSA UAV.
In accordance with widely accepted regulations and guidelines in the field of sense and avoid [9,11,23,26], the requirements of the avoid modules are thus summarized as follows:
- Once a threat has been positively identified by the sense module, the avoid function has to perform an avoidance maneuver in a completely autonomous fashion, which guarantees minimum separation provision at all times between the UAV and the intruder aircraft. The autonomous collision avoidance (ACA) strategy employed must be effective for non-cooperative intruders.
- Such a maneuver must be conducted on the horizontal plane by means of a coordinate turn that takes into account the aerodynamic and structural limits of the RPA.
- After the conflict has been deemed resolved by the conflict detection and resolution (CDR) algorithms, the avoid module must bring the RPA onto the original trajectory.
- It is desirable that the avoidance maneuver produces the minimum deviation from the original planned trajectory of the RPA.
3. System Architecture
The typical integration of an SAA system within the closed-loop control system of a UAV is shown in Figure 5. As can be noted, the underlying algorithms take as inputs the UAV position and velocity states provided by the inertial navigation system (INS) and the velocity and position states of the intruder aircraft and yield as outputs; in the most general case, the demanded speed, flight path angle, and ground track angle are in turn fed as input to the autopilot system to avoid the collision threat. Specifically, the sense algorithms recognize possible intruders by means of data fusion between the SAA sensors and the inertial navigation system sensors, which allow for the reconstruction of the position and velocity states of such intruder aircraft in an inertial reference system. Then, the avoid algorithms check if there will be intersections in the future between the planned UAV trajectory and a safety bubble associated with the detected intruder aircraft. If a conflict is foreseen to occur, the SAA system feeds as input to the flight control system autopilot new setpoints of demanded flight speed, flight path, and ground track angles to carry out an effective evasive maneuver.
Figure 5.
SAA typical system integration high-level scheme.
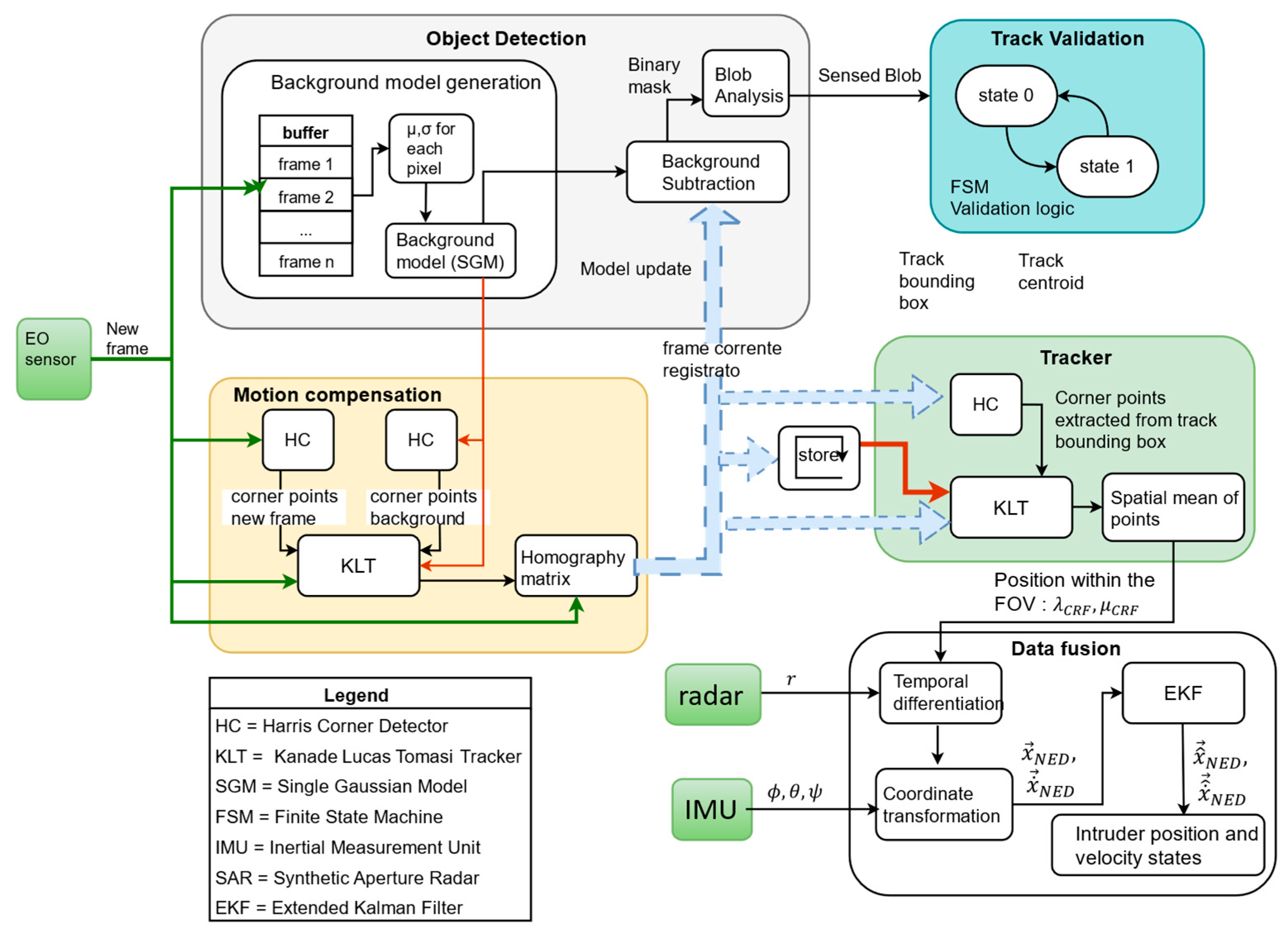
For this specific application, the only output of the SAA system is the demanded ground track angle used as a setpoint for the coordinated turn on the horizontal plane. For the actual implementation of the system, a multisensory architecture leveraging data fusion between radar and the EO sensor has been chosen. As it has been shown in several previous works [22,30,32], this allows us to compensate for the shortcomings of each sensor type, reduce noise, and increase the overall solution accuracy. In particular, data fusion between radar and EO sensors leads to an increase in system robustness with respect to false alarms and missed detections during the object detection stage, coupled with a higher accuracy in the tracking stage. A diagram portraying the high-level schematics of the developed architecture is shown in Figure 6. The working principle of the system can be summarized as follows: both the EO (camera) sensor and the radar scan the environment ahead of the UAV in search of a potential threat. Each new frame captured by the camera is compared against a background model of the scene, leveraging an object detection strategy based on a single Gaussian model (SGM), where suitable motion compensation algorithms are employed to compensate for the egomotion of the camera.
Figure 6.
High-level schematics of the proposed SAA system.
A Ransac approach is used to derive the homography matrix describing the transformation between the current frame and background model, starting from point correspondences between the two scenes. The background model is then warped according to this transformation so as to co-register it to the current frame and minimize the noise due to camera egomotion. Connected component analysis (CAA) is then used to group various blobs in the binary mask into a single object of interest. Statistical criteria are then applied to validate only those tracks that exhibit a certain regularity in terms of position within the field of view and dimensions across the various frames; more details on the specific algorithms involved are provided in the subsequent sections. A validated track is then followed across various frames, leveraging an implementation of the Kanade–Lucas–Tomasi (KLT) feature tracker [33]. From the knowledge of camera parameters (focal length, resolution, and sensor size), the centroid position of the bounding box, centered around the intruder aircraft (depicted as a green rectangle in Figure 7), in terms of pixels within the scene is then transformed into elevation and azimuth anglesby means of Equation (11). Here, are the azimuth and elevation angles, respectively, in a reference system fixed with the camera; are the sensor width and height, respectively; are the vertical and horizontal resolutions of the scene; is the focal length; and are the vertical and horizontal positions of the intruder aircraft within the scene, expressed in pixels (see Figure 7).
Figure 7.
Intruder aircraft azimuth and elevation angle reconstruction.
The knowledge of the target distance provided by the radar allows us to close the tracking problem. Specifically, distance measures, elevation, and azimuth angles together with the UAV position, velocity, and attitude states are fed as input to an extended Kalman filter (EKF), which carries out data fusion and outputs intruder aircraft velocity and position states. These states are then fed as input to collision avoidance routines, which compute an evasive maneuver when an impending collision is predicted. A new setpoint on the ground track angle is computed at every iteration step in a such a way that the trajectory of the UAV will be tangential to a sphere centered around the intruder aircraft at the point of closest approach. More details about the designed algorithms are provided in Section 4.
3.1. System Components
The main components identified for the realization of the system are as follows:
- A range-Doppler radar in the Ku band (13.325 GHz) with a forward-looking configuration: The radar emits a linear frequency-modulated continuous wave (FMCW) with a maximum transmitted band of 150 MHz. Azimuth estimation is obtained by means of the monopulse amplitude technique.
- An electro-optical sensor with at least 30 FPS and a minimum of 640 × 360 resolution: focal length must be chosen to ensure a sufficiently high FOV.
- A vision processing unit: NVIDIA Jetson Nano was selected as the core vision processing unit of the system. This embedded platform is specifically designed for AI and computer vision applications at the edge. The Jetson Nano features a 128-core Maxwell GPU alongside a quad-core ARM A57 CPU, providing ample processing power for real-time object detection, tracking, and data fusion. Its compact form factor (70 mm × 45 mm) and lightweight design (approx. 100 g with heatsink) are crucial for integration aboard the TERSA UAV, where size and weight are critical constraints. Furthermore, the Nano’s low power consumption (as low as 5 W) minimizes the impact on the UAV’s flight endurance. It was chosen also due to its versatile connectivity options, including Gigabit Ethernet for interfacing with the radar and MIPI CSI-2 for connecting high-resolution cameras. The possibility to run optimized python code on the machine and to deploy c++/CUDA code conveniently through Matlab/Simulink coder support facilitates the implementation of advanced computer vision algorithms for both the “Sense” and “Avoid” stages of the SAA system, both running directly on the embedded platform.
- An inertial measurement unit (IMU) must be employed to retrieve attitude angles, which are necessary to transform intruder aircraft position and velocity states into the inertial frame where the conflict is resolved.
4. Algorithm Design
The present section details the implementation of principal algorithms underlying the sense-and-avoid system.
4.1. Sense Module
As explained above, for the implementation of the system, a multisensory architecture based on data fusion between an electro-optical and radar sensor was chosen. Digital image processing algorithms thus play a crucial role for the correct functioning of the SAA system. The three main tasks such algorithms are called to perform can be summarized as follows:
- Perform segmentation between the background and objects of interest within the FOV with the aim of identifying the presence of an intruder aircraft, a process named object detection (OD) in computer vision literature.
- Carry out noise suppression due to camera egomotion via proper egomotion compensation (EMC) algorithms.
- Once the presence of an object has been confirmed, track its motion efficiently across frames after its identification as a potential threat.
The requirement of achieving a sufficiently high frame rate on the VPU chosen to allow for an effective target tracking while at the same time maintaining a sufficiently high precision to distinguish small targets at a great distance from the optical sensor guided the computer vision pipeline design process. We started with the design/choice of the tracking algorithm. The particular application poses a series of challenges, which can be summarized as follows:
- In order to perform effective tracking, the Kalman filter must be updated with a sufficiently high frequency, especially as the intruder approaches and the maneuver has started. The algorithm should be efficient enough to run smoothly also on embedded platforms with limited computing power.
- The algorithm must be relatively robust to motion, noise, and possibly changes in illumination of the scene. Moreover, due to the evasive maneuver and the fact that the two aircraft are approaching, the target can experience significant changes in scale and rotation. The tracking algorithms should be capable of handling such changes.
- The algorithm should also be capable of tracking small objects with a very small pixel footprint across the initial frames when the target is still far.
Vision trackers based on deep learning such as YOLO [34] have been discarded because they generally do not perform well when the object to be tracked is very small. Within the standard computer vision literature, we selected some classes of potential candidates, namely the minimum output sum of squared error (MOSSE) [35], the Kanade–Lucas–Tomasi feature tracker [36], the Kernelized Correlation Filter (KCF) [37], Continuously Adaptive Mean Shift (CamShift) [38], and feature-based methods, i.e., Oriented FAST and Rotated BRIEF. The MOSSE algorithm is a correlation filter-based tracker that learns a filter (template) for the target object by minimizing the sum of squared differences between the convolution output and a desired Gaussian response. Despite being extremely fast due to efficient Fourier domain operations and thus suitable for embedded platforms, it was discarded because in the trials, it exhibited a certain drift due to the continuous online adaptation, probably ascribable to background interference. The KFC addresses this problem by using nonlinear kernel methods to allow for richer feature representation and improved modeling of appearance changes. This leads to better discrimination between target and background, increasing tracking accuracy over basic MOSSE. However, this comes at a cost because the algorithm requires more computation resources than the MOSSE (we tried it with HOG features) and the base version usually does not directly handle scale or rotation changes, which in our case occurs when the maneuver takes place. Despite ORB-based trackers being very robust under changes in brightness, scale, and rotation on paper, we realized that for this application, due to the textureless appearance of the intruder aircraft at a distance, the tracker performed poorly with a lot of drift accumulating during the tracking. The KLT algorithm proved to be extremely efficient, moderately robust to noise when coupling it with robust corner points and to small illumination changes due to the use of image gradients. Despite it assuming a small displacement between frames (expected displacement must be below half the size of the integration window), the pyramidal implementation described in [36] allows us to track large motion while preserving computational efficiency. Therefore, our choice fell on the Kanade–Lucas–Tomasi feature tracker.
Once we selected KLT as the candidate algorithm to perform tracking, we needed to select a robust and discriminative feature point selection method that potentially could also be used during the motion compensation stage. The natural choice would have been to select the Harris corner detector or its improved variant (Shi–Tomasi “Good Feature to Track”), but we also investigated the feature from accelerated segment test (FAST) and ORB algorithms. The latter was discarded because the algorithm struggles with very small and textureless objects that do not yield enough distinctive features (such as the small intruder aircraft when it is still far). The FAST algorithm, despite being extremely fast, lacks an inherent quality measure of feature “quality” like the “Harris Response” defined in Equation (14). Furthermore, we discovered FAST to be much more sensitive to changes in brightness with respect to other algorithms. We opted for the Harris corner detector due to its speed and to the fact that it tends to isolate points that have a strong local gradient in multiple directions, making it more reliable under motion and illumination changes to be used as tracking points.
Figure 8 shows a high-level schematic of the adopted computer vision pipeline underlying the sense module. Some of the chosen key algorithms constituting the building blocks of the pipeline (such as the Harris corner detector and the Kanade–Lucas–Tomasi feature tracker) appear at several stages of the processing chain; they will be briefly explained below.
Figure 8.
Sense module computer vision pipeline.
4.1.1. Harris Corner Detector
The Harris corner detector [39] is one of the most well-known, robust, and efficient algorithms for extracting singular points within a digital image. Singular points are points of considerable importance, as they tend to be invariant to translation, rotation, and changes in illumination; their stability makes them ideal for, among other, image tracking or stabilization applications. The name “corner” derives from the fact that they are usually located at the intersection of at least two edges within the image, where an edge is defined as an area characterized by a sudden sharp change in light intensity. Consider a digital image of size and a small control window of size . Then, a shift of the control window in a certain direction will either produce one of the following three effects; (1) a negligible change in the mean intensity value of the pixels if the window lies above a flat region; (2) a substantial change in the mean intensity value when shifting along a direction and a negligible one when shifting along the orthogonal direction, if the window lies over an edge; (3) a substantial change in the mean intensity value when shifting in two orthogonal directions, if the window lies over a corner. Mathematically, this can be expressed in terms of the sum of squared differences (SSD) of the intensity values of all the pixels within the window before and after the translation as
where is a weight matrix, denotes the intensity value of the pixel located at position , and denotes the intensity value of the same pixel after a small shift in the window in the direction .
By means of Taylor expansion, Equation (12) can be rearranged as
where the matrix is generally referred to as the structural tensor. Eigenvectors of matrix denote the directions along which the mean squared deviation takes on maximum and minimum values. When both the associated eigenvalues are sufficiently high (in a relative sense with respect to the others), , the patch is above a singular value (corner point). A suitable Harris response is defined as
This response is used in place of the actual eigenvalue computation, where .
The chosen implementation is articulated in the following steps:
- 1.
- Grayscale conversion of original image.
- 2.
- Spatial gradient calculation by means of linear spatial convolution with kernels and its transpose .
- 3.
- Structural tensor calculation for each pixel in a window centered around the pixel.
- 4.
- Harris response calculation by computing the trace and determinant of the matrix.
- 5.
- Non-maxima suppression (to eliminate duplicate points) and thresholding. In a nutshell, only those points whose response is higher than of the maximum are selected as valid points.
- 6.
- Biquadratic fitting to refine corner position and obtain a subpixel location.
4.1.2. Tomasi–Lucas–Kanade Feature Tracker
The KLT feature tracker is a well-known efficient feature tracking algorithm which exhibits some robustness with respect to the change in illumination condition, camera motion, and change in appearance of the tracked object. In its pyramidal implementation [36], it is capable of tracking large motions while preserving a small integration window. The algorithm finds correspondences of points from a primary image and a secondary image by solving a nonlinear optimization problem. It attempts to minimize the residual function , defined as
where are the horizontal and vertical components of the displacement vector to be determined, are the coordinates of the current corner point under evaluation, and is an integration window centered on it. The objective of the algorithm is to find the position of a corresponding window centered on the pixel on the secondary image such that the sum of squared differences among the intensity values is minimized. The vector is called “optical flow” and is the unknown to be determined. Applying Taylor expansion to Equation (15) and setting its derivative with respect to displacement to zero (at the optimum, there should be no change in intensity values) yields
where the quantity can be interpreted as the time derivative of the intensity values of the image in the point , whereas the matrix is simply the spatial gradient of the intensity values of the secondary image (current frame). For a purely translational displacement, it can be proved that intensity gradients of the primary and secondary images are interchangeable, i.e.,
This fact is exploited in the implementation, leading to great computational advantage because for each image and each pyramidal level, gradients are computed only once. Gradients are computed by means of the central difference operator, as shown in Equations (18) and (19).
Plugging Equations (18) and (19) into (16) yields Equation (20).
Now, defining the so-called image mismatch vector as
And the structural tensor as
Equation (20) can be rewritten as
Which yields the optical flow solution:
Notice that in the chosen implementation, the matrix is constant for each pyramidal level; thus, the computation of image gradients (an expensive operation that involves spatial convolution) is performed only once per pyramidal level. The only quantity updated at each iteration is the image mismatch vector , which is a function of the difference between the reference window centered around the current pixel in the primary image (which is constant) and window in the secondary image, which is a warping of the original window. Notice, however, that the interpolation required to compute the warped window is not performed on the entire image but only on the window; thus, the smaller the window, the faster the algorithm. Since the maximum displacement that can be tracked is equal to half the window size, the pyramidal implementation is a clever approach to track higher displacement while preserving a small window and thus computational efficiency. Essentially, each pyramid level is a downsampled version of the original image with a subsample factor of two. When the algorithm converges at a the level, the displacement is propagated at the level and used as a new starting point. A visual representation of the pyramidal expansion is shown in Figure 9. An example of matched point correspondences for an aeronautical sequence is shown in Figure 10. Finally, a high-level scheme of the implemented algorithm is provided in Figure 11.
Figure 9.
Visual representation of the pyramidal expansion of the algorithm.
Figure 10.
Example of KLT feature matcher output.
Figure 11.
Flowchart of KLT algorithm.
4.1.3. Object Detection
Several approaches exist in the literature to address the problem of detecting an object of interest within the FOV. These algorithms range from simple color thresholding to edge detection coupled with proper thresholding and morphological operations [40], as well as segmentation based on motion estimation through optical flow [41], background subtraction methods, of which a comprehensive review is presented in [42], or template/block matching. Recent approaches based on machine learning/deep learning such as region-based convolutional neural networks (R-CNNs) have proved to be extremely powerful for the purposes of object detection, but they come at the expense of a higher computational cost. Unified real-time object detection, of which YOLO constitutes the most notorious example, aims at reducing computational cost while retaining the flexibility of R-CNN-based methods. For the present application, however, also considering the expected limited object size within the FOV, due to the distance and small size, a more traditional computer vision object detection technique has been employed. A background subtraction scheme based on a single Gaussian model has been chosen. In addition, in order to reduce noise arising from the egomotion of the camera, a proper motion compensation strategy, inspired by the works of [43,44,45], is employed; more details about the egomotion compensation are provided in the next section. To address the problem of the dynamic background (due to camera motion, new portions of the background enter the FOV, while others are no longer visible), two main approaches are commonly found in the literature as follows:
- The construction of a panoramic background model by co-registering and stitching consecutive frames of the scene, the so-called panorama stitching.
- The update of a background model which preserves its size in terms of pixels. For this approach, it is necessary to warp the background model on the new one according to a matrix describing the transformation of the scene. The overlapping regions can then be updated, while the new regions must be considered as the background in the first iteration.
The first approach is very expensive in terms of memory, mainly because it requires constant storage of the new images captured by the camera as it moves; it also requires precise “stitching” between the images, resulting in a high computational cost. Thus, for the system implementation, the second approach, inspired by the works of [43,44,45], was chosen, as it allows for an efficient and effective “object detection” system, both in terms of memory required and computational cost. The main steps of the developed object detection algorithm are summarized below as follows:
- Grayscale conversion of each new frame and preprocessing by spatial convolution with a Gaussian filter (low pass) to reduce aliasing effects and noise.
- A number of initial frames are stored in a buffer and used to build the single Gaussian background model. Here denote pixel positions, while is the index of the single image in the buffer. In particular, the mean intensity value and standard deviation are computed as
- Once the background model is ready, each new frame is registered on the model following a procedure similar to the one detailed in [43]. The portion of the background which lies outside the new frame is discarded, while the new portion of the scene which is not present in the model is flagged as the background with a maximum learning rate . This is achieved by computing the homography matrix , which describes the perspective transformation between the model and current frame using corner points as anchor points; subsequently, the background model is warped onto the new frame by means of this homography matrix.
- For each pixel in the current frame, a corresponding pixel in the background model is computed as
- The comparison of the intensity value of a certain pixel in the current frame with the neighborhood of the corresponding pixel in the background model allows us to determine whether or not said pixel belongs to the foreground. In analytical form, this is expressed by Equations (27)–(29).where is the intensity value of the current pixel under evaluation; and are, respectively, the mean value and variance of all the pixels belonging to a neighborhood in the background model, centered around the pixel , which is the corresponding pixel to found by means of Equation (26); and is a threshold chosen arbitrarily (design parameter).
- Once the background and foreground sections of the frame have been identified (segmentation process), the model is updated according to Equations (30) and (31).
In the previous equations, the subscripts b,f indicate that the corresponding mean value or standard deviation must be considered on the portion of the scene labeled as the background or foreground, respectively. The terms , are the learning rates of the model. To better understand the effect of these parameters, let us consider some limit cases. The case for represents a static background model which is never updated. When a new object of interest appears in the scene, it will be permanently detected in the associated binary mask. This is desirable, but the associated problem lies in the fact that if there is an actual change in the background scene due to camera motion or dynamic lighting conditions or others, such differences in the scene would be flagged as false positives (ghosting), and the model would be unable to adapt to the dynamic change in the scene. The limit case for is equivalent to having no background pattern at all. With these settings, in fact, each frame is instantaneously compared only with the previous one, resulting in what in technical terms is defined as inter-frame background subtraction. In this case, there are no ghosting problems, but there are at least two important limitations. Since there is no background pattern, the object is only highlighted if it has a relative motion with respect to the previous frame, and for objects with a uniform pattern, only the edges are highlighted, drastically reducing the effectiveness of detection. The foreground learning rate parameter is related to the speed at which regions of the model labeled as the foreground are updated with new information coming from the current frame. A low value means that an object of interest will exhibit its presence in the binary mask for longer times (which is desirable) but at the same time, excessively low values would determine unwanted streaks with longer decay times associated with object-of-interest motion within the FOV. Conversely a higher value is beneficial for reducing streaks in the wake of object motions but could entail shorter times of effective detection in terms of a binary mask for an object of interest. Similar considerations can be made for the effects of the background learning rate parameter
- 7.
- Connected component analysis is finally applied to condense several close blobs into the same track reading. In the chosen implementation, a connectivity analysis is essentially performed to filter out the various clusters of scattered pixels with little detection significance and essentially due to noise in order to select only a trace with dimensions compatible with the intended purposes.
Referring to Figure 8, the output of the object detection algorithm is fed as input to the track validation stage. Specifically, bounding box size and its centroid coordinates are evaluated in the track validation algorithm for statistical coherence before being confirmed as a valid track and passed on to the extended Kalman filter for data fusion with a radar reading.
4.2. Avoid Module
The decision-making algorithm for pairwise non-cooperative aircraft collision avoidance chosen for the developed system is adopted from the results of the work [46], and it is based on the concept of minimum separation distance:
where is the minimum distance that will be registered between the two aircraft at future time, is the relative distance vector, and is the relative speed vector, and it is valid only for linear trajectories at constant speed. In this framework, the intruder aircraft is modeled as a safety bubble of radius R with constant speed , whereas the UAV is a point mass with a 3DOF dynamic and a constant speed . With these assumptions, the collision avoidance problem can be formulated as a two-stage problem as follows:
- “Conflict detection problem”: At every processing step, the feasibility of a potential conflict in the future is investigated by determining whether or not the loss of minimum separation will occur at a future time. In other words, it is determined whether the UAV will cross the safety bubble centered around the intruder aircraft. If the response is affirmative, the next problem is solved.
- “Conflict resolution problem”: Based on the concept of collision cone, during the conflict resolution stage, the system computes a ground track angle setpoint that will bring the trajectory of the UAV to be tangential to the safety bubble around the intruder aircraft.
It can be proved [47] that two objects are bound for a collision if Equation (33) holds.
Thus, the algorithm at each time step, starting from the position and velocity states of the intruder aircraft given by the EKF and the UAV states provided by the INS, computes the relative distance and speed to update the predicted minimum separation distance vector . If the norm of the latter is lower than the safety bubble radius, then a collision is predicted to occur, and an evasive maneuver is computed to avoid the obstacle. Conflict resolution is based on the concept of a collision cone [46]:
All the triplets of airspeed , flight path angle , and ground track angle result in a speed vector inside the collision cone defined by Equation (34), which will result in a collision. The set of solutions is composed of all the combinations of speed vectors that lie outside such a collision cone and at the same time comply with UAV aero mechanical constraints.
Each solution provided by Equation (35) is clearly a viable one. However, the tangential solution is chosen, as suggested in the original paper, because it is the one that minimizes the deviation from the nominal trajectory. This can be obtained from Equation (36).
After some manipulation, Equation (36) yields
This can be interpreted as searching for all the triplets of UAV airspeed , flight path angle , and ground track that correspond to a tangential solution for the particular conflict scenario defined by the triplets of R, , . Evidently, there are solutions corresponding to all the tangent vectors to the safety bubble in the 3D space. As specified in Section 2.3, for the present application, an evasive maneuver based on a coordinated turn on the horizontal plane is considered. Thus, the only unknown of Equation (37) is the UAV ground track angle , while and can be considered constant. Equation (37) is thus rearranged, yielding
with
This fourth-order polynomial yields four solutions corresponding to two tangent solutions in the forward collision cone and two tangent solutions in the backward collision cone, as explained in [46]. By filtering out the solutions pertaining to the backward collision cone, two viable ground track angles are left and can be chosen to perform the maneuver. The decision-making algorithm developed for this work always selects the angle which allows the UAV to pass behind the approaching intruder aircraft rather than in front (i.e., turning right for a starboard-approaching encounter and turning left for a port-approaching encounter); for a front collision encounter, a right turn is always chosen. A finite state machine (FSM), schematized in Figure 12, handles the transition between the state of navigation and avoidance. A further differentiation is made between a state where the target is within the FOV where both its velocity and position states are constantly corrected with measurements coming from the sensors and a state when the target is outside the FOV and where its states are updated solely by means of the dynamic model. If the intruder aircraft exits the FOV (i.e., due to the avoidance maneuver which turns the nose of the UAV), the maneuver is conducted on the basis of the projected states until the rate of change in the relative distance between the UAV and the projected target position () becomes positive again. If, on the other hand, the intruder aircraft comes back within the FOV, the ongoing maneuver is updated and corrected on the basis of new measurements. Once the conflict scenario is solved, the FSM brings the control back to the navigation module, which sends the original trajectory waypoints as setpoints for the autopilot.
Figure 12.
High-level scheme of the finite state machine handling the conflict detection and resolution problem.
4.3. Data Fusion
Fusion between optical and radar data is accomplished by means of an implementation of the extended Kalman filter (EKF). The use of the EKF for the purposes of collision avoidance is well known in the literature. Some examples include [21], where the filter is used to fuse radar and visual tracks with a track-to-track fusion (T2TF) approach, taking into account uncertainties associated with each sensor tracking process; in [48], the problem of cooperative collision avoidance in a formation of flight of multiple UAVs is tackled by means of an EKF together with a model predictive control strategy; in [49], an EKF is used to fuse data from a LIDAR and RADAR sensor for tracking moving targets subject to abrupt trajectory changes from a UAV platform, leveraging a constant turn and rate velocity (CTRV) kinematic model for the UAV. The mathematical formulation of the data fusion strategy is briefly summarized below; further details can be found in [50].
The state vector is composed of position and velocity states of the intruder aircraft expressed in a fixed north–east–down (NED) Cartesian reference frame, which is supposed to be inertial by neglecting Earth’s rotation and revolution motions, as shown in Equation (39).
Measurements are obtained in a reference system fixed with a camera by combining azimuth and elevation readings given by Equation (11), with a distance measure provided by the radar as expressed by Equation (40).
where, evidently, is the relative distance between the UAV and intruder and , are the relative elevation and azimuth angles, respectively, expressed in a reference system fixed with the UAV.
It is useful to express the measurement vector in terms of position states expressed in the camera reference frame, as in Equation (41).
The intruder center position can be converted from camera axes to UAV body axes by means of a suitable transformation matrix (describing the camera pose):
Then, the relationship between the state vector and measurement is obtained, combining Equations (41) and (42) with the transformation matrix between the body and NED axes, as expressed in Equation (43).
where are the UAV yaw, pitch, and roll angles, respectively. The relationship between the measurement model and state vector components is clearly nonlinear, hence the need to employ an extended Kalman filter. Within the collision avoidance literature, it is common practice to assume stationary motion for the intruder aircraft (in an inertial reference frame); therefore, it is assumed that the speed of the intruder is constant within the small integration step, such as the position state update, which can be described by
where is the speed vector and is the integration step. The state transition matrix can thus be expressed as
The Jacobian matrix of the measurement model is computed as follows:
where
The terms are the corresponding elements of the rotation matrix (43), which maps NED coordinates into body-fixed coordinates. The standard Kalman formulation follows this. When measurements are not available (due to the lower refresh rate of the radar sensor with respect to optical data) or when, following the evasive maneuver intruder aircraft exiting the FOV, states are clearly updated only by means of the model update, no correction is carried out. Both the initial intruder position and velocity states are initialized following a batch linear least squares regression method for higher robustness against the presence of noise. In a nutshell, once a track is validated and confirmed, number of measurements are stored before initializing the filter. These are converted in position states expressed in the NED reference frame by means of the inverse of Equation (43). Then, matrices , , and are defined as
where are clearly the position states and is the vector of the unknown initial position and velocity states such that . The model clearly assumes constant speed for the intruder aircraft. The overdetermined system is solved by means of the well-known linear least squares close formulation as
The procedure is repeated for each component of 3D motion. Then, the EKF is initialized with and .
Once the filter is initialized, the norm of the innovation vector is used to determine the convergence of the states. The component of the innovation vector at time is defined as
where is the measurement computed at time , whereas is the reconstructed measurement from the predicted states and is the length of the moving average used to populate each component of the innovation vector. At each simulation step, the norm of Equation (50). is compared against a threshold and when it is below it, the filter is considered converged.
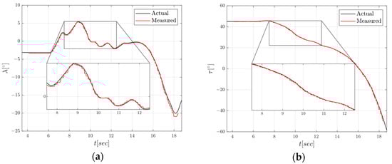
In Section 4, results of the EKF in terms of the reconstruction of position and velocity states from noisy measurements are shown for a starboard encounter collision scenario.
4.4. Radar Algorithms
The radar Doppler used in the SAA and its processing algorithms were designed and manufactured by ECHOES radar technologies, one of the industrial partners of the project. The two main algorithms developed are briefly summarized below.
4.4.1. Target Detection
Figure 13 shows a high-level scheme of the signal processing architecture for the radar sensor.
Figure 13.
Radar signal processing architecture.
The architecture has been implemented in multithread C code on the ARM processor of the motherboard of the radar, and it leverages optimized mathematical libraries such as FFTW for Fourier transform computation and BLAS for linear algebra calculations. For each receiving channel, range profiles are fed as input to a Doppler FFT block. This block implements a floating-point fast Fourier transform (FFT) with a user-programmable number of points. The output of this block is represented by the range-Doppler maps representing the scene captured by the radar in a bidimensional domain with range-Doppler speed, as shown in Figure 14a. The detection module is tasked with the population of a list of detected tracks for each frame. It employs an implementation of a constant false alarm rate (CFAR) detector algorithm. This adaptive algorithm is aimed at the detection of targets surrounded by background noise (clutter) with a tolerable false alarm probability. As shown in Figure 14b, this technique compares the cell under test (CUT) with an appropriate threshold, which is a function of the false alarm probability and of the leading and lagging cells. The cells immediately adjacent to the CUT (guard cells) are ignored to avoid corrupting this estimate with power from the CUT itself. In particular, the developed system implements the cell-averaging constant false alarm rate (CA-CFAR) shown in Figure 14c. The CUT is compared with a threshold given by
where is the desired false alarm probability and is the number of reference cells. If the CUT is above the threshold, then a track is identified; otherwise, no targets are detected. Starting from the two-dimensional range-Doppler map, the CFAR is applied along the two directions and the resulting two masks are combined with a logical AND operation, as shown in Figure 15a. The result is a binary mask similar to the output of the computer vision object detector algorithm showing the detected tracks (Figure 15b).
Figure 14.
(a) Example of a range-Doppler map, (b) CFAR technique, (c) CA-CFAR technique.
Figure 15.
(a) Bi-dimensional CFAR; (b) binary mask showing detected tracks.
Morphological operations (dilations) are then applied to the binary mask in order to fill in possible gaps between pixels of the same object occupying several adjacent cells. Finally, a unique label is assigned to each region of connected pixels in the current frame and a series of properties is computed for each track such as range, Doppler speed, power, the signal-to-noise ratio, detection area in pixels, and a bounding box.
4.4.2. Azimuth Reconstruction Through Phase Monopulse Technique
Monopulse is a technique for the measurement of the direction of arrival (DOA) of a signal by comparing the contributions received simultaneously by two or more antennas. The developed SAA radar implements a phase monopulse technique. The working principle is briefly summarized below. The idea is to exploit the difference in phase of the same signal received by different antennas, as shown in Figure 16.
Figure 16.
Phase monopulse configuration.
By considering a radar consisting of two receiving antennas with a spatial separation having their beams pointing in the same direction and applying the parallel beam approximation, the distance between each antenna and the target can be expressed as
Thus, the difference between the two distances is , where is the physical spatial separation between the two antennas and is the DOA to be estimated. The distance is related to the wavelength by and to the phase difference by the well-known Equation (53).
By inverting the previous equation, the formula for the DOA estimation is obtained as follows:
Since phase is periodical, there is a maximum value of in modulus that can be estimated without ambiguity, and it is given by
In the present application, is obtained by computing the interferogram between the range-Doppler maps of the two receiving channels, as described by Equation (56).
where is the number of pixels within each bounding box, whereas and are the complex numbers populating the two range-Doppler maps. Each region of pixels which has been detected and labeled is thus also accompanied by the value of the estimated . At this stage of the development of the system, however, this estimation has not yet been incorporated into the EKF for the refinement of track estimates or used as a hint for delimiting the search region of the computer vision-based object detector.
5. Simulation Campaign
The effectiveness of the system and the real-time interaction between sense-and-avoid modules have been tested by means of a complex hardware-in-the-loop simulation environment that was implemented at the flight-by-wire laboratories of the aerospace section of the Civil and Engineering Department of the University of Pisa. A realistic completely nonlinear six DOF flight dynamic model of the aircraft was developed in Simulink, leveraging aero mechanical data and flight control laws provided by courtesy of SES. The model features an automatic trim finding routine which exploits a gradient descent strategy and automatically computes engine setting and control surface deflection to ensure equilibrium for each flight condition. Initially, for the purposes of testing avoidance algorithms alone, the position of intruder aircraft was considered known in advance. The effectiveness of the avoidance maneuver was evaluated according to several metrics that are summarized in Figure 17a. Among these are the minimum registered distance between the UAV and intruder, the duration of the anti-collision evasive maneuver, the normal deviation with respect to the original trajectory at the end of the maneuver, and the maximum normal deviation registered.

Figure 17.
Metrics used for the evaluation of avoidance maneuvers (a); initial position of the intruder aircraft (b).
5.1. Avoid Algorithm Simulation Campaign
A preliminary campaign of simulations was conducted in order to test the effectiveness of the avoid algorithms alone, with intruder aircraft position and velocity states supposedly known in advance. The avoidance routines were tested for a combination of different speeds and initial starting positions of the intruder aircraft; the latter were taken on a circumference centered on the initial position of the UAV, as shown in Figure 17b. The ground track angle of the intruder aircraft was precomputed for each combination of starting positions and speed modules so as to guarantee a perfect collision supposing a linear constant speed trajectory for both aircraft with no evasive action carried out by the UAV. The simulation environment was designed to record all the relevant UAV aero mechanical quantities during the simulations. In particular, the aim of the simulation campaign was twofold. Firstly, we wanted to assess the effectiveness of the avoidance algorithms in terms of achieving a minimum separation distance with respect to the intruder aircraft of , compliant with regulations for each collision scenario (each initial position and velocity of the intruder aircraft). We analyzed the dependency of evaluation metrics to initial conditions in terms of maneuver duration, start and end instants, and the deviation to the nominal trajectory. As expected, results showed that as the initial intruder position and speed approaches the most critical condition (i.e., head-on collision at high speed), an increasingly steeper avoidance maneuver is required with a resulting greater deviation to the nominal trajectory, longer maneuvering times, and more aggressive control commands. Secondly, we wanted to make sure that the avoidance maneuver requested by the FCC for each collision scenario was compatible with the aero mechanical constraints of the UAV. Specifically, we logged and analyzed the evolutions of all the UAV parameters such as flight speed, height, angle of attack, load factors, Euler angles, control surface deflection, demanded engine setting, etc., to make sure all of them stayed well within safety limits prescribed by the manufacturer. Figure 18 shows some results of the simulations. Plot (a) shows that the minimum distance registered is always above the threshold of the safety bubble; clearly, the value of the minimum distance decreases as the intruder speed increases. Plot (b) shows the maximum normal distance to the original planned trajectory, while plot (c) shows the 2D trajectory of the UAV. It is interesting to note that as the intruder speed increases, the coordinated turn required for a successful evasive maneuver UAV becomes steeper. Finally, plot (d) shows the aileron command, which is always well below the saturation limit of prescribed by the manufacturer. After this initial stage of preliminary simulations, some of the simplified assumptions were dropped and other simulations were conducted with a higher-fidelity model in order to correctly evaluate the effectiveness of other system components such as the data fusion module. Specifically, this higher-fidelity model included the implementation of the extended Kalman filter, where camera intrinsic and extrinsic matrices were used, together with a precomputed intruder trajectory to reconstruct for each simulation step the apparent position of the intruder within the FOV in terms of relative elevation and azimuth angles. Zero mean Gaussian noise was then artificially injected both in relative distance and angle readings to simulate for real sensor noise. The aim of this second simulation campaign was to evaluate the capability of the system to cope with realistic noise affecting sensors and to evaluate the performance of the chosen data fusion strategy. In real-world conflict scenarios where the actual position and velocity states of the intruder aircraft are obviously not known in advance, it is crucial that the online reconstruction performed by the EKF converges rapidly and accurately. The latency between the moment the intruder is detectable by the system and the predicted states are stable enough to be used for driving the avoidance routines should be as small as possible to minimize the separation loss between the two aircraft before starting the maneuver. Several simulations have been conducted, for example, to determine the best compromise between the number of initial readings that are stored for the batch linear least squares regression explained in Section 4.3 and the moment the filter converges. If, on one hand, a higher number of stored samples implies a loss of valuable time, where the distance between the UAV and intruder is reduced, on the other, it produces an initial estimate of velocity states closer to the actual one and thus the filter converges more rapidly once it is initialized. Figure 19 shows the reconstruction of position and velocity states by the EKF plotted against ground truth and noisy measurements. The lag between the moment the intruder is visible and the moment where states begin to be reconstructed (blue line in Figure 19) is due to the number of initial readings stored for the initialization of the states. It is interesting to note that even when the initial reconstruction of velocity states is not perfectly accurate due to biased initial measurements, the filter converges rapidly to the true velocity state value. In the simulation, it is chosen as a threshold on the norm of the innovation factor of .

Figure 18.
Results of evasive maneuver for different initial position and velocity states of the intruder aircraft; (a) minimum distance; (b) maximum normal deviation with respect to the original trajectory; (c) UAV’s 2D trajectory; (d) UAV aileron deflection.

Figure 19.
Intruder position state (a–c) and velocity state (d–f) reconstruction by the EKF for a starboard encounter; . The first dashed vertical line indicates the moment the intruder is detectable (within radar range); the second dashed line indicates the moment where the EKF has reached convergence, and its output is fed into avoidance algorithms.
5.2. Sense-and-Avoid Algorithm Real-Time HIL Simulation Tests
After the validation of the avoidance algorithms in the presence of sensor noise, the complete HIL simulation system, whose high-level scheme is shown in Figure 20, was used to test the simultaneous interaction between sense and avoid algorithms. The reason for the creation of a complete simulation environment is twofold. Firstly, we needed to evaluate the effectiveness of the vision processing pipeline, assessing its compatibility with the chosen hardware. We needed to make sure the devised algorithms were indeed compatible with the available computational resources of the Jetson Nano to achieve a sufficient frame rate. Initially, we tested the vision algorithms directly on the VPU using some aeronautical videos portraying other aircraft recorded in flight available online. Secondly, we also needed to test the cooperation between the sense and avoid modules in a closed loop. We realized that this was not possible unless we found a way to construct a 3D scene that would realistically respond in real time to the UAV egomotion. We thus designed a system to interface the dynamic model governing the simulation with a realistic rendering software that could produce a 3D rendering of the scene (including the presence of an intruder aircraft) that would be captured and fed as input in real time to the vision processing unit. Essentially, the six DOF flight mechanic model drives a real-time realistic rendering of the scene, leveraging the open-source flight simulator Flight Gear v 2020.3 (FG). A Python program was then developed to efficiently acquire screenshots of the monitor where the FG instance was running, and a Gstreamer pipeline was built to send the video stream from the host PC to the VPU via UDP protocol in real time. In order not to saturate the network adapter of the NVIDIA Jetson Nano, the video stream was compressed according to the H264 (MPEG-4 AVC) standard. The two pipelines used for sending and receiving video data are schematized in Figure 21. The intruder aircraft was inserted within the FG visual rendering by creating a tailored xml file defining the scenario and its waypoints according to its precomputed trajectory. The intruder aircraft was rendered with a mockup of the Cessna 172p SkyHawk single-engine aircraft. Some glue code in the scripting language nasal interfacing FG properties tree with the underlying C++ simulation engine code was required to ensure proper synchronization between the various components of the simulation framework. Additional code was required to create a camera view in front of the aircraft so as to simulate the SAA camera sensor positioned on the nose of the UAV. An example of such a view is shown in Figure 22. Sense algorithms were re-implemented on the Jetson Nano by means of Python code leveraging the optimized OpenCV library, when possible, to speed up the execution rate. Likewise, the avoidance decision-making algorithms, including the extended Kalman filter and the finite state machine, were deployed on the Jetson Nano as well. The intruder range was sent to the Jetson Nano alongside the video stream on the same UDP interface. The VPU was thus processing the video stream in real time, performing both object detection and tracking and merging the distance information to computing the evasive maneuver. The setpoints on the ground track angle outputted by the avoidance algorithms by the VPU were then fed back to the Simulink model via another UDP interface and were used to update the simulation in real time so that at each simulation step, the position of the UAV could reflect the results of the SAA system calculations.
Figure 20.
High-level scheme of the complete simulation framework.
Figure 21.
Video stream send (a) and receive (b) pipeline schematics.
Figure 22.
SAA camera viewpoint as rendered in Flight Gear (flying over the city of Pisa).
All the simulations conducted have shown full compliance with the aero mechanical constraints of the aircraft while at the same time respecting the safety boundaries; the minimum separation distance is never violated for every initial position of the intruder aircraft according to the scheme of Figure 17b and for a range of the intruder’s flight speed equal to , greatly exceeding the cruise speed of other UAVs belonging to the same class as imposed by system requirements. Figure 23 illustrates some results in terms of UAV flight parameters throughout the evasive maneuver, obtained with the HIL complete simulation framework, for a conflict scenario with intruder aircraft approaching from the starboard side and flying at a constant speed of . For the same simulation, Figure 24 shows the comparison between the actual elevation and azimuth as they would appear on the sensors based on the ground truth position of the intruder aircraft and the ones reconstructed by the SAA system, compensated for the transmission and processing delay of the signal between the VPU and host PC. Figure 25 shows some screenshots from the Flight Gear rendering relative to the same collision scenario with the intruder aircraft approaching from the starboard side, highlighted with a red bounding box. Both the intruder aircraft and the UAV were rendered with a Cessna 172p mockup. Notice, however, that the simulations were conducted with the viewpoint shown in Figure 22, with the camera pointing forward so that the UAV actual rendering was meaningless; in Figure 25, UAV rendering has been included for the sake of clarity in showing the evolution of the evasive maneuver on the horizontal plane.

Figure 23.
Results of a HIL collision scenario in the complete simulation environment. Intruder approaching from starboard side. ; Three-dimensional trajectory (a), Euler angles (b), speed components in NED reference frame (c), load factors (d).
Figure 24.
Comparison between elevation (a) and azimuth (b) measurements with ground truth for the complete simulation framework.

Figure 25.
Flight Gear rendering of a starboard collision scenario on a coastal landscape with intruder position highlighted with a red bounding box as detected by sense algorithms within the complete simulation framework. Subfigures (a–f) show the evolution of the evasive maneuver.
6. Flight Tests
A preliminary flight test campaign aimed at the validation of the effectiveness of the system in detecting an intruder aircraft was conducted at Lucca-Tassignano Airport in Italy in conjunction with SES and ECHOES. Due to flight safety restrictions, it was impractical to operate two distinct UAVs at the same time in the same airspace at this preliminary stage of the airworthiness certification process. As a matter of fact, the complete validation of the system, which will be achieved when both the UAV and the intruder are in flight, will have to take place gradually. First of all, the capabilities of the radar and the algorithms of the sense module must be validated, which can be performed by using a flying intruder UAV while keeping the SAA system fixed on the ground. The next step will be with the flying SAA system and fixed target in the air (tethered balloon) to verify the EMC and vibration damping on the camera. Only subsequently will it be possible to request authorization for a test with two flying UAVs, in which the full avoidance capabilities will be validated.
The tests shown in the present paper are relative to the first step, where the SAA system was fixed on the ground and the track readings of the detected aircraft were compared with actual telemetry data recorded onboard during the flight. The prototype of the SAA system that was used during the test is shown in Figure 26.
Figure 26.
SAA system prototype.
As highlighted by the picture, the system is composed of several components, briefly listed below as follows:
- 1.
- Color camera Arducam 1/4” 8MP IMX219, 30 FPS (Figure 27b). Recording resolution was set to 640 × 360. Due to the small footprint size of the target in terms of pixels, a lens was chosen with a horizontal FOV of around .
- 2.
- Sense-and-avoid Doppler radar developed by ECHOES.
- 3.
- Vision processing unit. NVIDIA Jetson Nano (Figure 27c) was chosen thanks to its small size and weight and low power absorption, as mentioned in Section 3.1.
- 4.
- Receiving and transmitting antennas are housed inside a fiberglass mockup of the nose of the aircraft to better simulate operating conditions of the system. Figure 27a shows the position of the antennas within the nose. The camera sensor was mounted on the nose mockup in such a way to ensure the alignment of the camera line of sight with the radar beam.
- 5.
- Lipo batteries provide power to the radar at a tension of 22 V, while a voltage regulator is employed to provide power to the VPU and camera at a lower voltage.
- 6.
- Two different workstations were used for real-time monitoring of both radar and camera sensors.
Figure 27.
(a) Antenna placement within the nose mockup; (b) camera sensor chosen for the system implementation; (c) Jetson Nano vision processing unit.
Figure 27.
(a) Antenna placement within the nose mockup; (b) camera sensor chosen for the system implementation; (c) Jetson Nano vision processing unit.

During the flight test, each sensor was recording on local storage the result of its own processing; moreover, a synchronization of the radar processor and VPU with the system time of the telemetry onboard the aircraft was implemented to guarantee the temporal alignment of data acquisition. Specifically, data acquired by each sensor during the test are summarized in Table 2.
Table 2.
Sensor data acquired during the flight test.
Figure 28 shows the position of the sense-and-avoid system during the flight test with respect to the trajectory of the UAV. The blue line indicates the direction of the geographic north, the green line is parallel to the SAA LOS, and the launch site of the drone is marked with a red rectangle. The drone was launched in the air, leveraging its pneumatic catapult platform. It was decided to position the radar with the highway behind (visible in the lower right corner of the image) in order to reduce the ground clutter as much as possible. The radar sensor was designed for operation in the air where ground targets are not so close; thus, during the flight test, some adjustments to the gains were made in order to compensate for the presence of cars and other highly reflective objects nearby. As noticeable in Figure 28, after take-off, the UAV entered a helicoidal climbing trajectory and then it remained in a Loiter circuit (approximately rectangular in shape) at a constant altitude of .
Figure 28.
SAA system position and UAV trajectory during flight test at Lucca-Tassignano Airport.
Telemetry data were post-processed and transformed into a Cartesian-fixed baseline reference frame (BRF) with its origin centered in the SAA system position and the x axis pointing north, axis towards right, and chosen so as to comply with the right-hand rule. The position of the UAV was reconstructed by the system in a Cartesian reference frame fixed with the SAA system, with the axis oriented along the LOS. Attitude angles of the system as recorded by the IMU installed on the radar were used to transform the position state recorded by the system in the BRF to compare them with telemetry. Figure 29 shows one example of such a reconstruction of the target position states, expressed in the BRF. Due to the presence of ground clutter in certain sections of the flights, radar distance was not available, but optical algorithms still correctly performed detection and tracking. In the absence of distance readings, it was still possible to reconstruct heading and azimuth angles in the camera reference frame. Figure 30 shows the comparison of said angles with ground truth (obtained by projecting the real UAV position logged by telemetry into the focus plane by means of camera intrinsic and extrinsic matrices) for two distinct segments of flight. The figures show a good correspondence between the intruder position states reconstructed by the system and those measured by the telemetry onboard. Actually, the SAA system was equipped with the same high-performance IMU platform embarked onboard the UAV (spatial model produced by Advanced Navigation). Slight differences between recorded and reconstructed states can be explained as follows: The pitch and roll angles of the system were recorded accurately by the IMU platform, while the heading of the radar beam and camera optical center was affected by a slight error due to the fact the magnetometer was either poorly calibrated or affected by the magnetic field generated by the radar. This slight error can clearly be noted in Figure 29a,b; in that segment of flight, the UAV was crossing the FOV from right to left (as shown by the negative slope of in Figure 29b) while slightly moving away from the SAA system (shown by the positive slope of in Figure 29a). The specific trends in the reconstructed UAV y state (), which is higher than ground truth while the target is in the right portion of the FOV and lower than ground truth when the target occupies the left-most portion of the FOV, coupled by an opposite trend on the position state, clearly suggest a slight discrepancy in the IMU heading measurement of the system, whose actual heading was apparently slightly rotated clockwise (seen from above) with respect to the IMU measurement. The exact same effect can be appreciated in Figure 30a–c, where the reconstructed azimuth angle appears slightly rotated with respect to ground truth. The fact that the trend is opposite in the two pictures is explained because in Figure 30a, the UAV was crossing the system’s FOV from right to left, while in Figure 30b, the UAV was moving in the opposite direction. The slight errors observable in the z position state in Figure 29c and in the reconstructed elevation angles of Figure 30b–d when the target occupies the lateral region of the system’s FOV are instead caused by slight distortions in the images introduced by the grand angular optics, which were not fully compensated during the tests. Overall, the system provided great results, with relative errors for the target position states lower than .
Figure 29.
Reconstructed UAV position states vs. telemetry in base reference frame: (a) position state, (b) position state, (c) position state.
Figure 30.
Relative azimuth (a,c) and elevation (b,d) angles between target UAV and SAA reference frame for two different flight phases.
7. Conclusions and Future Research
This paper has detailed the design and development of a sense-and-avoid system for a lightweight UAV. The system was designed to comply with the strict SWaP constraints of the aircraft platform manufactured by SES. Particular focus was employed on the development of efficient processing algorithms with a sufficiently high refresh rate and egomotion compensation both for optical and radar sensors to ensure robust detection and tracking capability. The developed hardware-in-the-loop integrated simulation environment has allowed for the validation of the sense and avoid algorithms for a multitude of different collision scenarios, leveraging a realistic, real-time, dynamic representation of the scene. Finally, the preliminary flight test campaign has produced promising results for the reconstruction of the position states of a representative target aircraft despite its small size and ground clutter noise. Several aspects still need to be investigated and will constitute the core of an important future research effort. First of all, the interaction between the FCS and avoidance algorithms has not been tested because the system was static during flight tests, and during simulations, attitude and position states of the UAV were considered known in advance. Attitude angles are essential for the correct reconstruction of target positions in an inertial reference frame. Therefore, complete flight tests with two flying aircraft will be conducted in the future, where the SAA system will be deployed onboard one of the UAVs. The interaction between the FCS and SAA systems will be validated during said flight campaign, and the test will provide precious insights about the effectiveness of motion compensation capabilities in rejecting noise caused by the egomotion of the platform and engine vibration. Future research will also investigate more advanced collision avoidance strategies, leveraging 3D maneuvers with optimality constraints (fuel/time minimization). Another essential aspect to be investigated is the simultaneous presence of multiple intruder aircrafts within the FOV, where possibly each of them pose a collision threat. Finally, the benefits of employing an array of camera sensors properly oriented to enlarge the overall available FOV will be investigated, together with the utilization of the coarse azimuth reading provided by the radar, with the aim of increasing system capabilities and robustness with respect to noise.
Author Contributions
Conceptualization, R.G. and G.D.R.; methodology, M.F.; software, M.F.; validation, M.F. All authors have read and agreed to the published version of the manuscript.
Funding
This research was co-funded by the Italian Government (Ministero delle Imprese e del Made in Italy, MIMIT) and by the Tuscany Regional Government, in the context of the R&D project “Tecnologie Elettriche e Radar per SAPR Autonomi (TERSA)”, grant number: F/130088/01- 05/X38.
Data Availability Statement
Restrictions apply to the availability of these data.
Acknowledgments
The authors wish to thank the project leader company Sky Eye Systems S.r.l. (via Grecia 52, 56021 Cascina, Italy) for the support for the research activity and for providing the UAV aero mechanical data and FCS laws that allowed for the creation of an accurate dynamic simulation model. Special thanks to the partner company ECHOES S.r.l. (Viale Giovanni Pisano 55, 56123 Pisa, Italy), responsible for the design and development of the SAA radar, and to the partner company Free Space S.r.l. (via Antonio Cocchi 7, 56121 Pisa, Italy) for the design and development of the radar antennas.
Conflicts of Interest
The authors declare no conflicts of interest. The funders had no role in the design of the study; in the collection, analyses, or interpretation of data; in the writing of the manuscript; or in the decision to publish the results.
References
- Mohsan, S.A.H.; Khan, M.A.; Noor, F.; Ullah, I.; Alsharif, M.H. Towards the Unmanned Aerial Vehicles (UAVs): A Comprehensive Review. Drones 2022, 6, 147. [Google Scholar] [CrossRef]
- Merkert, R.; Bushell, J. Managing the Drone Revolution: A Systematic Literature Review into the Current Use of Airborne Drones and Future Strategic Directions for Their Effective Control. J. Air Transp. Manag. 2020, 89, 101929. [Google Scholar] [CrossRef] [PubMed]
- Berrahal, S.; Kim, J.-H.; Rekhis, S.; Boudriga, N.; Wilkins, D.; Acevedo, J. Border Surveillance Monitoring Using Quadcopter UAV-Aided Wireless Sensor Networks. J. Commun. Softw. Syst. 2016, 12, 67–82. [Google Scholar] [CrossRef]
- Atif, M.; Ahmad, R.; Ahmad, W.; Zhao, L.; Rodrigues, J.J.P.C. UAV-Assisted Wireless Localization for Search and Rescue. IEEE Syst. J. 2021, 15, 3261–3272. [Google Scholar] [CrossRef]
- Tsouros, D.C.; Bibi, S.; Sarigiannidis, P.G. A Review on UAV-Based Applications for Precision Agriculture. Information 2019, 10, 349. [Google Scholar] [CrossRef]
- Liu, X.; Liu, H.; Zheng, K.; Liu, J.; Taleb, T.; Shiratori, N. AoI-Minimal Clustering, Transmission and Trajectory Co-Design for UAV-Assisted WPCNs. IEEE Trans. Veh. Technol. 2025, 74, 1035–1051. [Google Scholar] [CrossRef]
- Hu, H.; Xiong, K.; Qu, G.; Ni, Q.; Fan, P.; Letaief, K.B. AoI-Minimal Trajectory Planning and Data Collection in UAV-Assisted Wireless Powered IoT Networks. IEEE Internet Things J. 2021, 8, 1211–1223. [Google Scholar] [CrossRef]
- ENAC Regolamento UAS-IT 2021. Available online: https://www.enac.gov.it/la-normativa/normativa-enac/regolamenti/regolamenti-ad-hoc/regolamento-uas-it/ (accessed on 24 January 2025).
- FAA Integration of Civil Unmanned Aircraft Systems (UAS) in the National Airspace System (NAS) Roadmap—3° Ed 2020. Available online: https://www.faa.gov/sites/faa.gov/files/uas/resources/policy_library/2019_UAS_Civil_Integration_Roadmap_third_edition.pdf (accessed on 24 January 2025).
- European Union Aviation Safety Agency (EASA) Easy Access Rules for Unmanned Aircraft Systems 2024. Available online: https://www.easa.europa.eu/en/document-library/easy-access-rules/easy-access-rules-unmanned-aircraft-systems-regulations-eu (accessed on 24 January 2025).
- Radio Technical Commision for Aeronautics RTCA-DO-185B, Minimum Operational Performance Standards for Traffic Alert and Collision Avoidance System II (TCAS II) 2013. Available online: https://standards.globalspec.com/std/1607299/rtca-do-185 (accessed on 24 January 2025).
- Klarer, D.; Domann, A.; Zekel, M.; Schuster, T.; Mayer, H.; Hennig, J. Sense and Avoid Radar Flight Tests. In Proceedings of the 2020 21st International Radar Symposium (IRS), Warsaw, Poland, 5–8 October 2020; pp. 19–23. [Google Scholar]
- Mohammadkarimi, M.; Rajan, R.T. Cooperative Sense and Avoid for UAVs Using Secondary Radar. IEEE Trans. Aerosp. Electron. Syst. 2024, 60, 7041–7055. [Google Scholar] [CrossRef]
- Huizing, A.; Heiligers, M.; Dekker, B.; de Wit, J.J.M.; Cifola, L.; Harmanny, R. Deep Learning for Classification of Mini-UAVs Using Micro-Doppler Spectrograms in Cognitive Radar. IEEE Aerosp. Electron. Syst. Mag. 2019, 34, 46–56. [Google Scholar] [CrossRef]
- Zhou, C.; Liu, Y.; Song, Y. Detection and Tracking of a UAV via Hough Transform. In Proceedings of the 2016 CIE International Conference on Radar (RADAR), Guangzhou, China, 10–13 October 2016; pp. 1–4. [Google Scholar]
- Ramasamy, S.; Sabatini, R.; Gardi, A.; Liu, J. LIDAR Obstacle Warning and Avoidance System for Unmanned Aerial Vehicle Sense-and-Avoid. Aerosp. Sci. Technol. 2016, 55, 344–358. [Google Scholar] [CrossRef]
- Karampinis, V.; Arsenos, A.; Filippopoulos, O.; Petrongonas, E.; Skliros, C.; Kollias, D.; Kollias, S.; Voulodimos, A. Ensuring UAV Safety: A Vision-Only and Real-Time Framework for Collision Avoidance Through Object Detection, Tracking, and Distance Estimation. In Proceedings of the 2024 International Conference on Unmanned Aircraft Systems (ICUAS), Chania, Greece, 4–7 June 2024; pp. 1072–1079. [Google Scholar]
- Opromolla, R.; Inchingolo, G.; Fasano, G. Airborne Visual Detection and Tracking of Cooperative UAVs Exploiting Deep Learning. Sensors 2019, 19, 4332. [Google Scholar] [CrossRef] [PubMed]
- Zhao, J.; Zhang, J.; Li, D.; Wang, D. Vision-Based Anti-UAV Detection and Tracking. IEEE Trans. Intell. Transp. Syst. 2022, 23, 25323–25334. [Google Scholar] [CrossRef]
- Bauer, P.; Hiba, A.; Bokor, J. Monocular Image-Based Intruder Direction Estimation at Closest Point of Approach. Proceedings fo the 2017 International Conference on Unmanned Aircraft Systems, Miami, FL, USA, 13–16 June 2017; pp. 1108–1117. [Google Scholar]
- Vitiello, F.; Causa, F.; Opromolla, R.; Fasano, G. Experimental Analysis of Radar/Optical Track-to-Track Fusion for Non-Cooperative Sense and Avoid. In Proceedings of the 2023 International Conference on Unmanned Aircraft Systems (ICUAS), Warsaw, Poland, 6–9 June 2023; pp. 445–462. [Google Scholar]
- Fasano, G.; Accardo, D.; Tirri, A.E.; Moccia, A.; Lellis, E.D. Radar/Electro-Optical Data Fusion for Non-Cooperative UAS Sense and Avoid. Aerosp. Sci. Technol. 2015, 46, 436–450. [Google Scholar] [CrossRef]
- ICAO Doc 10019—Manual on Remotely Piloted Aricraft Systems 2015. Available online: https://store.icao.int/en/manual-on-remotely-piloted-aircraft-systems-rpas-doc-10019 (accessed on 24 January 2025).
- ICAO Cir. 328—Unmanned Aircraft Systems (UAS) 2011. Available online: https://www.icao.int/meetings/uas/documents/circular%20328_en.pdf (accessed on 24 January 2025).
- FAA “Sense and Avoid (SAA) for Unmanned Aircraft System (UAS)”, Final Report of the FAA SAA Sponsored Workshop 2009. Available online: https://ntrs.nasa.gov/api/citations/20200002709/downloads/20200002709.pdf (accessed on 24 January 2025).
- ASTM international Standard Specification for Design and Performance of an Airborne Sense-and-Avoid System, F2411-04 2017. Available online: https://www.astm.org/f2411-04.html (accessed on 24 January 2025).
- EUROCONTROL Specification for the Use of MIlitary Unmanned Aerial Vehicle as Operational Traffic Outside Segregated Airspaces, SPEC-0102 2007. Available online: https://www.eurocontrol.int/publication/eurocontrol-specifications-use-military-unmanned-aerial-vehicles-operational-air (accessed on 24 January 2025).
- Zeitlin, A.D. Progress on Requirements and Standards for Sense & Avoid; The MITRE Corporation: McLean, VI, USA, 2010. [Google Scholar]
- Geyer, C.; Singh, S.; Chamberlain, L. Avoiding Collisions Between Aircraft: State of the Art and Requirements for UAVs Operating in Civilian Airspace. Tech. Rep. 2011, 13, 22. [Google Scholar]
- Fasano, G.; Accardo, D.; Moccia, A.; Moroney, D. Sense and Avoid for Unmanned Aircraft Systems. IEEE Aerosp. Electron. Syst. Mag. 2016, 31, 82–110. [Google Scholar] [CrossRef]
- By Courtesy of Sky Eye Systems S.r.l. 1014 (Via Grecia 52, 56021 Cascina, Italy). Available online: https://www.skyeyesystems.it/ (accessed on 24 January 2025).
- Ramasamy, S.; Sabatini, R. A Unified Approach to Cooperative and Non-Cooperative Sense-and-Avoid. In Proceedings of the 2015 International Conference on Unmanned Aircraft Systems (ICUAS), Denver, CO, USA, 9–12 June 2015; pp. 765–773. [Google Scholar]
- Lucas, B.; Kanade, T. An Iterative Image Registration Technique with an Application to Stereo Vision (IJCAI). IJCAI’81: 7th international joint conference on Artificial intelligence, Vancouver BC Canada, 24–28 August 1981; Volume 81. [Google Scholar]
- Redmon, J.; Divvala, S.; Girshick, R.; Farhadi, A. You Only Look Once: Unified, Real-Time Object Detection. In Proceedings of the IEEE Conference on Computer Vision and Pattern Recognition, Las Vegas, NV, USA, 27–30 June 2016. [Google Scholar]
- Bolme, D.S.; Beveridge, J.R.; Draper, B.A.; Lui, Y.M. Visual Object Tracking Using Adaptive Correlation Filters. In Proceedings of the 2010 IEEE Computer Society Conference on Computer Vision and Pattern Recognition, San Francisco, CA, USA, 13–18 June 2010; pp. 2544–2550. [Google Scholar]
- Bouguet, J.-Y. Pyramidal Implementation of the Lucas Kanade Feature Tracker Description of the Algorithm; Intel Corporation: Santa Clara, CA, USA, 2000. [Google Scholar]
- Henriques, J.F.; Caseiro, R.; Martins, P.; Batista, J. High-Speed Tracking with Kernelized Correlation Filters. IEEE Trans. Pattern Anal. Mach. Intell. 2015, 37, 583–596. [Google Scholar] [CrossRef] [PubMed]
- Bradski, G.R. Real Time Face and Object Tracking as a Component of a Perceptual User Interface. In Proceedings of the Fourth IEEE Workshop on Applications of Computer Vision. WACV’98 (Cat. No.98EX201), Princeton, NJ, USA, 19–21 October 1998; pp. 214–219. [Google Scholar]
- Harris, C.; Stephens, M. A Combined Corner And Edge Detection. In Proceedings of the 4th Alvey Vision Conference, Manchester, UK, 31 August–2 September 1988; pp. 147–152. [Google Scholar]
- Forlenza, L.; Fasano, G.; Accardo, D.; Moccia, A. Flight Performance Analysis of an Image Processing Algorithm for Integrated Sense-and-Avoid Systems. Int. J. Aerosp. Eng. 2012, 2012, 542165. [Google Scholar] [CrossRef][Green Version]
- Recchia, G.; Fasano, G.; Accardo, D.; Moccia, A.; Paparone, L. An Optical Flow Based Electro-Optical See-and-Avoid System for UAVs. In Proceedings of the 2007 IEEE Aerospace Conference, Big Sky, MT, USA, 3–10 March 2007; pp. 1–9. [Google Scholar]
- Benezeth, Y.; Jodoin, P.-M.; Emile, B.; Laurent, H.; Rosenberger, C. Comparative Study of Background Subtraction Algorithms. J. Electron. Imaging 2010, 19, 033003. [Google Scholar] [CrossRef]
- Kim, S.W.; Yun, K.; Yi, K.M.; Kim, S.J.; Choi, J.Y. Detection of Moving Objects with a Moving Camera Using Non-Panoramic Background Model. Mach. Vis. Appl. 2013, 24, 1015–1028. [Google Scholar] [CrossRef]
- Kurnianggoro, L.; Wahyono, Y.; Hernandez, D.C.; Jo, K.-H. Online Background-Subtraction with Motion Compensation for Freely Moving Camera. In Proceedings of the Intelligent Computing Theories and Application; Huang, D.-S., Jo, K.-H., Eds.; Springer International Publishing: Cham, Switzerland, 2016; pp. 569–578. [Google Scholar]
- Yi, K.M.; Yun, K.; Kim, S.W.; Chang, H.J.; Jeong, H.; Choi, J.Y. Detection of Moving Objects with Non-Stationary Cameras in 5.8ms: Bringing Motion Detection to Your Mobile Device. In Proceedings of the 2013 IEEE Conference on Computer Vision and Pattern Recognition Workshops, Portland, OR, USA, 23–28 June 2013; pp. 27–34. [Google Scholar]
- Carbone, C.; Ciniglio, U.; Corraro, F.; Luongo, S. A Novel 3D Geometric Algorithm for Aircraft Autonomous Collision Avoidance. In Proceedings of the 45th IEEE Conference on Decision and Control, San Diego, CA, USA, 13–15 December 2006; pp. 1580–1585. [Google Scholar]
- Chakravarthy, A.; Ghose, D. Obstacle Avoidance in a Dynamic Environment: A Collision Cone Approach. IEEE Trans. Syst. Man Cybern. Part Syst. Hum. 1998, 28, 562–574. [Google Scholar] [CrossRef]
- Huang, H.; Zhou, H.; Zheng, M.; Xu, C.; Zhang, X.; Xiong, W. Cooperative Collision Avoidance Method for Multi-UAV Based on Kalman Filter and Model Predictive Control. In Proceedings of the 2019 IEEE International Conference on Unmanned Systems and Artificial Intelligence (ICUSAI), Xi’an, China, 22–24 November 2019; pp. 1–7. [Google Scholar]
- Montañez, O.J.; Suarez, M.J.; Fernandez, E.A. Application of Data Sensor Fusion Using Extended Kalman Filter Algorithm for Identification and Tracking of Moving Targets from LiDAR–Radar Data. Remote Sens. 2023, 15, 3396. [Google Scholar] [CrossRef]
- Fiorio, M.; Galatolo, R.; Di Rito, G. Extended Kalman Filter Based Data Fusion Algorithm Implemented in a Sense and Avoid System for a Mini-UAV Application. In Proceedings of the 2024 11th International Workshop on Metrology for AeroSpace (MetroAeroSpace), Lublin, Poland, 3–5 June 2024; pp. 249–253. [Google Scholar]
Disclaimer/Publisher’s Note: The statements, opinions and data contained in all publications are solely those of the individual author(s) and contributor(s) and not of MDPI and/or the editor(s). MDPI and/or the editor(s) disclaim responsibility for any injury to people or property resulting from any ideas, methods, instructions or products referred to in the content. |
© 2025 by the authors. Licensee MDPI, Basel, Switzerland. This article is an open access article distributed under the terms and conditions of the Creative Commons Attribution (CC BY) license (https://creativecommons.org/licenses/by/4.0/).































