Simulating Maize Response to Split-Nitrogen Fertilization Using Easy-to-Collect Local Features
Abstract
1. Introduction
2. Materials and Methods
2.1. Database
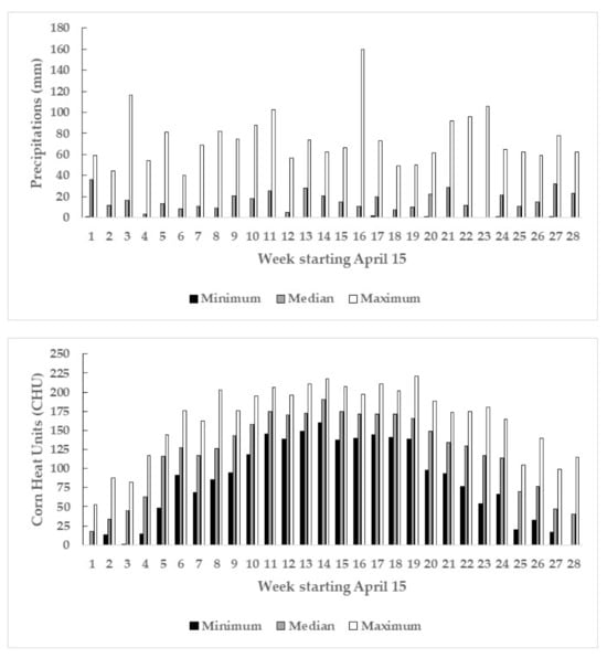
2.2. Features
2.3. Missing Data
2.4. Data Transformation
2.5. Machine Learning and Mixed Models
2.6. Universality Test
3. Results
3.1. Models
3.1.1. Relative Importance of Features
3.1.2. Model Accuracy
3.2. On-Farm Universality Tests for Model Generalization Ability
4. Discussion
4.1. Model Accuracy
4.2. Economic and Environmental Costs of Nitrogen Fertilization
4.3. Collaborative Research
5. Conclusions
Author Contributions
Funding
Data Availability Statement
Acknowledgments
Conflicts of Interest
References
- Mesbah, M.; Pattey, E.; Jégo, G.; Didier, A.; Geng, X.; Tremblay, N.; Zhang, F. New model-based insights for strategic nitrogen recommendations adapted to given soil and climate. Agron. Sustain. Dev. 2018, 38, 36. [Google Scholar] [CrossRef]
- Parent, L.E.; Gagné, G. Guide de Référence en Fertilisation, 2nd ed.; Centre de Référence en Agriculture et Agroalimentaire du Québec (CRAAQ): Québec, QC, Canada, 2010. (In French) [Google Scholar]
- Nyiraneza, J.; N’Dayegamiye, A.; Gasser, M.O.; Giroux, M.; Grenier, M.; Landry, C.P.; Guertin, S. Soil and crop parameters related to maize nitrogen response in Eastern Canada. Agron. J. 2010, 102, 1478–1490. [Google Scholar] [CrossRef]
- Kablan, L.A.; Chabot, V.; Mailloux, A.; Bouchard, M.-È.; Fontaine, D.; Bruulsema, T. Variability in maize response to nitrogen fertilizer in Eastern Canada. Agron. J. 2017, 109, 2231–2242. [Google Scholar] [CrossRef]
- Zebarth, B.J.; Drury, C.F.; Tremblay, N.; Cambouris, A.N. Opportunities for improved fertilizer nitrogen management in production of arable crops in eastern Canada: A review. Can. J. Soil Sci. 2009, 89, 113–132. [Google Scholar] [CrossRef]
- Stewart, B.A.; Lal, R. The nitrogen dilemma: Food or the environment. J. Soil. Water Conserv. 2017, 72, 124A–128A. [Google Scholar] [CrossRef]
- Shcherbak, I.; Millar, N.; Robertson, G.P. Global metaanalysis of the nonlinear response of soil nitrous oxide (N2O) emissions to fertilizer nitrogen. Proc. Natl. Acad. Sci. USA 2014, 111, 9199–9204. [Google Scholar] [CrossRef]
- Lawrence, N.C.; Tenesaca, C.G.; VanLoocke, A.; Hall, S.J. Nitrous oxide emissions from agricultural soils challenge climate sustainability in the US Maize Belt. Proc. Natl. Acad. Sci. USA 2021, 118, e2112108118. [Google Scholar] [CrossRef]
- Souza, E.F.C.; Rosen, C.J.; Venterea, R.T.; Tahir, M. Intended and unintended impacts of nitrogen-fixing microorganisms and microbial inhibitors on nitrogen losses in contrasting maize cropping systems. J. Environ. Qual. 2023, 52, 972–983. [Google Scholar] [CrossRef]
- Mandrini, G.; Archontoulis, S.V.; Pittelkow, C.M.; Mieno, T.; Martin, N.F. Simulated dataset of corn response to nitrogen over thousands of fields and multiple years in Illinois. Data Brief 2022, 40, 107753. [Google Scholar] [CrossRef]
- Hoben, J.P.; Gehl, R.J.; Millar, N.; Grace, P.R.; Robertson, G.P. Nonlinear nitrous oxide (N2O) response to nitrogen fertilizer in on-farm corn crops of the US Midwest. Glob. Change Biol. 2011, 17, 1140–1152. [Google Scholar] [CrossRef]
- Morris, T.F.; Murrell, T.S.; Beegle, D.B.; Camberato, J.J.; Ferguson, R.B.; Grove, J.; Ketterings, Q.; Kyveryga, P.M.; Laboski, C.A.M.; McGrath, J.M.; et al. Strengths and Limitations of Nitrogen Rate Recommendations for Maize and Opportunities for Improvement. Agron. J. 2017, 110, 1–37. [Google Scholar] [CrossRef]
- Ransom, C.J.; Kitchen, N.R.; Camberato, J.J.; Carter, P.R.; Ferguson, R.B.; Fernandez, F.G.; Franzen, D.W.; Laboski, C.A.M.; Myers, D.B.; Nafziger, E.D.; et al. Corn nitrogen rate recommendation tools’ performance across eight US midwest corn belt states. Agron. J. 2020, 112, 470–492. [Google Scholar] [CrossRef]
- Forest Lavoie Conseil. Competitivity of Quebec Grain Producers (AOI-2-19-S-124); Addendum to Final Report; Quebec Ministry of Agriculture, Fisheries and Food (MAPAQ): Quebec City, QC, Canada, 2020; p. 198. (In French) [Google Scholar]
- Mueller, S.M.; Vyn, T.J. Maize Plant Resilience to N Stress and Post-silking N Capacity Changes over Time: A Review. Front. Plant Sci. 2016, 7, 53. [Google Scholar] [CrossRef] [PubMed]
- Ciampitti, I.; Vyn, T.J. Understanding Global and Historical Nutrient Use Efficiencies for Closing Maize Yield Gaps. Agron. J. 2014, 106, 2107–2117. [Google Scholar] [CrossRef]
- Kyveryga, P.M.; Blackmer, T.M.; Caragea, P.C. Categorical Analysis of Spatial Variability in Economic Yield Response of Maize to Nitrogen Fertilization. Agron. J. 2011, 103, 796–804. [Google Scholar] [CrossRef]
- Kyveryga, P.M.; Blackmer, T.M.; Morris, T.F. Disaggregating Model Bias and Variability when Calculating Economic Optimum Rates of Nitrogen Fertilization for Maize. Agron. J. 2007, 99, 1048–1056. [Google Scholar] [CrossRef]
- Kyveryga, P.M.; Blackmer, A.M.; Morris, T.F. Alternative Benchmarks for Economically Optimal Rates of Nitrogen Fertilization for Corn. Agron. J. 2007, 99, 1057–1065. [Google Scholar] [CrossRef]
- Correndo, A.A.; Jose, L.; Rotundo, J.L.; Tremblay, N.; Archontoulis, S.; Coulter, J.A.; Ruiz-Diaz, D.; Franzen, D.; Franzluebbers, A.L.; Nafziger, E.; et al. Assessing the uncertainty of maize yield without nitrogen fertilization. Field Crops Res. 2021, 260, 107985. [Google Scholar] [CrossRef]
- Bachmaier, M. Sources of inaccuracy when estimating economically optimum N fertilizer rates. Agric. Sci. 2012, 3, 331–338. [Google Scholar] [CrossRef]
- Cerrato, M.E.; Blackmer, A.M. Comparison of models for describing maize yield response to nitrogen fertilizer. Agron. J. 1990, 82, 138–143. [Google Scholar] [CrossRef]
- Sela, S.; van Es, H.M.; Moebius-Clune, B.N.; Marjerison, R.; Melkonian, J.; Moebius-Clune, D.; Schindelbeck, R.; Gomes, S. Adapt-N Outperforms Grower-Selected Nitrogen Rates in Northeast and Midwestern United States Strip Trials. Agron. J. 2016, 108, 1726–1734. [Google Scholar] [CrossRef]
- Basford, K.E.; Federer, W.T.; Delacy, I.H. Mixed Model Formulations for Multi-Environment Trials. Agron. J. 2004, 96, 143–147. [Google Scholar]
- Tolhurst, D.J.; Gaynor, R.C.; Gardunia, B.; Hickey, J.M.; Gorjanc, G. Genomic selection using random regressions on known and latent environmental covariates. Theor. Appl. Genet. 2022, 135, 3393–3415. [Google Scholar] [CrossRef] [PubMed]
- Parent, S.-É.; Leblanc, M.A.; Parent, A.C.; Coulibali, Z.; Parent, L.E. Site-Specific Multilevel Modeling of Potato Response to Nitrogen Fertilization. Front. Environ. Sci. 2017, 5, 81. [Google Scholar] [CrossRef]
- Ransom, C.J.; Kitchen, N.R.; Camberato, J.J.; Carter, P.R.; Ferguson, R.B.; Fernandez, F.G.; Franzen, D.W.; Laboski, C.A.M.; Myers, D.B.; Nafziger, E.D.; et al. Statistical and machine learning methods evaluated for incorporating soil and weather into maize nitrogen recommendations. Comput. Electron. Agric. 2019, 164, 104872. [Google Scholar] [CrossRef]
- Coulibali, Z.; Cambouris, A.N.; Parent, S.-É. Site-specific machine learning predictive fertilization models for potato crops in Eastern Canada. PLoS ONE 2020, 15, e0230888. [Google Scholar] [CrossRef]
- Hahn, L.; Parent, L.E.; Paviani, A.C.; Feltrim, A.L.; Wamser, A.; Rozane, D.E.; Ender, M.M.; Grando, D.L.; Moura-Bueno, J.M.; Brunetto, G. Garlic (Allium sativum) feature-specific nutrient dosage based on using machine learning models. PLoS ONE 2022, 17, e0268516. [Google Scholar] [CrossRef]
- Hu, S.; Wang, Y.G.; Drovandi, C.; Cao, T. Predictions of machine learning with mixed-effects in analyzing longitudinal data under model misspecification. Stat. Methods Appl. 2023, 32, 681–711. [Google Scholar] [CrossRef]
- Petrazzini, B.O.; Naya, H.; Lopez-Bello, F.; Vazquez, G.; Spangenberg, L. Evaluation of different approaches for missing data imputation on features associated to genomic data. BioData Min. 2021, 14, 44. [Google Scholar] [CrossRef]
- Kokla, M.; Virtanen, I.; Kolehmainen, M.; Paananen, J.; Hanhineva, K. Random forest-based imputation outperforms other methods for imputing LC-MS metabolomics data: A comparative study. BMC Bioinform. 2019, 20, 492. [Google Scholar] [CrossRef]
- Sinclair, T.R.; Seligman, N. Criteria for publishing papers on crop modeling. Field Crops Res. 2000, 8, 165–172. [Google Scholar] [CrossRef]
- Westhues, C.C.; Simianer, H.; Beissinger, T.M. learnMET: An R package to apply machine learning methods for genomic prediction using multi-environment trials data. G3 2022, 12, jkac226. [Google Scholar] [CrossRef] [PubMed]
- Chlningaryan, A.; Sukkarieh, S.; Whelan, B. Machine learning approaches for crop yield prediction and nitrogen status estimation in precision agriculture: A review. Comput. Electron. Agric. 2018, 151, 61–69. [Google Scholar] [CrossRef]
- Huynh-Thu, V.A.; Geurts, P. Unsupervised Gene Network Inference with Decision Trees and Random Forests. In Gene Regulatory Networks; Methods in Molecular Biology; Sanguinetti, G., Huynh-Thu, V., Eds.; Humana Press: New York, NY, USA, 2019; Volume 1883. [Google Scholar] [CrossRef]
- Wang, X.; Miao, Y.; Dong, R.; Zha, H.; Xia, T.; Chen, Z.; Kusnierek, K.; Mi, G.; Sun, H.; Li, M. Machine learning-based in-season nitrogen status diagnosis and side-dress nitrogen recommendation for maize. Eur. J. Agron. 2021, 123, 126193. [Google Scholar] [CrossRef]
- Qin, Z.; Myers, D.B.; Ransom, C.J.; Kitchen, N.R.; Liang, S.Z.; Camberato, J.J.; Carter, P.R.; Ferguson, R.B.; Fernandez, F.G.; Franzen, D.W.; et al. Application of Machine Learning Methodologies for Predicting Maize Economic Optimal Nitrogen Rate. Agron. J. 2018, 110, 2596–2607. [Google Scholar] [CrossRef]
- Shahhosseini, M.; Hu, G.; Huber, I.; Archontoulis, S.V. Coupling machine learning and crop modeling improves crop yield prediction in the US Maize Belt. Sci. Rep. 2021, 11, 1606. [Google Scholar] [CrossRef]
- Ziadi, N.; Cambouris, A.N.; Nyraneza, J.; Nolin, M.C. Across a landscape, soil texture controls the optimum rate of N fertilizer for maize production. Field Crops Res. 2013, 148, 78–85. [Google Scholar] [CrossRef]
- Tremblay, N.; Bouroubi, Y.M.; Belec, C.; Mullen, R.W.; Kitchen, N.R.; Thomason, W.E.; Ebelhar, S.; Mengel, D.B.; Raun, W.R.; Francis, D.D.; et al. Maize response to nitrogen is influenced by soil texture and weather. Agron. J. 2012, 104, 1658–1671. [Google Scholar] [CrossRef]
- Cambouris, A.N.; Ziadi, N.; Perron, I.; Alotaibi, K.D.; St. Luce, M.; Tremblay, N. Maize yield components response to nitrogen fertilizer as a function of soil texture. Can. J. Soil Sci. 2016, 96, 386–399. [Google Scholar] [CrossRef]
- Anderson, C.J.; Kyveyga, P.M. Combining on-farm and climate data for risk management of nitrogen decisions. Clim. Risk Manag. 2016, 13, 10–18. [Google Scholar] [CrossRef]
- Alotaibi, K.D.; Cambouris, A.N.; St. Luce, M.; Ziadi, N.; Tremblay, N. Economic Optimum Nitrogen Fertilizer Rate and Residual Soil Nitrate as Influenced by Soil Texture in Maize Production. Agron. J. 2018, 110, 2233–2242. [Google Scholar] [CrossRef]
- Parent, S.É.; Dossou-Yovo, W.; Ziadi, N.; Leblanc, M.; Tremblay, G.; Pellerin, A.; Parent, L.E. Corn response to banded phosphorus fertilizers with or without manure application in Eastern Canada. Agron. J. 2020, 112, 2176–2187. [Google Scholar] [CrossRef]
- De Wit, C.T. Resource use efficiency in agriculture. Agric. Syst. 1992, 40, 125–151. [Google Scholar] [CrossRef]
- Munson, R.D.; Nelson, W.L. Principles and practices in plant analysis. In Soil Testing and Plant Analysis, 3rd ed.; Westerman, R.L., Ed.; Book Series #3; Soil Science Society of America Inc.: Madison, WI, USA, 1990; pp. 359–387. [Google Scholar]
- Government of Quebec. Improve Soil Health and Soil Conservation. Available online: https://cdn-contenu.quebec.ca/cdn-contenu/adm/min/agriculture-pecheries-alimentation/politique-bioalimentaire/agriculture-durable/FI_agriculturedurable_indicateur_sol_MAPAQ.pdf (accessed on 5 May 2023)In French.
- Norton, J.; Ouyang, Y. Controls and Adaptive Management of Nitrification in Agricultural Soils. Front. Microbiol. 2019, 10, 1931. [Google Scholar] [CrossRef]
- Lengwick, L.L. Spatial variability of early season nitrogen availability indicators in corn. Commun. Soil Sci. Plant Anal. 1997, 28, 1271–1736. [Google Scholar]
- Gülser, C.; Ekberli, I.; Candemir, F.; Demir, Z. Spatial variability of soil physical properties in a cultivated field. Eurasian J. Soil Sci. 2016, 5, 192–200. [Google Scholar] [CrossRef][Green Version]
- Magdoff, F. Understanding the Magdoff Pre-Sidedress Nitrate Test for Maize. J. Prod. Agric. 1991, 4, 297–305. [Google Scholar] [CrossRef]
- Mukherjee, A.; Lal, R. Comparison of Soil Quality Index Using Three Methods. PLoS ONE 2014, 9, e105981. [Google Scholar] [CrossRef]
- Reichert, J.M.; Susuki, L.E.A.S.; Reinert, D.J.; Horn, R.; Hakansson, I. Reference bulk density and critical degree-of-compactness for no-till crop production in a subtropical highly weathered soil. Soil Tillage Res. 2009, 102, 242–254. [Google Scholar] [CrossRef]
- Horn, R. Time dependence of soil mechanical properties and pore functions for arable soils. Soil Sci. Soc. Am. J. 2004, 68, 1131–1137. [Google Scholar] [CrossRef]
- Stewart, G.A.; Vyn, T.J. Influence of high axle loads and tillage systems on soil properties and grain maize yield. Soil Tillage Res. 1994, 29, 229–235. [Google Scholar] [CrossRef]
- Tabi, M.; Tardif, L.; Carrier, D.; Laflamme, G.; Rompré, M. Survey of Soil Degradation Problems in Quebec; Report Synthesis 90-130156; MAPAQ: Québec City, QC, Canada, 1990; ISBN 2-550-211161-8. (In French) [Google Scholar]
- Xu, Y.; Jimenez, M.A.; Parent, S.-É.; Leblanc, M.; Ziadi, N.; Parent, L.E. Compaction of Coarse-Textured Soils: Balance Models across Mineral and Organic Compositions. Front. Ecol. Evol. 2017, 5, 83. [Google Scholar] [CrossRef]
- Håkansson, I.; Lipiec, J. A review of the usefulness of relative bulk density values in studies of soil structure and compaction. Soil Tillage Res. 2000, 53, 71–85. [Google Scholar] [CrossRef]
- Abu-Hamdeh, N.H. Compaction and subsoiling effects on maize growth and soil bulk density. Soil Sci. Soc. Am. 2003, 67, 1213–1219. [Google Scholar] [CrossRef]
- Correndo, A.A.; Tremblay, N.; Coulter, J.A.; Ruiz-Diaz, D.; Franzen, D.; Nafziger, E.; Prasad, V.; Moro Rosso, L.H.; Steinke, K.; Du, J.; et al. Unraveling uncertainty drivers of the maize yield response to nitrogen: A Bayesian and machine learning approach. Agric. For. Meteorol. 2021, 311, 108668. [Google Scholar] [CrossRef]
- Van Roekel, R.J.; Coulter, J.A. Agronomic response of corn to planting date and plant density. Agron. J. 2011, 103, 1414. [Google Scholar] [CrossRef]
- Aitchison, J. Principles of compositional data analysis. Multivar. Anal. Its Appl. IMS Lect. Notes Monogr. Ser. 1994, 24, 73–81. [Google Scholar]
- Aitchison, J. The Statistical Analysis of Compositional Data; Chapman and Hall: London, UK, 1986. [Google Scholar]
- Egozcue, J.J.; Pawlowsky-Glahn, V. Groups of parts and their balances in compositional data analysis. Math. Geol. 2005, 37, 795–828. [Google Scholar] [CrossRef]
- Leblanc, M.A.; Gagné, G.; Parent, L.E. Numerical clustering of soil series using profile morphological attributes for potato. In Digital Soil Morphometrics; Hartemink, A.E., Minasny, B., Eds.; Springer: New York, NY, USA, 2016; pp. 253–266. [Google Scholar] [CrossRef]
- Padarian, J.; Minasny, B.; McBratney, A.B. Machine learning and soil sciences: A review aided by machine learning tools. SOIL 2020, 6, 35–52. [Google Scholar] [CrossRef]
- Robnik- Šikonja, M.; Kononenko, I. Theoretical and Empirical Analysis of ReliefF and RReliefF. Mach. Learn. J. 2003, 53, 23–69. [Google Scholar] [CrossRef]
- Ravelojaona, N.; Jégo, G.; Ziadi, N.; Mollier, A.; Lafond, J.; Karam, A.; Morel, C. STICS Soil–Crop Model Performance for Predicting Biomass and Nitrogen Status of Spring Barley Cropped for 31 Years in a Gleysolic Soil from Northeastern Quebec (Canada). Agronomy 2023, 13, 2540. [Google Scholar] [CrossRef]
- Wallace, A.; Wallace, G.A. Limiting factors, high yields, and law of the maximum. Hortic. Rev. 1993, 13, 409–441. [Google Scholar]
- Gao, J.; Zeng, W.; Ren, Z.; Ao, C.; Lei, G.; Gaiser, T.; Srivastava, A.K. A Fertilization Decision Model for Maize, Rice, and Soybean Based on Machine Learning and Swarm Intelligent Search Algorithms. Agronomy 2023, 13, 1400. [Google Scholar] [CrossRef]
- An, Q.; Rahman, S.; Zhou, J.; Kang, J.J. A Comprehensive Review on Machine Learning in Healthcare Industry: Classification, Restrictions, Opportunities and Challenges. Sensors 2023, 23, 4178. [Google Scholar] [CrossRef] [PubMed]
- Monaco, A.; Pantaleo, E.; Amoroso, N.; Lcalamita, A.; Lo Guidice, C.; Fonzoni, A.; Fosso, B.; Picardi, E.; Tangaro, S.; Pesole, G.; et al. A primer on machine learning techniques for genomic applications. Comput. Struct. Biotechnol. J. 2021, 19, 4345–4359. [Google Scholar] [CrossRef] [PubMed]
- Cerro, J.; Cruz Ulloa, C.; Barrientos, A.; León Rivas, J. Unmanned Aerial Vehicles in Agriculture: A Survey. Agronomy 2021, 11, 203. [Google Scholar] [CrossRef]
- Government of Canada. Update of the Pan-Canadian Approach to Carbon Pollution Pricing. 2023–2030. Available online: https://www.canada.ca/en/environment-climate-change/services/climate-change/pricing-pollution-how-it-will-work/carbon-pollution-pricing-federal-benchmark-information/federal-benchmark-2023-2030.html (accessed on 22 April 2023).
- Omonode, R.A.; Halvorson, A.D.; Gagnon, B.; Vyn, T.J. Achieving Lower Nitrogen Balance and Higher Nitrogen Recovery Efficiency Reduces Nitrous Oxide Emissions in North America’s Maize Cropping Systems. Front. Plant Sci. 2017, 8, 1080. [Google Scholar] [CrossRef] [PubMed]
- Mackenzie, A.F.; Fan, M.X.; Cadrin, F. Nitrous Oxide Emission in Three Years as Affected by Tillage, Maize-Soybean-Alfalfa Rotations, and Nitrogen Fertilization. J. Environ. Qual. 1998, 27, 698–703. [Google Scholar] [CrossRef]
- Drury, C.F.; Yang, X.M.; Reynolds, W.D.; McLaughlin, N.B. Nitrous oxide and carbon dioxide emissions from monoculture and rotational cropping of maize, soybean and winter wheat. Can. J. Soil Sci. 2008, 88, 163–174. [Google Scholar] [CrossRef]
- Roy, A.K.; Wagner-Riddle, C.; Deen, B.; Lauzon, J.; Bruulsema, T. Nitrogen application rate, timing and history effects on nitrous oxide emissions from maize (Zea mays L.). Can. J. Soil Sci. 2014, 94, 563–573. [Google Scholar] [CrossRef]
- Pelster, D.E.; Larouche, F.; Rochette, P.; Chantigny, M.H.; Allaire, S.; Angers, D.A. Nitrogen fertilization but not soil tillage affects nitrous oxide emissions from a clay loam soil under a maize–soybean rotation. Soil Tillage Res. 2011, 115–116, 16–26. [Google Scholar] [CrossRef]
- Rochette, P.; Worth, D.E.; Lemke, R.L.; McConkey, B.G.; Pennock, D.J.; Wagner-Riddle, C.; Desjardins, R.L. Estimation of N2O emissions from agricultural soils in Canada. I. Development of a country-specific methodology. Can. J. Soil Sci. 2008, 88, 641–654. [Google Scholar] [CrossRef]
- Pelster, D.E.; Thiagarajan, A.; Liang, C.; Chantigny, M.H.; Wagner-riddle, C.; Lemke, R.; Glenn, A.; Tenuta, M.; Hernandez-Ramirez, G.; Bittman, S.; et al. Ratio of non-growing season to growing season N2O emissions in Canadian croplands: An update to national inventory methodology. Can. J. Soil Sci. 2023, 103, 344–352. [Google Scholar] [CrossRef]
- Karimi, R.; Pogue, S.J.; Kröbela, R.; Beauchemin, K.A.; Schwinghamera, T.H.; Janzen, H.H. An updated nitrogen budget for Canadian agroecosystems. Agric. Ecosyst. Environ. 2020, 304, 107046. [Google Scholar] [CrossRef]
- Cambouris, A.N.; Nolin, M.C.; Zebarth, B.J.; Laverdiere, M.R. Soil Management Zones Delineated by Electrical Conductivity to Characterize Spatial and Temporal Variations in Potato Yield and in Soil Properties. Am. J. Potato Res. 2006, 83, 381–395. [Google Scholar] [CrossRef]
- Lang, V.; Tóth, G.; Dafnaki, D.; Csenki, S. Comparison and validation of different soil survey techniques to support a precision agricultural system. In Proceedings of the 15th International Conference on Precision Agriculture, Minneapolis, MN, USA, 26–29 June 2022. [Google Scholar]
- Cordero, E.; Longchamps, L.; Khosla, R.; Sacco, D. Spatial management strategies for nitrogen in maize production based on soil and crop data. Sci. Total Environ. 2019, 697, 133854. [Google Scholar] [CrossRef]







| Variable | Unit | Measure | Min. | Median | Max. | |
|---|---|---|---|---|---|---|
| Grain yield | Mg ha−1 | 15.5% moisture content | 0.1 | 10.4 | 17.9 | |
| Year | - | Year of experimentation | ||||
| Latitude | decimal | Field or municipality | 45.000 | 45.396 | 46.677 | |
| Longitude | decimal | Field or municipality | −75.381 | −73.304 | −71.067 | |
| Corn Heat Units | CHU | where is minimum daily temperature and is maximum daily temperature for 28 weeks starting 15 April | ||||
| Precipitations | mm | 28-week records starting 15 April | ||||
| Previous crop | category | Seven categories as follows: maize, soybean-pea-bean, non-legume annuals other than small grains, small grains, meadow, legume perennials (clover, alfalfa, lupin), fallow | - | - | - | |
| Tillage practice | category | Conventional, reduced tillage, no-till | - | - | - | |
| Seeding date | julian day | Project | 113 | 131 | 158 | |
| Split N application date | julian day | Project | 135 | 169 | 190 | |
| Harvest date | julian day | Project | 266 | 294 | 319 | |
| N fertilization at seeding | kg N ha−1 | Project | 0 | 50 | 87 | |
| Split N fertilization | kg N ha−1 | Project | 0 | 100 | 308 | |
| Total N fertilization | kg N ha−1 | N applied at seeding and as split application | 0 | 150 | 365 | |
| PSNT (0–30 cm) | mg NO3-N kg−1 | Nitrate test in the 0–30 cm layer at pre-side-dress quantified by ion chromatography | 2 | 10 | 70 | |
| Sand | % | Sedimentation method | 0 | 31 | 96 | |
| Silt | % | Sedimentation method | 3 | 35 | 88 | |
| Clay | % | Sedimentation method | 0 | 25 | 75 | |
| Genetic score | m.3a | fuzzy score | Trend toward podzolization from soil series characteristics | 0.000034 | 0.017982 | 0.999833 |
| m.3b | fuzzy score | Intermediate trend from soil series characteristics | 0.000114 | 0.494361 | 0. 999753 | |
| m.3c | fuzzy score | Trend toward gleization from soil series characteristics | 0.000034 | 0.215894 | 0.999853 | |
| Bulk density 0–15 cm | g cm−3 | Cylinder method | 0.52 | 1.35 | 1.83 | |
| Bulk density 15–30 cm | g cm−3 | Cylinder method | 0.56 | 1.43 | 1.76 | |
| Bulk density 30–45 cm | g cm−3 | Cylinder method | 0.35 | 1.45 | 1.80 | |
| pH in water | - | pHwater and SMP buffer pH | 5.0 | 6.5 | 7.9 | |
| Soil nutrients | mg cm−3 or mg kg−1 | Mehlich-3-extracted nutrients followed by ICP quantification | ||||
| Organic matter | % | Dumas combustion, Walkley–Black oxidation, loss on ignition | 1.1 | 3.6 | 50.3 | |
| Scenarios of Predictors | Random Forest | XGBoost | ||||
|---|---|---|---|---|---|---|
| R2 | RMSE | MAE | R2 | RMSE | MAE | |
| Mg ha−1 | Mg ha−1 | |||||
| 0.729 | 1.453 | 1.091 | 0.791 | 1.277 | 0.952 |
| 0.781 | 1.309 | 0.972 | 0.802 | 1.246 | 0.925 |
| 0.787 | 1.288 | 0.960 | 0.805 | 1.231 | 0.918 |
| 0.779 | 1.314 | 0.979 | 0.800 | 1.249 | 0.927 |
| Feature | Site No. 1 | Site No. 2 | Site No. 3 | Site No. 4 | Site No. 5 | Site No. 6 | Site No. 7 | Site No. 8 | Site No. 9 | Site No. 10 |
|---|---|---|---|---|---|---|---|---|---|---|
| Year of trial | 2017 | 2017 | 2017 | 1994 | 1994 | 1994 | 1997 | 2006 | 2007 | 2006 |
| Tillage class | No till | No till | Reduced tillage | Conventional | Conventional | Conventional | Conventional | No till | Conventional | Conventional |
| Previous crop | Soybean | Soybean | Soybean | Maize | Maize | Wheat | Soybean | - | Soybean | - |
| Seeding date (Julian day) | - | 138 | 145 | - | - | - | 138 | 138 | 134 | 132 |
| Soil texture | Sandy clay loam | Silty clay | Silty clay loam | Silty clay | Silty clay | Silty clay | Clay | Clay | - | Silty clay |
| Soil series | Boitreaux | Providence | - | Providence | St-Marcel | St-Marcel | - | - | - | Providence |
| Soil pH | 6.45 | 6.70 | - | 6.20 | 5.90 | 6.40 | - | - | - | 6.72 |
| % organic matter | 3.2 | 2.7 | - | 4.0 | 4.1 | 4.0 | - | - | - | 5.9 |
| N rate (kg N ha−1) | 176, 188 | 99, 129, 159, 189 | 64, 114, 214, 264 | 126, 159, 179, 206 | 122, 140, 162, 183 | 122, 140, 162, 183 | 120, 160, 200, 240 | 120, 160, 200, 240 | 43, 85, 128, 170, 213 | 80, 120, 160, 200, 240 |
| Replicates | 3 | 3 | 3 | 1 | 1 | 1 | 1 | 1 | 1 | 1 |
Disclaimer/Publisher’s Note: The statements, opinions and data contained in all publications are solely those of the individual author(s) and contributor(s) and not of MDPI and/or the editor(s). MDPI and/or the editor(s) disclaim responsibility for any injury to people or property resulting from any ideas, methods, instructions or products referred to in the content. |
© 2023 by the authors. Licensee MDPI, Basel, Switzerland. This article is an open access article distributed under the terms and conditions of the Creative Commons Attribution (CC BY) license (https://creativecommons.org/licenses/by/4.0/).
Share and Cite
Parent, L.E.; Deslauriers, G. Simulating Maize Response to Split-Nitrogen Fertilization Using Easy-to-Collect Local Features. Nitrogen 2023, 4, 331-349. https://doi.org/10.3390/nitrogen4040024
Parent LE, Deslauriers G. Simulating Maize Response to Split-Nitrogen Fertilization Using Easy-to-Collect Local Features. Nitrogen. 2023; 4(4):331-349. https://doi.org/10.3390/nitrogen4040024
Chicago/Turabian StyleParent, Léon Etienne, and Gabriel Deslauriers. 2023. "Simulating Maize Response to Split-Nitrogen Fertilization Using Easy-to-Collect Local Features" Nitrogen 4, no. 4: 331-349. https://doi.org/10.3390/nitrogen4040024
APA StyleParent, L. E., & Deslauriers, G. (2023). Simulating Maize Response to Split-Nitrogen Fertilization Using Easy-to-Collect Local Features. Nitrogen, 4(4), 331-349. https://doi.org/10.3390/nitrogen4040024

