Next Article in Journal
A Simple Spectral Interrogation System for Optical Fiber Sensors
Previous Article in Journal
RISAT-1 Compact Polarimetric Calibration and Decomposition
 
 
Font Type:
Arial Georgia Verdana
Font Size:
Aa Aa Aa
Line Spacing:
Column Width:
Background:
Proceeding Paper

Colorimetric Fiber Optic Based Probe for Real-Time Monitoring of Dissolved CO2 in Aquaculture Systems †

1
CIQUP&Chemical and Biochemical Department, Faculty of Sciences, Porto University, 4169-007 Porto, Portugal
2
INESCTEC—Institute for Systems and Computer Engineering, Technology and Science, 4169-007 Porto, Portugal
3
CIIMAR—Interdisciplinary Centre of Marine and Environmental Research, Porto University, 4450-208 Matosinhos, Portugal
4
Department of General and Physical Chemistry, Pécs University, H-7622 Pécs, Hungary
5
Department of Physics and Astronomy of Faculty of Sciences, University of Porto, 4169-007 Porto, Portugal
6
Department of Biology, Faculty of Sciences, Porto University, 4169-007 Porto, Portugal
*
Author to whom correspondence should be addressed.
Presented at the 7th International Symposium on Sensor Science, Napoli, Italy, 9–11 May 2019.
Proceedings 2019, 15(1), 5; https://doi.org/10.3390/proceedings2019015005
Published: 5 July 2019
(This article belongs to the Proceedings of 7th International Symposium on Sensor Science)

Abstract

:
Dissolved carbon dioxide (dCO2) evaluation is very important in many different fields. In this work, a new, integrated, colorimetric-optical fiber-based system for dCO2 monitoring in aquaculture industry was developed. The sensing chemistry is based on colorimetric changes of the used indicator—poly p-nitrophenol (pNPh)—in contact with CO2. Preliminary tests were done in a laboratory environment (calibration) and in a laboratory Recirculating Aquaculture System (RAS) with controlled CO2 injection. The results have shown the suitability of the new sensor for assessing dCO2 dynamics in RAS and its fast detection of low dCO2 concentrations in an appropriate operation range.

1. Introduction

Dissolved carbon dioxide (dCO2) evaluation is very important in many different fields as ocean, river and lake monitoring, food industry control (e.g., aquaculture) and clinical analysis. So far, there are some different methods for CO2 measurements, including gas chromatography, colorimetry, amperometry, potentiometry, UV/VIS spectrophotometry and IR spectrometry [1]. These methods are time-consuming, expensive and usually not suitable for real-time monitoring of dCO2. In the last years, several authors developed optical fiber-based technology for real time detection and quantification of dissolved carbon dioxide [2,3,4,5]. However, some complications appeared when measuring in the field due to the carbonate system complexity [2]. In this work, a new and integrated colorimetric-optical fiber-based system combined with a sensing membrane was developed for dCO2 monitoring in aquaculture industry. The sensing chemistry of the membrane is based on colorimetric changes of the used indicator—p-nitrophenol (pNPh)—in contact with CO2. To increase the sensitivity of the sensing membrane, the indicator was polymerized (poly pNPh) and its derivatives used to make the sensing cocktail. The poly pNPh is kept deprotonated in the sensing membrane by action of a quaternary ammonium hydroxide (QA-OH). In that form, the hydroxyl group is involved in protolithic reactions by action of the hydrogen carbonate formed by the equilibrium H2O-CO2. In the presence of carbon dioxide, the sensing layer changes its optical properties (absorption and refractive index), which changes the posterior optical response. Laboratory tests were made to ensure the suitability of the new sensor for assessing dCO2 dynamics and its detection of low dCO2 concentrations, important for aquaculture operations.

2. Materials and Methods

2.1. Chemical Reagents

The sensing membrane was developed from a cocktail with the following chemicals: p-nitrophenol (ReagentPlus®, ≥99%; Sigma-Aldrich, St. Louis, MO, USA) as a colorimetric indicator for poly pNPh synthesis; a quaternary ammonium hydroxide solution (Sigma-Aldrich, St. Louis, MO, USA) and Hydrogel D4 (AdvanSource Biomaterials, Wilmington, MA, USA). To be able to use the membrane in under water conditions a thin layer of Sylgard 184 (Dow Corning, Midland, Michigan, EUA) as gas permeable silicone was produced and attached to the sensing membrane trough a plastic 3D printed support. The laboratory tests were performed with the injection of controlled concentrations of gaseous CO2 under dry Nitrogen atmosphere both supplied from 50 L bottles (Linde Portugal, Lisboa, Portugal). The chemical calibration, was carried out with citric acid (Sigma-Aldrich, St. Louis, MO, USA) and sodium carbonate (≥99.5%; Sigma-Aldrich, St. Louis, MO, USA).

2.2. Sensing Chemistry and Sensing Layer Preparation.

The sensing chemistry is based on the acid-basic equilibrium of p-nitrophenol (pNPh) derivatives, a well-known colorimetric indicator for titrations with a pKa of around 7.2, that is converted into the anionic form by addition of a quaternary ammonium hydroxide. The sensing layers were attained by dissolution of an amount of poly pNPh in MeOH:H2O mixture and mixed with the QA-OH. After total mixing it was added the Hydrogel D4 solution (10% in Ethanol, 96%) and stirred till obtaining a homogeneous solution. The resulting cocktail was spread on a Mylar foil by spin coating and allowed to dry. After that, the sensing layer was protected with a thin layer of a gas permeable silicone. Furthermore, the total isolation of the sensing layer avoids the direct contact of the sensing film with the tested media making it impossible that the sensor responds to a media pH variation, allowing just the gas passage through it till the detection layer. In its turn, the CO2 will react chemically with the ion pair formed by the polymer with the QA-OH (QA+pNPh·xH2O) as shown in equation 1. That reaction will decrease the internal pH of the membrane become it more colorless. The resulting membrane was attached to an optical fiber probe in transmission mode illuminated with integrated dual wavelength LED combined with collimating lenses to improve the light signal. The signal is received by a micro detector and analyzed by a computer software specially developed for this purpose. Figure 1 shows the preparation scheme of the sensing membrane and the optical fiber probe configuration.
Q A + p N P h . x H 2 O + C O 2 Q A + H C O 3 . x 1 H 2 O . H p N P h

3. Results and Discussion

3.1. Sensor Calibration

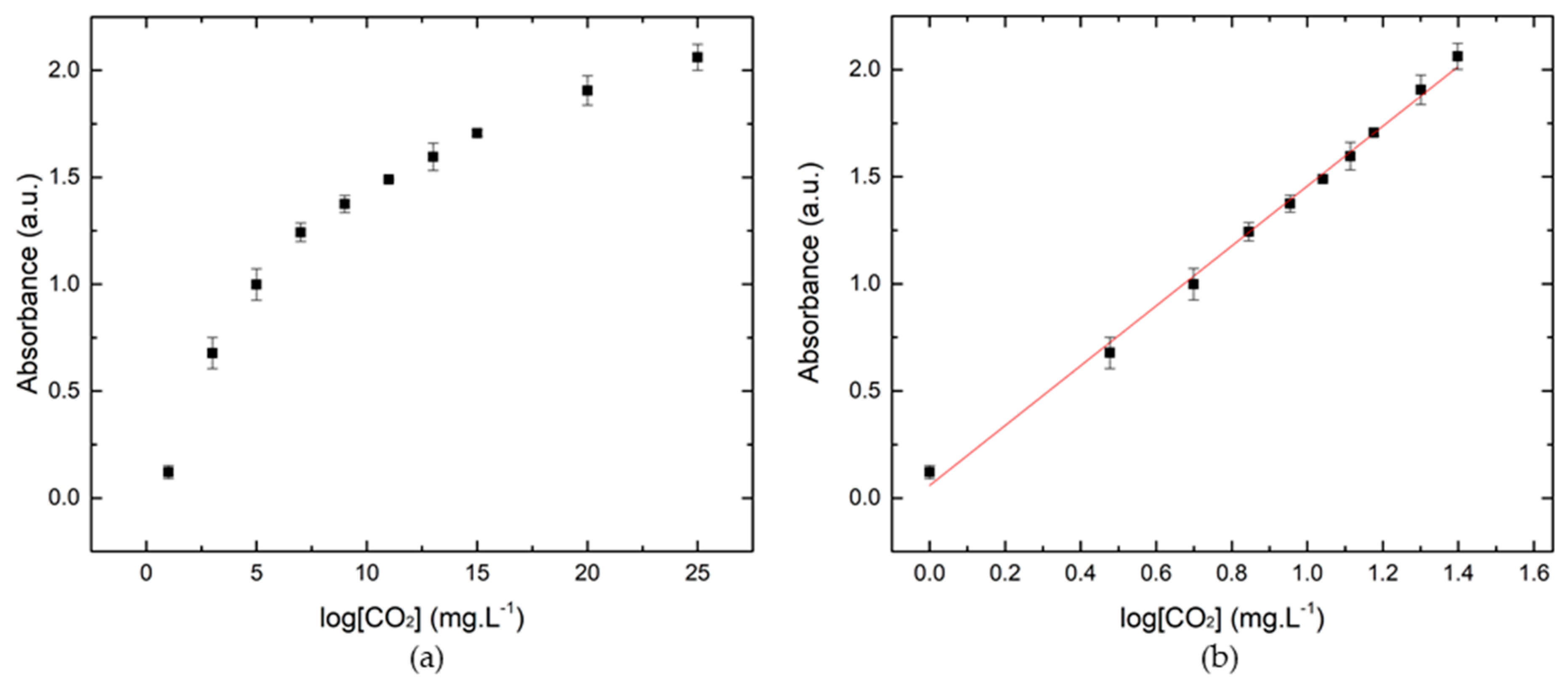
For a more precise dCO2 evaluation it was made a chemical calibration using standard solutions with known concentrations of CO2. The formation of carbon dioxide results from the reaction of sodium carbonate in a citric acid solution as shown in Equation (2). The sensor calibration was made in a range between 1 and 25 mg·L−1 (Figure 2a). Furthermore, for a linear correlation, the graph in Figure 2b is presented in the form of logarithmic of the CO2 concentration (log[CO2]) versus the registered absorbance at each CO2 concentration. The calibration values obtained from data calibration are presented in Table 1.
3 N a 2 C O 3 + 2 C 6 H 8 O 7 2 N a 3 ( C 6 H 5 O 7 ) + 3 H 2 O + 3 C O 2

3.2. Sensor Validation

Tests were made in a laboratory aquaculture system (V = 1 m3 of dechlorinated freshwater), with a culture tank and water filtering systems (Figure 3a). This system recreates the environment of a Recirculating Aquaculture System (RAS) existent in several aquaculture facilities.
Gaseous carbon dioxide was injected in the tank to simulate the presence of a certain biomass of fish, controlled by a flow controller (7.5 mL·min−1) and the experience was repeated twice in the same day. Each CO2 injection lasted 1 h and the registered sensor data is plotted in Figure 3b.
The performance of the new dCO2 sensor is almost the same after two injections, showing up to approximately 14.5 mg·L−1 (see Figure 3b). Furthermore, the carbonate hardness (KH, Aquapex kit test) and the pH of the water (after full injection) were also accessed and from these parameters the dCO2 was calculated to be in the range between 14.3 and 18.0 mg·L−1 (Table 2).

4. Conclusions

In conclusion it is possible to say that the new colorimetric fiber optic based probe is appropriate to work in low CO2 levels situations. These tests have shown the suitability of the sensor and it fast and precise detection in close to real applications. The dissolved carbon dioxide showed by the colorimetric sensor is in the range of concentrations estimated by the pH, carbonate hardness and temperature. It is secure to say that the sensor needs a complementary work on the sensing scheme but also in the sensor body to optimize its functionality and avoid the effect of the external interferences present in the real environment.

Funding

This work is financed by the North Portugal Regional Operational Programme (NORTE 2020), under the PORTUGAL 2020 Partnership Agreement, and through the European Regional Development Fund (ERDF).” within projects «POCI-01-0145-FEDER-006961» and « RAS-ORGMAT (ERA-NET COFASP, refª FCT COFASP/0005/2015)».

Acknowledgments

CIIMAR-BOGA team collaboration is deeply acknowledged.

Conflicts of Interest

The authors declare no conflict of interest.

References

  1. Mills, A.; Yusufu, D. Extruded colour-based plastic film for the measurement of dissolved CO2. Sens. Actuators B 2016, 237, 1076–1084. [Google Scholar] [CrossRef]
  2. Atamanchuk, D.; Tenberg, A.; Thomas, P.J.; Hovdenes, J.; Apostolidis, A.; Huber, C.; Hall, P.O.J. Performance of a lifetime-based optode for measuring partial pressure of carbon dioxide in natural waters. Limnol. Oceanogr. Methods 2014, 12, 63–73. [Google Scholar] [CrossRef]
  3. Contreras-Gutierrez, P.K.; Medina-Rodríguez, S.; Medina-Castillo, A.L.; Fernandez-Sanchez, J.F.; Fernandez-Gutierrez, A. A new highly sensitive and versatile optical sensing film for controlling CO2 in gaseous and aqueous media. Sens. Actuators B 2013, 184, 281–287. [Google Scholar] [CrossRef]
  4. Thomas, P.T.; Atamanchuk, D.; Hovedenes, J.; Tengberg, A. The use of novel optode sensor technologies for monitoring dissolved carbon dioxide and ammonia concentrations under live haul conditions. Aquacult. Eng. 2017, 77, 89–96. [Google Scholar] [CrossRef]
  5. Davenport, J.J.; Hickey, M.; Phillips, J.P.; Kyriacou, P.A. Dual pO2/pCO2 fibre optic sensing film. R. Soc. Chem. Anal. 2017, 142, 1711–1719. [Google Scholar]
Figure 1. Preparation scheme of the sensing membrane and the optical fiber probe configuration.
Figure 1. Preparation scheme of the sensing membrane and the optical fiber probe configuration.
Proceedings 15 00005 g001
Figure 2. (a) Nonlinear calibration curve for freshwater obtained by acid calibration and (b) linear curve for the same calibration using the logarithm of the CO2 concentration.
Figure 2. (a) Nonlinear calibration curve for freshwater obtained by acid calibration and (b) linear curve for the same calibration using the logarithm of the CO2 concentration.
Proceedings 15 00005 g002
Figure 3. (a) Laboratory set-up of a Recirculating Aquaculture System using freshwater and (b) registered data obtained from 1 h of CO2 injection (7.5 mL·min−1).
Figure 3. (a) Laboratory set-up of a Recirculating Aquaculture System using freshwater and (b) registered data obtained from 1 h of CO2 injection (7.5 mL·min−1).
Proceedings 15 00005 g003
Table 1. Calibration values obtained from data represented in Figure 2b.
Table 1. Calibration values obtained from data represented in Figure 2b.
EquationIntercept
(a)
Slope
(b)
Residual Sum of SquaresPearson’sR-SquareAdj.
R-Square
y = a + b.x0.0589 ± 0.03151.3974 ± 0.03110.01220.99800.99610.9956
Table 2. Water parameters used to estimate the amount of dissolved CO2 in water.
Table 2. Water parameters used to estimate the amount of dissolved CO2 in water.
KH (Degrees, German Units)T (°C)pH[dCO2] (mg·L−1)
5–6157.0–7.114.3–18.0 *
Publisher’s Note: MDPI stays neutral with regard to jurisdictional claims in published maps and institutional affiliations.

Share and Cite

MDPI and ACS Style

Mendes, J.; Coelho, L.; Rocha, A.; Pereira, C.; Kovacs, B.; Jorge, P.; Borges, M.T. Colorimetric Fiber Optic Based Probe for Real-Time Monitoring of Dissolved CO2 in Aquaculture Systems. Proceedings 2019, 15, 5. https://doi.org/10.3390/proceedings2019015005

AMA Style

Mendes J, Coelho L, Rocha A, Pereira C, Kovacs B, Jorge P, Borges MT. Colorimetric Fiber Optic Based Probe for Real-Time Monitoring of Dissolved CO2 in Aquaculture Systems. Proceedings. 2019; 15(1):5. https://doi.org/10.3390/proceedings2019015005

Chicago/Turabian Style

Mendes, João, Luís Coelho, André Rocha, Carlos Pereira, Barna Kovacs, Pedro Jorge, and Maria Teresa Borges. 2019. "Colorimetric Fiber Optic Based Probe for Real-Time Monitoring of Dissolved CO2 in Aquaculture Systems" Proceedings 15, no. 1: 5. https://doi.org/10.3390/proceedings2019015005

APA Style

Mendes, J., Coelho, L., Rocha, A., Pereira, C., Kovacs, B., Jorge, P., & Borges, M. T. (2019). Colorimetric Fiber Optic Based Probe for Real-Time Monitoring of Dissolved CO2 in Aquaculture Systems. Proceedings, 15(1), 5. https://doi.org/10.3390/proceedings2019015005

Article Metrics

Back to TopTop