Conformity to Female Gender Norms and Its Influence on Psychological Risk in Spanish Climacteric Women: A Descriptive Study
Abstract
1. Introduction
2. Materials and Methods
2.1. Study Design
2.2. Study Setting and Recruitment
2.3. Ethical Aspects
2.4. Data Collection and Instrument
2.4.1. The General Health Questionnaire (GHQ-12)
2.4.2. The Conformity to Female Gender Norms Inventory (CFNI-45)
2.5. Data Analysis
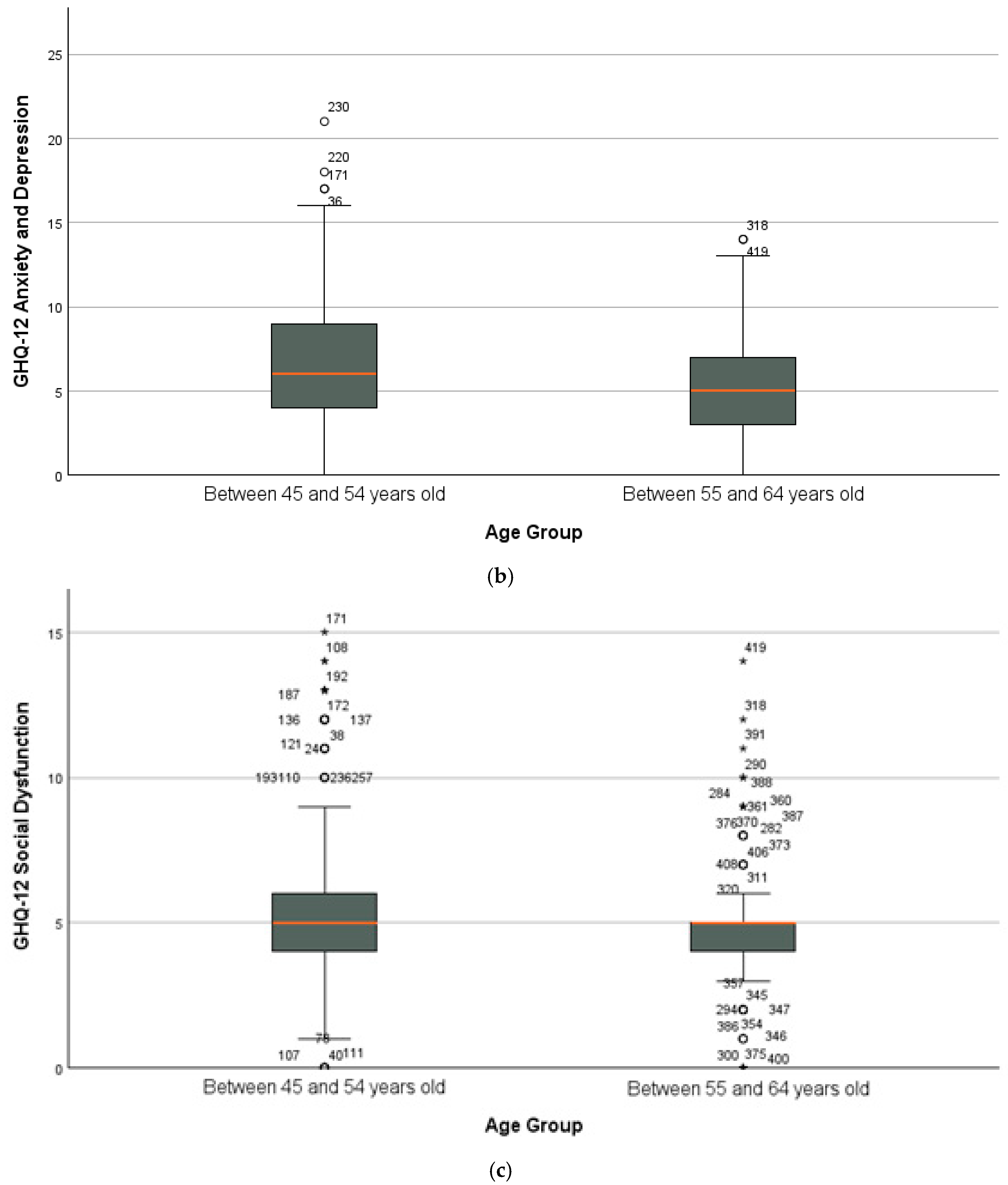
3. Results
4. Discussion
5. Conclusions
Author Contributions
Funding
Institutional Review Board Statement
Informed Consent Statement
Data Availability Statement
Conflicts of Interest
References
- Greer, G. The Change: Women, Ageing and the Menopause, 1st ed.; Bloomsbury Publishing: London, UK, 2019; ISBN 9781408886373. [Google Scholar]
- Bauld, R.; Brown, R.F. Stress, psychological distress, psychosocial factors, menopause symptoms and physical health in women. Maturitas 2009, 62, 160–165. [Google Scholar] [CrossRef]
- Süss, H.; Willi, J.; Grub, J.; Ehlert, U. Psychosocial factors promoting resilience during the menopausal transition. Arch. Women’s Ment. Health 2021, 24, 231–241. [Google Scholar] [CrossRef]
- Dillaway, H. Living in Uncertain Times: Experiences of Menopause and Reproductive Aging. In The Palgrave Handbook of Critical Menstruation Studies; Bobel, C., Winkler, I.T., Fahs, B., Hasson, K.A., Kissling, E.A., Roberts, T.-A., Eds.; Palgrave Macmillan: London, UK, 2020; pp. 253–268. [Google Scholar] [CrossRef]
- Esteban-Gonzalo, S.; Sik Ying Ho, P.; Aparicio-García, M.E.; Esteban-Gonzalo, L. Understanding the Meaning of Conformity to Feminine Norms in Lifestyle Habits and Health: A Cluster Analysis. Int. J. Environ. Res. Public Health 2020, 17, 1370. [Google Scholar] [CrossRef] [PubMed]
- del Sánchez-López, M.P.; Cuellar-Flores, I.; Dresch, V. The impact of gender roles on health. Women Health 2012, 52, 182–196. [Google Scholar] [CrossRef] [PubMed]
- Carter, M.F.; Franz, T.M.; Gruschow, J.L.; VanRyne, A.M. The gender conformity conundrum: The effects of irrelevant gender norms on public conformity. J. Soc. Psychol. 2019, 159, 761–765. [Google Scholar] [CrossRef] [PubMed]
- Hogervorst, E.; Craig, J.; O’Donnell, E. Cognition and mental health in menopause: A review. Best Pract. Res. Clin. Obstet. Gynaecol. 2022, 81, 69–84. [Google Scholar] [CrossRef] [PubMed]
- Von Elm, E.; Altman, D.G.; Egger, M.; Pocock, S.J.; Gøtzsche, P.C.; Vandenbroucke, J.P. The Strengthening the Reporting of Observational Studies in Epidemiology (STROBE) Statement: Guidelines for Reporting Observational Studies. Gac. Sanit. 2008, 22, 144–150. [Google Scholar] [CrossRef] [PubMed]
- Goldber, G.D.; Willians, P. A User’s Guide to the General Health Questionnaire, NFER-Nelson, 4th ed.; GL Assessment: London, UK, 1988. [Google Scholar]
- del Sánchez-López, M.P.; Dresch, V. The 12-Item General Health Questionnaire (GHQ-12): Reliability, external validity and factor structure in the Spanish population. Psicothema 2008, 20, 839–843. [Google Scholar]
- Mahalik, J.R.; Morray, E.B.; Coonerty-Femiano, A.; Ludlow, L.H.; Slattery, S.M.; Smiler, A. Development of the conformity to feminine norms inventory. Sex Roles 2005, 52, 417–435. [Google Scholar] [CrossRef]
- Aparicio-García, M.E.; Alvarado-Izquierdo, J.M. Is there a “Conformity to Feminine Norms” Construct? A Bifactor Analysis of two Short Versions of Conformity to Feminine Norms Inventory. Curr. Psychol. 2019, 38, 1110–1120. [Google Scholar] [CrossRef]
- Garcíaa-Calvente, M.M.; Mateo-Rodríguez, I.; Maroto-Navarro, G. El impacto de cuidar en la salud y la calidad de vida de las mujeres. Gac Sanit. 2004, 18, 83–92. [Google Scholar] [CrossRef] [PubMed]
- Gómez-Salgado, J.; Romero-Martín, M.; Ortega-Morente, E. Impacto de los cambios físicos y psicológicos en la percepción de la salud en mujeres en la mediana edad. Rev. Esp. Salud Pública 2020, 94, e202003029. [Google Scholar]
- Palacios, S.; Henderson, V.W.; Siseles, N.; Tan, D.; Villaseca, P. Age of menopause and impact of climacteric symptoms by geographical region. Climacteric J. Int. Menopause Soc. 2010, 13, 419–428. [Google Scholar] [CrossRef] [PubMed]
- Freixas, A. Nuestra Menopausia: Una Versión No Oficial; Capitan Swing S.L.: Madrid, Spain, 2024. [Google Scholar]
- Minkin, M.J. Menopause: Hormones, Lifestyle, and Optimizing Aging. Obstet. Gynecol. Clin. N. Am. 2019, 46, 501–514. [Google Scholar] [CrossRef]
- Alblooshi, S.; Taylor, M.; Gill, N. Does menopause elevate the risk for developing depression and anxiety? Results from a systematic review. Australas. Psychiatry Bull. R. Aust. N. Z. Coll. Psychiatr. 2023, 31, 165–173. [Google Scholar] [CrossRef] [PubMed]
- Faravelli, C.; Scarpato, M.A.; Castellini, G.; Lo Sauro, C. Gender differences in depression and anxiety: The role of age. Psychiatry Res. 2013, 210, 1301–1303. [Google Scholar] [CrossRef]
- Conley, T.D.; Moors, A.C.; Matsick, J.L.; Ziegler, A. The fewer the merrier? Assessing stigma surrounding consensually non-monogamous romantic relationships and the associated need for autonomy and communication. J. Soc. Pers. Relatsh. 2019, 36, 1956–1978. [Google Scholar] [CrossRef]
- Perel, E. The State of Affairs: Rethinking Infidelity, 1st ed.; Harper: New York, NY, USA, 2017; ISBN 13978-0062322586. [Google Scholar]
- Hinchliff, S.; Gott, M. Sexuality, Aging and the Search for Meaning. Sex. Relatsh. Ther. 2020, 35, 123–136. [Google Scholar]
- Wieczorek, L.L.; Chivers, M.; Koehn, M.A.; DeBruine, L.M.; Jones, B.C. Age Effects on Women’s and Men’s Dyadic and Solitary Sexual Desire. Arch. Sex. Behav. 2022, 51, 3765–3789. [Google Scholar] [CrossRef] [PubMed]
- Zheng, C.; Wu, Y. The More Modest You are, the Happier You are: The Mediating Roles of Emotional Intelligence and Self-esteem. J. Happiness Stud. 2020, 21, 1603–1615. [Google Scholar] [CrossRef]
- Ussher, J.M.; Perz, J.; Metusela, C.; Hawkey, A.J.; Morrow, M.; Narchal, R.; Estoesta, J. Negotiating Discourses of Shame, Secrecy, and Silence: Migrant and Refugee Women’s Experiences of Sexual Embodiment. Arch. Sex. Behav. 2017, 46, 1901–1921. [Google Scholar] [CrossRef]
- Hofmeier, S.M.; Runfola, C.D.; Sala, M.; Gagne, D.A.; Brownley, K.A.; Bulik, C.M. Body image, aging, and identity in women over 50: The Gender and Body Image (GABI) study. J. Women Aging 2017, 29, 3–14. [Google Scholar] [CrossRef] [PubMed]
- Carrard, I.; Argyrides, M.; Ioannou, X.; Kvalem, I.L.; Waldherr, K.; Harcourt, D.; McArdle, S. Associations between body dissatisfaction, importance of appearance, and aging anxiety with depression, and appearance-related behaviors in women in mid-life. J. Women Aging 2021, 33, 70–83. [Google Scholar] [CrossRef]
- Kilpela, L.S.; Hooper, S.C.; Straud, C.L.; Marshall, V.B.; Verzijl, C.L.; Stewart, T.M.; Loera, T.T.; Becker, C.B. The Longitudinal Associations of Body Dissatisfaction with Health and Wellness Behaviors in Midlife and Older Women. Int. J. Environ. Res. Public Health 2023, 20, 7143. [Google Scholar] [CrossRef] [PubMed]
- Schaefer, L.M.; Burke, N.L.; Calogero, R.M.; Menzel, J.E.; Krawczyk, R.; Thompson, J.K. Self-objectification, body shame, and disordered eating: Testing a core mediational model of objectification theory among White, Black, and Hispanic women. Body Image 2018, 24, 5–12. [Google Scholar] [CrossRef] [PubMed]
- Gracia, P.; Esping-Andersen, G. Fathers’ childcare and mothers’ paid work: A cross-national study of Denmark, Spain and the United Kingdom. Fam. Sci. 2015, 1, 270–281. [Google Scholar] [CrossRef]
- Vinagre, A.; Aparicio Garcia, M.E.; Alvarado, J. Relationship between Assumed Differential Socialization and Emotional Disorders in Women: A Form of Covert Social Violence. Span. J. Psychol. 2020, 23, e50. [Google Scholar] [CrossRef] [PubMed]
- Chorot, P.; Valiente, R.M.; Magán, I.; Santed, M.Á. Perceived health and mental health: Development of the Multidimensional Perceived Health Questionnaire. Int. J. Environ. Res. Public Health 2020, 17, 3274. [Google Scholar]
- Fiori, K.L.; Denckla, C.A. Social Support and Mental Health in Middle-Aged Men and Women: A Multidimensional Approach. J. Aging Health 2012, 24, 407–438. [Google Scholar] [CrossRef]
- Eck, K.M.; Quick, V.; Byrd-Bredbenner, C. Body Dissatisfaction, Eating Styles, Weight-Related Behaviors, and Health among Young Women in the United States. Nutrients 2022, 14, 3876. [Google Scholar] [CrossRef] [PubMed]
- Medeiros de Morais, M.S.; Macêdo, S.G.G.F.; do Nascimento, R.A.; Vieira, M.C.A.; Moreira, M.A.; da Câmara, S.M.A.; Almeida, M.D.G.; Maciel, Á.C.C. Dissatisfaction with body image and weight gain in middle-aged women: A cross-sectional study. PLoS ONE 2024, 19, e0290380. [Google Scholar] [CrossRef]
- Johnson, P.J.; Jou, J.; Upchurch, D.M. Psychological Distress and Access to Care Among Midlife Women. J. Aging Health 2020, 32, 317–327. [Google Scholar] [CrossRef] [PubMed]
- Arnot, M.; Emmott, E.H.; Mace, R. The relationship between social support, stressful events, and menopause symptoms. PLoS ONE 2021, 16, e0245444. [Google Scholar] [CrossRef]



| Variable | N | % | ||
|---|---|---|---|---|
| Age group | ||||
| Between 45 and 54 years old | 280 | 65.3 | ||
| Between 55 and 64 years old | 149 | 34.7 | ||
| Between 45 and 54 years old N(%) | Between 55 and 64 years old N(%) | |||
| Place of residence | ||||
| Urban | 292 | 68.1 | 192 (68.6) | 100 (67.1) |
| Semi-urban | 95 | 22.1 | 62 (22.1) | 33 (22.1) |
| Rural | 42 | 9.8 | 26 (9.3) | 16 (10.7) |
| Sexual orientation | ||||
| Heterosexual | 408 | 95.1 | 270 (96.4) | 138 (92.6) |
| Homosexual | 7 | 1.6 | 4 (1.4) | 3 (2.0) |
| Bisexual | 9 | 2.1 | 5 (1.8) | 4 (2.7) |
| Other | 4 | 0.9 | 1 (0.4) | 3 (2.0) |
| Marital status | ||||
| Single woman | 67 | 15.6 | 47 (16.8) | 20 (13.4) |
| Common-law couple | 44 | 10.3 | 35 (12.5) | 9 (6.0) |
| Married | 218 | 50.8 | 131 (46.8) | 87 (58.4) |
| Separated or divorced | 89 | 20.7 | 60 (21.4) | 29 (19.5) |
| Widow | 11 | 2.6 | 7 (2.5) | 4 (2.7) |
| Educational level | ||||
| Without studies | 1 | 0.2 | 0 (0) | 1 (0.7) |
| Primary studies | 32 | 7.5 | 18 (5.4) | 14 (9.4) |
| Secondary education or similar | 144 | 33.6 | 93 (33.2) | 51 (34.2) |
| University studies | 252 | 58.7 | 169 (60.4) | 83 (55.7) |
| Employment status | ||||
| Paid work and housework | 293 | 68.3 | 203 (72.5) | 90 (60.4) |
| Housework | 43 | 10.0 | 23 (8.2) | 20 (13.4) |
| Jobless | 23 | 5.4 | 15 (5.4) | 8 (5.4) |
| Retired and pensioner | 26 | 6.1 | 7 (2.5) | 19 (12.8) |
| Another situation | 44 | 10.3 | 32 (11.4) | 12 (8.1) |
| Factors Included in Model | β | CI 95% β | Error Deviation | t-Value | p-Value |
|---|---|---|---|---|---|
| Constant | 7.655 | 4.395–10.915 | 1.658 | 4.616 | <0.001 |
| State of Health | 2.401 | 1.674–3.128 | 0.370 | 6.490 | <0.001 |
| Age Group Reference: 55–64 | −1.890 | −2.960–−0.820 | 0.544 | −3.473 | <0.001 |
| Thinness | 0.222 | 0.048–0.396 | 0.089 | 2.503 | 0.013 |
| Cohabitants | −0.449 | −0.855–−0.043 | 0.207 | −2.173 | 0.030 |
| Relation | β | SE | t | p-Value | 95%CI |
|---|---|---|---|---|---|
| DE: thinness → total GHQ-12 score | 0.1704 | 0.0580 | 2.9377 | 0.0035 | 0.0564–0.2843 |
| DE: declared state of health → total GHQ-12 score | 1.5561 | 0.2409 | 6.4602 | <0.001 | 1.0827–2.0296 |
| IE: thinness → declared state of health → total GHQ-12 score | −0.0794 | 0.0897 | −0.8849 | 0.0376 | −0.2557–0.0970 |
Disclaimer/Publisher’s Note: The statements, opinions and data contained in all publications are solely those of the individual author(s) and contributor(s) and not of MDPI and/or the editor(s). MDPI and/or the editor(s) disclaim responsibility for any injury to people or property resulting from any ideas, methods, instructions or products referred to in the content. |
© 2025 by the authors. Licensee MDPI, Basel, Switzerland. This article is an open access article distributed under the terms and conditions of the Creative Commons Attribution (CC BY) license (https://creativecommons.org/licenses/by/4.0/).
Share and Cite
Pérez, I.; Cárdaba-García, R.M.; Velasco-Gonzalez, V.; Cárdaba-García, I.; Durantez-Fernández, C.; Muñoz-del Caz, A.; Soto-Cámara, R.; Aparicio-García, M.E.; Madrigal, M.; Pérez-Pérez, L. Conformity to Female Gender Norms and Its Influence on Psychological Risk in Spanish Climacteric Women: A Descriptive Study. Sexes 2025, 6, 10. https://doi.org/10.3390/sexes6010010
Pérez I, Cárdaba-García RM, Velasco-Gonzalez V, Cárdaba-García I, Durantez-Fernández C, Muñoz-del Caz A, Soto-Cámara R, Aparicio-García ME, Madrigal M, Pérez-Pérez L. Conformity to Female Gender Norms and Its Influence on Psychological Risk in Spanish Climacteric Women: A Descriptive Study. Sexes. 2025; 6(1):10. https://doi.org/10.3390/sexes6010010
Chicago/Turabian StylePérez, Inmaculada, Rosa M. Cárdaba-García, Veronica Velasco-Gonzalez, Inés Cárdaba-García, Carlos Durantez-Fernández, Alba Muñoz-del Caz, Raúl Soto-Cámara, Marta Evelia Aparicio-García, Miguel Madrigal, and Lucía Pérez-Pérez. 2025. "Conformity to Female Gender Norms and Its Influence on Psychological Risk in Spanish Climacteric Women: A Descriptive Study" Sexes 6, no. 1: 10. https://doi.org/10.3390/sexes6010010
APA StylePérez, I., Cárdaba-García, R. M., Velasco-Gonzalez, V., Cárdaba-García, I., Durantez-Fernández, C., Muñoz-del Caz, A., Soto-Cámara, R., Aparicio-García, M. E., Madrigal, M., & Pérez-Pérez, L. (2025). Conformity to Female Gender Norms and Its Influence on Psychological Risk in Spanish Climacteric Women: A Descriptive Study. Sexes, 6(1), 10. https://doi.org/10.3390/sexes6010010

