Evaluation of a Virtual Human in Delivering Relaxation Exercises for Wound Healing and Stress Reduction: A Randomised Controlled Trial
Abstract
1. Introduction
2. Materials and Methods
2.1. Design
2.2. Participants
2.3. Power Analysis
2.4. Procedure
2.5. Interventions
2.5.1. Virtual Human Condition
2.5.2. Audiotape Condition
2.5.3. Control Condition
2.6. Outcome Measures
2.6.1. Tape Stripping and SBR Procedure
2.6.2. TEWL Analysis
2.6.3. Demographics and Health Behaviours
2.6.4. Psychological Measures
2.6.5. Physiological Measures
2.6.6. Engagement, Satisfaction, and Feedback
2.6.7. Adherence to Instructions
2.7. Statistical Analysis
2.7.1. Quantitative Data
2.7.2. Qualitative Data
3. Results
3.1. Sample Characteristics
3.2. Adherence to Instructions
3.3. Skin Barrier Recovery
3.4. Psychological Variables
3.5. Physiological Variables
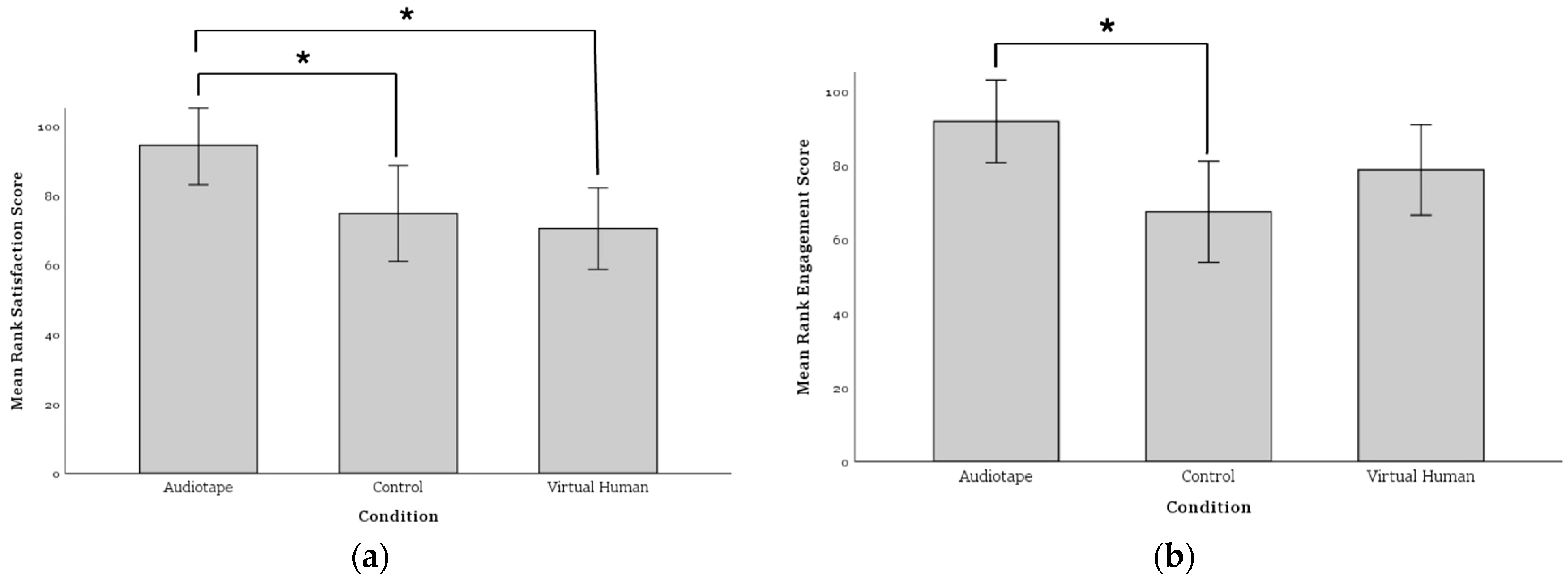
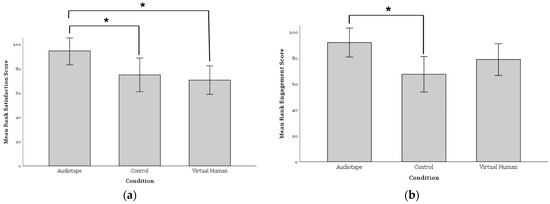
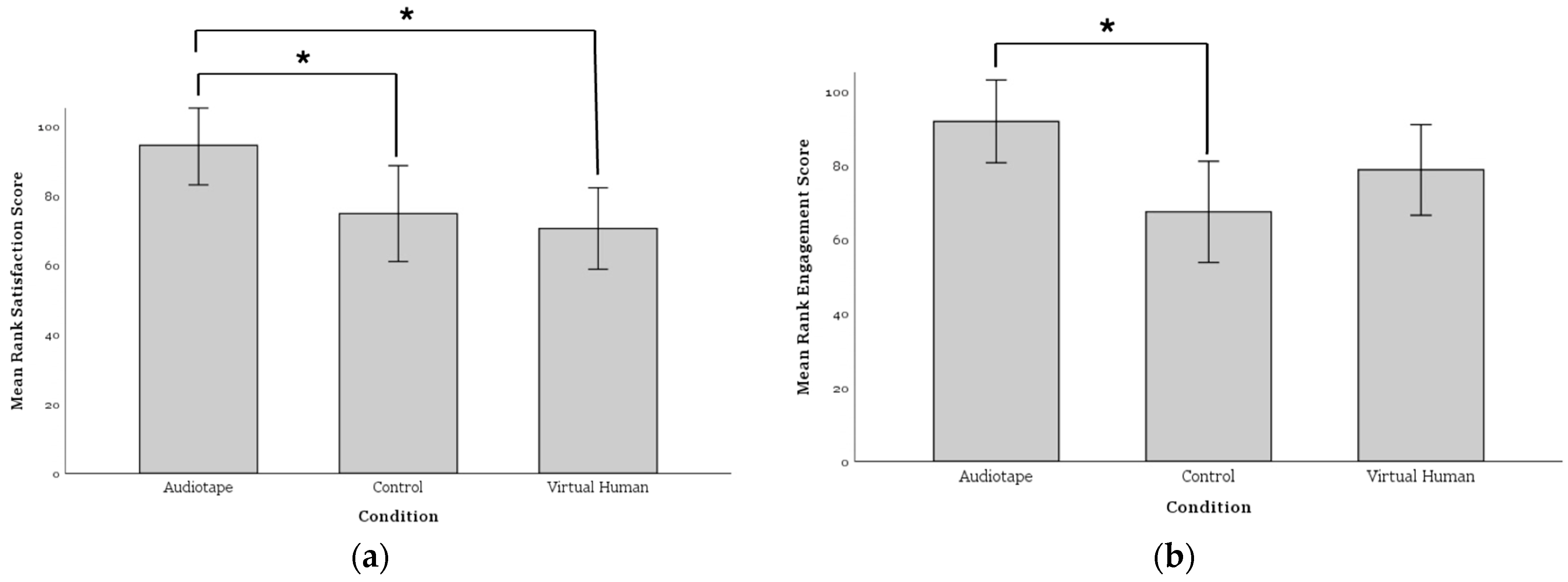
3.6. Satisfaction and Engagement Ratings
3.7. Qualitative Data
4. Discussion
5. Conclusions
Author Contributions
Funding
Institutional Review Board Statement
Informed Consent Statement
Data Availability Statement
Acknowledgments
Conflicts of Interest
References
- Fagherazzi, G.; Goetzinger, C.; Rashid, M.A.; Aguayo, G.A.; Huiart, L. Digital health strategies to fight COVID-19 worldwide: Challenges, recommendations, and a call for papers. J. Med. Internet Res. 2020, 22, e19284. [Google Scholar] [CrossRef] [PubMed]
- Luxton, D.D. Ethical implications of conversational agents in global public health. Bull. World Health Organ. 2020, 98, 285. [Google Scholar] [CrossRef] [PubMed]
- World Health Organization. Tracking Universal Health Coverage: 2023 Global Monitoring Report; World Health Organization: Geneva, Switzerland, 2023. [Google Scholar]
- Alqahtani, I.M.; Al-Garni, A.M.; Abumelha, M.S.; Alsagti, S.A.; Alshehri, F.A.; Alqahtani, A.A.; Alkhidhran, S.S. Prevalence of depression, anxiety, and stress among the general population during COVID-19 pandemic: A systematic review. J. Fam. Med. Prim. Care 2023, 12, 1030–1037. [Google Scholar] [CrossRef]
- World Health Organization. Mental Health and COVID-19: Early Evidence of the Pandemic’s Impact: Scientific Brief, 2 March 2022 (No. WHO/2019-nCoV/Sci_Brief/Mental_health/2022.1); World Health Organization: Geneva, Switzerland, 2022. [Google Scholar]
- Borghouts, J.; Eikey, E.; Mark, G.; De Leon, C.; Schueller, S.M.; Schneider, M.; Stadnick, N.; Zheng, K.; Mukamel, D.; Sorkin, D.H. Barriers to and facilitators of user engagement with digital mental health interventions: Systematic review. J. Med. Internet Res. 2021, 23, e24387. [Google Scholar] [CrossRef] [PubMed]
- Giebel, G.D.; Speckemeier, C.; Abels, C.; Plescher, F.; Börchers, K.; Wasem, J.; Blase, N.; Neusser, S. Problems and barriers related to the use of digital health applications: Scoping review. J. Med. Internet Res. 2023, 25, e43808. [Google Scholar] [CrossRef]
- Melcher, J.; Camacho, E.; Lagan, S.; Torous, J. College student engagement with mental health apps: Analysis of barriers to sustained use. J. Am. Coll. Health J. ACH 2022, 70, 1819–1825. [Google Scholar] [CrossRef]
- Santarossa, S.; Kane, D.; Senn, C.Y.; Woodruff, S.J. Exploring the role of in-person components for online health behavior change interventions: Can a digital person-to-person component suffice? J. Med. Internet Res. 2018, 20, e144. [Google Scholar] [CrossRef]
- Dusek, J.A.; Benson, H. Mind-body medicine: A model of the comparative clinical impact of the acute stress and relaxation responses. Minn. Med. 2009, 92, 47. [Google Scholar]
- Holden-lund, C. Effects of relaxation with guided imagery on surgical stress and wound healing. Res. Nurs. Health 1988, 11, 235–244. [Google Scholar] [CrossRef]
- Pawlow, L.A.; Jones, G.E. The impact of abbreviated progressive muscle relaxation on salivary cortisol. Biol. Psychol. 2002, 60, 1–16. [Google Scholar] [CrossRef]
- Robinson, H.; Jarrett, P.; Broadbent, E. The effects of relaxation before or after skin damage on skin barrier recovery: A preliminary study. Psychosom. Med. 2015, 77, 844–852. [Google Scholar] [CrossRef] [PubMed]
- Walburn, J.; Vedhara, K.; Hankins, M.; Rixon, L.; Weinman, J. Psychological stress and wound healing in humans: A systematic review and meta-analysis. J. Psychosom. Res. 2009, 67, 253–271. [Google Scholar] [CrossRef] [PubMed]
- Robinson, H.; Norton, S.; Jarrett, P.; Broadbent, E. The effects of psychological interventions on wound healing: A systematic review of randomized trials. Br. J. Health Psychol. 2017, 22, 805–835. [Google Scholar] [CrossRef]
- Naef, A.C.; Jeitziner, M.M.; Knobel, S.E.; Exl, M.T.; Müri, R.M.; Jakob, S.M.; Nef, T.; Gerber, S.M. Investigating the role of auditory and visual sensory inputs for inducing relaxation during virtual reality stimulation. Sci. Rep. 2022, 12, 17073. [Google Scholar] [CrossRef] [PubMed]
- Loveys, K.; Sebaratnam, G.; Sagar, M.; Broadbent, E. The effect of design features on relationship quality with embodied conversational agents: A systematic review. Int. J. Soc. Robot. 2020, 12, 1293–1312. [Google Scholar] [CrossRef]
- Chattopadhyay, D.; Ma, T.; Sharifi, H.; Martyn-Nemeth, P. Computer-controlled virtual humans in patient-facing systems: Systematic review and meta-analysis. J. Med. Internet Res. 2020, 22, e18839. [Google Scholar] [CrossRef]
- Gardiner, P.M.; McCue, K.D.; Negash, L.M.; Cheng, T.; White, L.F.; Yinusa-Nyahkoon, L.; Jack, B.W.; Bickmore, T.W. Engaging women with an embodied conversational agent to deliver mindfulness and lifestyle recommendations: A feasibility randomized control trial. Patient Educ. Couns. 2017, 100, 1720–1729. [Google Scholar] [CrossRef] [PubMed]
- Hudlicka, E. Virtual training and coaching of health behavior: Example from mindfulness meditation training. Patient Educ. Couns. 2013, 92, 160–166. [Google Scholar] [CrossRef] [PubMed]
- Loveys, K.; Sagar, M.; Pickering, I.; Broadbent, E. A digital human for delivering a remote loneliness and stress intervention to at-risk younger and older adults during the COVID-19 pandemic: Randomized Pilot Trial. JMIR Ment. Health 2021, 8, e31586. [Google Scholar] [CrossRef]
- Ma, T.; Sharifi, H.; Chattopadhyay, D. Virtual humans in health-related interventions: A meta-analysis. In Extended Abstracts of the 2019 CHI Conference on Human Factors in Computing Systems; Association for Computing Machinery: New York, NY, USA, 2019; pp. 1–6. [Google Scholar] [CrossRef]
- Philip, P.; Micoulaud-Franchi, J.A.; Sagaspe, P.; Sevin, E.D.; Olive, J.; Bioulac, S.; Sauteraud, A. Virtual human as a new diagnostic tool, a proof of concept study in the field of major depressive disorders. Sci. Rep. 2017, 7, 42656. [Google Scholar] [CrossRef]
- Mann, J.A.; MacDonald, B.A.; Kuo, I.H.; Li, X.; Broadbent, E. People respond better to robots than computer tablets delivering healthcare instructions. Comput. Hum. Behav. 2015, 43, 112–117. [Google Scholar] [CrossRef]
- Faul, F.; Erdfelder, E.; Lang, A.-G.; Buchner, A. G*Power 3: A flexible statistical power analysis program for the social, behavioral, and biomedical sciences. Behav. Res. Methods 2007, 39, 175–191. [Google Scholar] [CrossRef] [PubMed]
- Cohen, S. Perceived stress in a probability sample of the United States. In The Social Psychology of Health: Claremont Symposium on Applied Social Psychology; Spacapan, S., Oskamp, S., Eds.; Sage: Newbury Park, CA, USA, 1988; pp. 31–67. [Google Scholar]
- Fries, E.; Dettenborn, L.; Kirschbaum, C. The cortisol awakening response (CAR): Facts and future directions. Int. J. Psychophysiol. 2009, 72, 67–73. [Google Scholar] [CrossRef] [PubMed]
- Strahler, J.; Skoluda, N.; Kappert, M.B.; Nater, U.M. Simultaneous measurement of salivary cortisol and alpha-amylase: Application and recommendations. Neurosci. Biobehav. Rev. 2017, 83, 657–677. [Google Scholar] [CrossRef]
- Law, M.; Jarrett, P.; Nater, U.M.; Skoluda, N.; Broadbent, E. The effects of environmental enrichment on skin barrier recovery in humans: A randomised trial. Sci. Rep. 2020, 10, 9829. [Google Scholar] [CrossRef]
- Law, M.; Jarrett, P.; Nater, U.M.; Skoluda, N.; Broadbent, E. The effects of sensory enrichment after a laboratory stressor on human skin barrier recovery in a randomised trial. Psychosom. Med. 2020, 82, 877–886. [Google Scholar] [CrossRef]
- Altemus, M.; Rao, B.; Dhabhar, F.S.; Ding, W.; Granstein, R.D. Stress-induced changes in skin barrier function in healthy women. J. Investig. Dermatol. 2001, 117, 309–317. [Google Scholar] [CrossRef]
- Robles, T.F. Stress, social support, and delayed skin barrier recovery. Psychosom. Med. 2007, 69, 807–815. [Google Scholar] [CrossRef]
- Robles, T.F.; Brooks, K.P.; Pressman, S.D. Trait positive affect buffers the effects of acute stress on skin barrier recovery. Health Psychol. 2009, 28, 373. [Google Scholar] [CrossRef]
- Koschwanez, H.; Robinson, H.; Beban, G.; MacCormick, A.; Hill, A.; Windsor, J.; Booth, R.; Jüllig, M.; Broadbent, E. Randomized clinical trial of expressive writing on wound healing following bariatric surgery. Health Psychol. 2017, 36, 630. [Google Scholar] [CrossRef] [PubMed]
- Maarouf, M.; Maarouf, C.L.; Yosipovitch, G.; Shi, V.Y. The impact of stress on epidermal barrier function: An evidence-based review. Br. J. Dermatol. 2019, 181, 1129–1137. [Google Scholar] [CrossRef]
- Ahmed, B.; Khan, H.M.; Choi, J.; Gutierrez-Osuna, R. ReBreathe: A calibration protocol that improves stress/relax classification by relabeling deep breathing relaxation exercises. IEEE Trans. Affect. Comput. 2015, 7, 150–161. [Google Scholar] [CrossRef]
- Amin, M.R.; Faghih, R.T. Inferring autonomic nervous system stimulation from hand and foot skin conductance measurements. In Proceedings of the 2018 52nd Asilomar Conference on Signals, Systems, and Computers, Pacific Grove, CA, USA, 28–31 October 2018; pp. 655–660. [Google Scholar] [CrossRef]
- Betti, S.; Lova, R.M.; Rovini, E.; Acerbi, G.; Santarelli, L.; Cabiati, M.; Del Ry, S.; Cavallo, F. Evaluation of an integrated system of wearable physiological sensors for stress monitoring in working environments by using biological markers. IEEE Trans. Biomed. Eng. 2017, 65, 1748–1758. [Google Scholar] [CrossRef]
- Taylor, S.; Jaques, N.; Chen, W.; Fedor, S.; Sano, A.; Picard, R. Automatic identification of artifacts in electrodermal activity data. In Proceedings of the 2015 37th Annual International Conference of the IEEE Engineering in Medicine and Biology Society (EMBC), Milan, Italy, 25–29 August 2015; pp. 1934–1937. [Google Scholar] [CrossRef]
- Loveys, K.; Antoni, M.; Donkin, L.; Sagar, M.; Broadbent, E. Comparing the feasibility and acceptability of a virtual human, teletherapy, and an e-manual in delivering a stress management intervention to distressed adult women: Pilot study. JMIR Form. Res. 2023, 7, e42390. [Google Scholar] [CrossRef]
- IBM Corp. IBM SPSS Statistics for Windows, Version 28.0.1.0; Computer software; IBM Corp.: Armonk, NY, USA, 2020. [Google Scholar]
- Segerstrom, S.C.; Miller, G.E. Psychological stress and the human immune system. Psychol. Bull. 2004, 130, 601–630. [Google Scholar] [CrossRef]
- Morley-Fletcher, S.; Rea, M.; Maccari, S.; Laviola, G. Environmental enrichment during adolescence reverses the effects of prenatal stress on play behaviour and HPA axis reactivity in rats. Eur. J. Neurosci. 2003, 18, 3367–3374. [Google Scholar] [CrossRef]
- Park, E.R.; Traeger, L.; Vranceanu, A.M.; Scult, M.; Lerner, J.A.; Benson, H.; Denninger, J.; Fricchione, G.L. The development of a patient-centered program based on the relaxation response: The Relaxation Response Resiliency Program (3RP). Psychosomatics 2013, 54, 165–174. [Google Scholar] [CrossRef]
- Brown, N.J.; Kimble, R.M.; Rodger, S.; Ware, R.S.; Cuttle, L. Play and heal: Randomized controlled trial of Ditto™ intervention efficacy on improving reepithelialization in pediatric burns. Burns 2014, 40, 204–213. [Google Scholar] [CrossRef] [PubMed]
- Miller, K.; Rodger, S.; Kipping, B.; Kimble, R.M. A novel technology approach to pain management in children with burns: A prospective randomized controlled trial. Burns 2011, 37, 395–405. [Google Scholar] [CrossRef] [PubMed]
- Gouin, J.P.; Kiecolt-Glaser, J.K.; Malarkey, W.B.; Glaser, R. The influence of anger expression on wound healing. Brain Behav. Immun. 2008, 22, 699–708. [Google Scholar] [CrossRef] [PubMed]
- Mori, M.; MacDorman, K.F.; Kageki, N. The uncanny valley [from the field]. IEEE Robot. Autom. Mag. 2012, 19, 98–100. [Google Scholar] [CrossRef]
- Karhiy, M.; Sagar, M.; Antoni, M.; Loveys, K.; Broadbent, E. Can a virtual human increase mindfulness and reduce stress? A randomised trial. Comput. Hum. Behav. Artif. Hum. 2024, 2, 100069. [Google Scholar] [CrossRef]







| Condition | ||||
|---|---|---|---|---|
| Control (n = 53) | Audiotape (n = 53) | Virtual Human (n = 53) | p-Value | |
| Demographics | ||||
| Age (years), M (SD) | 25.8 (9.6) | 25.6 (6.4) | 26.9 (7.6) | 0.758 a |
| Gender: | 0.815 b | |||
| Female, n (%) | 41 (77.4) | 38 (71.7) | 37 (69.8) | |
| Male, n (%) | 12 (22.6) | 14 (26.4) | 15 (28.3) | |
| Non-binary/other, n (%) | 0 (0) | 1 (1.9) | 1 (1.9) | |
| Ethnicity: | 0.475 b | |||
| NZ European, n (%) | 20 (38.5) | 16 (30) | 21 (40) | |
| Māori/Pacific, n (%) | 4 (8) | 5 (9.5) | 1 (2) | |
| Chinese, n (%) | 9 (17) | 9 (17) | 5 (10) | |
| Other, n (%) | 19 (36.5) | 23 (43.5) | 25 (48) | |
| Education level: | 0.113 b | |||
| High school or less, n (%) | 24 (45.3) | 17 (32.1) | 9 (17) | |
| Trade, n (%) | 1 (1.9) | 2 (3.8) | 1 (1.9) | |
| Undergraduate, n (%) | 15 (28.3) | 16 (30.2) | 21 (39.6) | |
| Postgraduate, n (%) | 13 (24.5) | 17 (32.1) | 21 (39.6) | |
| Employment status: | 0.446 b | |||
| Full-time, n (%) | 9 (17) | 15 (28.3) | 16 (30.2) | |
| Part-time, n (%) | 9 (17) | 3 (5.7) | 5 (9.4) | |
| Student, n (%) | 31 (58.5) | 32 (60.4) | 29 (54.7) | |
| Unemployed, n (%) | 4 (7.5) | 3 (5.6) | 3 (5.7) | |
| BMI, M (SD) | 23 (3.8) | 23.6 (3.8) | 24 (4.3) | 0.758 a |
| Health behaviours | ||||
| Exercise (days/week), M (SD) | 3.4 (2.1) | 4.4 (2.3) | 3.7 (1.8) | 0.069 a |
| Sleep (hours/night), M (SD) | 7.51 (0.95) | 6.49 (2.09) | 7.18 (1.34) | 0.003 a* |
| PSS score, M (SD) | 18.7 (4.9) | 17.2 (3.8) | 18.4 (4.3) | 0.172 a |
| Tape-stripping measures | ||||
| Baseline TEWL (g/m2/h), M (SD) | 19.5 (5.1) | 18.7 (5.2) | 19.8 (5.4) | 0.547 a |
| TEWL impairment (g/m2/h), M (SD) | 33.4 (11.4) | 30.5 (8.7) | 35.0 (12.1) | 0.106 a |
| Strips used, M (SD) | 34.9 (7.8) | 36.3 (7.4) | 33.9 (8.4) | 0.287 a |
| Condition | Baseline | Post-Tape-Stripping | Post-Intervention | |
|---|---|---|---|---|
| VAS stress, M (SD) | Virtual human | 40.53 (27.95) | 22.85 (23.64) | 16.66 (23.61) |
| Audiotape | 33.08 (25.50) | 19.53 (21.31) | 10.62 (15.07) | |
| Control | 28.66 (21.93) | 15.19 (19.06) | 11.47 (17.21) | |
| Total | 34.09 (25.56) | 19.19 (21.51) | 12.92 (19.05) | |
| VAS relaxation, M (SD) | Virtual human | 56.63 (27.47) | 60.52 (25.22) | 83.12 (19.97) |
| Audiotape | 63.94 (27.80) | 69.82 (25.75) | 87.47 (13.18) | |
| Control | 70.33 (23.88) | 70.40 (23.03) | 80.50 (20.38) | |
| Total | 63.63 (27.47) | 66.90 (24.95) | 83.67 (18.28) | |
| VAS anxiety, M (SD) | Virtual human | 24.85 (27.65) | 15.94 (20.97) | 12.32 (19.43) |
| Audiotape | 24.74 (23.61) | 15.38 (19.11) | 8.92 (13.40) | |
| Control | 16.23 (21.96) | 13.55 (20.32) | 10.74 (19.12) | |
| Total | 21.94 (24.70) | 14.96 (20.05) | 10.66 (17.48) | |
| VAS pain, M (SD) | Virtual human | 9.55 (18.53) | 8.51 (12.59) | 4.77 (10.89) |
| Audiotape | 8.58 (13.32) | 9.08 (12.84) | 3.70 (6.53) | |
| Control | 8.30 (16.35) | 9.21 (14.95) | 5.49 (11.99) | |
| Total | 8.81 (16.12) | 8.93 (13.42) | 4.65 (10.05) | |
| Heart rate, M (SD) | Virtual human | 82.03 (8.86) | 79.70 (10.76) | 74.36 (8.90) |
| Audiotape | 80.67 (11.81) | 80.87 (9.73) | 71.62 (10.18) | |
| Control | 80.39 (9.33) | 82.04 (13.88) | 74.60 (10.18) | |
| Total | 81.02 (10.07) | 80.88 (11.53) | 73.49 (9.78) | |
| Electrodermal activity, M (SD) | Virtual human | 0.70 (1.29) | 0.51 (0.71) | 0.30 (0.26) |
| Audiotape | 0.26 (0.42) | 0.60 (1.23) | 0.30 (0.39) | |
| Control | 0.70 (1.52) | 0.97 (2.02) | 0.50 (0.93) | |
| Total | 0.54 (1.18) | 0.69 (1.44) | 0.37 (0.60) | |
| Salivary cortisol, M (SD) | Virtual human | 0.71 (0.74) | 0.51 (0.71) | 0.32 (0.70) |
| Audiotape | 0.63 (0.57) | 0.50 (0.82) | 0.36 (0.52) | |
| Control | 0.70 (0.58) | 0.48 (0.52) | 0.27 (0.56) | |
| Total | 0.65 (0.65) | 0.48 (0.69) | 0.31 (0.59) | |
| Salivary alpha-amylase, M (SD) | Virtual human | 3.77 (1.10) | 3.86 (0.99) | 3.71 (0.99)) |
| Audiotape | 4.04 (0.86) | 4.13 (0.84) | 4.19 (0.84) | |
| Control | 3.72 (0.95) | 3.82 (0.92) | 3.74 (0.94) | |
| Total | 4.84 (0.97) | 3.90 (0.95) | 3.85 (0.97) |
| Themes and Subthemes | Representative Quotes [Participant ID] | |
|---|---|---|
| Strengths | ||
| Sam’s behaviour | ||
| Eye contact | “Clear instructions, eye contact, good background music” [p131] | |
| Mannerisms | “The person had a nice calm manner” [p79] “I liked how the person moved like an actual person it made it feel less awkward” [p85] | |
| Sam’s voice | ||
| Tone | “The music and calm tone of the voice” [p29] | |
| Pace | “Was very calm and at a good pace” [p143] | |
| Improvements | ||
| Sam’s appearance | ||
| Less uncanny | “Avatar was a bit creepy” [p3] | |
| More facial expressions | “Perhaps more expression in the face” [p21] | |
| Sam’s behaviour | ||
| Mannerisms | “The animation was slightly unsettling, being that it was quite robotic.” [p153] | |
| Better lip-syncing | “The digital human’s mouth moved just a bit slower than the words so that was a little disconcerting.” [p29] | |
| Sam’s voice | ||
| More human-like | “Needs more human intonation” [p52] “Maybe make the person a little more friendly and personable” [p85] “It felt a bit jolty at the start of her sentences” [p138] | |
| Conversation design | ||
| More engaging | “Needs more engagement i.e., thinking about what’s on for the rest of the day and how you’re going to handle it” [p53] | |
| More personalisation | “Maybe more personalised with use of my name” [p99] |
Disclaimer/Publisher’s Note: The statements, opinions and data contained in all publications are solely those of the individual author(s) and contributor(s) and not of MDPI and/or the editor(s). MDPI and/or the editor(s) disclaim responsibility for any injury to people or property resulting from any ideas, methods, instructions or products referred to in the content. |
© 2025 by the authors. Licensee MDPI, Basel, Switzerland. This article is an open access article distributed under the terms and conditions of the Creative Commons Attribution (CC BY) license (https://creativecommons.org/licenses/by/4.0/).
Share and Cite
Pickering, I.; Law, M.; Loveys, K.; Sagar, M.; Skoluda, N.; Nater, U.M.; Broadbent, E. Evaluation of a Virtual Human in Delivering Relaxation Exercises for Wound Healing and Stress Reduction: A Randomised Controlled Trial. Multimodal Technol. Interact. 2025, 9, 34. https://doi.org/10.3390/mti9040034
Pickering I, Law M, Loveys K, Sagar M, Skoluda N, Nater UM, Broadbent E. Evaluation of a Virtual Human in Delivering Relaxation Exercises for Wound Healing and Stress Reduction: A Randomised Controlled Trial. Multimodal Technologies and Interaction. 2025; 9(4):34. https://doi.org/10.3390/mti9040034
Chicago/Turabian StylePickering, Isabella, Mikaela Law, Kate Loveys, Mark Sagar, Nadine Skoluda, Urs M. Nater, and Elizabeth Broadbent. 2025. "Evaluation of a Virtual Human in Delivering Relaxation Exercises for Wound Healing and Stress Reduction: A Randomised Controlled Trial" Multimodal Technologies and Interaction 9, no. 4: 34. https://doi.org/10.3390/mti9040034
APA StylePickering, I., Law, M., Loveys, K., Sagar, M., Skoluda, N., Nater, U. M., & Broadbent, E. (2025). Evaluation of a Virtual Human in Delivering Relaxation Exercises for Wound Healing and Stress Reduction: A Randomised Controlled Trial. Multimodal Technologies and Interaction, 9(4), 34. https://doi.org/10.3390/mti9040034

