Numerical Simulation on Self-Propulsion Characteristics of Bionic Flexible Foil Considering Ground Wall Effect
Abstract
1. Introduction
2. Physical Model
3. Numerical Method and Validation
3.1. Governing Equation
3.2. Computation Domain and Grid
3.3. Computation Procedure
3.4. Sensitivity Test
3.5. Validation Test
4. Results and Discussion
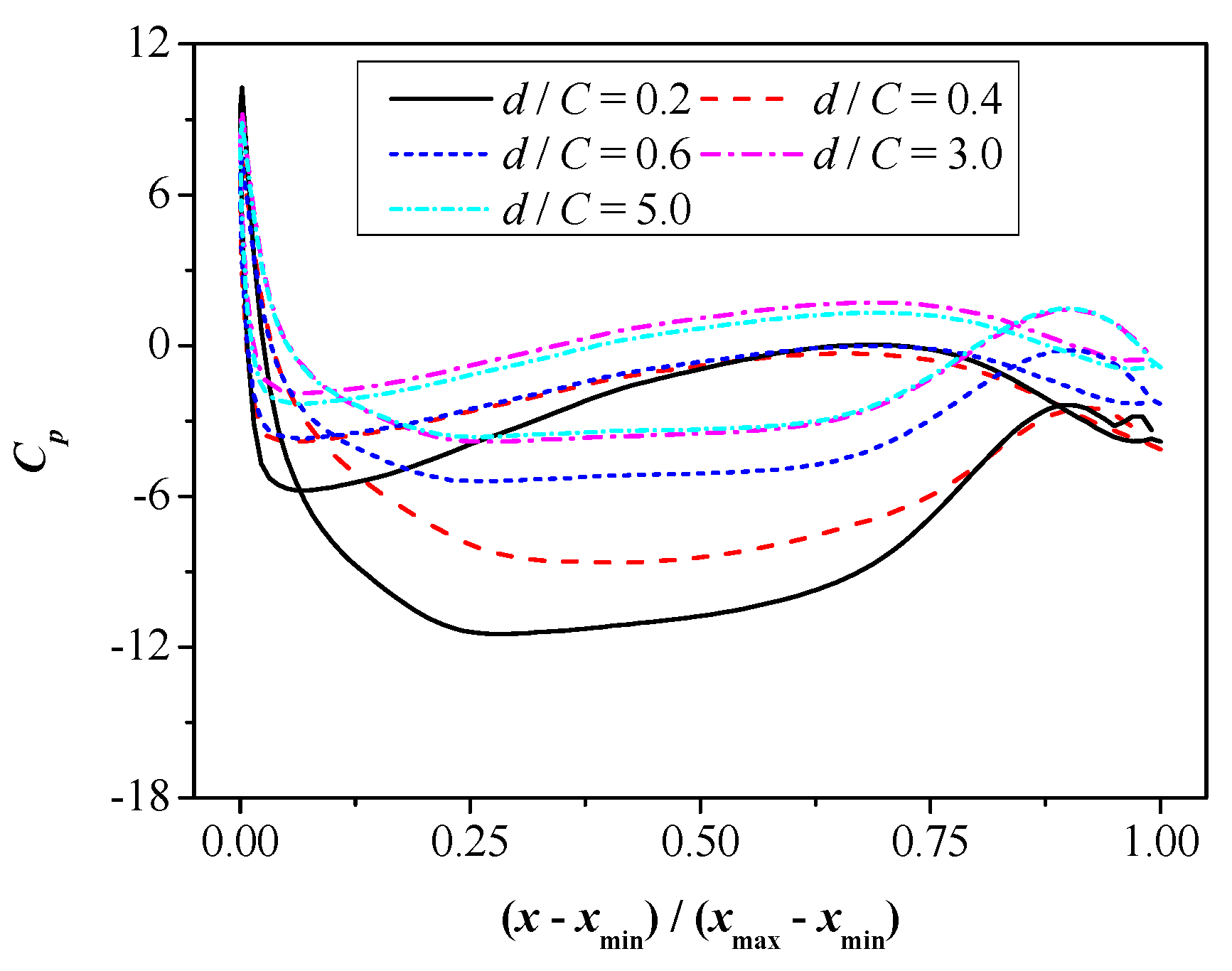
4.1. Effect of Ground Wall on Propulsive Property of 2D Foil
4.2. Effect of Ground Wall on Propulsive Property of 3D Foil
5. Conclusions
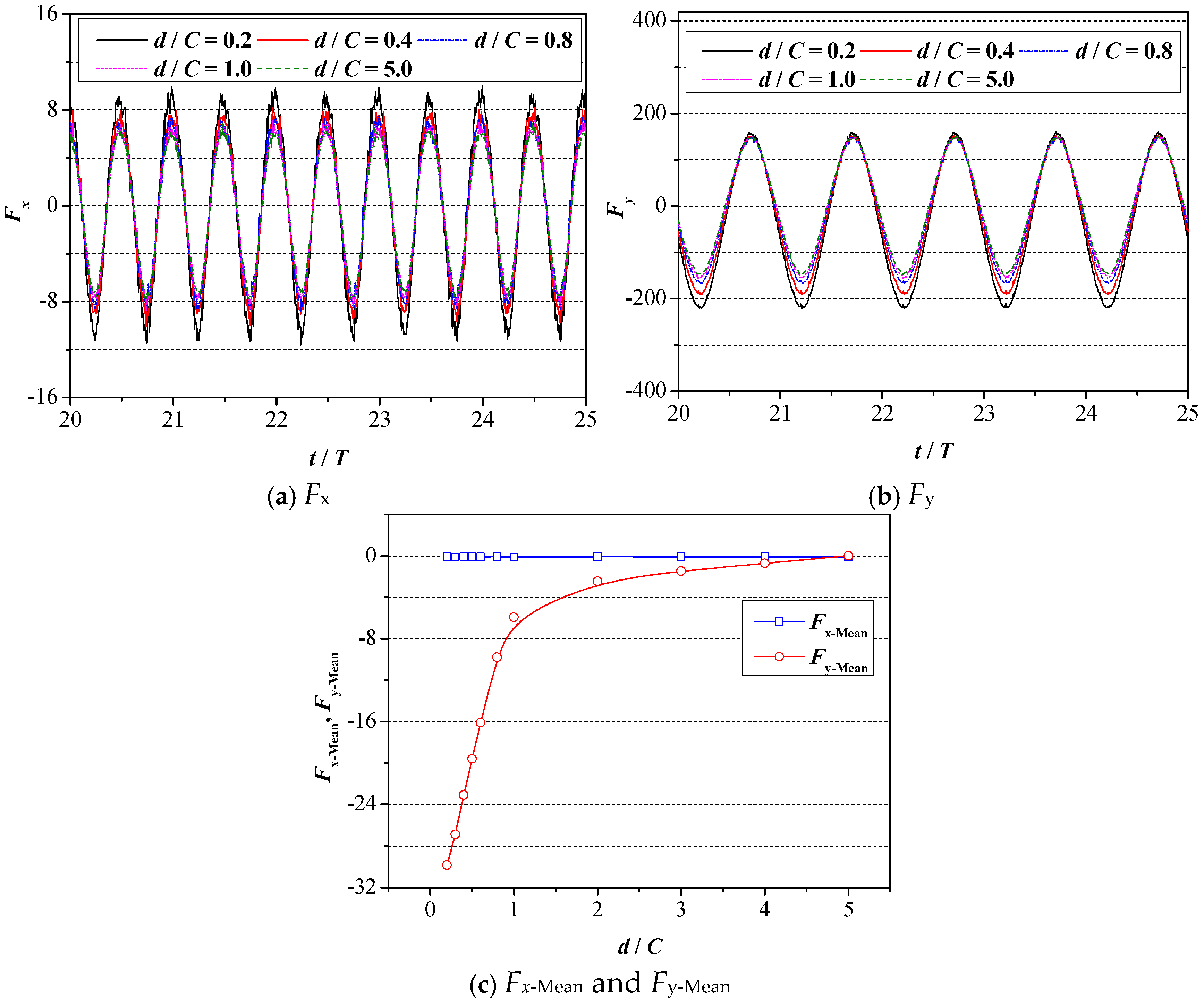
- The effect of the ground wall on the fluid dynamics of oscillating foil is tremendous. Specifically, the existence of the ground wall will break down the symmetry of the lift force, and the positive value of the lift force will increase correspondingly. As for the drag force, both the peak and valley values will increase due to the wall effect.
- The ground wall will also significantly influence the foil’s propulsive properties. As for the moving velocity, the existence of a ground wall is beneficial for the foil’s forward motion, and the closer the ground wall is, the faster the foil will move. Concerning the propulsive efficiency, the value of η descends to the valley value and then climbs with a consistent decrease in the wall distance.
- There exists a close connection between the foil’s property and the surrounding flow structures. As for the 2D foil, the existence of the ground wall results in the small distance between the two adjacent vortex structures as well as the small oblique angle of the vortex ring. In the case of 3D foil, the ground wall not only reduces the oblique angle but also increases the span length of the vortex structure, thereby reducing energy consumption.
Author Contributions
Funding
Institutional Review Board Statement
Data Availability Statement
Acknowledgments
Conflicts of Interest
References
- Wu, X.; Zhang, X.; Tian, X.; Li, X.; Lu, W. A review on fluid dynamics of flapping foils. Ocean Eng. 2020, 195, 106712. [Google Scholar] [CrossRef]
- Xu, W.; Xu, G.; Jiao, J. Experimental study of the propulsive performance and wake interactions of tandem flapping foils. Ocean Eng. 2024, 303, 117731. [Google Scholar] [CrossRef]
- Huang, X.T.; Sun, P.N.; Lyu, H.G.; Zhang, A.M. Numerical investigations on bionic propulsion problems using the multi-resolution Delta-plus SPH model. Eur. J. Mech. B/Fluids 2022, 95, 106–121. [Google Scholar] [CrossRef]
- Liu, G.; Liu, S.; Xie, Y.; Leng, D.; Li, G. The analysis of biomimetic caudal fin propulsion mechanism with CFD. Appl. Bionics Biomech. 2020, 2020, 7839049. [Google Scholar] [CrossRef]
- Zhao, J.; Mao, Q.; Pan, G.; Huang, Q.; Jin Sung, H. Effects of aspect ratio on the hydrodynamics of a self-propelled flexible plate near the ground. Phys. Fluids 2022, 34, 021908. [Google Scholar] [CrossRef]
- Zheng, Y.; Qu, Q.; Liu, P.; Hu, T. Ground Effect of a Two-Dimensional Flapping Wing Hovering in Inclined Stroke Plane. J. Fluids Eng. 2022, 144, 111206. [Google Scholar] [CrossRef]
- Li, Y.; Zhang, N.; Pan, Z. Propulsive performance of a newly conceptual design of flapping foil with fixed gurney plate—A numerical study. Ocean Eng. 2021, 239, 109800. [Google Scholar] [CrossRef]
- Moryossef, Y.; Levy, Y. Effect of oscillations on airfoils in close proximity to the ground. AIAA J. 2004, 42, 1755–1764. [Google Scholar] [CrossRef]
- Tang, G.; Lu, X. Insect normal hovering flight in ground effect. Phys. Fluids 2008, 20, 087101. [Google Scholar]
- Li, Y.; Pan, Z.; Zhang, N. Numerical analysis on the propulsive performance of oscillating wing in ground effect. Appl. Ocean. Res. 2021, 114, 102772. [Google Scholar] [CrossRef]
- Su, J.Y.; Tang, J.H.; Wang, C.H.; Yang, J.T. A numerical investigation on the ground effect of a flapping flying bird. Phys. Fluids 2013, 25, 093101. [Google Scholar] [CrossRef]
- Quinn, D.B.; Moored, K.W.; Dewey, P.A.; Smits, A.J. Unsteady propulsion near a solid boundary. J. Fluid Mech. 2014, 742, 152. [Google Scholar] [CrossRef]
- Van Truong, T.; Kim, J.; Kim, M.J.; Park, H.C.; Yoon, K.J.; Byun, D. Flow structures around a flapping wing considering ground effect. Exp. Fluids 2013, 54, 1575. [Google Scholar] [CrossRef]
- Li, Y.; Pan, Z.; Zhang, N. Propulsive properties of a flexible oscillating wing with time-varying camber deformation. Ocean Eng. 2021, 235, 109332. [Google Scholar] [CrossRef]
- Li, Y.; Pan, D.; Zhao, Q.; Ma, Z.; Wang, X. Hydrodynamic performance of an autonomous underwater glider with a pair of bioinspired hydro wings—A numerical investigation. Ocean Eng. 2018, 163, 51–57. [Google Scholar] [CrossRef]
- Li, Y.; Pan, Z.; Xia, J. Computational analysis on propulsive characteristics of flexible foil undergoing travelling wave motion in ground effect. Ocean Eng. 2022, 253, 111300. [Google Scholar] [CrossRef]
- Zhang, C.; Huang, H.; Lu, X.Y. Free locomotion of a flexible plate near the ground. Phys. Fluids 2017, 29, 041903. [Google Scholar] [CrossRef]
- Dai, L.; He, G.; Zhang, X. Self-propulsion of a flexible plunging foil near a solid wall. Proce. Eng. 2015, 126, 431–435. [Google Scholar] [CrossRef][Green Version]
- Xin, Z.; Wu, C. Vorticity dynamics and control of the three dimensional self-propelled travelling wave wall in ground effect. Procedia Eng. 2015, 126, 426–430. [Google Scholar] [CrossRef][Green Version]
- Wang, W.; Huang, H.; Lu, X.Y. Interply of chordwise stiffness and shape on performance of self-propelled flexible flapping plate. Phys. Fluids 2021, 33, 091904. [Google Scholar] [CrossRef]
- Liu, Z.; Huang, Q.; Li, Z.; Li, Y.; Feng, X. Partial confinement effects on the performance of a flapping foil power generator. Phys. Fluids 2023, 35, 027108. [Google Scholar] [CrossRef]
- Wang, W.; Huang, H.; Lu, X.Y. Optimal chordwise stiffness distribution for self-propelled heaving flexible plate. Phys. Fluids 2020, 32, 111905. [Google Scholar] [CrossRef]
- Khalid, M.S.U.; Wang, J.; Akhtar, I.; Dong, H.; Liu, M.; Hemmati, A. Why do anguilliform swimmers perform undulation with wave-lengths shorter than their bodylengths? Phys. Fluids 2021, 33, 031911. [Google Scholar] [CrossRef]
- Thekkethil, N.; Sharma, A.; Agrawal, A. Self-propulsion of fishes- like undulating hydrofoil: A unified kinematics based unsteady hydrodynamics study. J. Fluids Struct. 2020, 93, 102875. [Google Scholar] [CrossRef]
- Hu, J.; Xiao, Q. Three-dimensional effects on the translational locomotion of passive heaving wing. Fluids Struct. 2014, 46, 77–88. [Google Scholar] [CrossRef]
- Jeong, F.; Hussain, A. On the identification of a vortex. J. Fluid Mech. 1995, 285, 69–94. [Google Scholar] [CrossRef]
- Li, Y.; Pan, Z.; Wang, X. Self-propulsive property of flexible foil undergoing traveling wavy motion: A numerical investigation. J. Mar. Sci. Eng. 2024, 12, 1795. [Google Scholar] [CrossRef]




















| No. | N | Δt | UMean/(m/s) | η (%) |
|---|---|---|---|---|
| 1 | 12,653 | T/2000 | 0.682 | 67.8 |
| 2 | 25,400 | T/2000 | 0.635 | 62.8 |
| 3 | 50,542 | T/2000 | 0.628 | 61.2 |
| 4 | 101,520 | T/2000 | 0.610 | 60.5 |
| 5 | 204,500 | T/2000 | 0.609 | 60.4 |
| 6 | 101,520 | T/1000 | 0.629 | 63.2 |
| 7 | 101,520 | T/4000 | 0.609 | 60.4 |
| No. | N | Δt | Umean/(m/s) | η (%) |
|---|---|---|---|---|
| 1 | 608,120 | T/2000 | 0.582 | 60.2 |
| 2 | 1,696,270 | T/2000 | 0.552 | 56.5 |
| 3 | 4,784,860 | T/2000 | 0.538 | 52.4 |
| 4 | 8,762,520 | T/2000 | 0.533 | 52.2 |
| 5 | 13,468,500 | T/2000 | 0.532 | 52.1 |
| 6 | 8,762,520 | T/1000 | 0.545 | 53.3 |
| 7 | 8,762,520 | T/4000 | 0.534 | 52.31 |
Disclaimer/Publisher’s Note: The statements, opinions and data contained in all publications are solely those of the individual author(s) and contributor(s) and not of MDPI and/or the editor(s). MDPI and/or the editor(s) disclaim responsibility for any injury to people or property resulting from any ideas, methods, instructions or products referred to in the content. |
© 2024 by the authors. Licensee MDPI, Basel, Switzerland. This article is an open access article distributed under the terms and conditions of the Creative Commons Attribution (CC BY) license (https://creativecommons.org/licenses/by/4.0/).
Share and Cite
Li, Y.; Zhang, N.; Tang, X.; Pan, Z.; Xu, P. Numerical Simulation on Self-Propulsion Characteristics of Bionic Flexible Foil Considering Ground Wall Effect. Biomimetics 2024, 9, 750. https://doi.org/10.3390/biomimetics9120750
Li Y, Zhang N, Tang X, Pan Z, Xu P. Numerical Simulation on Self-Propulsion Characteristics of Bionic Flexible Foil Considering Ground Wall Effect. Biomimetics. 2024; 9(12):750. https://doi.org/10.3390/biomimetics9120750
Chicago/Turabian StyleLi, Yongcheng, Nan Zhang, Xinyuan Tang, Ziying Pan, and Pengfei Xu. 2024. "Numerical Simulation on Self-Propulsion Characteristics of Bionic Flexible Foil Considering Ground Wall Effect" Biomimetics 9, no. 12: 750. https://doi.org/10.3390/biomimetics9120750
APA StyleLi, Y., Zhang, N., Tang, X., Pan, Z., & Xu, P. (2024). Numerical Simulation on Self-Propulsion Characteristics of Bionic Flexible Foil Considering Ground Wall Effect. Biomimetics, 9(12), 750. https://doi.org/10.3390/biomimetics9120750

