Test–Retest Reliability of Cervical Strength Testing Protocols with Handheld Dynamometer in Prepubertal and Pubertal Untrained Boys
Abstract
1. Introduction
2. Materials and Methods
2.1. Participants
2.2. Study Design
2.3. Testing Procedures
2.3.1. Anthropometric Characteristics and Biological Age
2.3.2. Cervical Strength
2.4. Statistics
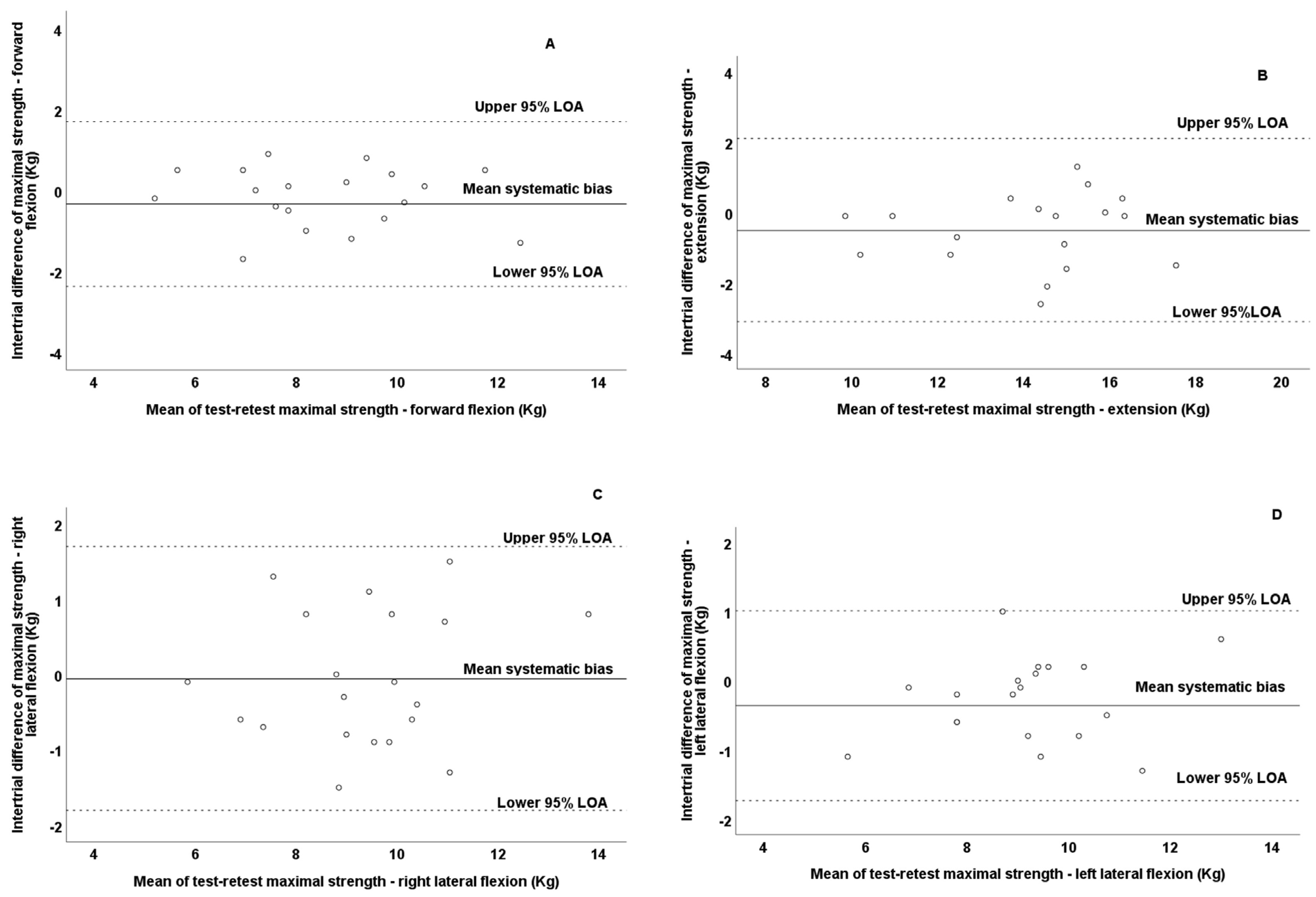
3. Results
3.1. Prepubertal Boys
3.1.1. Cervical Strength (Forward Flexion, Extension, and Lateral Flexion) in Prepubertal Boys
3.1.2. Cervical Flexion-to-Extension Ratio in Prepubertal Boys
3.2. Pubertal Boys
3.2.1. Cervical Strength (Forward Flexion, Extension, and Lateral Flexion) in Pubertal Boys
3.2.2. Cervical Flexion-to-Extension Ratio in Pubertal Boys
3.3. Comparison Between Prepubertal and Pubertal Boys
3.4. Total Sample
3.4.1. Cervical Strength (Forward Flexion, Extension, and Lateral Flexion) in the Total Sample
3.4.2. Cervical Flexion-to-Extension Ratio in the Total Sample
4. Discussion
5. Conclusions
Author Contributions
Funding
Institutional Review Board Statement
Informed Consent Statement
Data Availability Statement
Conflicts of Interest
References
- Fares, J.; Fares, M.Y.; Fares, Y. Musculoskeletal neck pain in children and adolescents: Risk factors and complications. Surg. Neurol. Int. 2017, 8, 72. [Google Scholar] [CrossRef] [PubMed]
- Gheysvandi, E.; Dianat, I.; Heidarimoghadam, R.; Tapak, L.; Karimi-Shahanjarini, A.; Rezapur-Shahkolai, F. Neck and shoulder pain among elementary school students: Prevalence and its risk factors. BMC Public Health 2019, 19, 1299. [Google Scholar] [CrossRef] [PubMed]
- Keeratisiroj, O.; Siritaratiwat, W. Prevalence of self-reported musculoskeletal pain symptoms among school-age adolescents: Age and sex differences. Scand. J. Pain. 2018, 18, 273–280. [Google Scholar] [CrossRef] [PubMed]
- Mandhwani, S.; Zia, S.; Shaikh, E.S.; Duarte, D.; Tanveer, E. Association between Cell Phone Usage and Musculoskeletal Disorders in School Going Children. J. Musculoskelet. Res. 2022, 25, 2250003. [Google Scholar] [CrossRef]
- Minghelli, B. Musculoskeletal spine pain in adolescents: Epidemiology of non-specific neck and low back pain and risk factors. J. Orthop. Sci. 2020, 25, 776–780. [Google Scholar] [CrossRef]
- Noconjo, L.; Horn, A. An epidemiology of paediatric cervical spine injuries at the Red Cross War Memorial Children’s Hospital over a ten-year period. SA Orthop. J. 2020, 19, 18–22. [Google Scholar] [CrossRef]
- Poorman, G.W.; Segreto, F.A.; Beaubrun, B.M.; Jalai, C.M.; Horn, S.R.; Bortz, C.A.; Diebo, B.G.; Vira, S.; Bono, O.J.; DE LA Garza-Ramos, R.; et al. Traumatic Fracture of the Pediatric Cervical Spine: Etiology, Epidemiology, Concurrent Injuries, and an Analysis of Perioperative Outcomes Using the Kids’ Inpatient Database. Int. J. Spine Surg. 2019, 13, 68–78. [Google Scholar] [CrossRef]
- Nunes, P.P.B.; Abdon, A.P.V.; Brito, C.B.; Silva, F.V.M.; Santos, I.C.A.; Martins, D.Q.; Meira, P.M.F.; Frota, M.A. Factors related to smartphone addiction in adolescents from a region in Northeastern Brazil. Fatores relacionados à dependência do smartphone em adolescentes de uma região do Nordeste brasileiro. Cien Saude Colet. 2021, 26, 2749–2758. [Google Scholar] [CrossRef]
- Murphy, S.; Buckle, P.; Stubbs, D. A cross-sectional study of self-reported back and neck pain among English schoolchildren and associated physical and psychological risk factors. Appl. Ergon. 2007, 38, 797–804. [Google Scholar] [CrossRef]
- Shan, Z.; Deng, G.; Li, J.; Li, Y.; Zhang, Y.; Zhao, Q. How schooling and lifestyle factors affect neck and shoulder pain? A cross-sectional survey of adolescents in China. Spine 2014, 39, E276–E283. [Google Scholar] [CrossRef]
- Myrtveit, S.M.; Sivertsen, B.; Skogen, J.C.; Frostholm, L.; Stormark, K.M.; Hysing, M. Adolescent neck and shoulder pain--the association with depression, physical activity, screen-based activities, and use of health care services. J. Adolesc. Health 2014, 55, 366–372. [Google Scholar] [CrossRef] [PubMed]
- Diepenmaat, A.C.; van der Wal, M.F.; de Vet, H.C.; Hirasing, R.A. Neck/shoulder, low back, and arm pain in relation to computer use, physical activity, stress, and depression among Dutch adolescents. Pediatrics 2006, 117, 412–416. [Google Scholar] [CrossRef] [PubMed]
- Ehrmann Feldman, D.; Shrier, I.; Rossignol, M.; Abenhaim, L. Risk factors for the development of neck and upper limb pain in adolescents. Spine 2002, 27, 523–528. [Google Scholar] [CrossRef] [PubMed]
- Andersen, L.L.; Kjaer, M.; Søgaard, K.; Hansen, L.; Kryger, A.I.; Sjøgaard, G. Effect of two contrasting types of physical exercise on chronic neck muscle pain. Arthritis Rheum. 2008, 59, 84–91. [Google Scholar] [CrossRef]
- Ylinen, J.; Takala, E.P.; Nykänen, M.; Häkkinen, A.; Mälkiä, E.; Pohjolainen, T.; Karppi, S.L.; Kautiainen, H.; Airaksinen, O. Active neck muscle training in the treatment of chronic neck pain in women: A randomized controlled trial. JAMA 2003, 289, 2509–2516. [Google Scholar] [CrossRef]
- Karatrantou, K.; Gerodimos, V. A Comprehensive Workplace Exercise Intervention to Reduce Musculoskeletal Pain and Improve Functional Capacity in Office Workers: A Randomized Controlled Study. Healthcare 2024, 12, 915. [Google Scholar] [CrossRef]
- Karatrantou, K.; Gerodimos, V.; Manouras, N.; Vasilopoulou, T.; Melissopoulou, A.; Mesiakaris, A.F.; Theodorakis, Y. Health-Promoting Effects of a Concurrent Workplace Training Program in Inactive Office Workers (HealPWorkers): A Randomized Controlled Study. Am. J. Health Promot. 2020, 34, 376–386. [Google Scholar] [CrossRef]
- Chiu, T.T.; Sing, K.L. Evaluation of cervical range of motion and isometric neck muscle strength: Reliability and validity. Clin. Rehabil. 2002, 16, 851–858. [Google Scholar] [CrossRef]
- Cagnie, B.; Cools, A.; De Loose, V.; Cambier, D.; Danneels, L. Differences in isometric neck muscle strength between healthy controls and women with chronic neck pain: The use of a reliable measurement. Arch. Phys. Med. Rehabil. 2007, 88, 1441–1445. [Google Scholar] [CrossRef]
- McBride, L.; James, R.S.; Alsop, S.; Oxford, S.W. Intra and Inter-Rater Reliability of a Novel Isometric Test of Neck Strength. Sports 2022, 11, 2. [Google Scholar] [CrossRef]
- Salo, P.K.; Ylinen, J.J.; Mälkiä, E.A.; Kautiainen, H.; Häkkinen, A.H. Isometric strength of the cervical flexor, extensor, and rotator muscles in 220 healthy females aged 20 to 59 years. J. Orthop. Sports Phys. Ther. 2006, 36, 495–502. [Google Scholar] [CrossRef] [PubMed]
- Strimpakos, N.; Sakellari, V.; Gioftsos, G.; Oldham, J. Intratester and intertester reliability of neck isometric dynamometry. Arch. Phys. Med. Rehabil. 2004, 85, 1309–1316. [Google Scholar] [CrossRef]
- Oksanen, A.; Ylinen, J.J.; Pöyhönen, T.; Anttila, P.; Laimi, K.; Hiekkanen, H.; Salminen, J.J. Repeatability of electromyography and force measurements of the neck muscles in adolescents with and without headache. J. Electromyogr. Kinesiol. 2007, 17, 493–503. [Google Scholar] [CrossRef] [PubMed]
- Tornøe, B.; Andersen, L.L.; Skotte, J.H.; Jensen, R.; Gard, G.; Skov, L.; Hallström, I. Test-retest repeatability of strength capacity, aerobic power and pericranial tenderness of neck and shoulder muscles in children—Relevant for tension-type headache. J. Pain. Res. 2013, 6, 643–651. [Google Scholar] [CrossRef] [PubMed][Green Version]
- Fuller, C.; Falvey, É.; Schneider, K. Reliability of a neck strength test in schoolboy rugby players. Musculoskelet. Sci. Pract. 2022, 60, 102566. [Google Scholar] [CrossRef]
- Engelman, G.; Carry, P.; Sochanska, A.; Daoud, A.K.; Wilson, J.; Provance, A. Isometric Cervical Muscular Strength in Pediatric Athletes With Multiple Concussions. Clin. J. Sport. Med. 2021, 31, 36–41. [Google Scholar] [CrossRef]
- Aerts, F.; Sheets, H.; Anderson, C.; Bussie, N.; Hoskins, R.; Maninga, A.; Novak, E. Reliability and Agreement of Hand-Held Dynamometry Using Three Standard Rater Test Positions. Int. J. Sports Phys. Ther. 2025, 20, 243–252. [Google Scholar] [CrossRef]
- de Almeida, M.B.; Oliveira, C.; Ornelas, G.; Soares, T.; Souto, J.; Póvoa, A.R.; Ferreira, L.M.A.; Ricci-Vitor, A.L. Intra-Rater and Inter-Rater Reliability of the Kinvent Hand-Held Dynamometer in Young Adults. Med. Sci. Forum 2023, 22, 12. [Google Scholar] [CrossRef]
- Larson, D.; Lorenz, D.; Melton, B. Can Clinician-Stabilization with Hand-Held Dynamometry Yield a Reliable Measure of Knee Flexion Torque? Int. J. Sports Phys. Ther. 2022, 17, 1095–1103. [Google Scholar] [CrossRef]
- Schrama, P.P.; Stenneberg, M.S.; Lucas, C.; van Trijffel, E. Intraexaminer reliability of hand-held dynamometry in the upper extremity: A systematic review. Arch. Phys. Med. Rehabil. 2014, 95, 2444–2469. [Google Scholar] [CrossRef]
- Sørensen, L.; Oestergaard, L.G.; van Tulder, M.; Petersen, A.K. Measurement properties of handheld dynamometry for assessment of shoulder muscle strength: A systematic review. Scand. J. Med. Sci. Sports 2020, 30, 2305–2328. [Google Scholar] [CrossRef] [PubMed]
- Karatrantou, K.; Gerodimos, V. A comprehensive wellness profile in sedentary office employees: Health, musculoskeletal pains, functional capacity, and physical fitness indices. Work 2023, 74, 1481–1489. [Google Scholar] [CrossRef] [PubMed]
- Krause, D.A.; Hansen, K.A.; Hastreiter, M.J.; Kuhn, T.N.; Peichel, M.L.; Hollman, J.H. A Comparison of Various Cervical Muscle Strength Testing Methods Using a Handheld Dynamometer. Sports Health 2019, 11, 59–63. [Google Scholar] [CrossRef] [PubMed]
- Kubas, C.; Chen, Y.W.; Echeverri, S.; McCann, S.L.; Denhoed, M.J.; Walker, C.J.; Kennedy, C.N.; Reid, W.D. Reliability and Validity of Cervical Range of Motion and Muscle Strength Testing. J. Strength Cond. Res. 2017, 31, 1087–1096. [Google Scholar] [CrossRef]
- Vannebo, K.T.; Iversen, V.M.; Fimland, M.S.; Mork, P.J. Test-retest reliability of a handheld dynamometer for measurement of isometric cervical muscle strength. J. Back. Musculoskelet. Rehabil. 2018, 31, 557–565. [Google Scholar] [CrossRef]
- Versteegh, T.; Beaudet, D.; Greenbaum, M.; Hellyer, L.; Tritton, A.; Walton, D. Evaluating the reliability of a novel neck-strength assessment protocol for healthy adults using self-generated resistance with a hand-held dynamometer. Physiother. Can. 2015, 67, 58–64. [Google Scholar] [CrossRef]
- Nakphet, N.; Chaikumarn, M. Reliability of isometric neck and shoulder muscle strength measurements between symptomatic and asymptomatic female office workers using a hand-held dynamometer. J. Curr. Sci. Technol. 2019, 9, 67–75. [Google Scholar]
- Martins, F.; Bento, A.; Silva, A.G. Within-Session and Between-Session Reliability, Construct Validity, and Comparison Between Individuals With and Without Neck Pain of Four Neck Muscle Tests. PM R 2018, 10, 183–193. [Google Scholar] [CrossRef]
- Habberfield, J.; Schneider, G.; Schneider, K.; Katuli, S.; Olson, L. A clinical test to assess isometric cervical strength in chronic whiplash associated disorder (WAD): A reliability study. BMC Musculoskelet. Disord. 2022, 23, 736. [Google Scholar] [CrossRef]
- Stępień, A.; Osiak, T.; Rekowski, W.; Wit, A. Neck and Trunk Muscle Strength in Children With Spinal Muscular Atrophy Is Lower Than in Healthy Controls and Depends on Disease Type. Front. Neurol. 2021, 12, 628414. [Google Scholar] [CrossRef]
- Molenaar, H.M.; Zuidam, J.M.; Selles, R.W.; Stam, H.J.; Hovius, S.E. Age-specific reliability of two grip-strength dynamometers when used by children. J. Bone Jt. Surg. Am. 2008, 90, 1053–1059. [Google Scholar] [CrossRef] [PubMed]
- Svensson, E.; Waling, K.; Häger-Ross, C. Grip strength in children: Test-retest reliability using Grippit. Acta Paediatr. 2008, 97, 1226–1231. [Google Scholar] [CrossRef] [PubMed]
- Ferguson, B. ACSM’s Guidelines for Exercise Testing and Prescription, 9th ed.; Lippincott Williams & Wilkins: Philadelphia, PA, USA, 2014; Volume 58, p. 328. [Google Scholar]
- Tanner, J.M.; Whitehouse, R.H. Clinical longitudinal standards for height, weight, height velocity, weight velocity, and stages of puberty. Arch. Dis. Child. 1976, 51, 170–179. [Google Scholar] [CrossRef]
- Batatolis, C.; Karatrantou, K.; Gymnopoulos, V.; Gerodimos, V. Functional Capacity Profile of the Cervical Joint in Young Adults: Sex-Related Differences. Appl. Sci. 2023, 13, 11326. [Google Scholar] [CrossRef]
- Atkinson, G.; Nevill, A.M. Statistical methods for assessing measurement error (reliability) in variables relevant to sports medicine. Sports Med. 1998, 26, 217–238. [Google Scholar] [CrossRef]
- Bland, J.M.; Altman, D.G. Statistical methods for assessing agreement between two methods of clinical measurement. Lancet 1986, 1, 307–310. [Google Scholar] [CrossRef]
- Garcés, G.L.; Medina, D.; Milutinovic, L.; Garavote, P.; Guerado, E. Normative database of isometric cervical strength in a healthy population. Med. Sci. Sports Exerc. 2002, 34, 464–470. [Google Scholar] [CrossRef]
- Geary, K.; Green, B.S.; Delahunt, E. Intrarater reliability of neck strength measurement of rugby union players using a handheld dynamometer. J. Manip. Physiol. Ther. 2013, 36, 444–449. [Google Scholar] [CrossRef]
- Alpayci, M.; Şenköy, E.; Delen, V.; Şah, V.; Yazmalar, L.; Erden, M.; Toprak, M.; Kaplan, Ş. Decreased neck muscle strength in patients with the loss of cervical lordosis. Clin. Biomech. 2016, 33, 98–102. [Google Scholar] [CrossRef]
- Nutt, S.; McKay, M.J.; Gillies, L.; Peek, K. Neck strength and concussion prevalence in football and rugby athletes. J. Sci. Med. Sport 2022, 25, 632–638. [Google Scholar] [CrossRef]
- Walter, S.D.; Eliasziw, M.; Donner, A. Sample size and optimal designs for reliability studies. Stat. Med. 1998, 17, 101–110. Available online: https://onlinelibrary.wiley.com/doi/10.1002/(SICI)1097-0258(19980115)17:1%3C101::AID-SIM727%3E3.0.CO;2-E (accessed on 12 May 2025). [CrossRef] [PubMed]






| Variables | Prepubertal (n = 20) | Pubertal (n = 20) |
|---|---|---|
| Age (yrs) | 9.10 ± 0.61 | 13.60 ± 0.60 |
| Body height (m) | 1.38 ± 0.08 | 1.65 ± 0.10 |
| Body mass (Kg) | 37.04 ± 10.10 | 61.10 ± 14.30 |
| Biological age (Tanner Stage *) | I | III–IV |
| Test (kg) | Retest (kg) | ICC | SEM (kg) | SEM% | 95% LOA | ||
|---|---|---|---|---|---|---|---|
| Lower | Upper | ||||||
| Forward flexion | 8.88 ± 2.16 | 8.54 ± 1.88 | 0.86 | 0.75 | 8.62 | −2.38 | 1.70 |
| Extension | 14.52 ± 2.13 | 14 ± 2.27 | 0.81 | 0.97 | 6.78 | −3.08 | 2.06 |
| Right lateral flexion | 9.42 ± 1.74 | 9.36 ± 1.89 | 0.88 | 0.62 | 6.58 | −1.80 | 1.68 |
| Left lateral flexion | 9.45 ± 1.70 | 9.10 ± 1.70 | 0.90 | 0.54 | 5.82 | −1.73 | 1.02 |
| Test (kg) | Retest (kg) | ICC | SEM (kg) | SEM% | 95% LOA | ||
|---|---|---|---|---|---|---|---|
| Lower | Upper | ||||||
| Forward flexion | 12.29 ± 2.17 | 12.45 ± 2.52 | 0.96 | 0.47 | 3.79 | −1.13 | 1.45 |
| Extension | 18.76 ± 3.21 | 18.55 ± 3.06 | 0.92 | 0.89 | 4.75 | −2.70 | 2.28 |
| Right lateral flexion | 12.42 ± 1.96 | 13.02 ± 2.50 | 0.90 | 0.70 | 5.49 | −1.05 | 2.25 |
| Left lateral flexion | 13.28 ± 2.41 | 13.60 ± 2.90 | 0.93 | 0.73 | 5.41 | −1.66 | 2.30 |
| Test (kg) | Retest (kg) | ICC | SEM (kg) | SEM% | 95% LOA | ||
|---|---|---|---|---|---|---|---|
| Lower | Upper | ||||||
| Forward flexion | 10.58 ± 2.75 | 10.49 ± 2.95 | 0.95 | 0.64 | 6.05 | −1.83 | 1.65 |
| Extension | 16.64 ± 3.44 | 16.28 ± 3.52 | 0.93 | 0.92 | 5.59 | −2.87 | 2.15 |
| Right lateral flexion | 10.92 ± 2.38 | 11.19 ± 2.87 | 0.94 | 0.64 | 5.82 | −1.53 | 2.07 |
| Left lateral flexion | 11.37 ± 2.83 | 11.35 ± 3.27 | 0.96 | 0.61 | 5.37 | −1.84 | 1.80 |
Disclaimer/Publisher’s Note: The statements, opinions and data contained in all publications are solely those of the individual author(s) and contributor(s) and not of MDPI and/or the editor(s). MDPI and/or the editor(s) disclaim responsibility for any injury to people or property resulting from any ideas, methods, instructions or products referred to in the content. |
© 2025 by the authors. Licensee MDPI, Basel, Switzerland. This article is an open access article distributed under the terms and conditions of the Creative Commons Attribution (CC BY) license (https://creativecommons.org/licenses/by/4.0/).
Share and Cite
Batatolis, C.; Karatrantou, K.; Vasilopoulou, T.; Chanou, K.; Tsiakaras, N.; Gerodimos, V. Test–Retest Reliability of Cervical Strength Testing Protocols with Handheld Dynamometer in Prepubertal and Pubertal Untrained Boys. J. Funct. Morphol. Kinesiol. 2025, 10, 173. https://doi.org/10.3390/jfmk10020173
Batatolis C, Karatrantou K, Vasilopoulou T, Chanou K, Tsiakaras N, Gerodimos V. Test–Retest Reliability of Cervical Strength Testing Protocols with Handheld Dynamometer in Prepubertal and Pubertal Untrained Boys. Journal of Functional Morphology and Kinesiology. 2025; 10(2):173. https://doi.org/10.3390/jfmk10020173
Chicago/Turabian StyleBatatolis, Christos, Konstantina Karatrantou, Theodora Vasilopoulou, Konstantina Chanou, Nikolaos Tsiakaras, and Vassilis Gerodimos. 2025. "Test–Retest Reliability of Cervical Strength Testing Protocols with Handheld Dynamometer in Prepubertal and Pubertal Untrained Boys" Journal of Functional Morphology and Kinesiology 10, no. 2: 173. https://doi.org/10.3390/jfmk10020173
APA StyleBatatolis, C., Karatrantou, K., Vasilopoulou, T., Chanou, K., Tsiakaras, N., & Gerodimos, V. (2025). Test–Retest Reliability of Cervical Strength Testing Protocols with Handheld Dynamometer in Prepubertal and Pubertal Untrained Boys. Journal of Functional Morphology and Kinesiology, 10(2), 173. https://doi.org/10.3390/jfmk10020173

