Abstract
Spectral precoding is a popular approach to reduce out-of-band radiation (OBR) in multicarrier systems in order to avoid adjacent channel interference. However, it introduces distortion in the data, appropriate decoding is required at the receiver side. Thus, trading off between implementation complexity, OBR reduction and error rate is important. We present a novel linear precoder design with flexibility to trade off OBR reduction, precoding/decoding complexity, and error rate at the receiver. Moreover, the constraint can be imposed on each subcarrier individually to provide more flexibility. The precoding matrices have low rank, which translates into significant computational savings. In this way, the requirements of different systems can be satisfied with varying complexity levels.
1. Introduction
Orthogonal frequency division multiplexing (OFDM) is a mature technology with significant advantages: it is spectrally efficient, robust against multipath effects, and well matched to multiple input multiple output (MIMO) implementation. Due to these, the Third Generation Partnership Project (3GPP) has agreed on cyclic prefix (CP)-based OFDM as the modulation technique for 5G phase 1. Nevertheless, OFDM also has drawbacks, such as large spectrum side lobes, causing high out-of-band radiation (OBR) and adjacent channel interference. Traditionally, OBR has been mitigated via guard-band insertion, filtering, and/or pulse shaping. These techniques are straightforward, but they either degrade spectral efficiency or decrease the effective CP length.
Over the years, new OBR reduction approaches have been proposed. Constellation expansion and multiple choice sequences [1] require transmitting side information, causing system overhead. Subcarrier weighting [2] and adaptive symbol transition techniques are data dependent, i.e., they require solving an optimization problem for each OFDM symbol.
Spectral precoding is a popular method to reduce OBR in multicarrier systems. A number of precoder designs have been proposed according to different criteria, e.g., smoothing the time-domain waveform, introducing out-of-band notches, contrast energy ratio, or other heuristics. In general, these methods suffer from high complexity at both transmitter and receiver, where the precoding and decoding operations are respectively implemented.
We present a novel linear precoder design with flexibility to trade off OBR reduction, precoding/decoding complexity, and error rate at the receiver. The design directly minimizes OBR over a given frequency range without specifying the notch frequencies. The amount of distortion on data subcarriers, which determines the complexity of the decoder at the receiver, is controlled through a user-selectable parameter, in terms of normalized mean squared error (NMSE). Moreover, it is possible to set different NMSE constraints on each data subcarrier [3,4]. In this way, a user-selectable NMSE profile can be specified, providing more flexibility and control in the tradeoff between OBR reduction and the required number of decoder iterations. The precoding matrices have low rank, which translates into significant computational savings.
2. Results
Numerical results are presented to illustrate the performance of the proposed technique. Power spectral density (PSD) and symbol error rate (SER) are the performance metrics used for comparison. Complexity of the system, which can be a bottleneck for some systems, is also considered.
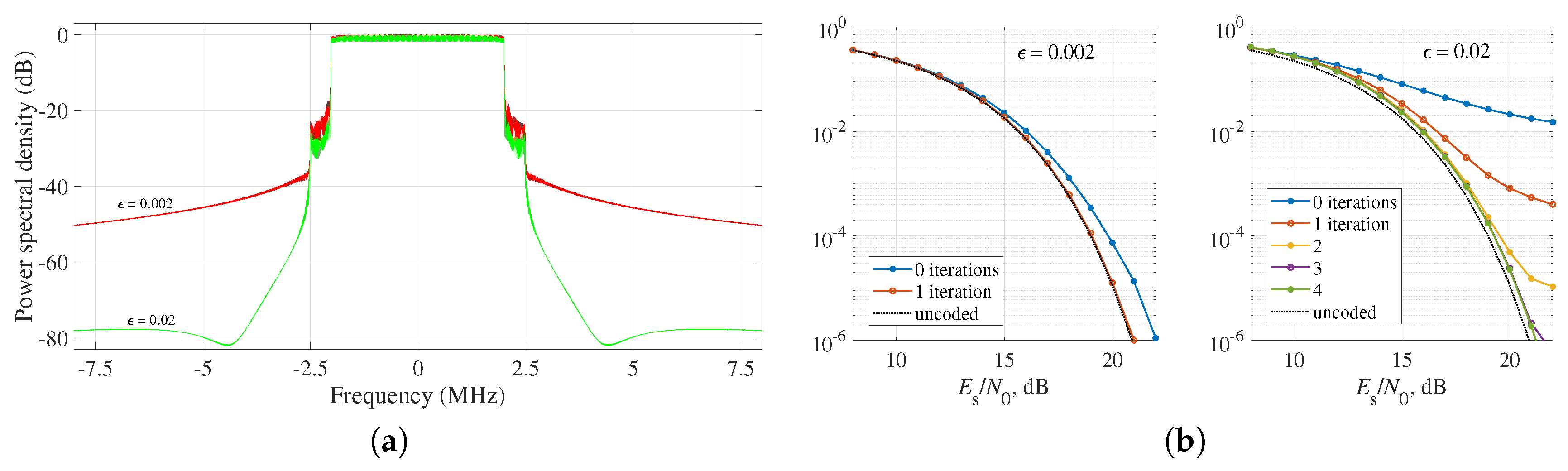
The proposed technique provides the flexibility to control the trade-off between OBR reduction and system complexity. Figure 1a shows the PSD obtained with the proposed design for a 5-MHz CP-OFDM system with CP and subcarriers, of which transport 16-QAM data. At the lower and upper spectrum edges, 25 subcarriers are reserved for OBR reduction. Clearly, increasing the value of distortion () improves OBR performance, but as shown in Figure 1b (which considers an AWGN channel), this is at the cost of either SER degradation or increased receiver complexity. With , distortion is small and even without decoding, the SER is close to that of an uncoded system; the small gap can be bridged with a single iteration of the proposed decoder. With , OBR is significantly improved at the expense of computational complexity.
Figure 1.
Proposed precoder design with , . (a) PSD for different values of . (b) SER in AWGN channel for the proposed iterative decoder.
For performance comparison against other techniques, we have considered the parameters of the IEEE 802.22 standard for 16-QAM transmission in TV White Spaces with 6-MHz TV channels. The system uses CP, subcarrier spacing kHz, and has a total of subcarriers, out of which are used to transmit data. Of the remaining subcarriers, are used for active OBR reduction and the rest are turned off.
The proposed design was applied to this setting, taking . Figure 2 shows the resulting PSD together with that of plain OFDM (all non-data subcarriers turned off) and with the orthogonal precoder design from [5]; the IEEE 802.22 spectral emission mask for USA is also shown. It is seen that both precoder designs are mask compliant. The SER of the proposed iterative decoder in an AWGN channel requires a single iteration. The complexity at transmitter and receiver of orthogonal precoder is cmults/symb and cmults/symb using Clarkson’s reduced complexity, while the proposed technique reduce the complexity to 58,120 cmults/symb at transmitter and 40,320 cmults/symb at receiver. In fact, the complexity of the proposed precoder is only 2% of that of the direct method, and 17% of that of Clarkson’s method. At the decoder the figures are 1.3% and 11.6% respectively.
Figure 2.
PSD of various designs and IEEE spectral emission mask.
In the third example, we consider a bandwidth-limited scenario with only cancellation subcarriers available. In this case, the orthogonal precoder requires 4080 cmults/symb at both transmitter and receiver. The OBR reduction obtained by orthogonal precoding can be improved if one uses IDC (individual distortion constraint) precoding instead, at the cost of additional complexity. Figure 3 shows an example with . In this case, the decoder requires a single iteration. The complexity incurred is 9160 and 7112 cmults/symb at the transmitter and receiver, respectively.
Figure 3.
PSD for different systems with , .
3. Conclusions
The proposed spectral precoder designs provide significant flexibility when achieving a tradeoff between out-of-band radiation reduction and computational complexity. The fact, that the maximum distortion experienced by data subcarriers can either be specified overall subcarriers or on a per-subcarrier basis can be exploited in order to reduce the number of iterations required by the decoder, significantly reducing the computational complexity of the receiver.
Funding
Supported by Agencia Estatal de Investigación (Spain) and the European Regional Development Fund (ERDF) under project WINTER (TEC2016-76409-C2-2-R, BES-2017-080305), and by Xunta de Galicia (Agrupación Estratéxica Consolidada de Galicia accreditation 2016-2019; Red Temática RedTEIC 2017-2018).
References
- Cosovic, I.; Janardhanam, V. Sidelobe Suppression in OFDM Systems. In Multi-Carrier Spread-Spectrum; Fazel, K., Kaiser, S., Eds.; Springer: Dordrecht, The Netherlands, 2006; pp. 473–482. [Google Scholar]
- Cosovic, I.; Brandes, S.; Schnell, M. Subcarrier weighting: A method for sidelobe suppression in OFDM systems. IEEE Commun. Lett. 2006, 10, 444–446. [Google Scholar] [CrossRef]
- Hussain, K.; Lojo, A.; López-Valcarce, R. Flexible Spectral Precoding for Sidelobe Suppression in OFDM Systems. In Proceedings of the 2019 IEEE International Conference on Acoustics, Speech and Signal Processing (ICASSP 2019), Brighton, UK, 12–17 May 2019; pp. 4789–4793. [Google Scholar] [CrossRef]
- Hussain, K.; López-Valcarce, R. OFDM Spectral Precoding with Per-Subcarrier Distortion Constraint. In Proceedings of the 27th European Signal Processing Conference (EUSIPCO), A Coruña, Spain, 2–6 September 2019. accepted. [Google Scholar]
- Xu, R.; Chen, M. A Precoding Scheme for DFT-Based OFDM to Suppress Sidelobes. IEEE Commun. Lett. 2009, 13, 776–778. [Google Scholar] [CrossRef]
© 2019 by the authors. Licensee MDPI, Basel, Switzerland. This article is an open access article distributed under the terms and conditions of the Creative Commons Attribution (CC BY) license (https://creativecommons.org/licenses/by/4.0/).


