Perception of Velocity during Free-Weight Exercises: Difference between Back Squat and Bench Press
Abstract
:1. Introduction
- (1)
- If the PV can be improved through specific training sessions twice a week for 5 weeks;
- (2)
- If the PV differs between exercise modalities (upper or lower body exercise, supine and upright position);
- (3)
- If the PV accuracy differs in the different intensity zones.
2. Materials and Methods
2.1. Study Design
2.2. Subjects
2.3. Procedures
2.3.1. The 1RM Test Sessions
2.3.2. Perception Assessment
2.3.3. Training Program
2.4. Statistical Analysis
3. Results
3.1. Qualitative Analysis
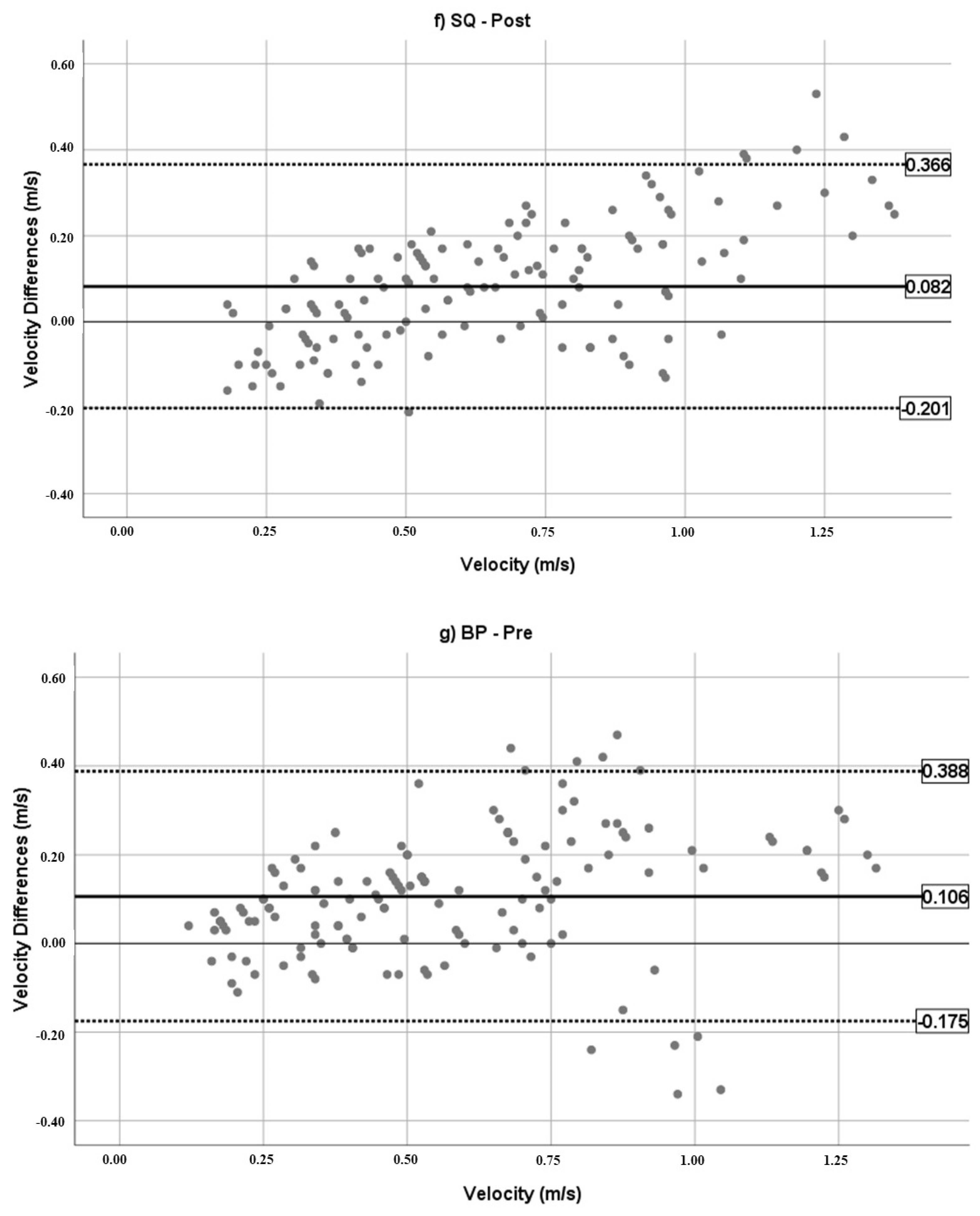
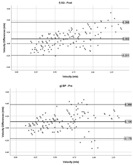
3.2. Agreement between Perceived and Real Velocity
3.3. Delta Score (ds)
4. Discussion
5. Conclusions
Author Contributions
Funding
Institutional Review Board Statement
Informed Consent Statement
Data Availability Statement
Acknowledgments
Conflicts of Interest
References
- Communications, S. Progression Models in Resistance Training for Healthy Adults. Med. Sci. Sport. Exerc. 2009, 41, 687–708. [Google Scholar] [CrossRef]
- Kraemer, W.J.; Ratamess, N.A. Fundamentals of Resistance Training: Progression and Exercise Prescription. Med. Sci. Sport. Exerc. 2004, 36, 674–688. [Google Scholar] [CrossRef] [PubMed]
- Banyard, H.G.; Tufano, J.J.; Delgado, J.; Thompson, S.W.; Nosaka, K. Comparison of the Effects of Velocity-Based Training Methods and Traditional 1RM-Percent-Based Training Prescription on Acute Kinetic and Kinematic Variables. Int. J. Sports Physiol. Perform. 2019, 14, 246–255. [Google Scholar] [CrossRef] [PubMed] [Green Version]
- Scott, B.R.; Duthie, G.M.; Thornton, H.R.; Dascombe, B.J. Training Monitoring for Resistance Exercise: Theory and Applications. Sport. Med. 2016, 46, 687–698. [Google Scholar] [CrossRef] [PubMed]
- Graham, T.; Cleather, D.J. Autoregulation by “Repetitions in Reserve” Leads to Greater Improvements in Strength Over a 12-Week Training Program Than Fixed Loading. J. Strength Cond. Res. 2019, 35, 2451–2456. [Google Scholar] [CrossRef]
- Larsen, S.; Kristiansen, E.; van den Tillaar, R. Effects of subjective and objective autoregulation methods for intensity and volume on enhancing maximal strength during resistance-training interventions: A systematic review. PeerJ 2021, 9, e10663. [Google Scholar] [CrossRef]
- Mann, J.B.; Thyfault, J.P.; Ivey, P.A.; Sayers, S.P. The Effect of Autoregulatory Progressive Resistance Exercise vs. Linear Periodization on Strength Improvement in College Athletes. J. Strength Cond. Res. 2010, 24, 1718–1723. [Google Scholar] [CrossRef] [Green Version]
- Shattock, K.; Tee, J.C. Autoregulation in Resistance Training: A Comparison of Subjective Versus Objective Methods. J. Strength Cond. Res. 2022, 36, 641–648. [Google Scholar] [CrossRef]
- Włodarczyk, M.; Adamus, P.; Zieliński, J.; Kantanista, A. Effects of Velocity-Based Training on Strength and Power in Elite Athletes—A Systematic Review. Int. J. Environ. Res. Public Health 2021, 18, 5257. [Google Scholar] [CrossRef]
- Dorrell, H.F.; Smith, M.F.; Gee, T.I. Comparison of Velocity-Based and Traditional Percentage-Based Loading Methods on Maximal Strength and Power Adaptations. J. Strength Cond. Res. 2020, 34, 46–53. [Google Scholar] [CrossRef]
- Guerriero, A.; Varalda, C.; Piacentini, M. The Role of Velocity Based Training in the Strength Periodization for Modern Athletes. J. Funct. Morphol. Kinesiol. 2018, 3, 55. [Google Scholar] [CrossRef] [PubMed] [Green Version]
- Marín, M.B.; Jaramillo, A.R.; Santamaría, J.G.; Rosell, D.R. Velocity-Based Resistance Training on 1-RM, Jump and Sprint Performance: A Systematic Review of Clinical Trials. Sports 2022, 10, 8. [Google Scholar] [CrossRef] [PubMed]
- Lazarus, A.; Halperin, I.; Vaknin, G.J.; Dello Iacono, A. Perception of changes in bar velocity as a resistance training monitoring tool for athletes. Physiol. Behav. 2021, 231, 113316. [Google Scholar] [CrossRef] [PubMed]
- Bautista, I.J.; Chirosa, I.J.; Chirosa, L.J.; Martín, I.; González, A.; Robertson, R.J. Development and validity of a scale of perception of velocity in resistance exercise. J. Sports Sci. Med. 2014, 13, 542–549. [Google Scholar]
- Bautista, I.J.; Chirosa, I.J.; Robinson, J.E.; Chirosa, L.J.; Martínez, I. Concurrent Validity of a Velocity Perception Scale to Monitor Back Squat Exercise Intensity in Young Skiers. J. Strength Cond. Res. 2016, 30, 421–429. [Google Scholar] [CrossRef]
- Sindiani, M.; Lazarus, A.; Iacono, A.D.; Halperin, I. Perception of changes in bar velocity in resistance training: Accuracy levels within and between exercises. Physiol. Behav. 2020, 224, 113025. [Google Scholar] [CrossRef]
- González-Badillo, J.J.; Sánchez-Medina, L. Movement Velocity as a Measure of Loading Intensity in Resistance Training. Int. J. Sports Med. 2010, 31, 347–352. [Google Scholar] [CrossRef]
- Benavides-Ubric, A.; Díez-Fernández, D.M.; Rodríguez-Pérez, M.A.; Ortega-Becerra, M.; Pareja-Blanco, F. Analysis of the Load-Velocity Relationship in Deadlift Exercise. J. Sports Sci. Med. 2020, 19, 452–459. [Google Scholar]
- Lopez, C.; Lacour, M.; Léonard, J.; Magnan, J.; Borel, L. How body position changes visual vertical perception after unilateral vestibular loss. Neuropsychologia 2008, 46, 2435–2440. [Google Scholar] [CrossRef]
- Pfeiffer, C.; Lopez, C.; Schmutz, V.; Duenas, J.A.; Martuzzi, R.; Blanke, O. Multisensory Origin of the Subjective First-Person Perspective: Visual, Tactile, and Vestibular Mechanisms. PLoS ONE 2013, 8, e061751. [Google Scholar] [CrossRef] [Green Version]
- Moreno-Villanueva, A.; Pino-Ortega, J.; Rico-González, M. Validity and reliability of linear position transducers and linear velocity transducers: A systematic review. Sport. Biomech. 2021, 1–30. [Google Scholar] [CrossRef]
- Jovanović, M.; Flanagan, E.P. Researched applications of velocity based strength training. J. Aust. Strength Cond. 2014, 22, 58–69. [Google Scholar]
- Loturco, I.; Kobal, R.; Moraes, J.E.; Kitamura, K.; Cal Abad, C.C.; Pereira, L.A.; Nakamura, F.Y. Predicting the Maximum Dynamic Strength in Bench Press: The High Precision of the Bar Velocity Approach. J. Strength Cond. Res. 2017, 31, 1127–1131. [Google Scholar] [CrossRef] [PubMed]
- García-Ramos, A.; Barboza-González, P.; Ulloa-Díaz, D.; Rodriguez-Perea, A.; Martinez-Garcia, D.; Guede-Rojas, F.; Hinojosa-Riveros, H.; Chirosa-Ríos, L.J.; Cuevas-Aburto, J.; Janicijevic, D.; et al. Reliability and validity of different methods of estimating the one-repetition maximum during the free-weight prone bench pull exercise. J. Sports Sci. 2019, 37, 2205–2212. [Google Scholar] [CrossRef] [PubMed]
- García-Ramos, A.; Ulloa-Díaz, D.; Barboza-González, P.; Rodríguez-Perea, Á.; Martínez-García, D.; Quidel-Catrilelbún, M.; Guede-Rojas, F.; Cuevas-Aburto, J.; Janicijevic, D.; Weakley, J. Assessment of the load-velocity profile in the free-weight prone bench pull exercise through different velocity variables and regression models. PLoS ONE 2019, 14, e0212085. [Google Scholar] [CrossRef] [PubMed]






| Group | Age (Years) | Body Mass (kg) | Height (cm) | Back Squat | Bench Press | |||
|---|---|---|---|---|---|---|---|---|
| 1RM (kg) | 1RM/BW | 1RM (kg) | 1RM/BW | |||||
| EG | Males | 26.9 (±5) | 82.2 (±7.5) | 183.3 (±5.4) | 118.3 (±20.5) | 1.44 (±0.24) | 87.8 (±13.5) | 1.07 (±0.16) |
| Females | 26 (±3.8) | 60 (±7.5) | 169.8 (±3.6) | 96.4 (±18.2) | 1.61 (±0.28) | 64.5 (±15.5) | 1.07 (±0.24) | |
| CG | Males | 26.9 (±3.2) | 79.6 (±15.5) | 178.8 (±9.4) | 139.6 (±23.3) | 1.79 (±0.33) | 93.2 (±18.6) | 1.20 (±0.26) |
| Females | 23.8 (±2.9) | 59.8 (±5.6) | 164.5 (±3.7) | 86.4 (±14.5) | 1.45 (±0.25) | 59.5 (±11.7) | 1.0 (±0.15) | |
| 1RM TEST (Back Squat—Bench Press) | |||
|---|---|---|---|
| Protocol | |||
| MPV (m·s−1) | Load | Reps | Rest (min) |
| 20 kg | 5 | 3 | |
| >0.8 | +20 kg | 3 | 3 |
| 0.6–0.8 | +10 kg | 2 | 3 |
| 0.5–0.6 | +5 kg | 1 | 3 |
| <0.5 | +2.5 kg | 1 | 3 |
| Blinded Load Test | |
|---|---|
| Protocol | |
| Exercise | MPV (m·s−1) |
| Bench Press | >1 |
| 0.6–0.8 | |
| 0.5–0.6 | |
| 0.3–0.5 | |
| <0.3 | |
| Back Squat | 1–1.2 |
| 0.7–0.9 | |
| 0.5–0.6 | |
| 0.4–0.5 | |
| <0.4 | |
| Session | Exercise | Sets | Reps | RIR | Rest |
|---|---|---|---|---|---|
| 1 | Back Squat | 1 | 10 | 2–3 | 3 min |
| 1 | 8 | 2–3 | |||
| 2 | 6 | 1 | |||
| 2 | 4 | 1 | |||
| 2 | 2 | 1 | |||
| Bench Press | 1 | 15 | 2–3 | 3 min | |
| 1 | 12 | 2–3 | |||
| 2 | 10 | 1 | |||
| 2 | 8 | 1 | |||
| 2 | Bench Press | 1 | 10 | 2–3 | 3 min |
| 1 | 8 | 2–3 | |||
| 2 | 6 | 1 | |||
| 2 | 4 | 1 | |||
| 2 | 2 | 1 | |||
| Back Squat | 1 | 15 | 2–3 | 3 min | |
| 1 | 12 | 2–3 | |||
| 2 | 10 | 1 | |||
| 2 | 8 | 1 |
| DELTA SCORE (m·s−1) | Group | |
|---|---|---|
| EG | CG | |
| Median ± Interquartile Range | Median ± Interquartile Range | |
| SQ Pre | −0.035 ± 0.35 | −0.055 ± 0.18 |
| SQ Post | −0.010 ± 0.14 | −0.080 ± 0.20 |
| BP Pre | −0.190 ± 0.29 * | −0.105 ± 0.18 |
| BP Post | −0.070 ± 0.15 * | −0.130 ± 0.21 |
Publisher’s Note: MDPI stays neutral with regard to jurisdictional claims in published maps and institutional affiliations. |
© 2022 by the authors. Licensee MDPI, Basel, Switzerland. This article is an open access article distributed under the terms and conditions of the Creative Commons Attribution (CC BY) license (https://creativecommons.org/licenses/by/4.0/).
Share and Cite
Romagnoli, R.; Piacentini, M.F. Perception of Velocity during Free-Weight Exercises: Difference between Back Squat and Bench Press. J. Funct. Morphol. Kinesiol. 2022, 7, 34. https://doi.org/10.3390/jfmk7020034
Romagnoli R, Piacentini MF. Perception of Velocity during Free-Weight Exercises: Difference between Back Squat and Bench Press. Journal of Functional Morphology and Kinesiology. 2022; 7(2):34. https://doi.org/10.3390/jfmk7020034
Chicago/Turabian StyleRomagnoli, Ruggero, and Maria Francesca Piacentini. 2022. "Perception of Velocity during Free-Weight Exercises: Difference between Back Squat and Bench Press" Journal of Functional Morphology and Kinesiology 7, no. 2: 34. https://doi.org/10.3390/jfmk7020034
APA StyleRomagnoli, R., & Piacentini, M. F. (2022). Perception of Velocity during Free-Weight Exercises: Difference between Back Squat and Bench Press. Journal of Functional Morphology and Kinesiology, 7(2), 34. https://doi.org/10.3390/jfmk7020034

