Muscle Strength and Hamstrings to Quadriceps Ratio in Young Soccer Players: A Cross-Sectional Study
Abstract
1. Introduction
2. Materials and Methods
2.1. Subjects
2.2. Isokinetic Strength Testing
2.3. Statistics
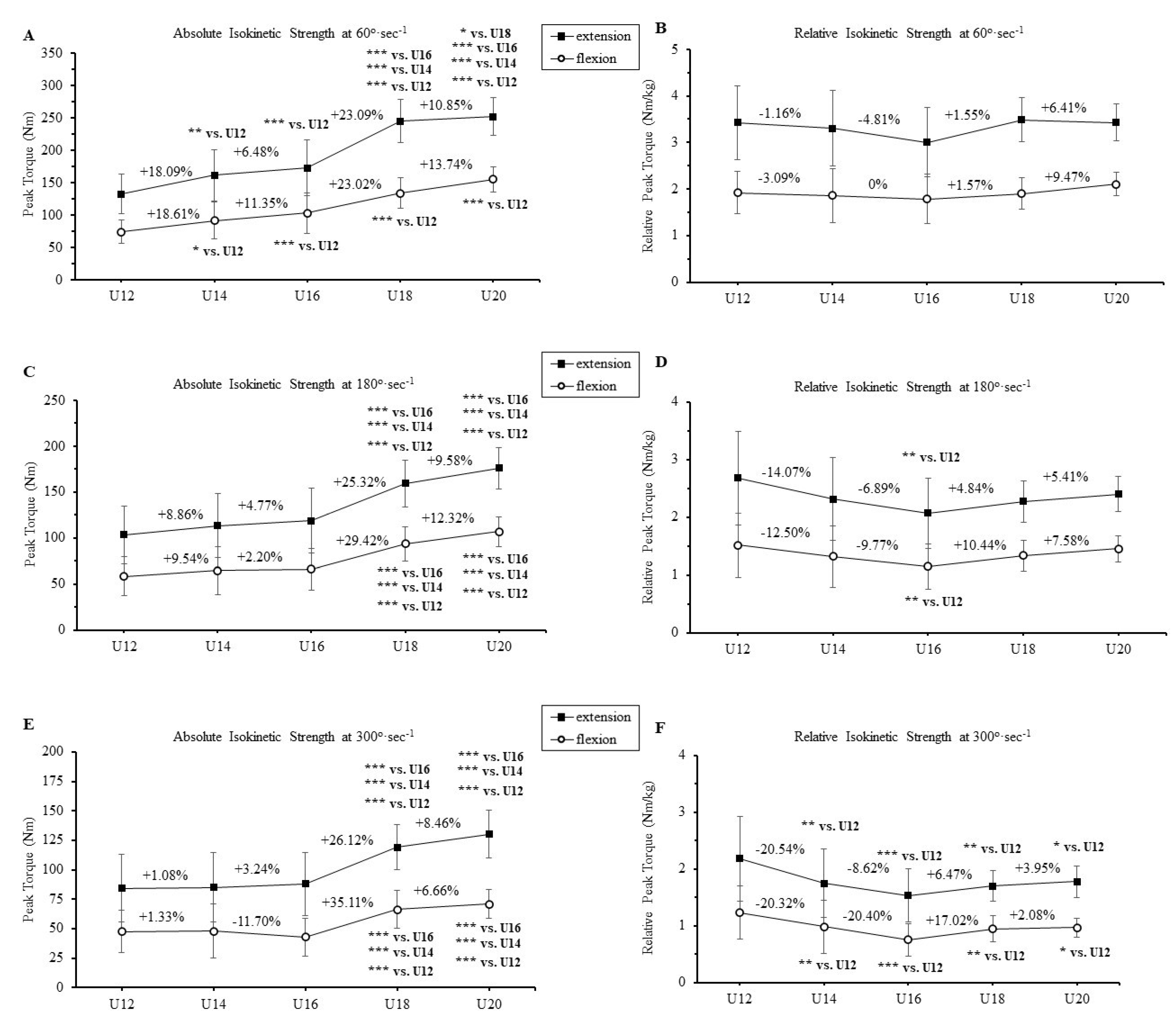
3. Results
4. Discussion
Limitations and Future Directions
5. Conclusions
Author Contributions
Funding
Institutional Review Board Statement
Informed Consent Statement
Data Availability Statement
Acknowledgments
Conflicts of Interest
References
- Bangsbo, J. The physiology of soccer—With special reference to intense intermittent exercise. Acta Physiol. Scand. Suppl. 1994, 619, 1–155. [Google Scholar] [PubMed]
- Borges, G.M.; Vaz, M.A.; De La Rocha Freitas, C.; Rassier, D.E. The torque-velocity relation of elite soccer players. J. Sports Med. Phys. Fit. 2003, 43, 261–266. [Google Scholar]
- Askling, C.; Karlsson, J.; Thorstensson, A. Hamstring injury occurrence in elite soccer players after preseason strength training with eccentric overload. Scand. J. Med. Sci. Sport. 2003, 13, 244–250. [Google Scholar] [CrossRef] [PubMed]
- Chumanov, E.S.; Heiderscheit, B.C.; Thelen, D.G. The effect of speed and influence of individual muscles on hamstring mechanics during the swing phase of sprinting. J. Biomech. 2007, 40, 3555–3562. [Google Scholar] [CrossRef] [PubMed]
- Masuda, K.; Kikuhara, N.; Demura, S.; Katsuta, S.; Yamanaka, K. Relationship between muscle strength in various isokinetic movements and kick performance among soccer players. J. Sport. Med. Phys. Fit. 2005, 45, 44–52, PMID: 16208290. [Google Scholar]
- Garrett, W.E., Jr.; Califf, J.C.; Bassett, F.H. Histochemical correlates of hamstring injuries. Am. J. Sports Med. 1984, 12, 98–103. [Google Scholar] [CrossRef]
- Narici, M.V.; Roi, G.S.; Landoni, L. Force of knee extensor and flexor muscles and cross-sectional area determined by nuclear magnetic resonance imaging. Eur. J. Appl. Physiol. Occup. Physiol. 1988, 57, 39–44. [Google Scholar] [CrossRef]
- Lieber, R.L.; Roberts, T.J.; Blemker, S.S.; Lee, S.S.M.; Herzog, W. Skeletal muscle mechanics, energetics and plasticity. J. Neuroeng. Rehabil. 2017, 14, 108. [Google Scholar] [CrossRef]
- Widrick, J.J.; Maddalozzo, G.F.; Lewis, D.; Valentine, B.A.; Garner, D.P.; Stelzer, J.E.; Shoepe, T.C.; Snow, C.M. Morphological and functional characteristics of skeletal muscle fibers from hormone replaced and nonreplaced postmenopausal women. J. Gerontol. A Biol. Sci. Med. Sci. 2003, 58, 3–10. [Google Scholar] [CrossRef]
- Saltin, B.; Henriksson, J.; Nygaard, E.; Andersen, P. Fiber types and metabolic potentials of skeletal muscles in sedentary man and endurance runners. Ann. N. Y. Acad. Sci. 1977, 301, 3–29. [Google Scholar] [CrossRef]
- Staron, R.S.; Hagerman, F.C.; Hikida, R.S.; Murray, T.F.; Hostler, D.P.; Crill, M.T.; Ragg, K.E.; Toma, K. Fiber type composition of the vastus lateralis muscle of young men and women. J. Histochem. Cytochem. 2000, 48, 623–629. [Google Scholar] [CrossRef]
- Cameron, M.L.; Adams, R.D.; Maher., C.G. Motor control and strength as predictors of hamstring injury in elite players of Australian football. Phys. Ther. Sport 2003, 4, 159–166. [Google Scholar] [CrossRef]
- Costa, P.B.; Ryan, E.D.; Herda, T.J.; Defreitas, J.M.; Beck, T.W.; Cramer, J.T. Effects of static stretching on the hamstrings-to-quadriceps ratio and electromyographic amplitude in men. J. Sports Med. Phys. Fit. 2009, 49, 401–409. [Google Scholar]
- Grygorowicz, M.; Kubacki, J.; Pilis, W.; Gieremek, K.; Rzepka, R. Selected isokinetic tests in knee injury prevention. Biol. Sport 2010, 27, 47–51. [Google Scholar] [CrossRef]
- O’Sullivan, K.; O’Ceallaigh, B.; O’Connel, K.; Shafat, A. The relationship between previous hamstring injury and the concentric isokinetic knee muscle strength of Irish Gaelic footballers. BMC. Musculoskelet. Disord. 2008, 9, 30. [Google Scholar] [CrossRef]
- Orchard, J.; Marsden, J.; Lord, S.; Garlick, D. Preseason hamstring muscle weakness associated with hamstring muscle injury in Australian footballers. Am. J. Sports Med. 1997, 25, 81–85. [Google Scholar] [CrossRef]
- Holcomb, W.R.; Rubley, M.D.; Lee, H.J.; Guadagnoli, M.A. Effect of hamstring-emphasized resistance training on hamstring:quadriceps strength ratios. J. Strength Cond. Res. 2007, 21, 41–47. [Google Scholar] [CrossRef]
- Sangnier, S.; Tourny-Chollet, C. Comparison of the decrease in strength between hamstrings and quadriceps during isokinetic fatigue testing in semi-professional soccer players. Int. J. Sports Med. 2007, 28, 952–957. [Google Scholar] [CrossRef]
- Yeung, S.S.; Suen, A.M.; Yeung, E.W. A prospective cohort study of hamstring injuries in competitive sprinters: Preseason muscle imbalance as a possible risk factor. Br. J. Sports Med. 2009, 43, 589–594. [Google Scholar] [CrossRef]
- Aagaard, P.; Simonsen, E.B.; Trolle, M.; Bangsbo, J.; Klausen, K. Isokinetic hamstring/quadriceps strength ratio: Influence from joint angular velocity, gravity correction and contraction mode. Acta Physiol. Scand. 1995, 154, 421–427. [Google Scholar] [CrossRef]
- Crenshaw, A.G.; Karlsson, S.; Styf, J.; Bäcklund, T.; Fridén, J. Knee extension torque and intramuscular pressure of the vastus lateralis muscle during eccentric and concentric activities. Eur. J. Appl. Physiol. Occup. Physiol. 1995, 70, 13–19. [Google Scholar] [CrossRef] [PubMed]
- Westing, S.H.; Cresswell, A.G.; Thorstensson, A. Muscle activation during maximal voluntary eccentric and concentric knee extension. Eur. J. Appl. Physiol. Occup. Physiol. 1991, 62, 104–108. [Google Scholar] [CrossRef] [PubMed]
- Hortobágyi, T.; Katch, F.I. Eccentric and concentric torque-velocity relationships during arm flexion and extension. Eur. J. Appl. Physiol. Occup. Physiol. 1990, 60, 395–401. [Google Scholar] [CrossRef] [PubMed]
- Daneshjoo, A.; Rahnama, N.; Mokhtar, A.H.; Yusof, A. Bilateral and unilateral asymmetries of isokinetic strength and flexibility in male young professional soccer players. J. Hum. Kinet. 2013, 36, 45–53. [Google Scholar] [CrossRef]
- Cheung, R.; Smith, A.; Wong, D. H:Q ratios and bilateral leg strength in college field and court sports players. J. Hum. Kinet. 2012, 33, 63–71. [Google Scholar] [CrossRef]
- Andrade, M.D.S.; De Lira, C.A.B.; Koffes, F.D.C.; Mascarin, N.C.; Benedito-Silva, A.A.; Da Silva, A.C. Isokinetic hamstrings-to-quadriceps peak torque ratio: The influence of sport modality, gender, and angular velocity. J. Sports Sci. 2012, 30, 547–553. [Google Scholar] [CrossRef]
- Fousekis, K.; Tsepis, E.; Vagenas, G. Lower limb strength in professional soccer players: Profile, asymmetry, and training age. J. Sports Sci. Med. 2010, 9, 364–373. [Google Scholar]
- Öberg, B.; Möller, M.; Gillquist, J.; Ekstrand, J. Isokinetic torque levels for knee extensors and knee flexors in soccer players. Int. J. Sport. Med. 1986, 7, 50–53. [Google Scholar] [CrossRef]
- Rahnama, N.; Lees, A.; Bambaecichi, E. Comparison of muscle strength and flexibility between the preferred and non-preferred leg in English soccer players. Ergonomics. 2005, 48, 1568–1575. [Google Scholar] [CrossRef]
- Zakas, A.; Mandroukas, K.; Vamvakoudis, E.; Christoulas, K.; Aggelopoulou, N. Peak torque of quadriceps and hamstring muscles in basketball and soccer players of different divisions. J. Sports Med. Phys. Fit. 1995, 35, 199–205, PMID: 8775647. [Google Scholar]
- Cohen, J. Statistical power analysis. Curr. Dir. Psychol. Sci. 1992, 1, 98–101. [Google Scholar] [CrossRef]
- Cohen, J. Statistical Power Analysis for the Behavioral Sciences, 2nd ed.; Routledge: New York, NY, USA, 2013; pp. 5–17. [Google Scholar]
- Mandroukas, A.; Vamvakoudis, E.; Metaxas, T.; Papadopoulos, P.; Kotoglou, K.; Stefanidis, P.; Christoulas, K.; Kyparos, A.; Mandroukas, K. Acute partial passive stretching increases range of motion and muscle strength. J. Sports Med. Phys. Fit. 2014, 54, 289–297. [Google Scholar]
- Mandroukas, A.; Metaxas, T.I.; Michailidis, Y.; Christoulas, K.; Heller, J. Effects of soccer training in muscular strength: A comparative study in trained youth soccer players and untrained boys of the same biological age. J. Sports Med. Phys. Fit. 2020, 61, 1469–1477. [Google Scholar] [CrossRef]
- Metaxas, T.I.; Mandroukas, A.; Vamvakoudis, E.; Kotoglou, K.; Ekblom, B.; Mandroukas, K. Muscle fiber characteristics, satellite cells and soccer performance in young athletes. J. Sports Sci. Med. 2014, 13, 493–501. [Google Scholar]
- Papaevangelou, E.; Metaxas, T.; Riganas, C.; Mandroukas, A.; Vamvakoudis, E. Evaluation of soccer performance in professional, semi-professional and amateur players of the same club. J. Phys. Educ. Sport. 2012, 12, 362–370. [Google Scholar] [CrossRef]
- Seger, J.Y.; Thorstensson, A. Muscle strength and electromyogram in boys and girls followed through puberty. Eur. J. Appl. Physiol. 2000, 81, 54–61. [Google Scholar] [CrossRef]
- Tanner, J.M. Growth at Adolescence, 2nd ed.; Blackwell Scientific Press: Oxford, UK, 1962; pp. 1–135. [Google Scholar]
- Beunen, G.; Malina, R.M. Growth and physical performance relative to the timing of the adolescent spurt. Exerc. Sports Sci. Rev. 1988, 16, 503–540. [Google Scholar] [CrossRef]
- Hansen, L.; Bangsbo, J.; Twisk, J.; Klausen, K. Development of muscle strength in relation to training level and testosterone in young male soccer players. J. Appl. Physiol. 1999, 87, 1141–1147. [Google Scholar] [CrossRef]
- Śliwowski, R.; Grygorowicz, M.; Hojszyk, R.; Jadczak, Ł. The isokinetic strength profile of elite soccer players according to playing position. PLoS ONE 2017, 12, e0182177. [Google Scholar] [CrossRef]
- Ruas, C.V.; Minozzo, F.; Pinto, M.D.; Brown, L.E.; Pinto, R.S. Lower-extremity strength ratios of professional soccer players according to field position. J. Strength Cond. Res. 2015, 29, 1220–1226. [Google Scholar] [CrossRef]
- Maly, T.; Zahalka, F.; Mala, L. Muscular strength and strength asymmetries in elite and sub-elite professional soccer players. Sports Sci. 2014, 7, 26–33. [Google Scholar]
- Zakas, A. Bilateral isokinetic peak torque of quadriceps and hamstring muscles in professional soccer players with dominance on one or both two sides. J. Sports Med. Phys. Fit. 2006, 46, 28–35. [Google Scholar]
- Dauty, M.; Menu, P.; Fouasson-chailloux, A.; Ferréol, S.; Dubois, C. Prediction of hamstring injury in professional soccer players by isokinetic measurements. Muscles Ligaments Tendons J. 2016, 6, 116–123. [Google Scholar] [CrossRef] [PubMed]
- Silva, J.R.; Ascensão, A.; Marques, F.; Seabra, A.; Rebelo, A.; Magalhães, J. Neuromuscular function, hormonal and redox status and muscle damage of professional soccer players after a high-level competitive match. Eur. J. Appl. Physiol. 2013, 113, 2193–2201. [Google Scholar] [CrossRef]
- Eniseler, N.; Sahan, C.; Vurgun, H.; Mavi, H.F. Isokinetic strength responses to season-long training and competition in Turkish elite soccer players. J. Hum. Kinet. 2012, 31, 159–168. [Google Scholar] [CrossRef]
- Cometti, G.; Maffiuletti, N.A.; Pousson, M.; Chatard, J.C.; Maffulli, N. Isokinetic strength and anaerobic power of elite, sub elite and amateur French soccer players. Int. J. Sports Med. 2001, 22, 45–51. [Google Scholar] [CrossRef]
- Gür, H.; Akova, B.; Pündük, Z.; Küçükoǧlu, S. Effects of age on the reciprocal peak torque ratios during knee muscle contractions in elite soccer players. Scand. J. Med. Sci. Sports 1999, 9, 81–87. [Google Scholar] [CrossRef]
- Wright, J.; Ball, N.; Wood, L. Fatigue, H/Q ratios and muscle coactivation in recreational football players. Isok. Exerc. Sci. 2009, 17, 161–167. [Google Scholar] [CrossRef]
- Ahmad, C.S.; Clark, A.M.; Heilmann, N.; Schoeb, J.S.; Gardner, T.R.; Levine, W.N. Effect of gender and maturity on quadriceps-to-hamstring strength ratio and anterior cruciate ligament laxity. Am. J. Sports Med. 2006, 34, 370–374. [Google Scholar] [CrossRef]
- O’Sullivan, K.; Burns, S. Comparing concentric isokinetic thigh muscle strength in female Gaelic football players with and without previous hamstring injury. Physiother. Pract. Res. 2009, 30, 39–44. [Google Scholar] [CrossRef]



| U-12 n = 43 | U-14 n = 63 | U-16 n = 64 | U-18 n = 53 | U-20 n = 42 | |
|---|---|---|---|---|---|
| Age (yrs) | 11.50 (±0.40) | 13.60 (±0.30) | 15.40 (±0.50) | 17.50 (±0.40) | 19.30 (±0.60) |
| Training age (yrs) | 3.2 (±0.60) | 5.50 (±1.00) | 7.40 (±2.00) | 8.50 (±1.50) | 10.90 (±1.90) |
| Height (cm) | 148 (±2.04) | 156 (±7.02) | 166 (±1.01) | 176 (±4.02) | 178 (±6.02) |
| Weight (kg) | 38.61 (±3.31) | 48.89 (±4.48) | 57.50 (±14.05) | 70.10 (±5.45) | 73.45 (±5.80) |
| U12 | Decrease% | |||||
|---|---|---|---|---|---|---|
| Angular velocity | 60·s−1 | 180·s−1 | 300·s−1 | 60–180 | 180–300 | 60–300 |
| Hamstrings | 74.13 (±17.59) | 58.46 (±21.30) | 47.37 (±17.96) | 21.13 | 18.97 | 36.09 |
| Quadriceps | 144.86 (±30.48) | 103.51 (±31.33) | 84.23 (±28.75) | 28.54 | 18.62 | 41.85 |
| Differences (Nm) | −70.73 | −44.5 | −36.86 | −7.41 | 0.35 | −5.76 |
| H:Q (%) | 51.17 | 56.47 | 56.07 | |||
| U14 | Decrease % | |||||
| Angular velocity | 60·s−1 | 180·s−1 | 300·s−1 | 60–180 | 180–300 | 60–300 |
| Hamstrings | 91.09 (±28.30) | 64.63 (±26.02) | 48.01 (±22.81) | 29.04 | 25.71 | 47.29 |
| Quadriceps | 161.36 (±39.61) | 113.28 (±35.01) | 85.15 (±29.41) | 29.79 | 24.83 | 47.22 |
| Differences (Nm) | −70.27 | −48.65 | −37.14 | −0.75 | 0.88 | 0.07 |
| H:Q (%) | 59.89 | 57.82 | 59.82 | |||
| U16 | Decrease % | |||||
| Angular velocity | 60·s−1 | 180·s−1 | 300·s−1 | 60–180 | 180–300 | 60–300 |
| Hamstrings | 102.76 (±31.01) | 66.09 (±22.62) | 42.98 (±16.00) | 35.68 | 34.96 | 58.17 |
| Quadriceps | 172.53 (±42.65) | 118.96 (±35.07) | 88.01 (±26.67) | 31.04 | 26.01 | 49.07 |
| Differences (Nm) | −69.77 | −47.13 | −45.03 | 4.64 | −8.95 | 9.10 |
| H:Q (%) | 59.56 | 55.55 | 48.83 | |||
| U18 | Decrease % | |||||
| Angular velocity | 60·s−1 | 180·s−1 | 300·s−1 | 60–180 | 180–300 | 60–300 |
| Hamstrings | 133.49 (±23.75) | 93.64 (±18.60) | 66.24 (±15.94) | 29.85 | 29.26 | 50.37 |
| Quadriceps | 224.33 (±33.38) | 159.30 (±25.28) | 119.13 (±18.89) | 29.98 | 25.21 | 46.89 |
| Differences (Nm) | −90.84 | −65.66 | −52.89 | −0.13 | 4.05 | 3.48 |
| H:Q (%) | 59.50 | 58.78 | 55.60 | |||
| U20 | Decrease % | |||||
| Angular velocity | 60·s−1 | 180·s−1 | 300·s−1 | 60–180 | 180–300 | 60–300 |
| Hamstrings | 154.76 (±18.91) | 106.80 (±16.46) | 70.97 (±12.21) | 30.98 | 33.54 | 54.14 |
| Quadriceps | 251.66 (±28.76) | 176.19 (±22.40) | 130.14 (±20.19) | 29.98 | 35.93 | 48.28 |
| Differences (Nm) | −96.90 | −69.39 | −57.98 | 1.00 | −2.39 | 5.86 |
| H:Q (%) | 61.49 | 60.61 | 54.53 | |||
Disclaimer/Publisher’s Note: The statements, opinions and data contained in all publications are solely those of the individual author(s) and contributor(s) and not of MDPI and/or the editor(s). MDPI and/or the editor(s) disclaim responsibility for any injury to people or property resulting from any ideas, methods, instructions or products referred to in the content. |
© 2023 by the authors. Licensee MDPI, Basel, Switzerland. This article is an open access article distributed under the terms and conditions of the Creative Commons Attribution (CC BY) license (https://creativecommons.org/licenses/by/4.0/).
Share and Cite
Mandroukas, A.; Michailidis, Y.; Metaxas, T. Muscle Strength and Hamstrings to Quadriceps Ratio in Young Soccer Players: A Cross-Sectional Study. J. Funct. Morphol. Kinesiol. 2023, 8, 70. https://doi.org/10.3390/jfmk8020070
Mandroukas A, Michailidis Y, Metaxas T. Muscle Strength and Hamstrings to Quadriceps Ratio in Young Soccer Players: A Cross-Sectional Study. Journal of Functional Morphology and Kinesiology. 2023; 8(2):70. https://doi.org/10.3390/jfmk8020070
Chicago/Turabian StyleMandroukas, Athanasios, Yiannis Michailidis, and Thomas Metaxas. 2023. "Muscle Strength and Hamstrings to Quadriceps Ratio in Young Soccer Players: A Cross-Sectional Study" Journal of Functional Morphology and Kinesiology 8, no. 2: 70. https://doi.org/10.3390/jfmk8020070
APA StyleMandroukas, A., Michailidis, Y., & Metaxas, T. (2023). Muscle Strength and Hamstrings to Quadriceps Ratio in Young Soccer Players: A Cross-Sectional Study. Journal of Functional Morphology and Kinesiology, 8(2), 70. https://doi.org/10.3390/jfmk8020070

