Dose-Response Relationship between Hand-Arm Vibration Exposure and Musculoskeletal Disorders of Upper Extremities: A Case-Control Study among German Workers †
Abstract
1. Introduction
2. Material and Methods
2.1. Design and Study Population
2.2. Exposure Assessment
2.3. Statistical Analysis
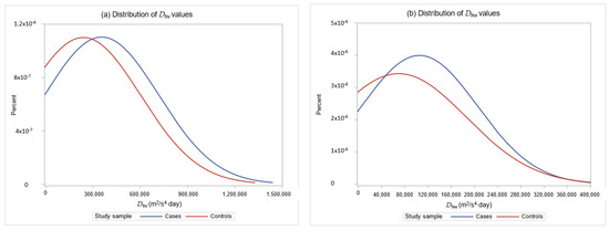
3. Results
4. Conclusions
Author Contributions
Funding
Institutional Review Board Statement
Informed Consent Statement
Data Availability Statement
Conflicts of Interest
References
- House, R.; Wills, M.; Liss, G.; Switzer-McIntyre, S.; Manno, M.; Lander, L. Upper extremity disability in workers with hand-arm vibration syndrome. Occup. Med. 2009, 59, 167–173. [Google Scholar] [CrossRef] [PubMed]
- Hagberg, M. Clinical assessment of musculoskeletal disorders in workers exposed to hand-arm vibration. Int. Arch. Occup. Environ. Health 2002, 75, 97–105. [Google Scholar] [CrossRef] [PubMed]
- Bovenzi, M. Health risks from occupational exposures to mechanical vibration. Med. Lav. 2006, 97, 535–541. [Google Scholar] [PubMed]
- Charles, L.E.; Ma, C.C.; Burchfiel, C.M.; Dong, R.G. Vibration and ergonomic exposures associated with musculoskeletal disorders of the shoulder and neck. Saf. Health Work 2018, 9, 125–132. [Google Scholar] [CrossRef] [PubMed]



| Cases/N | Unadjusted | Adjusted * | |||
|---|---|---|---|---|---|
| OR | 95%CI | OR | 95%CI | ||
| Dhv (m2/s4 · day) | |||||
| 1. Quintile | 20/165 | 1 | – | 1 | – |
| 2. Quintile | 35/164 | 2.14 | 1.17–3.90 | 2.08 | 1.12–3.85 |
| 3. Quintile | 46/165 | 3.10 | 1.72–5.59 | 2.66 | 1.45–4.88 |
| 4. Quintile | 40/164 | 2.77 | 1.52–5.06 | 3.31 | 1.78–6.13 |
| 5. Quintile | 68/165 | 5.03 | 2.83–8.93 | 5.65 | 3.06–10.42 |
| Trend-test | p < 0.0001 | p < 0.001 | |||
| 100 m2/s4 · year increase | 1.015 | 1.008–1.023 | 1.013 | 1.006–1.021 | |
| Dhw (m2/s4 · day) | |||||
| 1. Quintile | 16/165 | 1 | – | 1 | – |
| 2. Quintile | 27/164 | 1.93 | 1.02–3.67 | 1.73 | 0.89–3.33 |
| 3. Quintile | 44/165 | 3.57 | 1.92–6.62 | 3.19 | 1.70–6.01 |
| 4. Quintile | 58/164 | 4.91 | 2.68–8.99 | 3.92 | 2.10–7.32 |
| 5. Quintile | 64/165 | 5.08 | 2.80–9.22 | 4.43 | 2.39–8.21 |
| Trend-test | p < 0.0001 | p < 0.0001 | |||
| 100 m2/s4 · year increase | 1.036 | 1.015–1.058 | 1.028 | 1.006–1.050 | |
Disclaimer/Publisher’s Note: The statements, opinions and data contained in all publications are solely those of the individual author(s) and contributor(s) and not of MDPI and/or the editor(s). MDPI and/or the editor(s) disclaim responsibility for any injury to people or property resulting from any ideas, methods, instructions or products referred to in the content. |
© 2023 by the authors. Licensee MDPI, Basel, Switzerland. This article is an open access article distributed under the terms and conditions of the Creative Commons Attribution (CC BY) license (https://creativecommons.org/licenses/by/4.0/).
Share and Cite
Sun, Y.; Bochmann, F.; Eckert, W.; Ernst, B.; Kaulbars, U.; Nigmann, U.; Raffler, N.; Samel, C.; van den Berg, C. Dose-Response Relationship between Hand-Arm Vibration Exposure and Musculoskeletal Disorders of Upper Extremities: A Case-Control Study among German Workers. Proceedings 2023, 86, 22. https://doi.org/10.3390/proceedings2023086022
Sun Y, Bochmann F, Eckert W, Ernst B, Kaulbars U, Nigmann U, Raffler N, Samel C, van den Berg C. Dose-Response Relationship between Hand-Arm Vibration Exposure and Musculoskeletal Disorders of Upper Extremities: A Case-Control Study among German Workers. Proceedings. 2023; 86(1):22. https://doi.org/10.3390/proceedings2023086022
Chicago/Turabian StyleSun, Yi, Frank Bochmann, Winfried Eckert, Benjamin Ernst, Uwe Kaulbars, Uwe Nigmann, Nastaran Raffler, Christina Samel, and Christian van den Berg. 2023. "Dose-Response Relationship between Hand-Arm Vibration Exposure and Musculoskeletal Disorders of Upper Extremities: A Case-Control Study among German Workers" Proceedings 86, no. 1: 22. https://doi.org/10.3390/proceedings2023086022
APA StyleSun, Y., Bochmann, F., Eckert, W., Ernst, B., Kaulbars, U., Nigmann, U., Raffler, N., Samel, C., & van den Berg, C. (2023). Dose-Response Relationship between Hand-Arm Vibration Exposure and Musculoskeletal Disorders of Upper Extremities: A Case-Control Study among German Workers. Proceedings, 86(1), 22. https://doi.org/10.3390/proceedings2023086022

