Next Article in Journal
Modelling the Movement of Concentrate Particles in a Flash Furnace
Previous Article in Journal
Extraction of the Optimal Parameters of Single-Diode Photovoltaic Cells Using the Earthworm Optimization Algorithm
 
 
Font Type:
Arial Georgia Verdana
Font Size:
Aa Aa Aa
Line Spacing:
Column Width:
Background:
Abstract

Reduction of Lead Sulfate Using Fine-Grained Carbon-Bearing Materials †

Department of Metallurgy and Recycling, Faculty of Materials Science, Silesian University of Technology, Krasinskiego 8, 40-019 Katowice, Poland
*
Author to whom correspondence should be addressed.
Presented at the 31st International Conference on Modern Metallurgy Iron and Steelmaking 2024, Chorzów, Poland, 25−27 September 2024.
Proceedings 2024, 108(1), 9; https://doi.org/10.3390/proceedings2024108009
Published: 29 August 2024

1. Introduction

The volume of lead production in Poland ranks third in the group of non-ferrous metals, after copper and zinc. Lead is used primarily for the production of lead-acid batteries. These types of batteries are used in internal combustion vehicles, such as cars, motorcycles and mopeds, tractors, and agricultural machines. Lead is an example of a metal whose production from secondary raw materials has, for many years, exceeded production from primary sources, i.e., metal ores [1]. This situation occurs both in Poland and around the world. Lead from secondary raw materials is produced mainly by processing used lead-acid batteries. Pyrometallurgical methods definitely dominate in these processes.
By mass, a used lead-acid battery contains on average 51% lead-containing battery paste, 26% lead-containing metallic fractions, 14% electrolytes, 6% polypropylene and 3% PVC. One of the main ingredients of battery paste is lead sulfate. During pyrometallurgical processing of battery scrap in the presence of carbon-containing fuel/reducer, the lead sulfate contained in the battery paste may transform into the form of PbS, PbO × PbSO4 oraz PbO [2,3,4,5,6,7,8,9,10,11,12,13,14]. The fuel/reducer traditionally used in pyrometallurgical technologies for processing battery scrap is coke or coke breeze. Due to the high prices of these raw materials, attempts are being made to replace them with alternative, cheaper or more efficient fuels/reducers [15,16,17,18,19,20,21,22,23]. As part of the present work, research was carried out on the lead sulfate reduction process using fine-grained carbon-bearing materials in the form of anthracite dust and coal flotation concentrate. For comparison purposes, coke breeze was also used for the reduction process.

2. Research Methodology

The thermogravimetric analysis was carried out using an STA 449 F3 Jupiter analyzer, Netzch (Selb, Germany). The F3 Jupiter analyzer is a device which enables a series of measurements with the use of thermal analysis methods. It contains a graphite furnace which works in a protective atmosphere (argon and helium) and facilitates measurements at up to 2000 °C. Before the experiment, a sample of a particular weight (approx. 200 mg) was placed inside a small DTA/TG Al2O3 crucible which was then attached to the measuring head in the working chamber of the analyzer. The measurements were carried out in an air atmosphere. The adopted sample heating program consisted of three main stages:
  • Heating the sample to temperatures of 900, 925, 950, 9750 and 1000 °C at a rate of 20 °C/min;
  • Isothermal heating of the sample at the chosen temperature for 30 min;
  • Cooling the sample to a temperature of 700 °C.

3. Results and Discussion

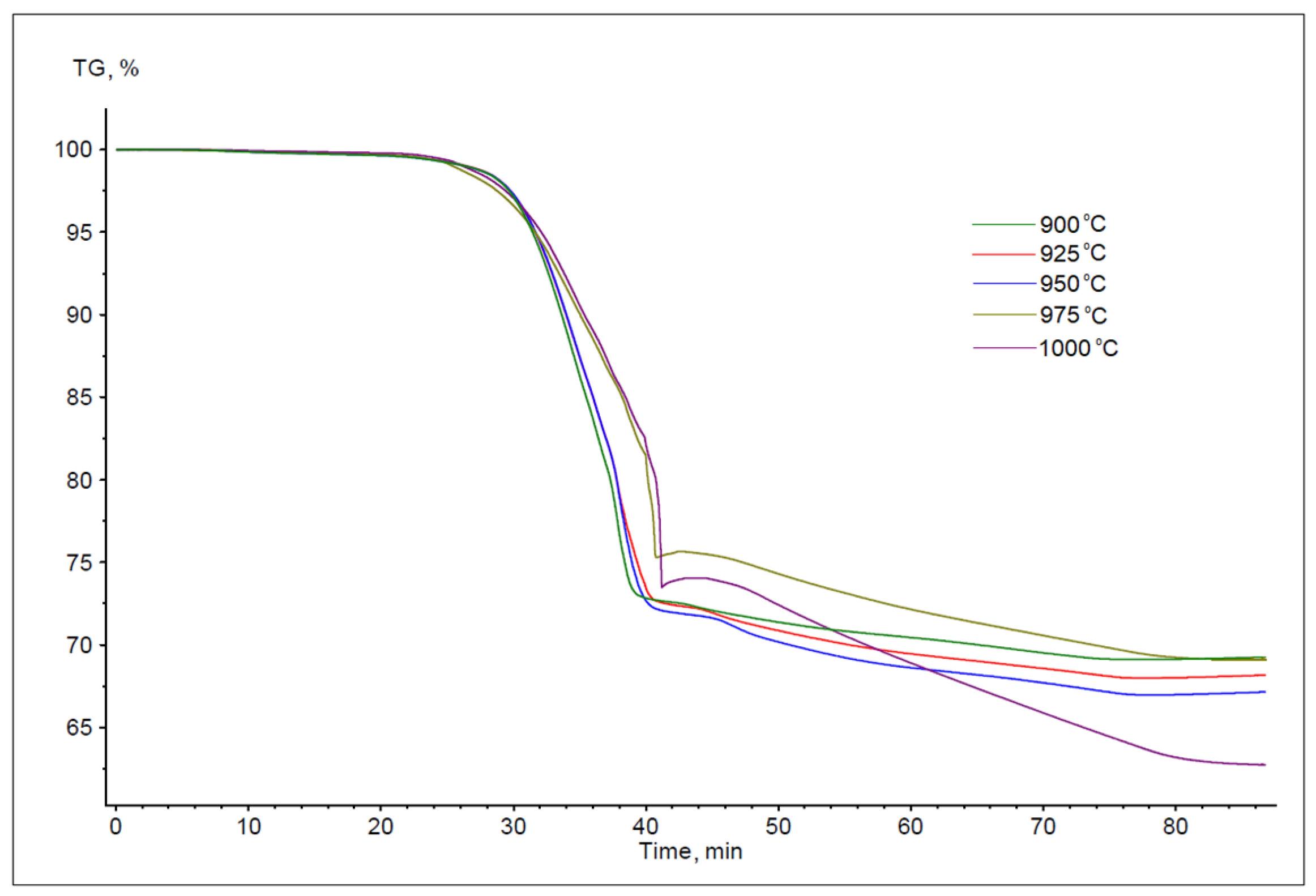
The example results of thermogravimetric tests of the lead sulfate reduction process using three carbon-bearing materials (loose samples) are presented in Figure 1 and Figure 2 and in Table 1. By analyzing the reduction processes carried out for individual PbSO4 samples, it is possible to notice the similar nature of the thermogravimetric curves obtained for all the reducers used. Figure 1 shows a summary of the TG curves obtained for the lead sulfate reduction reaction using anthracite dust as a reducer. As a result of the analysis of thermogravimetric curves, two areas of different mass loss of the tested samples were distinguished (Figure 2). The first stage for all tested samples was characterized by a rapid mass loss associated with the reduction of PbSO4 (formation of PbS), the reduction reaction of the PbO and the Boudouard reaction (formation of CO). In the second range, characterized by slower mass loss, in addition to the above-mentioned reactions, there could also be a reaction between the formed lead sulfide and lead oxide to form lead [24].
Analyzing the results of the tests carried out in this work (Table 2), it can be concluded that the increase in process temperature does not affect the nature of the thermogravimetric curves of lead sulfate reduction. Similarly to the reduction of lead oxide with anthracite dust and coke breeze, the reduction of lead sulfate took place in two successive stages. Reduction using flotoconcentrate was of a slightly different nature, similar to that of lead oxide [23]. The introduction of agglomerate material into the process, for mixtures containing anthracite dust and coke breeze, results in a reduction in the recorded weight loss of the samples. The greatest weight losses of samples were obtained in mixtures in which coke breeze and flotoconcentrate were used as carbon-bearing materials.

4. Summary

In the PbSO4 reduction processes carried out, the nature of the thermogravimetric curves for all used reducers (anthracite dust, flotoconcentrate, coke breeze) does not change with the increase in temperature. In all cases, two ranges can be distinguished, clearly differing in the rate of mass loss.
In the analyzed temperature range (900–1000 °C), in the case of a bulk charge using anthracite dust, an increase in temperature increases the efficiency of the process (the sample mass loss increases). The maximum mass loss was recorded at a temperature of 1000 °C and amounted to approximately 37%. When using coke breeze, the highest weight loss was observed at a temperature of 950 °C and it amounted to approximately 42%. When using flotoconcentrate, the highest weight loss was observed at a temperature of 925 °C (approximately 43%). Agglomeration of input materials does not improve process efficiency.
Based on the analysis of the research results, it can be concluded that coal flotate concentrate may be a better alternative to the traditionally used fuel/reducer (coke), due to its similar reduction capabilities and significantly lower price.

Author Contributions

Methodology, G.S.; validation, T.M.; formal analysis, G.S.; investigation, T.M.; data curation, T.M.; writing—original draft preparation, G.S.; writing—review and editing, T.M.; visualization, T.M.; supervision, G.S. All authors have read and agreed to the published version of the manuscript.

Funding

This research was funded by the Silesian University of Technology, grant number 11/020/BK_23/0104.

Institutional Review Board Statement

Not applicable.

Informed Consent Statement

Not applicable.

Data Availability Statement

The raw data supporting the conclusions of this article will be made available by the authors on request.

Conflicts of Interest

The authors declare no conflicts of interest.

References

  1. Arnout, S.; Nagels, E.; Blanpain, B. Thermodynamics of Lead Recycling. In Proceedings of the European Metallurgical Conference EMC 2011, Düsseldorf, Germany, 26–29 June 2011. [Google Scholar]
  2. Idoine, N.E.; Raycraft, E.R.; Hobbs, S.F.; Everett, P.; Evans, E.J.; Mills, A.J.; Currie, D.; Horn, S.; Shaw, R.A. World Mineral Production 2018–2022; British Geological Survey: Keyworth, Nottingham, 2024; ISBN 978-0-85272-800-0. [Google Scholar]
  3. Rand, D.A.J. Valve-Regulated Lead-Acid Batteries, 1st ed.; Elsevier: Amsterdam, The Netherlands, 2004; ISBN 978-0-444-50746-4. [Google Scholar]
  4. Quirijnen, L. How to Implement Efficient Local Lead–Acid Battery Recycling. J. Power Sources 1999, 78, 267–269. [Google Scholar] [CrossRef]
  5. HSC Chemistry 2024. Available online: https://rawmarks.info/science/chemistry/ (accessed on 26 July 2024).
  6. Malecha, D.; Małecki, S.; Jarosz, P.; Kowalik, R.; Żabiński, P. Recovery of Pure Lead-Tin Alloy from Recycling Spent Lead-Acid Batteries. Materials 2023, 16, 5882. [Google Scholar] [CrossRef] [PubMed]
  7. Zhu, X.; Li, L.; Sun, X.; Yang, D.; Gao, L.; Liu, J.; Kumar, R.V.; Yang, J. Preparation of Basic Lead Oxide from Spent Lead Acid Battery Paste via Chemical Conversion. Hydrometallurgy 2012, 117–118, 24–31. [Google Scholar] [CrossRef]
  8. Jie, X.; Yao, Z.; Wang, C.; Qiu, D.; Chen, Y.; Zhang, Y.; Ma, B.; Gao, W. Progress in Waste Lead Paste Recycling Technology from Spent Lead–Acid Battery in China. J. Sustain. Metall. 2022, 8, 978–993. [Google Scholar] [CrossRef]
  9. Ning, P.; Pan, J.-Q.; Li, X.; Zhou, Y.; Chen, J.-F.; Wang, J.-X. Accelerated Desulphurization of Waste Lead Battery Paste in a High-Gravity Rotating Packed Bed. Chem. Eng. Process. Process Intensif. 2016, 104, 148–153. [Google Scholar] [CrossRef]
  10. Iliev, V.; Pavlov, D. The Influence of PbO Modification on the Kinetics of the 4PbO×PbSO4 Lead-Acid Battery Paste Formation. J. Appl. Electrochem. 1979, 9, 555–562. [Google Scholar] [CrossRef]
  11. Zhang, W.; Yang, J.; Wu, X.; Hu, Y.; Yu, W.; Wang, J.; Dong, J.; Li, M.; Liang, S.; Hu, J.; et al. A Critical Review on Secondary Lead Recycling Technology and Its Prospect. Renew. Sustain. Energy Rev. 2016, 61, 108–122. [Google Scholar] [CrossRef]
  12. Ramus, K.; Hawkins, P. Lead/Acid Battery Recycling and the New Isasmelt Process. J. Power Sources 1993, 42, 299–313. [Google Scholar] [CrossRef]
  13. Sun, Z.; Cao, H.; Zhang, X.; Lin, X.; Zheng, W.; Cao, G.; Sun, Y.; Zhang, Y. Spent Lead-Acid Battery Recycling in China—A Review and Sustainable Analyses on Mass Flow of Lead. Waste Manag. 2017, 64, 190–201. [Google Scholar] [CrossRef] [PubMed]
  14. Li, J.; Cao, J.; Chen, Z.; Yu, J.; Zhang, J.; Chen, B.; Wu, L.; Zhou, S.; Rao, Y. Improving the Performance of Recovered Lead Oxide Powder from Waste Lead Paste as Active Material for Lead-acid Battery. Int. J. Energy Res. 2022, 46, 14268–14282. [Google Scholar] [CrossRef]
  15. Niesler, M.; Stecko, J.; Blacha, L.; Oleksiak, B. Application of Fine-Grained Coke Breeze Fractions in the Process of Iron Ore Sintering. Metalurgija 2014, 53, 37–39. [Google Scholar]
  16. Siwiec, G.; Oleksiak, B.; Vaskova, I.; Burdzik, R. A Study on Reduction of Copper Slag from the Flash Furnace with the Use of Anthracite Dust. Metalurgija 2014, 53, 343–345. [Google Scholar]
  17. Labaj, J.; Slowikowski, M.; Zymla, W.; Lipart, J. The Research on Reactivity of Alternative Carbon Reducers. Metalurgija 2013, 52, 68–70. [Google Scholar]
  18. Matuła, T.; Siwiec, G. Reduction of Lead Oxide by Fine-Grained Carbonaceous Materials. Arch. Metall. Mater. 2019, 64, 647–652. [Google Scholar] [CrossRef]
  19. Kala, S.; Mishra, A. Battery Recycling Opportunity and Challenges in India. Mater. Today Proc. 2021, 46, 1543–1556. [Google Scholar] [CrossRef]
  20. Zakiyya, H.; Distya, Y.D.; Ellen, R. A Review of Spent Lead-Acid Battery Recycling Technology in Indonesia: Comparison and Recommendation of Environment-Friendly Process. IOP Conf. Ser. Mater. Sci. Eng. 2018, 288, 012074. [Google Scholar] [CrossRef]
  21. Li, M.; Liu, J.; Han, W. Recycling and Management of Waste Lead-Acid Batteries: A Mini-Review. Waste Manag. Res. 2016, 34, 298–306. [Google Scholar] [CrossRef] [PubMed]
  22. Díaz, G.; Andrews, D. Placid—A Clean Process for Recycling Lead from Batteries. JOM 1996, 48, 29–31. [Google Scholar] [CrossRef]
  23. Liliu, Q.; Liu, C. Current Status of Battery Recycling and Technology. J. Phys. Conf. Ser. 2023, 2608, 012011. [Google Scholar] [CrossRef]
  24. Matuła, T.; Siwiec, G. Thermogravimetric (TG) Studies of the Reaction of Lead Oxide with Lead Sulphide. Metalurgija 2023, 62, 279–281. [Google Scholar]
Figure 1. Summary of thermogravimetric curves of the PbSO4 reaction using anthracite dust (loose samples).
Figure 1. Summary of thermogravimetric curves of the PbSO4 reaction using anthracite dust (loose samples).
Proceedings 108 00009 g001
Figure 2. Thermogravimetric curve of PbSO4 reduction using anthracite dust at a temperature of 900 °C (loose sample).
Figure 2. Thermogravimetric curve of PbSO4 reduction using anthracite dust at a temperature of 900 °C (loose sample).
Proceedings 108 00009 g002
Table 1. Changes in the mass of samples during the PbSO4 reaction using anthracite dust (loose form).
Table 1. Changes in the mass of samples during the PbSO4 reaction using anthracite dust (loose form).
SubstratesTemperature, °CTotal Mass Change, %
PbSO4 + anthracite dust900−30.74
925−31.77
950−32.71
975−32.11
1000−37.17
Table 2. Changes in sample mass during PbSO4 reduction (loose and agglomerate samples).
Table 2. Changes in sample mass during PbSO4 reduction (loose and agglomerate samples).
SubstratesSample FormTemperature, °CTotal Mass Change, %
PbSO4 + anthracite dustloose900−30.74
agglomerate−29.69
loose1000−37.17
agglomerate−18.88
PbSO4 + flotoconcentrateloose900−41.30
agglomerate−38.34
loose1000−41.66
agglomerate−43.22
PbSO4 + coke breezeloose900−39.51
agglomerate−33.59
loose1000−39.67
agglomerate−26.43
Disclaimer/Publisher’s Note: The statements, opinions and data contained in all publications are solely those of the individual author(s) and contributor(s) and not of MDPI and/or the editor(s). MDPI and/or the editor(s) disclaim responsibility for any injury to people or property resulting from any ideas, methods, instructions or products referred to in the content.

Share and Cite

MDPI and ACS Style

Siwiec, G.; Matuła, T. Reduction of Lead Sulfate Using Fine-Grained Carbon-Bearing Materials. Proceedings 2024, 108, 9. https://doi.org/10.3390/proceedings2024108009

AMA Style

Siwiec G, Matuła T. Reduction of Lead Sulfate Using Fine-Grained Carbon-Bearing Materials. Proceedings. 2024; 108(1):9. https://doi.org/10.3390/proceedings2024108009

Chicago/Turabian Style

Siwiec, Grzegorz, and Tomasz Matuła. 2024. "Reduction of Lead Sulfate Using Fine-Grained Carbon-Bearing Materials" Proceedings 108, no. 1: 9. https://doi.org/10.3390/proceedings2024108009

APA Style

Siwiec, G., & Matuła, T. (2024). Reduction of Lead Sulfate Using Fine-Grained Carbon-Bearing Materials. Proceedings, 108(1), 9. https://doi.org/10.3390/proceedings2024108009

Article Metrics

Back to TopTop