Joint Trajectory Planning, Time and Power Allocation to Maximize Throughput in UAV Network
Abstract
1. Introduction
1.1. Related Work
1.2. Motivation
1.3. Contributions
- We investigate a multi-UAV-assisted multi-user relay network in which the SNs use SWIPT technology to transmit wireless energy and information to UAVs. The UAVs use the collected energy to transmit information to the DNs, with the jammers interfering with legitimate channel communications.
- Our goal was to jointly optimize UAV trajectories, time allocation, and power-splitting factors, to mitigate interference and maximize the system throughput. Given that the original problem is non-convex and difficult to solve directly, we decomposed the original problem into three subproblems based on successive convex approximation, block coordinate descent, and a slack variables method presenting an efficient joint optimization algorithm to obtain a suboptimal solution.
- Simulation results indicate that the proposed scheme had better performance than the four benchmark schemes. In addition, we discuss the impact of the number of jammers and energy budgets on system performance and illustrate the effectiveness of joint trajectory planning, time, and power allocation to mitigate interference.
2. System Model
2.1. Energy and Information Transmission Model
2.2. Energy Consumption Model
2.3. Problem Formulation
3. Joint Optimization
3.1. Optimization of Trajectory
3.2. Optimization of Power Splitting Factor
3.3. Optimization of Time-Allocation Factor
3.4. Algorithmic Architecture
| Algorithm 1 Overall algorithm |
|
4. Simulation Results
4.1. Simulation Settings
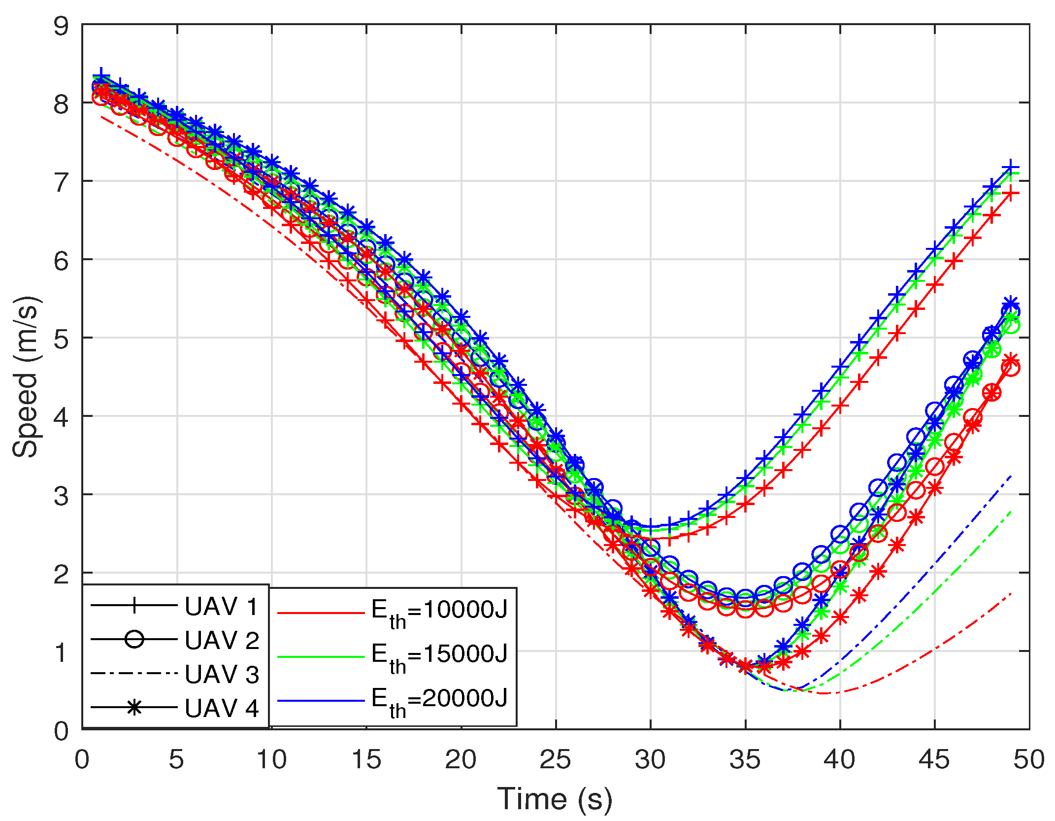
4.2. Effect of Energy Budgets
4.3. Effect of Jammers
4.4. Performance Comparison
- Scheme 1: Our proposed joint trajectory planning, time, and power allocation scheme.
- Scheme 2: Optimizing the power-splitting factor and UAV’s trajectory under the fixed time-allocation factor .
- Scheme 3: Optimizing the time-allocation factor and UAV’s trajectory under the fixed power-splitting factor .
- Scheme 4: Optimizing the UAV’s trajectory under the fixed time-allocation factor and power-splitting factor .
- Scheme 5: Optimizing the power-splitting factor and time-allocation factor under circular trajectory.
5. Conclusions
Author Contributions
Funding
Data Availability Statement
Conflicts of Interest
Notations
| Notation | Definition |
| Location of the SN | |
| Location of the DN | |
| Locations of the jammer | |
| Z | Height of the UAV |
| Locations of the UAV | |
| T | Total task time |
| N | Number of time slots |
| Duration of each time slot | |
| The maximum speed of the UAV | |
| The minimum safe distance | |
| The channel-power gain between the SN and the UAV | |
| The channel-power gain between a jammer and a UAV | |
| The channel-power gain between a UAV and the DN | |
| The transmit power of the SN | |
| Additive white Gaussian noise | |
| Power-splitting factor | |
| Time-allocation factor | |
| Energy collection efficiency | |
| The blade profile power | |
| The induced power | |
| The tip speed of the rotor blade | |
| The mean rotor induced velocity | |
| The fuselage drag ratio | |
| The air density | |
| s | The rotor solidity |
| The rotor disc area |
References
- Xiang, C.; Li, Y.; Zhou, Y.; He, S.; Qu, Y.; Li, Z.; Gong, L.; Chen, C. A Comparative Approach to Resurrecting the Market of MOD Vehicular Crowdsensing. In Proceedings of the IEEE INFOCOM 2022—IEEE Conference on Computer Communications, London, UK, 2–5 May 2022; pp. 1479–1488. [Google Scholar]
- Xiang, C.; Zhang, Z.; Qu, Y.; Lu, D.; Fan, X.; Yang, P.; Wu, F. Edge computing-empowered large-scale traffic data recovery leveraging low-rank theory. IEEE Trans. Netw. Sci. Eng. 2020, 7, 2205–2218. [Google Scholar] [CrossRef]
- Ma, B.; Ren, Z.; Cheng, W. Traffic Routing-Based Computation Offloading in Cybertwin-Driven Internet of Vehicles for V2X Applications. IEEE Trans. Veh. Technol. 2021, 71, 4551–4560. [Google Scholar] [CrossRef]
- Zhao, N.; Lu, W.; Sheng, M.; Chen, Y.; Tang, J.; Yu, F.R.; Wong, K.K. UAV-assisted emergency networks in disasters. IEEE Wirel. Commun. 2019, 26, 45–51. [Google Scholar] [CrossRef]
- Jiang, X.; Sheng, M.; Zhao, N.; Xing, C.; Lu, W.; Wang, X. Green UAV communications for 6G: A survey. Chin. J. Aeronaut. 2022, 35, 19–34. [Google Scholar] [CrossRef]
- Tran, D.H.; Vu, T.X.; Chatzinotas, S.; ShahbazPanahi, S.; Ottersten, B. Coarse trajectory design for energy minimization in UAV-enabled. IEEE Trans. Veh. Technol. 2020, 69, 9483–9496. [Google Scholar] [CrossRef]
- Miao, J.; Wang, P. Power Control for Multi-UAV Location-aware Wireless Powered Communication Networks. In Proceedings of the 2020 IEEE/CIC International Conference on Communications in China (ICCC), Xiamen, China, 28–30 July 2020; pp. 225–230. [Google Scholar]
- An, K.; Liang, T.; Zheng, G.; Yan, X.; Li, Y.; Chatzinotas, S. Performance limits of cognitive-uplink FSS and terrestrial FS for Ka-band. IEEE Trans. Aerosp. Electron. Syst. 2018, 55, 2604–2611. [Google Scholar] [CrossRef]
- An, K.; Lin, M.; Ouyang, J.; Zhu, W.-P. Secure Transmission in Cognitive Satellite Terrestrial Networks. IEEE J. Sel. Areas Commun. 2016, 34, 3025–3037. [Google Scholar] [CrossRef]
- Zeng, Y.; Zhang, R. Energy-Efficient UAV Communication with Trajectory Optimization. IEEE Trans. Wirel. Commun. 2017, 16, 3747–3760. [Google Scholar] [CrossRef]
- Lin, N.; Liu, Y.; Zhao, L.; Wu, D.O.; Wang, Y. An Adaptive UAV Deployment Scheme for Emergency Networking. IEEE Trans. Wirel. Commun. 2022, 21, 2383–2398. [Google Scholar] [CrossRef]
- Ma, B.; Ren, Z.; Cheng, W. Credibility Computation Offloading Based Task-Driven Routing Strategy for Emergency UAVs Network. In Proceedings of the 2021 IEEE Global Communications Conference (GLOBECOM), Rio de Janeiro, Brazil, 4–8 December 2021; pp. 1–6. [Google Scholar]
- Fu, Y.; Li, D.; Tang, Q.; Zhou, S. Joint Speed and Bandwidth Optimized Strategy of UAV-Assisted Data Collection in Post-Disaster Areas. In Proceedings of the 2022 20th Mediterranean Communication and Computer Networking Conference (MedComNet), Pafos, Cyprus, 1–3 June 2022; pp. 39–42. [Google Scholar]
- Peer, M.; Bohara, V.A.; Srivastava, A. Multi-UAV Placement Strategy for Disaster-Resilient Communication Network. In Proceedings of the 2020 IEEE 92nd Vehicular Technology Conference (VTC2020-Fall), Virtual, 18 November–16 December 2020; pp. 1–7. [Google Scholar]
- Kim, Y.H.; Chowdhury, I.A.; Song, I. Design and Analysis of UAV-Assisted Relaying with Simultaneous Wireless Information and Power Transfer. IEEE Access 2020, 8, 27874–27886. [Google Scholar] [CrossRef]
- Zhan, C.; Hu, H.; Wang, Z.; Fan, R.; Niyato, D. Unmanned Aircraft System Aided Adaptive Video Streaming: A Joint Optimization Approach. IEEE Transactions on Multimedia 2020, 22, 795–807. [Google Scholar] [CrossRef]
- Sun, Z.; Yang, D.; Xiao, L.; Cuthbert, L.; Wu, F.; Zhu, Y. Joint Energy and Trajectory Optimization for UAV-Enabled Relaying Network with Multi-Pair Users. IEEE Trans. Cogn. Commun. Netw. 2021, 7, 939–954. [Google Scholar] [CrossRef]
- Gao, Y.; Wu, Y.; Cui, Z.; Yang, W.; Hu, G.; Xu, S. Robust trajectory and communication design for angle-constrained multi-UAV communications in the presence of jammers. China Commun. 2022, 19, 131–147. [Google Scholar] [CrossRef]
- Feng, Z.; Ren, G.; Chen, J.; Zhang, X.; Luo, Y.; Wang, M.; Xu, Y. Power control in relay-assisted anti-jamming systems: A Bayesian three-layer Stackelberg game approach. IEEE Access 2019, 7, 14623–14636. [Google Scholar] [CrossRef]
- Xu, Y.; Ren, G.; Chen, J.; Zhang, X.; Jia, L.; Feng, Z.; Xu, Y. Joint Power and Trajectory Optimization in UAV Anti-Jamming Communication Networks. In Proceedings of the ICC 2019—2019 IEEE International Conference on Communications (ICC), Shanghai, China, 20–24 May 2019; pp. 1–5. [Google Scholar]
- Wu, Y.; Yang, W.; Guan, X.; Wu, Q. UAV-Enabled Relay Communication Under Malicious Jamming: Joint Trajectory and Transmit Power Optimization. IEEE Trans. Veh. Technol. 2021, 70, 8275–8279. [Google Scholar] [CrossRef]
- Lin, Z.; An, K.; Niu, H.; Hu, Y.; Chatzinotas, S.; Zheng, G.; Wang, J. SLNR-based Secure Energy Efficient Beamforming in Multibeam Satellite Systems. IEEE Trans. Aerosp. Electron. Syst. 2022. [CrossRef]
- Song, X.; Chang, Z.; Guo, X.; Wu, P.; Hämäläinen, T. Energy Efficient Optimization for Solar-Powered UAV Communications System. In Proceedings of the 2021 IEEE International Conference on Communications Workshops (ICC Workshops), Montreal, QC, Canada, 14–23 June 2021; pp. 1–6. [Google Scholar]
- Sekander, S.; Tabassum, H.; Hossain, E. Statistical Performance Modeling of Solar and Wind-Powered UAV Communications. IEEE Trans. Mob. Comput. 2021, 20, 2686–2700. [Google Scholar] [CrossRef]
- Mamaghani, M.T.; Hong, Y. Improving PHY-Security of UAV-Enabled Transmission with Wireless Energy Harvesting: Robust Trajectory Design and Communications Resource Allocation. IEEE Trans. Veh. Technol. 2020, 69, 8586–8600. [Google Scholar] [CrossRef]
- Lu, W.; Fang, S.; Gong, Y.; Qian, L.; Liu, X.; Hua, J. Resource Allocation for OFDM Relaying Wireless Power Transfer Based Energy-Constrained UAV Communication Network. In Proceedings of the 2018 IEEE International Conference on Communications Workshops (ICC), Kansas City, MO, USA, 20–24 May 2018; pp. 1–6. [Google Scholar]
- Ramzan, M.R.; Naeem, M.; Altaf, M.; Ejaz, W. Multi-Criterion Resource Management in Energy Harvested Cooperative UAV-enabled IoT Networks. IEEE Internet Things J. 2021, 9, 2944–2959. [Google Scholar] [CrossRef]
- Wu, Y.; Yang, W.; Guan, X. UAV-UAV Communication Under Malicious Jamming: Trajectory Optimization with Turning Angle Constraint. In Proceedings of the 2020 International Conference on Wireless Communications and Signal Processing (WCSP), Nanjing, China, 21–23 October 2020; pp. 26–31. [Google Scholar]
- Wang, X.; Gursoy, M.C.; Erpek, T.; Sagduyu, Y.E. Jamming-Resilient Path Planning for Multiple UAVs via Deep Reinforcement Learning. In Proceedings of the 2021 IEEE International Conference on Communications Workshops (ICC Workshops), Montreal, QC, Canada, 14–23 June 2021; pp. 1–6. [Google Scholar]
- Zhou, L.; Zhao, X.; Guan, X.; Song, E.; Zeng, X.; Shi, Q. Robust trajectory planning for UAV communication systems in the presence of jammers. Chin. J. Aeronaut. 2022, 35, 265–274. [Google Scholar] [CrossRef]
- Wu, Y.; Yang, W.; Guan, X.; Wu, Q. Energy-Efficient Trajectory Design for UAV-Enabled Communication Under Malicious Jamming. IEEE Wirel. Commun. Lett. 2021, 10, 206–210. [Google Scholar] [CrossRef]
- Duo, B.; Luo, J.; Li, Y.; Hu, H.; Wang, Z. Joint trajectory and power optimization for securing UAV communications against active eavesdropping. China Commun. 2021, 18, 88–99. [Google Scholar] [CrossRef]
- Li, X.; Xu, J. Positioning Optimization for Sum-Rate Maximization in UAV-Enabled Interference Channel. IEEE Signal Process. Lett. 2019, 26, 1466–1470. [Google Scholar] [CrossRef]
- Wu, Y.; Fan, W.; Yang, W.; Sun, X.; Guan, X. Robust Trajectory and Communication Design for Multi-UAV Enabled Wireless Networks in the Presence of Jammers. IEEE Access 2020, 8, 2893–2905. [Google Scholar] [CrossRef]
- Xiang, C.; Zhou, Y.; Dai, H.; Qu, Y.; He, S.; Chen, C.; Yang, P. Reusing delivery drones for urban crowdsensing. IEEE Trans. Mob. Comput. 2021. [Google Scholar] [CrossRef]
- Li, J.; Tian, Y.; Zhang, Y. Destination-Based Cooperative Jamming in Security UAV Relay System with SWIPT. In Proceedings of the 2021 13th International Conference on Communication Software and Networks (ICCSN), Chongqing, China, 4–7 June 2021; pp. 160–167. [Google Scholar]
- Singh, R.; Rawat, M.; Jaiswal, A. On the Physical Layer Security of Mixed FSO-RF SWIPT System with Non-Ideal Power Amplifier. IEEE Photonics J. 2021, 13, 1–17. [Google Scholar] [CrossRef]
- Wang, W.; Li, X.; Zhang, M.; Cumanan, K.; Ng, D.W.K.; Zhang, G.; Tang, J.; Dobre, O.A. Energy-constrained UAV-assisted secure communications with position optimization and cooperative jamming. IEEE Trans. Commun. 2020, 68, 4476–4489. [Google Scholar] [CrossRef]
- Ji, B.; Li, Y.; Zhou, B.; Li, C.; Song, K.; Wen, H. Performance Analysis of UAV Relay Assisted IoT Communication Network Enhanced with Energy Harvesting. IEEE Access 2019, 7, 38738–38747. [Google Scholar] [CrossRef]
- Park, J.C.; Kang, K.-M.; Choi, J. Low-Complexity Algorithm for Outage Optimal Resource Allocation in Energy Harvesting-Based UAV Identification Networks. IEEE Commun. Lett. 2021, 25, 3639–3643. [Google Scholar] [CrossRef]
- Kumar, D.; Singya, P.K.; Bhatia, V. Performance Analysis of SWIPT Enabled Decode-and-Forward based Cooperative Network. In Proceedings of the 2022 IEEE 11th International Conference on Communication Systems and Network Technologies (CSNT), Indore, India, 23–24 April 2022; pp. 476–481. [Google Scholar]
- Hu, T.; Ma, F.; Shang, Y.; Cheng, Y. Physical Layer Security of Untrusted UAV-enabled Relaying NOMA Network Using SWIPT and the Cooperative Jamming. In Proceedings of the 2021 IEEE 94th Vehicular Technology Conference (VTC2021-Fall), Virtual, 27 September–28 October 2021; pp. 1–6. [Google Scholar]
- Najmeddin, S.; Bayat, A.; Aïssa, S.; Tahar, S. Energy-Efficient Resource Allocation for UAV-Enabled Wireless Powered Communications. In Proceedings of the 2019 IEEE Wireless Communications and Networking Conference (WCNC), Marrakesh, Morocco, 15–18 April 2019; pp. 1–6. [Google Scholar]
- Su, Z.; Tang, J.; Feng, W.; Chen, Z.; Fu, Y.; Wong, K.-K. Energy Efficiency Optimization for D2D communications in UAV-assisted Networks with SWIPT. In Proceedings of the 2021 IEEE Global Communications Conference (GLOBECOM), Madrid, Spain, 7–11 December 2021; pp. 1–7. [Google Scholar]
- Yang, Y.; Xiao, K. Energy Efficiency Optimization of Multi-user Distributed Antenna Systems with SWIPT Technique. In Proceedings of the 2021 International Conference on Communications, Information System and Computer Engineering (CISCE), Beijing, China, 14–16 May 2021; pp. 118–122. [Google Scholar]
- Yang, H.; Ye, Y.; Chu, X.; Dong, M. Resource and Power Allocation in SWIPT-Enabled Device-to-Device Communications Based on a Nonlinear Energy Harvesting Model. IEEE Internet Things J. 2020, 7, 10813–10825. [Google Scholar] [CrossRef]
- Zargari, S.; Hakimi, A.; Tellambura, C.; Herath, S. User Scheduling and Trajectory Optimization for Energy-Efficient IRS-UAV Networks with SWIPT. IEEE Trans. Veh. Technol. 2022. [CrossRef]
- Liu, Y.; Han, F.; Zhao, S. Flexible and Reliable Multiuser SWIPT IoT Network Enhanced by UAV-Mounted Intelligent Reflecting Surface. IEEE Trans. Reliab. 2022, 71, 1092–1103. [Google Scholar] [CrossRef]
- Niu, H.; Chu, Z.; Zhu, Z.; Zhou, F. Aerial intelligent reflecting surface for secure wireless networks: Secrecy capacity and optimal trajectory strategy. Intell. Converg. Netw. 2020, 3, 119–133. [Google Scholar] [CrossRef]
- Lin, Y.; Wang, T.; Wang, S. Trajectory Planning for Multi-UAV Assisted Wireless Networks in Post-Disaster Scenario. In Proceedings of the 2019 IEEE Global Communications Conference (GLOBECOM), Waikoloa, HI, USA, 9–13 December 2019; pp. 1–6. [Google Scholar]
- Savkin, A.V.; Huang, C.; Ni, W. Joint Multi-UAV Path Planning and LoS Communication for Mobile Edge Computing in IoT Networks with RISs. IEEE Internet Things J. 2022. [Google Scholar] [CrossRef]
- Wang, L.; Wang, K.; Pan, C.; Xu, W.; Aslam, N.; Hanzo, L. Multi-Agent Deep Reinforcement Learning-Based Trajectory Planning for Multi-UAV Assisted Mobile Edge Computing. IEEE Trans. Cogn. Commun. Netw. 2021, 7, 73–84. [Google Scholar] [CrossRef]
- Li, S.; He, C.; Liu, M.; Wan, Y.; Gu, Y.; Xie, J.; Fu, S.; Lu, K. Design and implementation of aerial communication using directional antennas: Learning control in unknown communication environments. IET Control. Theory Appl. 2019, 13, 2906–2916. [Google Scholar] [CrossRef]
- Jayakody, D.N.K.; Perera, T.D.P.; Nathan, M.C.; Hasna, M. Self-energized Full-Duplex UAV-assisted Cooperative Communication Systems. In Proceedings of the 2019 IEEE International Black Sea Conference on Communications and Networking (BlackSeaCom), Sochi, Russia, 3–6 June 2019; pp. 1–6. [Google Scholar]
- Boyd, S.; Boyd, S.P.; Vandenberghe, L. Convex Optimization; Cambridge University Press: Cambridge, UK, 2004. [Google Scholar]















| Parameter | Notation | Value |
|---|---|---|
| time slots | N | 50 |
| minimum safe distance | 10 m | |
| Bandwidth | B | 10 MHz |
| SN to UAV channel gain | dB | |
| Jammer to UAV channel gain | dB | |
| transmit power of SN | 30 W | |
| transmit power of jammer | 5 W | |
| energy collection efficiency | ||
| additive white Gaussian noise | dBm | |
| UAV maximum speed | 10 m/s | |
| the blade profile power | W | |
| the induced power | W | |
| the tip speed of the rotor blade | 120 m/s | |
| the mean rotor induced velocity | m/s | |
| the fuselage drag ratio | ||
| the air density | 1.225 kg/m3 | |
| the rotor solidity | s |
Disclaimer/Publisher’s Note: The statements, opinions and data contained in all publications are solely those of the individual author(s) and contributor(s) and not of MDPI and/or the editor(s). MDPI and/or the editor(s) disclaim responsibility for any injury to people or property resulting from any ideas, methods, instructions or products referred to in the content. |
© 2023 by the authors. Licensee MDPI, Basel, Switzerland. This article is an open access article distributed under the terms and conditions of the Creative Commons Attribution (CC BY) license (https://creativecommons.org/licenses/by/4.0/).
Share and Cite
Wang, K.; Xu, J.; Li, X.; Liu, P.; Cao, H.; Liu, K. Joint Trajectory Planning, Time and Power Allocation to Maximize Throughput in UAV Network. Drones 2023, 7, 68. https://doi.org/10.3390/drones7020068
Wang K, Xu J, Li X, Liu P, Cao H, Liu K. Joint Trajectory Planning, Time and Power Allocation to Maximize Throughput in UAV Network. Drones. 2023; 7(2):68. https://doi.org/10.3390/drones7020068
Chicago/Turabian StyleWang, Kehao, Jiangwei Xu, Xiaobai Li, Pei Liu, Hui Cao, and Kezhong Liu. 2023. "Joint Trajectory Planning, Time and Power Allocation to Maximize Throughput in UAV Network" Drones 7, no. 2: 68. https://doi.org/10.3390/drones7020068
APA StyleWang, K., Xu, J., Li, X., Liu, P., Cao, H., & Liu, K. (2023). Joint Trajectory Planning, Time and Power Allocation to Maximize Throughput in UAV Network. Drones, 7(2), 68. https://doi.org/10.3390/drones7020068

