Multi-UAV Cooperative Path Planning Using a Behavior-Adaptive Aquila Optimizer Under Multiple Constraints
Abstract
1. Introduction
- A multi-strategy cooperative behavior-adaptive Aquila Optimizer is proposed. By incorporating a periodic diversity maintenance mechanism, a diversity-based dynamic neighborhood guidance mechanism, a narrowed exploitation behavior based on neighborhood differential evolution, and a search-state-aware adaptive behavior selection mechanism, agent behaviors can be adaptively selected according to the current search state. This design effectively enhances the global search capability and convergence stability of the algorithm in complex search spaces.
- Through parameter sensitivity experiments, reasonable parameter configurations for EAO are determined, and ablation experiments systematically verify the effectiveness of each improvement strategy. Further exploration–exploitation capability analysis experiments evaluate the behavioral evolution characteristics of the algorithm during the search process. Additionally, based on the CEC2017 and CEC2020 standard benchmark suites, the global optimization performance of EAO on low-, medium-, and high-dimensional problems is systematically tested. The experimental results demonstrate that EAO exhibits significant overall advantages compared to 14 other representative competitive algorithms.
- A multi-UAV cooperative path-planning model is constructed, comprehensively considering threat zones, no-fly zones, and UAV dynamic constraints to improve the feasibility of the algorithm in practical application scenarios. Based on this, four simulation map environments ranging from simple to complex are designed, and multi-UAV cooperative path-planning simulation experiments are conducted to systematically verify the proposed algorithm’s performance in path quality, result stability, and cooperative efficiency.
2. Multi-UAV Cooperative Path-Planning Modeling
2.1. Decision Variables
2.2. Objective Function
2.3. Cost Function Components
2.3.1. Flight Path Cost
2.3.2. Altitude Cost
2.3.3. Threat Cost
2.3.4. No-Fly Zone Constraint Cost
2.3.5. Time Synchronization Cost
2.3.6. Collision Avoidance Cost
2.3.7. Angular Constraint Cost
2.3.8. Trajectory Segment Constraint Cost
3. Aquila Optimizer (AO)
3.1. Expanded Exploration
3.2. Narrowed Exploration
3.3. Expanded Exploitation
3.4. Narrowed Exploitation
4. Behavior-Adaptive Aquila Optimizer (EAO)
4.1. Periodic Diversity Maintenance Mechanism
4.2. Diversity-Based Dynamic Neighborhood Guidance Mechanism
4.3. Narrowed Exploitation Behavior Based on Neighborhood Differential Evolution
4.4. Adaptive Behavior Selection Mechanism Based on Search-State Awareness
- Introducing three core search-state metrics to monitor the optimization process in real-time;
- Establishing behavior-selection rules and a trust mechanism based on these states;
- Incorporating a forced exploration behavior to ensure adaptability.
4.4.1. Definition of Search-State Quantities
4.4.2. State-Driven Behavior Selection Rules
4.4.3. Trust-Based Behavioral Persistence Mechanism
4.5. Pseudocode and Program Flowchart
| Algorithm 1 Pseudocode for EAO |
| 1: Initialize population randomly and evaluate fitness. |
5: t = t + 1 |
| using Equations (40)–(42). |
| 10: Reinitialize worst 15% individuals using Equation (43). |
| 11: Evaluate new individuals and update |
| 12: end if |
| 13: end if |
| using Equations (50) and (51). |
| using Equations (45) and (46). |
| using Equations (38) and (39). |
| 17: for i = 1 to N do |
| to all individuals, sort and select k(t) neighbors. |
| using Equation (44). |
| using Equation (54). |
| using Equation (55). |
| then |
| using Equation (47). |
| then |
| using Equation (28). |
| then |
| using Equation (48). |
| then |
| neighbors. |
| using Equation (49) |
| then |
| using Equations (52) and (53). |
| 33: else |
| and apply corresponding update. |
| 35: end if |
| using Equations (59) and (60). if better solution found. |
| 39: end for |
| 40: end while |
5. Parameter Sensitivity Analysis of EAO
6. Performance Testing and Analysis of EAO
6.1. Experimental Configuration
6.2. Ablation Experiment
6.3. Exploration and Exploitation Experiment
6.4. Convergence Analysis
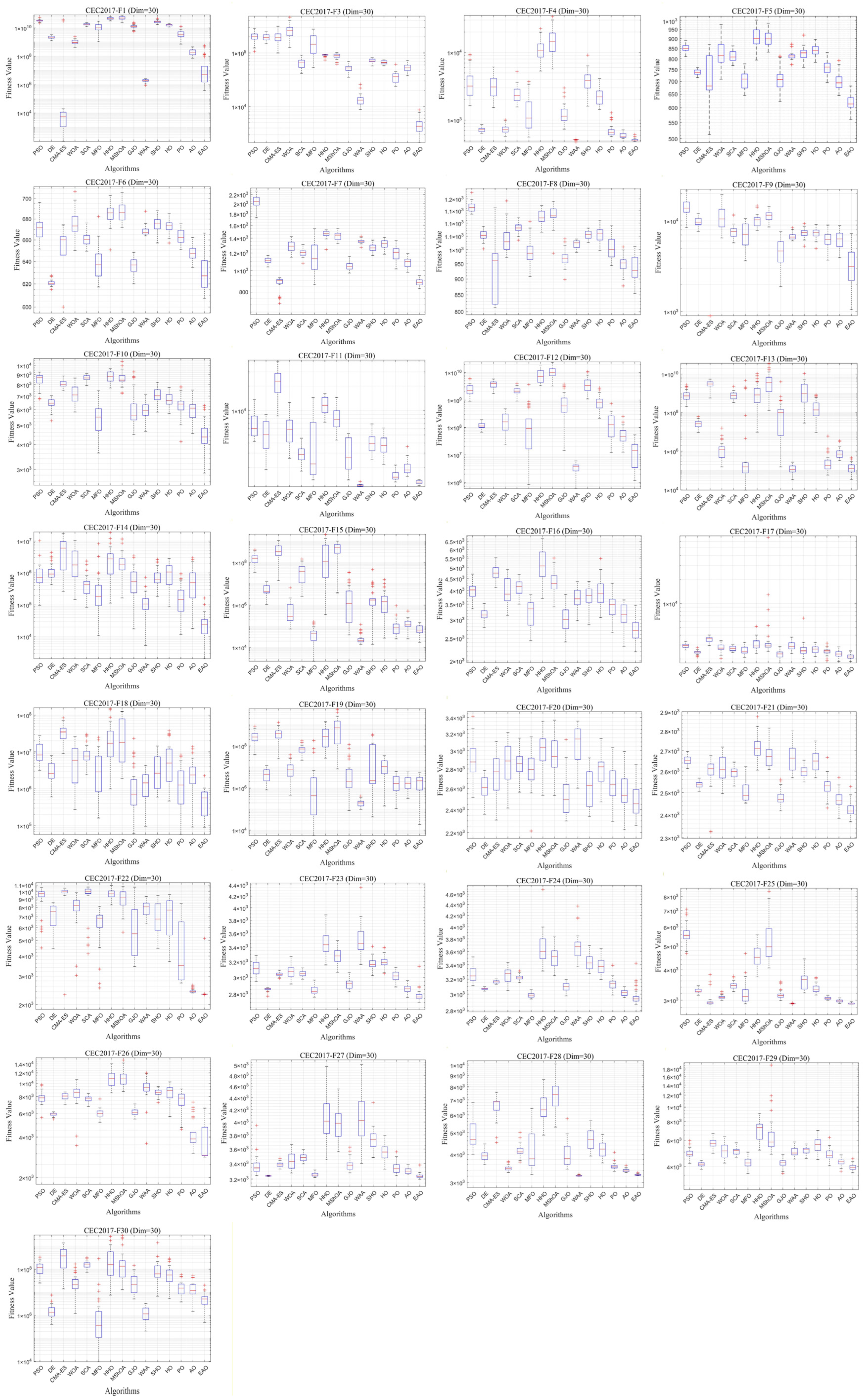
6.5. Test Results and Analysis on CEC2017
6.6. Test Results and Analysis on CEC2020
7. Multi-UAV Cooperative Path-Planning Simulation Experiment
7.1. Experimental Configuration for Path-Planning Simulation
7.2. Sensitivity Analysis of Objective Function Weight Coefficients
7.3. Path-Planning Simulation Results and Analysis
8. Conclusions
Author Contributions
Funding
Institutional Review Board Statement
Informed Consent Statement
Data Availability Statement
Conflicts of Interest
Appendix A
Appendix A.1
Appendix A.2
| No. | Functions | ||
|---|---|---|---|
| Unimodal Functions | 1 | Shifted and Rotated Bent Cigar Function | 100 |
| 3 | Shifted and Rotated Zakharov Function | 200 | |
| Simple Multimodal Functions | 4 | Shifted and Rotated Rosenbrock’s Function | 300 |
| 5 | Shifted and Rotated Rastrigin’s Function | 400 | |
| 6 | Shifted and Rotated Expanded Scaffer’s F6 Function | 500 | |
| 7 | Shifted and Rotated Lunacek Bi_Rastrigin Function | 600 | |
| 8 | Shifted and Rotated Non-Continuous Rastrigin’s Function | 700 | |
| 9 | Shifted and Rotated Lévy Function | 800 | |
| 10 | Shifted and Rotated Schwefel’s Function | 900 | |
| Hybrid Functions | 11 | Hybrid Function 1 (N = 3) | 1000 |
| 12 | Hybrid Function 2 (N = 3) | 1100 | |
| 13 | Hybrid Function 3 (N = 3) | 1200 | |
| 14 | Hybrid Function 4 (N = 4) | 1300 | |
| 15 | Hybrid Function 5 (N = 4) | 1400 | |
| 16 | Hybrid Function 6 (N = 4) | 1500 | |
| 17 | Hybrid Function 6 (N = 5) | 1600 | |
| 18 | Hybrid Function 6 (N = 5) | 1700 | |
| 19 | Hybrid Function 6 (N = 5) | 1800 | |
| 20 | Hybrid Function 6 (N = 6) | 1900 | |
| Composition Functions | 21 | Composition Function 1 (N = 3) | 2000 |
| 22 | Composition Function 2 (N = 3) | 2100 | |
| 23 | Composition Function 3 (N = 4) | 2200 | |
| 24 | Composition Function 4 (N = 4) | 2300 | |
| 25 | Composition Function 5 (N = 5) | 2400 | |
| 26 | Composition Function 6 (N = 5) | 2500 | |
| 27 | Composition Function 7 (N = 6) | 2600 | |
| 28 | Composition Function 8 (N = 6) | 2700 | |
| 29 | Composition Function 9 (N = 3) | 2800 | |
| 30 | Composition Function 10 (N = 3) | 2900 | |
| Type | No. | Functions | |
|---|---|---|---|
| Unimodal Functions | 1 | Shifted and Rotated Bent Cigar Function | 100 |
| Basic Functions | 2 | Shifted and Rotated Schwefel’s Function | 1100 |
| 3 | Shifted and Rotated Rastrigin’s Function | 700 | |
| 4 | Shifted and Rotated Lunacek bi-Rastrigin Function | 1900 | |
| Hybrid Functions | 5 | Hybrid Function 1 (N = 3) | 1700 |
| 6 | Hybrid Function 2 (N = 3) | 1600 | |
| 7 | Hybrid Function 3 (N = 3) | 2100 | |
| Composition Functions | 8 | Composition Function 1 (N = 3) | 2200 |
| 9 | Composition Function 2 (N = 4) | 2400 | |
| 10 | Composition Function 3 (N = 5) | 2500 | |
| Search Range: | |||
| Function | Index | |||||
|---|---|---|---|---|---|---|
| 10 | 15 | 20 | 25 | 30 | ||
| F1 | Mean | 4.489 × 107 | 4.141 × 107 | 4.976 × 107 | 4.800 × 107 | 4.023 × 107 |
| Std | 3.486 × 107 | 2.261 × 107 | 3.260 × 107 | 3.485 × 107 | 1.939 × 107 | |
| Rank | 3 | 2 | 5 | 4 | 1 | |
| F3 | Mean | 6.191 × 103 | 5.940 × 103 | 5.360 × 103 | 5.750 × 103 | 7.035 × 103 |
| Std | 2.580 × 103 | 2.263 × 103 | 1.863 × 103 | 2.592 × 103 | 3.719 × 103 | |
| Rank | 4 | 3 | 1 | 2 | 5 | |
| F6 | Mean | 6.301 × 102 | 6.290 × 102 | 6.319 × 102 | 6.278 × 102 | 6.270 × 102 |
| Std | 1.504 × 101 | 1.352 × 101 | 1.652 × 101 | 1.424 × 101 | 1.504 × 101 | |
| Rank | 4 | 3 | 5 | 2 | 1 | |
| F9 | Mean | 3.145 × 103 | 4.244 × 103 | 3.241 × 103 | 3.893 × 103 | 3.932 × 103 |
| Std | 1.514 × 103 | 1.616 × 103 | 1.435 × 103 | 2.150 × 103 | 2.014 × 103 | |
| Rank | 1 | 5 | 2 | 3 | 4 | |
| F11 | Mean | 1.364 × 103 | 1.346 × 103 | 1.371 × 103 | 1.357 × 103 | 1.368 × 103 |
| Std | 6.324 × 101 | 5.917 × 101 | 7.398 × 101 | 6.660 × 101 | 7.422 × 101 | |
| Rank | 2 | 1 | 5 | 3 | 4 | |
| F12 | Mean | 2.020 × 107 | 1.647 × 107 | 2.337 × 107 | 1.773 × 107 | 2.308 × 107 |
| Std | 2.531 × 107 | 1.624 × 107 | 1.876 × 107 | 1.970 × 107 | 1.782 × 107 | |
| Rank | 3 | 1 | 5 | 2 | 4 | |
| F13 | Mean | 1.810 × 105 | 2.622 × 105 | 1.531 × 105 | 2.785 × 105 | 2.001 × 105 |
| Std | 7.972 × 104 | 2.530 × 105 | 7.033 × 104 | 2.756 × 105 | 8.758 × 104 | |
| Rank | 2 | 4 | 1 | 5 | 3 | |
| F15 | Mean | 6.307 × 104 | 5.902 × 104 | 7.277 × 104 | 5.750 × 104 | 5.698 × 104 |
| Std | 5.029 × 104 | 4.272 × 104 | 5.242 × 104 | 3.762 × 104 | 3.946 × 104 | |
| Rank | 4 | 3 | 5 | 1 | 2 | |
| F24 | Mean | 2.957 × 103 | 2.942 × 103 | 2.942 × 103 | 2.953 × 103 | 2.944 × 103 |
| Std | 5.739 × 101 | 3.611 × 101 | 3.216 × 101 | 7.284 × 101 | 4.621 × 101 | |
| Rank | 4 | 2 | 1 | 5 | 3 | |
| F27 | Mean | 3.234 × 103 | 3.249 × 103 | 3.237 × 103 | 3.240 × 103 | 3.258 × 103 |
| Std | 2.080 × 101 | 3.443 × 101 | 2.304 × 101 | 2.709 × 101 | 9.187 × 101 | |
| Rank | 1 | 4 | 2 | 3 | 5 | |
| F29 | Mean | 3.926 × 103 | 3.908 × 103 | 3.975 × 103 | 3.963 × 103 | 3.911 × 103 |
| Std | 2.076 × 102 | 1.798 × 102 | 2.508 × 102 | 2.280 × 102 | 2.260 × 102 | |
| Rank | 3 | 1 | 5 | 4 | 2 | |
| F30 | Mean | 6.255 × 106 | 6.110 × 106 | 6.917 × 106 | 7.987 × 106 | 6.746 × 106 |
| Std | 3.363 × 106 | 3.546 × 106 | 4.873 × 106 | 7.998 × 106 | 4.505 × 106 | |
| Rank | 2 | 1 | 4 | 5 | 3 | |
| Mean Rank | 2.75 | 2.5 | 3.42 | 3.25 | 3.08 | |
| Function | Index | N | ||||
|---|---|---|---|---|---|---|
| 10 | 20 | 30 | 50 | 100 | ||
| F1 | Mean | 1.385 × 107 | 3.381 × 107 | 3.384 × 108 | 6.563 × 107 | 3.781 × 109 |
| Std | 7.719 × 106 | 1.603 × 107 | 4.412 × 108 | 3.278 × 107 | 2.462 × 109 | |
| Rank | 1 | 2 | 4 | 3 | 5 | |
| F3 | Mean | 3.522 × 103 | 4.294 × 103 | 1.022 × 104 | 6.664 × 103 | 1.811 × 104 |
| Std | 1.680 × 103 | 1.656 × 103 | 4.019 × 103 | 2.650 × 103 | 8.624 × 103 | |
| Rank | 1 | 2 | 4 | 3 | 5 | |
| F6 | Mean | 6.298 × 102 | 6.288 × 102 | 6.290 × 102 | 6.289 × 102 | 6.304 × 102 |
| Std | 1.586 × 101 | 1.325 × 101 | 1.547 × 101 | 1.081 × 101 | 9.520 × 100 | |
| Rank | 4 | 1 | 3 | 2 | 5 | |
| F9 | Mean | 3.744 × 103 | 3.668 × 103 | 3.419 × 103 | 4.019 × 103 | 3.249 × 103 |
| Std | 2.187 × 103 | 2.476 × 103 | 1.678 × 103 | 1.933 × 103 | 1.724 × 103 | |
| Rank | 4 | 3 | 2 | 5 | 1 | |
| F11 | Mean | 1.363 × 103 | 1.353 × 103 | 1.347 × 103 | 1.355 × 103 | 1.343 × 103 |
| Std | 7.561 × 101 | 5.983 × 101 | 6.173 × 101 | 6.825 × 101 | 6.670 × 101 | |
| Rank | 5 | 3 | 2 | 4 | 1 | |
| F12 | Mean | 1.769 × 107 | 2.252 × 107 | 2.222 × 107 | 1.484 × 107 | 1.881 × 108 |
| Std | 2.001 × 107 | 2.050 × 107 | 2.298 × 107 | 9.198 × 106 | 1.913 × 108 | |
| Rank | 2 | 4 | 3 | 1 | 5 | |
| F13 | Mean | 1.935 × 105 | 2.498 × 105 | 2.051 × 105 | 3.521 × 105 | 1.779 × 105 |
| Std | 1.205 × 105 | 1.510 × 105 | 1.160 × 105 | 5.172 × 105 | 2.432 × 105 | |
| Rank | 2 | 4 | 3 | 5 | 1 | |
| F15 | Mean | 6.392 × 104 | 6.225 × 104 | 4.380 × 104 | 6.663 × 104 | 2.716 × 104 |
| Std | 4.338 × 104 | 3.835 × 104 | 3.058 × 104 | 4.643 × 104 | 1.588 × 104 | |
| Rank | 4 | 3 | 2 | 5 | 1 | |
| F24 | Mean | 2.921 × 103 | 2.924 × 103 | 2.969 × 103 | 2.930 × 103 | 2.961 × 103 |
| Std | 5.092 × 101 | 3.472 × 101 | 6.857 × 101 | 4.394 × 101 | 4.009 × 101 | |
| Rank | 1 | 2 | 5 | 3 | 4 | |
| F27 | Mean | 3.225 × 103 | 3.231 × 103 | 3.265 × 103 | 3.242 × 103 | 3.342 × 103 |
| Std | 2.034 × 101 | 2.187 × 101 | 6.679 × 101 | 3.016 × 101 | 8.006 × 101 | |
| Rank | 1 | 2 | 4 | 3 | 5 | |
| F29 | Mean | 3.924 × 103 | 3.987 × 103 | 3.970 × 103 | 3.949 × 103 | 4.027 × 103 |
| Std | 1.930 × 102 | 2.304 × 102 | 2.057 × 102 | 2.193 × 102 | 2.206 × 102 | |
| Rank | 1 | 4 | 3 | 2 | 5 | |
| F30 | Mean | 7.360 × 106 | 6.904 × 106 | 7.329 × 106 | 7.471 × 106 | 8.810 × 106 |
| Std | 6.738 × 106 | 7.369 × 106 | 5.986 × 106 | 4.522 × 106 | 9.471 × 106 | |
| Rank | 3 | 1 | 2 | 4 | 5 | |
| Mean Rank | 2.4 | 2.6 | 3.1 | 3.3 | 3.6 | |
| Function | Index | |||||
|---|---|---|---|---|---|---|
| 3 | 5 | 7 | 20 | 15 | ||
| F1 | Mean | 2.928 × 107 | 4.577 × 107 | 7.303 × 107 | 1.377 × 108 | 3.790 × 108 |
| Std | 1.662 × 107 | 2.375 × 107 | 3.460 × 107 | 8.724 × 107 | 2.256 × 108 | |
| Rank | 1 | 2 | 3 | 4 | 5 | |
| F3 | Mean | 4.165 × 103 | 5.955 × 103 | 8.420 × 103 | 1.147 × 104 | 1.412 × 104 |
| Std | 1.345 × 103 | 2.105 × 103 | 2.588 × 103 | 3.747 × 103 | 4.091 × 103 | |
| Rank | 1 | 2 | 3 | 4 | 5 | |
| F6 | Mean | 6.332 × 102 | 6.274 × 102 | 6.320 × 102 | 6.314 × 102 | 6.368 × 102 |
| Std | 1.706 × 101 | 1.162 × 101 | 1.571 × 101 | 1.418 × 101 | 1.331 × 101 | |
| Rank | 4 | 1 | 3 | 2 | 5 | |
| F9 | Mean | 3.390 × 103 | 3.450 × 103 | 4.744 × 103 | 5.030 × 103 | 3.905 × 103 |
| Std | 1.860 × 103 | 1.647 × 103 | 2.434 × 103 | 2.605 × 103 | 1.988 × 103 | |
| Rank | 1 | 2 | 4 | 5 | 3 | |
| F11 | Mean | 1.334 × 103 | 1.363 × 103 | 1.383 × 103 | 1.366 × 103 | 1.431 × 103 |
| Std | 6.274 × 101 | 5.609 × 101 | 5.325 × 101 | 7.544 × 101 | 8.848 × 101 | |
| Rank | 1 | 2 | 4 | 3 | 5 | |
| F12 | Mean | 2.531 × 107 | 2.721 × 107 | 2.831 × 107 | 2.500 × 107 | 4.186 × 107 |
| Std | 2.538 × 107 | 2.947 × 107 | 3.353 × 107 | 2.068 × 107 | 3.875 × 107 | |
| Rank | 2 | 3 | 4 | 1 | 5 | |
| F13 | Mean | 1.648 × 105 | 2.318 × 105 | 2.472 × 105 | 3.038 × 105 | 5.465 × 105 |
| Std | 8.005 × 104 | 1.580 × 105 | 1.615 × 105 | 2.389 × 105 | 4.102 × 105 | |
| Rank | 1 | 2 | 3 | 4 | 5 | |
| F15 | Mean | 6.890 × 104 | 5.104 × 104 | 6.626 × 104 | 6.320 × 104 | 7.973 × 104 |
| Std | 4.298 × 104 | 2.838 × 104 | 4.857 × 104 | 3.501 × 104 | 5.529 × 104 | |
| Rank | 4 | 1 | 3 | 2 | 5 | |
| F24 | Mean | 2.926 × 103 | 2.951 × 103 | 2.956 × 103 | 2.959 × 103 | 2.986 × 103 |
| Std | 3.466 × 101 | 3.340 × 101 | 8.248 × 101 | 3.566 × 101 | 5.240 × 101 | |
| Rank | 1 | 2 | 3 | 4 | 5 | |
| F27 | Mean | 3.235 × 103 | 3.247 × 103 | 3.240 × 103 | 3.246 × 103 | 3.261 × 103 |
| Std | 3.677 × 101 | 3.330 × 101 | 2.537 × 101 | 2.854 × 101 | 3.596 × 101 | |
| Rank | 1 | 4 | 2 | 3 | 5 | |
| F29 | Mean | 3.959 × 103 | 3.882 × 103 | 3.922 × 103 | 3.991 × 103 | 4.027 × 103 |
| Std | 2.308 × 102 | 1.926 × 102 | 1.744 × 102 | 1.761 × 102 | 2.111 × 102 | |
| Rank | 3 | 1 | 2 | 4 | 5 | |
| F30 | Mean | 6.278 × 106 | 7.122 × 106 | 6.967 × 106 | 7.574 × 106 | 6.875 × 106 |
| Std | 5.774 × 106 | 5.282 × 106 | 4.626 × 106 | 5.989 × 106 | 4.376 × 106 | |
| Rank | 1 | 4 | 3 | 5 | 2 | |
| Mean Rank | 1.8 | 2.2 | 3.1 | 3.4 | 4.6 | |
| Function | Index | |||||
|---|---|---|---|---|---|---|
| 2 | 3 | 4 | 5 | 6 | ||
| F1 | Mean | 6.219 × 107 | 5.388 × 107 | 5.672 × 107 | 5.249 × 107 | 6.623 × 107 |
| Std | 3.019 × 107 | 2.958 × 107 | 2.351 × 107 | 2.519 × 107 | 3.980 × 107 | |
| Rank | 4 | 2 | 3 | 1 | 5 | |
| F3 | Mean | 7.087 × 103 | 5.862 × 103 | 6.506 × 103 | 6.827 × 103 | 7.424 × 103 |
| Std | 2.221 × 103 | 2.357 × 103 | 2.511 × 103 | 2.864 × 103 | 2.902 × 103 | |
| Rank | 4 | 1 | 2 | 3 | 5 | |
| F6 | Mean | 6.323 × 102 | 6.290 × 102 | 6.321 × 102 | 6.262 × 102 | 6.352 × 102 |
| Std | 1.370 × 101 | 1.289 × 101 | 1.566 × 101 | 1.418 × 101 | 1.340 × 101 | |
| Rank | 4 | 2 | 3 | 1 | 5 | |
| F9 | Mean | 3.717 × 103 | 2.977 × 103 | 4.500 × 103 | 3.575 × 103 | 4.056 × 103 |
| Std | 2.215 × 103 | 2.039 × 103 | 2.409 × 103 | 1.739 × 103 | 2.130 × 103 | |
| Rank | 3 | 1 | 5 | 2 | 4 | |
| F11 | Mean | 1.380 × 103 | 1.330 × 103 | 1.335 × 103 | 1.365 × 103 | 1.359 × 103 |
| Std | 6.006 × 101 | 5.926 × 101 | 7.012 × 101 | 7.000 × 101 | 5.078 × 101 | |
| Rank | 5 | 1 | 2 | 4 | 3 | |
| F12 | Mean | 1.827 × 107 | 2.196 × 107 | 2.260 × 107 | 2.539 × 107 | 2.122 × 107 |
| Std | 1.686 × 107 | 2.586 × 107 | 1.536 × 107 | 1.741 × 107 | 1.495 × 107 | |
| Rank | 1 | 3 | 4 | 5 | 2 | |
| F13 | Mean | 2.716 × 105 | 2.064 × 105 | 2.112 × 105 | 2.534 × 105 | 2.767 × 105 |
| Std | 2.721 × 105 | 8.036 × 104 | 1.318 × 105 | 1.318 × 105 | 2.095 × 105 | |
| Rank | 4 | 1 | 2 | 3 | 5 | |
| F15 | Mean | 5.047 × 104 | 5.519 × 104 | 4.282 × 104 | 6.764 × 104 | 6.432 × 104 |
| Std | 3.628 × 104 | 2.762 × 104 | 2.537 × 104 | 5.256 × 104 | 6.122 × 104 | |
| Rank | 2 | 3 | 1 | 5 | 4 | |
| F24 | Mean | 2.942 × 103 | 2.941 × 103 | 2.943 × 103 | 2.931 × 103 | 2.942 × 103 |
| Std | 3.508 × 101 | 3.882 × 101 | 4.283 × 101 | 3.928 × 101 | 5.553 × 101 | |
| Rank | 4 | 2 | 5 | 1 | 3 | |
| F27 | Mean | 3.238 × 103 | 3.236 × 103 | 3.242 × 103 | 3.243 × 103 | 3.247 × 103 |
| Std | 2.210 × 101 | 2.489 × 101 | 2.475 × 101 | 3.176 × 101 | 2.595 × 101 | |
| Rank | 2 | 1 | 3 | 4 | 5 | |
| F29 | Mean | 4.012 × 103 | 3.929 × 103 | 4.042 × 103 | 3.920 × 103 | 4.015 × 103 |
| Std | 1.846 × 102 | 2.135 × 102 | 2.174 × 102 | 2.240 × 102 | 2.530 × 102 | |
| Rank | 3 | 2 | 5 | 1 | 4 | |
| F30 | Mean | 6.048 × 106 | 7.337 × 106 | 7.560 × 106 | 7.366 × 106 | 5.742 × 106 |
| Std | 3.423 × 106 | 4.557 × 106 | 5.252 × 106 | 6.382 × 106 | 5.011 × 106 | |
| Rank | 2 | 3 | 5 | 4 | 1 | |
| Mean Rank | 3.2 | 1.8 | 3.3 | 2.8 | 3.8 | |
| Function | Index | |||||
|---|---|---|---|---|---|---|
| 0.15 | 0.2 | 0.3 | 0.4 | 0.5 | ||
| F1 | Mean | 4.675 × 107 | 7.221 × 107 | 5.882 × 107 | 6.566 × 107 | 6.132 × 107 |
| Std | 2.427 × 107 | 4.930 × 107 | 3.527 × 107 | 2.645 × 107 | 2.554 × 107 | |
| Rank | 1 | 5 | 2 | 4 | 3 | |
| F3 | Mean | 6.858 × 103 | 6.227 × 103 | 5.532 × 103 | 6.059 × 103 | 6.473 × 103 |
| Std | 2.806 × 103 | 2.416 × 103 | 1.875 × 103 | 1.845 × 103 | 2.811 × 103 | |
| Rank | 5 | 3 | 1 | 2 | 4 | |
| F6 | Mean | 6.320 × 102 | 6.332 × 102 | 6.275 × 102 | 6.291 × 102 | 6.298 × 102 |
| Std | 1.680 × 101 | 1.639 × 101 | 1.270 × 101 | 1.246 × 101 | 1.547 × 101 | |
| Rank | 4 | 5 | 1 | 2 | 3 | |
| F9 | Mean | 3.477 × 103 | 3.460 × 103 | 3.361 × 103 | 3.509 × 103 | 3.104 × 103 |
| Std | 2.112 × 103 | 1.994 × 103 | 1.822 × 103 | 1.825 × 103 | 1.657 × 103 | |
| Rank | 4 | 3 | 2 | 5 | 1 | |
| F11 | Mean | 1.366 × 103 | 1.345 × 103 | 1.369 × 103 | 1.366 × 103 | 1.344 × 103 |
| Std | 5.839 × 101 | 6.728 × 101 | 5.927 × 101 | 6.856 × 101 | 6.074 × 101 | |
| Rank | 4 | 2 | 5 | 3 | 1 | |
| F12 | Mean | 2.068 × 107 | 1.587 × 107 | 2.223 × 107 | 2.390 × 107 | 2.309 × 107 |
| Std | 2.703 × 107 | 1.367 × 107 | 1.709 × 107 | 2.006 × 107 | 2.164 × 107 | |
| Rank | 2 | 1 | 3 | 5 | 4 | |
| F13 | Mean | 3.076 × 105 | 2.893 × 105 | 2.337 × 105 | 2.175 × 105 | 1.959 × 105 |
| Std | 1.571 × 105 | 2.532 × 105 | 1.555 × 105 | 1.134 × 105 | 1.291 × 105 | |
| Rank | 5 | 4 | 3 | 2 | 1 | |
| F15 | Mean | 6.747 × 104 | 5.814 × 104 | 7.546 × 104 | 5.050 × 104 | 4.149 × 104 |
| Std | 3.726 × 104 | 3.644 × 104 | 6.018 × 104 | 3.217 × 104 | 3.443 × 104 | |
| Rank | 4 | 3 | 5 | 2 | 1 | |
| F24 | Mean | 2.927 × 103 | 2.952 × 103 | 2.958 × 103 | 2.937 × 103 | 2.950 × 103 |
| Std | 3.271 × 101 | 3.563 × 101 | 6.604 × 101 | 2.980 × 101 | 4.125 × 101 | |
| Rank | 1 | 4 | 5 | 2 | 3 | |
| F27 | Mean | 3.235 × 103 | 3.237 × 103 | 3.244 × 103 | 3.255 × 103 | 3.234 × 103 |
| Std | 1.818 × 101 | 2.745 × 101 | 4.726 × 101 | 5.338 × 101 | 2.446 × 101 | |
| Rank | 2 | 3 | 4 | 5 | 1 | |
| F29 | Mean | 3.936 × 103 | 4.028 × 103 | 4.032 × 103 | 3.965 × 103 | 3.925 × 103 |
| Std | 2.374 × 102 | 2.911 × 102 | 2.766 × 102 | 2.842 × 102 | 2.005 × 102 | |
| Rank | 2 | 4 | 5 | 3 | 1 | |
| F30 | Mean | 6.213 × 106 | 7.459 × 106 | 6.207 × 106 | 7.622 × 106 | 6.886 × 106 |
| Std | 5.104 × 106 | 7.570 × 106 | 4.258 × 106 | 4.877 × 106 | 5.655 × 106 | |
| Rank | 2 | 4 | 1 | 5 | 3 | |
| Mean Rank | 3 | 3.4 | 3.1 | 3.3 | 2.2 | |
| Function | Index | |||||
|---|---|---|---|---|---|---|
| 0.15 | 0.2 | 0.3 | 0.4 | 0.5 | ||
| F1 | Mean | 5.577 × 107 | 5.791 × 107 | 4.868 × 107 | 4.505 × 107 | 6.109 × 107 |
| Std | 2.021 × 107 | 2.641 × 107 | 1.971 × 107 | 1.935 × 107 | 3.047 × 107 | |
| Rank | 3 | 4 | 2 | 1 | 5 | |
| F3 | Mean | 6.461 × 103 | 7.045 × 103 | 7.339 × 103 | 6.698 × 103 | 7.273 × 103 |
| Std | 2.520 × 103 | 2.693 × 103 | 3.294 × 103 | 2.815 × 103 | 3.668 × 103 | |
| Rank | 1 | 3 | 5 | 2 | 4 | |
| F6 | Mean | 6.320 × 102 | 6.325 × 102 | 6.328 × 102 | 6.292 × 102 | 6.324 × 102 |
| Std | 1.712 × 101 | 1.676 × 101 | 1.768 × 101 | 1.159 × 101 | 1.771 × 101 | |
| Rank | 2 | 4 | 5 | 1 | 3 | |
| F9 | Mean | 4.037 × 103 | 3.422 × 103 | 4.345 × 103 | 4.357 × 103 | 4.306 × 103 |
| Std | 2.529 × 103 | 1.703 × 103 | 2.237 × 103 | 2.141 × 103 | 2.105 × 103 | |
| Rank | 2 | 1 | 4 | 5 | 3 | |
| F11 | Mean | 1.364 × 103 | 1.352 × 103 | 1.366 × 103 | 1.369 × 103 | 1.334 × 103 |
| Std | 5.514 × 101 | 6.149 × 101 | 6.667 × 101 | 9.130 × 101 | 7.804 × 101 | |
| Rank | 3 | 2 | 4 | 5 | 1 | |
| F12 | Mean | 2.083 × 107 | 3.619 × 107 | 1.775 × 107 | 1.775 × 107 | 1.596 × 107 |
| Std | 2.303 × 107 | 3.186 × 107 | 1.874 × 107 | 1.564 × 107 | 1.649 × 107 | |
| Rank | 4 | 5 | 2 | 3 | 1 | |
| F13 | Mean | 2.502 × 105 | 2.431 × 105 | 2.039 × 105 | 2.234 × 105 | 2.256 × 105 |
| Std | 1.510 × 105 | 1.405 × 105 | 1.052 × 105 | 1.523 × 105 | 1.236 × 105 | |
| Rank | 5 | 4 | 1 | 2 | 3 | |
| F15 | Mean | 6.058 × 104 | 5.855 × 104 | 5.697 × 104 | 5.393 × 104 | 5.394 × 104 |
| Std | 3.703 × 104 | 4.918 × 104 | 4.074 × 104 | 3.037 × 104 | 4.461 × 104 | |
| Rank | 5 | 4 | 3 | 1 | 2 | |
| F24 | Mean | 2.938 × 103 | 2.935 × 103 | 2.946 × 103 | 2.923 × 103 | 2.945 × 103 |
| Std | 2.222 × 101 | 3.875 × 101 | 4.608 × 101 | 2.047 × 101 | 4.310 × 101 | |
| Rank | 3 | 2 | 5 | 1 | 4 | |
| F27 | Mean | 3.247 × 103 | 3.241 × 103 | 3.239 × 103 | 3.235 × 103 | 3.237 × 103 |
| Std | 4.719 × 101 | 2.261 × 101 | 2.765 × 101 | 2.859 × 101 | 2.747 × 101 | |
| Rank | 5 | 4 | 3 | 1 | 2 | |
| F29 | Mean | 3.924 × 103 | 3.957 × 103 | 3.949 × 103 | 3.904 × 103 | 4.029 × 103 |
| Std | 2.211 × 102 | 2.400 × 102 | 2.121 × 102 | 2.351 × 102 | 2.331 × 102 | |
| Rank | 2 | 4 | 3 | 1 | 5 | |
| F30 | Mean | 6.923 × 106 | 6.254 × 106 | 7.038 × 106 | 4.548 × 106 | 8.313 × 106 |
| Std | 5.113 × 106 | 5.007 × 106 | 6.066 × 106 | 4.187 × 106 | 6.088 × 106 | |
| Rank | 3 | 2 | 4 | 1 | 5 | |
| Mean Rank | 3.2 | 3.3 | 3.4 | 2 | 3.2 | |
| Function | Index | |||||
|---|---|---|---|---|---|---|
| 0.25 | 0.3 | 0.35 | 0.4 | 0.5 | ||
| F1 | Mean | 6.132 × 107 | 6.159 × 107 | 5.517 × 107 | 6.550 × 107 | 6.165 × 107 |
| Std | 2.620 × 107 | 2.942 × 107 | 3.086 × 107 | 3.135 × 107 | 1.796 × 107 | |
| Rank | 2 | 3 | 1 | 5 | 4 | |
| F3 | Mean | 6.626 × 103 | 6.282 × 103 | 6.551 × 103 | 7.461 × 103 | 5.395 × 103 |
| Std | 3.044 × 103 | 3.178 × 103 | 2.832 × 103 | 3.464 × 103 | 2.185 × 103 | |
| Rank | 4 | 2 | 3 | 5 | 1 | |
| F6 | Mean | 6.314 × 102 | 6.314 × 102 | 6.357 × 102 | 6.282 × 102 | 6.322 × 102 |
| Std | 1.429 × 101 | 1.436 × 101 | 1.495 × 101 | 1.237 × 101 | 1.484 × 101 | |
| Rank | 3 | 2 | 5 | 1 | 4 | |
| F9 | Mean | 3.776 × 103 | 4.572 × 103 | 3.560 × 103 | 3.856 × 103 | 3.621 × 103 |
| Std | 1.740 × 103 | 2.228 × 103 | 1.841 × 103 | 2.057 × 103 | 2.234 × 103 | |
| Rank | 3 | 5 | 1 | 4 | 2 | |
| F11 | Mean | 1.357 × 103 | 1.346 × 103 | 1.348 × 103 | 1.349 × 103 | 1.356 × 103 |
| Std | 5.868 × 101 | 6.584 × 101 | 5.849 × 101 | 6.833 × 101 | 5.504 × 101 | |
| Rank | 5 | 1 | 2 | 3 | 4 | |
| F12 | Mean | 2.291 × 107 | 2.047 × 107 | 1.734 × 107 | 2.133 × 107 | 2.010 × 107 |
| Std | 2.314 × 107 | 1.557 × 107 | 1.964 × 107 | 1.557 × 107 | 1.775 × 107 | |
| Rank | 5 | 3 | 1 | 4 | 2 | |
| F13 | Mean | 2.426 × 105 | 2.283 × 105 | 2.201 × 105 | 2.095 × 105 | 2.174 × 105 |
| Std | 1.822 × 105 | 1.280 × 105 | 1.140 × 105 | 1.156 × 105 | 1.122 × 105 | |
| Rank | 5 | 4 | 3 | 1 | 2 | |
| F15 | Mean | 5.227 × 104 | 7.405 × 104 | 6.525 × 104 | 6.652 × 104 | 4.693 × 104 |
| Std | 2.670 × 104 | 8.869 × 104 | 4.492 × 104 | 5.087 × 104 | 2.887 × 104 | |
| Rank | 2 | 5 | 3 | 4 | 1 | |
| F24 | Mean | 2.947 × 103 | 2.945 × 103 | 2.953 × 103 | 2.943 × 103 | 2.920 × 103 |
| Std | 4.234 × 101 | 3.417 × 101 | 3.467 × 101 | 4.076 × 101 | 7.998 × 101 | |
| Rank | 4 | 3 | 5 | 2 | 1 | |
| F27 | Mean | 3.243 × 103 | 3.234 × 103 | 3.239 × 103 | 3.233 × 103 | 3.248 × 103 |
| Std | 2.811 × 101 | 1.678 × 101 | 2.068 × 101 | 2.412 × 101 | 5.960 × 101 | |
| Rank | 4 | 2 | 3 | 1 | 5 | |
| F29 | Mean | 4.011 × 103 | 3.945 × 103 | 3.999 × 103 | 3.933 × 103 | 3.931 × 103 |
| Std | 3.433 × 102 | 2.047 × 102 | 2.001 × 102 | 2.101 × 102 | 2.017 × 102 | |
| Rank | 5 | 3 | 4 | 2 | 1 | |
| F30 | Mean | 6.818 × 106 | 7.759 × 106 | 6.478 × 106 | 7.115 × 106 | 7.644 × 106 |
| Std | 5.267 × 106 | 4.023 × 106 | 4.596 × 106 | 4.992 × 106 | 6.326 × 106 | |
| Rank | 2 | 5 | 1 | 3 | 4 | |
| Mean Rank | 3.7 | 3.2 | 2.7 | 2.9 | 2.6 | |
| Function | Index | EAO | PSO | DE | CMA-ES | WOA | SCA | MFO | HHO |
|---|---|---|---|---|---|---|---|---|---|
| F1 | Best | 3.859 × 105 | 2.218 × 1010 | 1.227 × 109 | 1.005 × 102 | 4.227 × 108 | 1.206 × 1010 | 1.027 × 109 | 3.064 × 1010 |
| Mean | 5.958 × 107 | 3.254 × 1010 | 2.210 × 109 | 2.245 × 109 | 1.085 × 109 | 1.816 × 1010 | 1.275 × 1010 | 4.736 × 1010 | |
| Std | 1.359 × 108 | 5.778 × 109 | 4.534 × 108 | 8.583 × 109 | 4.597 × 108 | 2.992 × 109 | 7.197 × 109 | 8.443 × 109 | |
| P | ~ | 1.734 × 10−6 | 1.734 × 10−6 | 3.589 × 10−4 | 1.921 × 10−6 | 1.734 × 10−6 | 1.734 × 10−6 | 1.734 × 10−6 | |
| Rank | 3 | 13 | 6 | 1 | 5 | 11 | 9 | 14 | |
| F3 | Best | 2.121 × 103 | 1.068 × 105 | 1.494 × 105 | 9.994 × 104 | 1.264 × 105 | 4.174 × 104 | 5.314 × 104 | 7.348 × 104 |
| Mean | 4.474 × 103 | 2.008 × 105 | 1.967 × 105 | 2.020 × 105 | 2.610 × 105 | 6.538 × 104 | 1.516 × 105 | 9.121 × 104 | |
| Std | 1.568 × 103 | 3.986 × 104 | 2.927 × 104 | 4.472 × 104 | 7.614 × 104 | 1.177 × 104 | 5.974 × 104 | 4.315 × 103 | |
| P | ~ | 1.734 × 10−6 | 1.734 × 10−6 | 1.734 × 10−6 | 1.734 × 10−6 | 1.734 × 10−6 | 1.734 × 10−6 | 1.734 × 10−6 | |
| Rank | 1 | 14 | 13 | 12 | 15 | 6 | 11 | 10 | |
| F4 | Best | 4.873 × 102 | 1.636 × 103 | 6.358 × 102 | 1.532 × 103 | 5.779 × 102 | 1.565 × 103 | 5.624 × 102 | 5.308 × 103 |
| Mean | 5.078 × 102 | 3.900 × 103 | 7.276 × 102 | 3.304 × 103 | 7.376 × 102 | 2.470 × 103 | 1.374 × 103 | 1.148 × 104 | |
| Std | 2.753 × 101 | 2.166 × 103 | 6.044 × 101 | 1.271 × 103 | 1.028 × 102 | 7.510 × 102 | 8.530 × 102 | 3.903 × 103 | |
| P | ~ | 1.734 × 10−6 | 1.734 × 10−6 | 1.734 × 10−6 | 1.734 × 10−6 | 1.734 × 10−6 | 1.734 × 10−6 | 1.734 × 10−6 | |
| Rank | 1 | 12 | 6 | 11 | 5 | 10 | 7 | 14 | |
| F5 | Best | 5.601 × 102 | 8.104 × 102 | 7.162 × 102 | 5.129 × 102 | 7.090 × 102 | 7.688 × 102 | 6.453 × 102 | 7.939 × 102 |
| Mean | 6.189 × 102 | 8.525 × 102 | 7.387 × 102 | 7.113 × 102 | 8.258 × 102 | 8.136 × 102 | 7.059 × 102 | 9.052 × 102 | |
| Std | 2.985 × 101 | 2.092 × 101 | 1.204 × 101 | 1.141 × 102 | 6.326 × 101 | 2.517 × 101 | 3.750 × 101 | 5.190 × 101 | |
| P | ~ | 1.734 × 10−6 | 1.734 × 10−6 | 8.307 × 10−4 | 1.734 × 10−6 | 1.734 × 10−6 | 1.734 × 10−6 | 1.734 × 10−6 | |
| Rank | 1 | 13 | 6 | 5 | 10 | 9 | 3 | 14 | |
| F6 | Best | 6.075 × 102 | 6.516 × 102 | 6.151 × 102 | 6.000 × 102 | 6.503 × 102 | 6.496 × 102 | 6.174 × 102 | 6.508 × 102 |
| Mean | 6.310 × 102 | 6.705 × 102 | 6.207 × 102 | 6.474 × 102 | 6.755 × 102 | 6.603 × 102 | 6.389 × 102 | 6.847 × 102 | |
| Std | 1.627 × 101 | 9.930 × 100 | 2.424 × 100 | 2.736 × 101 | 1.237 × 101 | 6.100 × 100 | 1.475 × 101 | 1.060 × 101 | |
| P | ~ | 2.879 × 10−6 | 5.320 × 10−3 | 1.566 × 10−2 | 1.734 × 10−6 | 4.729 × 10−6 | 8.221 × 10−2 | 1.734 × 10−6 | |
| Rank | 2 | 10 | 1 | 6 | 11 | 7 | 4 | 14 | |
| F7 | Best | 8.292 × 102 | 1.730 × 103 | 1.039 × 103 | 7.116 × 102 | 1.149 × 103 | 1.078 × 103 | 8.623 × 102 | 1.245 × 103 |
| Mean | 8.847 × 102 | 2.048 × 103 | 1.111 × 103 | 8.779 × 102 | 1.293 × 103 | 1.204 × 103 | 1.167 × 103 | 1.462 × 103 | |
| Std | 3.054 × 101 | 1.378 × 102 | 3.178 × 101 | 6.235 × 101 | 6.948 × 101 | 4.585 × 101 | 1.864 × 102 | 5.443 × 101 | |
| P | ~ | 1.734 × 10−6 | 1.734 × 10−6 | 8.936 × 10−1 | 1.734 × 10−6 | 1.734 × 10−6 | 2.127 × 10−6 | 1.734 × 10−6 | |
| Rank | 1 | 15 | 5 | 2 | 10 | 7 | 6 | 14 | |
| F8 | Best | 8.540 × 102 | 1.136 × 103 | 1.003 × 103 | 8.119 × 102 | 9.727 × 102 | 1.035 × 103 | 9.084 × 102 | 1.064 × 103 |
| Mean | 9.361 × 102 | 1.165 × 103 | 1.053 × 103 | 9.324 × 102 | 1.040 × 103 | 1.081 × 103 | 9.961 × 102 | 1.124 × 103 | |
| Std | 3.987 × 101 | 2.128 × 101 | 1.864 × 101 | 1.127 × 102 | 5.301 × 101 | 1.886 × 101 | 4.570 × 101 | 2.941 × 101 | |
| P | ~ | 1.734 × 10−6 | 1.734 × 10−6 | 7.036 × 10−1 | 2.353 × 10−6 | 1.734 × 10−6 | 1.742 × 10−4 | 1.734 × 10−6 | |
| Rank | 1 | 15 | 11 | 4 | 8 | 12 | 5 | 13 | |
| F9 | Best | 1.056 × 103 | 8.470 × 103 | 7.668 × 103 | 9.000 × 102 | 6.505 × 103 | 5.735 × 103 | 3.639 × 103 | 7.861 × 103 |
| Mean | 3.409 × 103 | 1.429 × 104 | 9.851 × 103 | 9.000 × 102 | 1.119 × 104 | 7.618 × 103 | 7.205 × 103 | 1.024 × 104 | |
| Std | 1.702 × 103 | 2.709 × 103 | 1.147 × 103 | 8.295 × 10−2 | 3.209 × 103 | 1.169 × 103 | 2.085 × 103 | 1.604 × 103 | |
| P | ~ | 1.734 × 10−6 | 1.734 × 10−6 | 1.734 × 10−6 | 1.734 × 10−6 | 2.353 × 10−6 | 2.879 × 10−6 | 1.734 × 10−6 | |
| Rank | 2 | 15 | 11 | 1 | 13 | 10 | 7 | 12 | |
| F10 | Best | 2.873 × 103 | 6.777 × 103 | 5.263 × 103 | 7.452 × 103 | 5.827 × 103 | 7.914 × 103 | 3.621 × 103 | 7.701 × 103 |
| Mean | 4.468 × 103 | 8.412 × 103 | 6.443 × 103 | 8.077 × 103 | 7.167 × 103 | 8.652 × 103 | 5.409 × 103 | 8.742 × 103 | |
| Std | 8.108 × 102 | 6.718 × 102 | 3.731 × 102 | 3.329 × 102 | 7.517 × 102 | 3.003 × 102 | 8.430 × 102 | 5.303 × 102 | |
| P | ~ | 1.734 × 10−6 | 1.734 × 10−6 | 1.734 × 10−6 | 1.921 × 10−6 | 1.734 × 10−6 | 6.156 × 10−4 | 1.734 × 10−6 | |
| Rank | 1 | 12 | 7 | 11 | 10 | 14 | 2 | 15 | |
| F11 | Best | 1.194 × 103 | 4.185 × 103 | 1.875 × 103 | 8.567 × 103 | 2.596 × 103 | 1.801 × 103 | 1.409 × 103 | 7.196 × 103 |
| Mean | 1.319 × 103 | 6.931 × 103 | 5.259 × 103 | 2.261 × 104 | 6.442 × 103 | 3.022 × 103 | 4.254 × 103 | 1.169 × 104 | |
| Std | 6.630 × 101 | 2.626 × 103 | 2.098 × 103 | 8.174 × 103 | 2.702 × 103 | 7.265 × 102 | 3.657 × 103 | 2.695 × 103 | |
| P | ~ | 1.734 × 10−6 | 1.734 × 10−6 | 1.734 × 10−6 | 1.734 × 10−6 | 1.734 × 10−6 | 1.734 × 10−6 | 1.734 × 10−6 | |
| Rank | 2 | 12 | 10 | 15 | 11 | 6 | 7 | 14 | |
| F12 | Best | 1.175 × 106 | 9.090 × 108 | 6.760 × 107 | 1.704 × 109 | 2.322 × 107 | 9.207 × 108 | 8.247 × 105 | 3.264 × 109 |
| Mean | 1.638 × 107 | 2.580 × 109 | 1.187 × 108 | 3.848 × 109 | 1.963 × 108 | 2.200 × 109 | 3.085 × 108 | 8.096 × 109 | |
| Std | 1.370 × 107 | 1.287 × 109 | 2.940 × 107 | 1.101 × 109 | 1.368 × 108 | 6.670 × 108 | 6.758 × 108 | 4.159 × 109 | |
| P | ~ | 1.734 × 10−6 | 1.734 × 10−6 | 1.734 × 10−6 | 2.353 × 10−6 | 1.734 × 10−6 | 2.843 × 10−5 | 1.734 × 10−6 | |
| Rank | 2 | 11 | 6 | 13 | 7 | 10 | 4 | 14 | |
| F13 | Best | 3.458 × 104 | 2.042 × 108 | 9.482 × 106 | 5.830 × 108 | 1.497 × 105 | 3.333 × 108 | 9.623 × 103 | 9.715 × 106 |
| Mean | 1.576 × 105 | 9.436 × 108 | 2.804 × 107 | 3.090 × 109 | 1.948 × 106 | 8.479 × 108 | 2.867 × 108 | 2.042 × 109 | |
| Std | 1.006 × 105 | 6.639 × 108 | 1.246 × 107 | 1.179 × 109 | 2.999 × 106 | 4.076 × 108 | 9.588 × 108 | 2.855 × 109 | |
| P | ~ | 1.734 × 10−6 | 1.734 × 10−6 | 1.734 × 10−6 | 2.603 × 10−6 | 1.734 × 10−6 | 3.286 × 10−1 | 1.734 × 10−6 | |
| Rank | 2 | 11 | 7 | 15 | 6 | 12 | 4 | 10 | |
| F14 | Best | 2.008 × 103 | 9.713 × 104 | 4.232 × 105 | 2.620 × 105 | 1.455 × 105 | 8.382 × 104 | 1.074 × 104 | 1.140 × 105 |
| Mean | 3.139 × 104 | 1.172 × 106 | 1.201 × 106 | 6.236 × 106 | 2.973 × 106 | 5.126 × 105 | 6.220 × 105 | 3.532 × 106 | |
| Std | 3.300 × 104 | 1.832 × 106 | 9.059 × 105 | 4.925 × 106 | 2.980 × 106 | 4.906 × 105 | 1.561 × 106 | 3.854 × 106 | |
| P | ~ | 1.734 × 10−6 | 1.734 × 10−6 | 1.734 × 10−6 | 1.734 × 10−6 | 1.734 × 10−6 | 7.691 × 10−6 | 1.734 × 10−6 | |
| Rank | 1 | 9 | 11 | 15 | 12 | 5 | 4 | 14 | |
| F15 | Best | 1.784 × 104 | 3.436 × 107 | 1.080 × 106 | 1.389 × 107 | 7.407 × 104 | 2.578 × 106 | 2.281 × 103 | 3.583 × 105 |
| Mean | 7.126 × 104 | 1.768 × 108 | 5.307 × 106 | 4.163 × 108 | 7.920 × 105 | 4.267 × 107 | 5.005 × 104 | 3.366 × 108 | |
| Std | 3.855 × 104 | 9.340 × 107 | 2.768 × 106 | 2.842 × 108 | 1.187 × 106 | 3.585 × 107 | 3.931 × 104 | 4.727 × 108 | |
| P | ~ | 1.734 × 10−6 | 1.734 × 10−6 | 1.734 × 10−6 | 1.921 × 10−6 | 1.734 × 10−6 | 8.217 × 10−3 | 1.734 × 10−6 | |
| Rank | 3 | 13 | 10 | 14 | 6 | 11 | 2 | 12 | |
| F16 | Best | 2.191 × 103 | 3.343 × 103 | 2.781 × 103 | 4.107 × 103 | 3.137 × 103 | 3.504 × 103 | 2.444 × 103 | 3.701 × 103 |
| Mean | 2.730 × 103 | 3.990 × 103 | 3.159 × 103 | 4.773 × 103 | 3.986 × 103 | 4.131 × 103 | 3.237 × 103 | 5.166 × 103 | |
| Std | 3.136 × 102 | 3.301 × 102 | 1.831 × 102 | 3.465 × 102 | 5.266 × 102 | 2.918 × 102 | 4.014 × 102 | 7.622 × 102 | |
| P | ~ | 1.734 × 10−6 | 1.025 × 10−5 | 1.734 × 10−6 | 1.734 × 10−6 | 1.734 × 10−6 | 1.973 × 10−5 | 1.734 × 10−6 | |
| Rank | 1 | 11 | 3 | 14 | 10 | 12 | 5 | 15 | |
| F17 | Best | 1.865 × 103 | 2.574 × 103 | 2.124 × 103 | 2.954 × 103 | 2.038 × 103 | 2.416 × 103 | 2.100 × 103 | 2.356 × 103 |
| Mean | 2.146 × 103 | 2.959 × 103 | 2.432 × 103 | 3.543 × 103 | 2.776 × 103 | 2.734 × 103 | 2.594 × 103 | 3.180 × 103 | |
| Std | 1.641 × 102 | 1.806 × 102 | 1.375 × 102 | 2.922 × 102 | 3.417 × 102 | 1.956 × 102 | 2.787 × 102 | 6.667 × 102 | |
| P | ~ | 1.734 × 10−6 | 5.216 × 10−6 | 1.734 × 10−6 | 2.879 × 10−6 | 1.734 × 10−6 | 1.494 × 10−5 | 1.734 × 10−6 | |
| Rank | 1 | 13 | 4 | 15 | 10 | 9 | 6 | 12 | |
| F18 | Best | 9.070 × 104 | 3.164 × 106 | 6.033 × 105 | 9.053 × 106 | 2.724 × 105 | 2.410 × 106 | 1.614 × 105 | 9.945 × 105 |
| Mean | 5.553 × 105 | 1.123 × 107 | 3.529 × 106 | 3.646 × 107 | 7.456 × 106 | 1.012 × 107 | 4.999 × 106 | 3.069 × 107 | |
| Std | 4.482 × 105 | 6.724 × 106 | 2.277 × 106 | 1.825 × 107 | 6.873 × 106 | 7.267 × 106 | 6.262 × 106 | 3.776 × 107 | |
| P | ~ | 1.734 × 10−6 | 1.734 × 10−6 | 1.734 × 10−6 | 2.353 × 10−6 | 1.734 × 10−6 | 8.466 × 10−6 | 2.353 × 10−6 | |
| Rank | 1 | 12 | 8 | 15 | 9 | 11 | 6 | 13 | |
| F19 | Best | 1.896 × 104 | 3.871 × 107 | 8.198 × 105 | 2.432 × 107 | 4.654 × 105 | 2.093 × 107 | 5.644 × 103 | 2.643 × 107 |
| Mean | 2.241 × 106 | 3.136 × 108 | 4.926 × 106 | 4.366 × 108 | 1.016 × 107 | 7.269 × 107 | 1.354 × 107 | 4.015 × 108 | |
| Std | 1.500 × 106 | 1.959 × 108 | 2.874 × 106 | 2.769 × 108 | 8.890 × 106 | 3.411 × 107 | 3.720 × 107 | 3.846 × 108 | |
| P | ~ | 1.734 × 10−6 | 5.706 × 10−4 | 1.734 × 10−6 | 3.405 × 10−5 | 1.734 × 10−6 | 2.536 × 10−1 | 1.734 × 10−6 | |
| Rank | 5 | 13 | 7 | 14 | 9 | 11 | 2 | 12 | |
| F20 | Best | 2.259 × 103 | 2.514 × 103 | 2.360 × 103 | 2.307 × 103 | 2.415 × 103 | 2.564 × 103 | 2.213 × 103 | 2.535 × 103 |
| Mean | 2.482 × 103 | 2.898 × 103 | 2.611 × 103 | 2.755 × 103 | 2.866 × 103 | 2.861 × 103 | 2.793 × 103 | 3.003 × 103 | |
| Std | 1.418 × 102 | 1.933 × 102 | 1.054 × 102 | 2.162 × 102 | 2.266 × 102 | 1.479 × 102 | 1.940 × 102 | 2.064 × 102 | |
| P | ~ | 3.882 × 10−6 | 3.854 × 10−3 | 4.860 × 10−5 | 5.752 × 10−6 | 2.127 × 10−6 | 4.286 × 10−6 | 1.921 × 10−6 | |
| Rank | 1 | 12 | 3 | 7 | 10 | 11 | 9 | 14 | |
| F21 | Best | 2.368 × 103 | 2.613 × 103 | 2.505 × 103 | 2.325 × 103 | 2.495 × 103 | 2.530 × 103 | 2.452 × 103 | 2.605 × 103 |
| Mean | 2.425 × 103 | 2.652 × 103 | 2.537 × 103 | 2.594 × 103 | 2.617 × 103 | 2.594 × 103 | 2.505 × 103 | 2.716 × 103 | |
| Std | 3.317 × 101 | 2.331 × 101 | 1.412 × 101 | 8.132 × 101 | 5.980 × 101 | 2.848 × 101 | 4.665 × 101 | 6.276 × 101 | |
| P | ~ | 1.734 × 10−6 | 1.734 × 10−6 | 2.603 × 10−6 | 1.734 × 10−6 | 1.734 × 10−6 | 8.466 × 10−6 | 1.734 × 10−6 | |
| Rank | 1 | 13 | 6 | 9 | 10 | 7 | 4 | 15 | |
| F22 | Best | 2.304 × 103 | 4.487 × 103 | 4.432 × 103 | 2.300 × 103 | 3.028 × 103 | 4.121 × 103 | 2.537 × 103 | 8.283 × 103 |
| Mean | 2.409 × 103 | 9.137 × 103 | 6.964 × 103 | 9.519 × 103 | 7.971 × 103 | 9.252 × 103 | 6.355 × 103 | 9.784 × 103 | |
| Std | 5.176 × 102 | 1.621 × 103 | 1.286 × 103 | 1.979 × 103 | 1.486 × 103 | 2.008 × 103 | 1.384 × 103 | 6.401 × 102 | |
| P | ~ | 1.734 × 10−6 | 1.734 × 10−6 | 2.353 × 10−6 | 1.734 × 10−6 | 1.734 × 10−6 | 2.353 × 10−6 | 1.734 × 10−6 | |
| Rank | 1 | 12 | 6 | 15 | 10 | 13 | 5 | 14 | |
| F23 | Best | 2.704 × 103 | 2.948 × 103 | 2.775 × 103 | 2.985 × 103 | 2.916 × 103 | 2.976 × 103 | 2.764 × 103 | 3.157 × 103 |
| Mean | 2.786 × 103 | 3.118 × 103 | 2.855 × 103 | 3.037 × 103 | 3.069 × 103 | 3.046 × 103 | 2.844 × 103 | 3.447 × 103 | |
| Std | 7.747 × 101 | 8.444 × 101 | 1.891 × 101 | 2.261 × 101 | 8.443 × 101 | 3.558 × 101 | 5.132 × 101 | 1.626 × 102 | |
| P | ~ | 1.734 × 10−6 | 5.307 × 10−5 | 1.921 × 10−6 | 1.734 × 10−6 | 1.921 × 10−6 | 4.196 × 10−4 | 1.734 × 10−6 | |
| Rank | 1 | 10 | 3 | 7 | 9 | 8 | 2 | 14 | |
| F24 | Best | 2.872 × 103 | 3.111 × 103 | 3.039 × 103 | 3.129 × 103 | 3.047 × 103 | 3.151 × 103 | 2.940 × 103 | 3.311 × 103 |
| Mean | 2.975 × 103 | 3.260 × 103 | 3.070 × 103 | 3.164 × 103 | 3.257 × 103 | 3.221 × 103 | 2.991 × 103 | 3.649 × 103 | |
| Std | 1.150 × 102 | 1.040 × 102 | 1.375 × 101 | 2.128 × 101 | 1.169 × 102 | 3.766 × 101 | 3.363 × 101 | 2.672 × 102 | |
| P | ~ | 3.882 × 10−6 | 1.150 × 10−4 | 8.466 × 10−6 | 4.729 × 10−6 | 3.515 × 10−6 | 3.327 × 10−2 | 1.734 × 10−6 | |
| Rank | 1 | 9 | 4 | 7 | 10 | 8 | 2 | 14 | |
| F25 | Best | 2.887 × 103 | 4.666 × 103 | 3.148 × 103 | 2.888 × 103 | 2.995 × 103 | 3.253 × 103 | 2.897 × 103 | 3.740 × 103 |
| Mean | 2.907 × 103 | 5.650 × 103 | 3.283 × 103 | 2.993 × 103 | 3.092 × 103 | 3.447 × 103 | 3.208 × 103 | 4.552 × 103 | |
| Std | 2.278 × 101 | 5.980 × 102 | 6.683 × 101 | 2.208 × 102 | 5.320 × 101 | 1.279 × 102 | 3.631 × 102 | 4.811 × 102 | |
| P | ~ | 1.734 × 10−6 | 1.734 × 10−6 | 4.779 × 10−1 | 1.734 × 10−6 | 1.734 × 10−6 | 3.515 × 10−6 | 1.734 × 10−6 | |
| Rank | 1 | 15 | 9 | 3 | 6 | 11 | 7 | 13 | |
| F26 | Best | 2.831 × 103 | 5.585 × 103 | 5.462 × 103 | 6.942 × 103 | 3.448 × 103 | 6.742 × 103 | 5.150 × 103 | 8.515 × 103 |
| Mean | 3.867 × 103 | 7.873 × 103 | 5.893 × 103 | 8.015 × 103 | 8.336 × 103 | 7.709 × 103 | 5.993 × 103 | 1.082 × 104 | |
| Std | 1.146 × 103 | 8.115 × 102 | 1.678 × 102 | 4.551 × 102 | 1.489 × 103 | 4.471 × 102 | 5.281 × 102 | 1.296 × 103 | |
| P | ~ | 1.734 × 10−6 | 3.882 × 10−6 | 1.734 × 10−6 | 1.921 × 10−6 | 1.734 × 10−6 | 5.216 × 10−6 | 1.734 × 10−6 | |
| Rank | 1 | 8 | 3 | 9 | 10 | 7 | 4 | 14 | |
| F27 | Best | 3.198 × 103 | 3.242 × 103 | 3.227 × 103 | 3.328 × 103 | 3.276 × 103 | 3.395 × 103 | 3.219 × 103 | 3.450 × 103 |
| Mean | 3.239 × 103 | 3.377 × 103 | 3.238 × 103 | 3.385 × 103 | 3.439 × 103 | 3.484 × 103 | 3.255 × 103 | 4.081 × 103 | |
| Std | 3.317 × 101 | 1.332 × 102 | 4.830 × 100 | 3.359 × 101 | 1.091 × 102 | 5.334 × 101 | 2.478 × 101 | 3.845 × 102 | |
| P | ~ | 2.879 × 10−6 | 3.493 × 10−1 | 1.734 × 10−6 | 1.734 × 10−6 | 1.734 × 10−6 | 4.992 × 10−3 | 1.734 × 10−6 | |
| Rank | 1 | 6 | 2 | 8 | 9 | 10 | 3 | 15 | |
| F28 | Best | 3.216 × 103 | 4.005 × 103 | 3.599 × 103 | 4.520 × 103 | 3.326 × 103 | 3.701 × 103 | 3.250 × 103 | 4.875 × 103 |
| Mean | 3.247 × 103 | 4.971 × 103 | 3.947 × 103 | 6.530 × 103 | 3.478 × 103 | 4.172 × 103 | 4.330 × 103 | 6.552 × 103 | |
| Std | 2.633 × 101 | 7.610 × 102 | 2.161 × 102 | 7.088 × 102 | 9.188 × 101 | 2.722 × 102 | 9.926 × 102 | 9.030 × 102 | |
| P | ~ | 1.734 × 10−6 | 1.734 × 10−6 | 1.734 × 10−6 | 1.734 × 10−6 | 1.734 × 10−6 | 1.734 × 10−6 | 1.734 × 10−6 | |
| Rank | 2 | 12 | 7 | 14 | 4 | 10 | 8 | 13 | |
| F29 | Best | 3.639 × 103 | 4.207 × 103 | 3.842 × 103 | 4.908 × 103 | 4.222 × 103 | 4.618 × 103 | 3.588 × 103 | 5.163 × 103 |
| Mean | 3.964 × 103 | 4.869 × 103 | 4.154 × 103 | 5.713 × 103 | 5.160 × 103 | 5.089 × 103 | 4.260 × 103 | 6.940 × 103 | |
| Std | 1.973 × 102 | 4.020 × 102 | 1.416 × 102 | 3.688 × 102 | 6.096 × 102 | 2.774 × 102 | 3.150 × 102 | 1.045 × 103 | |
| P | ~ | 1.734 × 10−6 | 8.307 × 10−4 | 1.734 × 10−6 | 1.921 × 10−6 | 1.734 × 10−6 | 2.613 × 10−4 | 1.734 × 10−6 | |
| Rank | 1 | 7 | 2 | 13 | 9 | 11 | 4 | 15 | |
| F30 | Best | 4.997 × 105 | 2.547 × 107 | 4.077 × 105 | 1.388 × 107 | 1.213 × 106 | 7.451 × 107 | 9.665 × 103 | 7.595 × 106 |
| Mean | 5.431 × 106 | 1.279 × 108 | 1.760 × 106 | 4.782 × 108 | 3.445 × 107 | 1.692 × 108 | 1.143 × 107 | 4.151 × 108 | |
| Std | 3.953 × 106 | 7.272 × 107 | 1.426 × 106 | 3.918 × 108 | 3.754 × 107 | 5.537 × 107 | 5.225 × 107 | 5.875 × 108 | |
| P | ~ | 1.734 × 10−6 | 5.792 × 10−5 | 1.734 × 10−6 | 1.127 × 10−5 | 1.734 × 10−6 | 3.162 × 10−3 | 1.734 × 10−6 | |
| Rank | 4 | 11 | 3 | 15 | 8 | 14 | 2 | 13 | |
| Mean Rank | 1.6 | 11.7 | 6.2 | 10 | 9 | 9.8 | 5 | 13.5 | |
| +/=/− | ~ | 29/0/0 | 26/1/2 | 26/2/1 | 29/0/0 | 29/0/0 | 28/0/1 | 29/0/0 | |
| Function | Index | MShOA | GJO | WAA | SHO | HO | PO | AO |
|---|---|---|---|---|---|---|---|---|
| F1 | Best | 2.338 × 1010 | 5.648 × 109 | 8.972 × 105 | 1.728 × 1010 | 1.152 × 1010 | 7.342 × 108 | 7.351 × 107 |
| Mean | 5.225 × 1010 | 1.313 × 1010 | 1.944 × 106 | 2.752 × 1010 | 1.601 × 1010 | 3.951 × 109 | 2.115 × 108 | |
| Std | 1.611 × 1010 | 4.324 × 109 | 4.066 × 105 | 6.121 × 109 | 2.743 × 109 | 2.513 × 109 | 1.021 × 108 | |
| P | 1.734 × 10−6 | 1.734 × 10−6 | 5.287 × 10−4 | 1.734 × 10−6 | 1.734 × 10−6 | 1.734 × 10−6 | 5.307 × 10−5 | |
| Rank | 15 | 8 | 2 | 12 | 10 | 7 | 4 | |
| F3 | Best | 6.173 × 104 | 3.525 × 104 | 8.833 × 103 | 5.739 × 104 | 5.790 × 104 | 2.398 × 104 | 3.775 × 104 |
| Mean | 8.865 × 104 | 5.245 × 104 | 1.369 × 104 | 7.157 × 104 | 6.668 × 104 | 3.571 × 104 | 5.323 × 104 | |
| Std | 9.495 × 103 | 7.615 × 103 | 3.742 × 103 | 6.389 × 103 | 4.921 × 103 | 8.258 × 103 | 8.265 × 103 | |
| P | 1.734 × 10−6 | 1.734 × 10−6 | 1.734 × 10−6 | 1.734 × 10−6 | 1.734 × 10−6 | 1.734 × 10−6 | 1.734 × 10−6 | |
| Rank | 9 | 4 | 2 | 8 | 7 | 3 | 5 | |
| F4 | Best | 5.698 × 103 | 7.360 × 102 | 4.744 × 102 | 1.612 × 103 | 1.439 × 103 | 5.710 × 102 | 5.321 × 102 |
| Mean | 1.522 × 104 | 1.285 × 103 | 5.117 × 102 | 4.096 × 103 | 2.327 × 103 | 7.233 × 102 | 5.985 × 102 | |
| Std | 6.862 × 103 | 5.185 × 102 | 8.830 × 100 | 1.812 × 103 | 7.107 × 102 | 1.829 × 102 | 5.157 × 101 | |
| P | 1.734 × 10−6 | 1.734 × 10−6 | 5.984 × 10−2 | 1.734 × 10−6 | 1.734 × 10−6 | 1.734 × 10−6 | 5.216 × 10−6 | |
| Rank | 15 | 8 | 2 | 13 | 9 | 4 | 3 | |
| F5 | Best | 8.312 × 102 | 6.215 × 102 | 7.729 × 102 | 7.607 × 102 | 7.830 × 102 | 6.955 × 102 | 6.448 × 102 |
| Mean | 9.002 × 102 | 7.092 × 102 | 8.162 × 102 | 8.250 × 102 | 8.420 × 102 | 7.586 × 102 | 6.969 × 102 | |
| Std | 4.098 × 101 | 4.877 × 101 | 2.033 × 101 | 3.401 × 101 | 2.678 × 101 | 2.960 × 101 | 3.457 × 101 | |
| P | 1.734 × 10−6 | 1.921 × 10−6 | 1.734 × 10−6 | 1.734 × 10−6 | 1.734 × 10−6 | 1.734 × 10−6 | 2.127 × 10−6 | |
| Rank | 15 | 4 | 8 | 11 | 12 | 7 | 2 | |
| F6 | Best | 6.719 × 102 | 6.200 × 102 | 6.640 × 102 | 6.572 × 102 | 6.571 × 102 | 6.509 × 102 | 6.349 × 102 |
| Mean | 6.871 × 102 | 6.370 × 102 | 6.686 × 102 | 6.745 × 102 | 6.730 × 102 | 6.630 × 102 | 6.476 × 102 | |
| Std | 9.805 × 100 | 6.951 × 100 | 4.794 × 100 | 7.321 × 100 | 6.815 × 100 | 7.307 × 100 | 7.041 × 100 | |
| P | 1.734 × 10−6 | 5.984 × 10−2 | 1.734 × 10−6 | 1.734 × 10−6 | 1.734 × 10−6 | 1.734 × 10−6 | 1.251 × 10−4 | |
| Rank | 15 | 3 | 9 | 13 | 12 | 8 | 5 | |
| F7 | Best | 1.321 × 103 | 9.741 × 102 | 1.274 × 103 | 1.169 × 103 | 1.184 × 103 | 1.018 × 103 | 9.816 × 102 |
| Mean | 1.436 × 103 | 1.051 × 103 | 1.354 × 103 | 1.265 × 103 | 1.316 × 103 | 1.199 × 103 | 1.085 × 103 | |
| Std | 6.372 × 101 | 4.974 × 101 | 3.080 × 101 | 5.456 × 101 | 5.682 × 101 | 8.625 × 101 | 5.861 × 101 | |
| P | 1.734 × 10−6 | 1.734 × 10−6 | 1.734 × 10−6 | 1.734 × 10−6 | 1.734 × 10−6 | 1.734 × 10−6 | 1.734 × 10−6 | |
| Rank | 13 | 3 | 12 | 9 | 11 | 8 | 4 | |
| F8 | Best | 9.871 × 102 | 8.984 × 102 | 9.907 × 102 | 1.026 × 103 | 9.964 × 102 | 9.448 × 102 | 8.782 × 102 |
| Mean | 1.133 × 103 | 9.704 × 102 | 1.020 × 103 | 1.054 × 103 | 1.055 × 103 | 1.006 × 103 | 9.498 × 102 | |
| Std | 3.817 × 101 | 2.936 × 101 | 1.496 × 101 | 1.610 × 101 | 2.596 × 101 | 3.963 × 101 | 2.704 × 101 | |
| P | 1.734 × 10−6 | 1.057 × 10−4 | 1.921 × 10−6 | 1.734 × 10−6 | 1.734 × 10−6 | 1.025 × 10−5 | 1.306 × 10−1 | |
| Rank | 14 | 3 | 7 | 9 | 10 | 6 | 2 | |
| F9 | Best | 8.597 × 103 | 1.896 × 103 | 6.032 × 103 | 5.282 × 103 | 4.979 × 103 | 3.701 × 103 | 3.946 × 103 |
| Mean | 1.145 × 104 | 4.766 × 103 | 6.755 × 103 | 7.406 × 103 | 7.378 × 103 | 6.248 × 103 | 6.317 × 103 | |
| Std | 1.603 × 103 | 1.496 × 103 | 5.576 × 102 | 8.227 × 102 | 8.956 × 102 | 1.258 × 103 | 1.324 × 103 | |
| P | 1.734 × 10−6 | 4.390 × 10−3 | 2.603 × 10−6 | 1.734 × 10−6 | 1.921 × 10−6 | 1.799 × 10−5 | 6.984 × 10−6 | |
| Rank | 14 | 3 | 6 | 9 | 8 | 4 | 5 | |
| F10 | Best | 7.245 × 103 | 4.481 × 103 | 4.662 × 103 | 5.822 × 103 | 5.709 × 103 | 4.132 × 103 | 4.546 × 103 |
| Mean | 8.574 × 103 | 6.082 × 103 | 5.965 × 103 | 7.062 × 103 | 6.718 × 103 | 6.289 × 103 | 6.011 × 103 | |
| Std | 7.066 × 102 | 1.304 × 103 | 6.056 × 102 | 6.680 × 102 | 5.336 × 102 | 7.494 × 102 | 7.280 × 102 | |
| P | 1.734 × 10−6 | 2.163 × 10−5 | 3.515 × 10−6 | 1.734 × 10−6 | 1.734 × 10−6 | 2.353 × 10−6 | 4.286 × 10−6 | |
| Rank | 13 | 5 | 3 | 9 | 8 | 6 | 4 | |
| F11 | Best | 4.347 × 103 | 1.406 × 103 | 1.153 × 103 | 2.480 × 103 | 2.174 × 103 | 1.323 × 103 | 1.550 × 103 |
| Mean | 8.118 × 103 | 3.216 × 103 | 1.196 × 103 | 4.177 × 103 | 3.825 × 103 | 1.583 × 103 | 1.994 × 103 | |
| Std | 2.409 × 103 | 1.363 × 103 | 4.115 × 101 | 1.240 × 103 | 1.101 × 103 | 2.195 × 102 | 4.446 × 102 | |
| P | 1.734 × 10−6 | 1.734 × 10−6 | 3.515 × 10−6 | 1.734 × 10−6 | 1.734 × 10−6 | 1.921 × 10−6 | 1.734 × 10−6 | |
| Rank | 13 | 5 | 1 | 9 | 8 | 3 | 4 | |
| F12 | Best | 3.194 × 109 | 1.445 × 107 | 5.978 × 105 | 1.104 × 109 | 2.193 × 108 | 1.230 × 107 | 1.266 × 107 |
| Mean | 1.108 × 1010 | 1.010 × 109 | 3.464 × 106 | 4.046 × 109 | 9.799 × 108 | 1.764 × 108 | 6.576 × 107 | |
| Std | 5.611 × 109 | 9.926 × 108 | 1.358 × 106 | 2.467 × 109 | 6.731 × 108 | 1.641 × 108 | 5.225 × 107 | |
| P | 1.734 × 10−6 | 1.921 × 10−6 | 4.449 × 10−5 | 1.734 × 10−6 | 1.734 × 10−6 | 1.734 × 10−6 | 1.494 × 10−5 | |
| Rank | 15 | 8 | 1 | 12 | 9 | 5 | 3 | |
| F13 | Best | 1.297 × 108 | 1.498 × 105 | 3.340 × 104 | 2.863 × 107 | 9.169 × 106 | 5.747 × 104 | 3.276 × 105 |
| Mean | 6.769 × 109 | 2.663 × 108 | 1.306 × 105 | 1.834 × 109 | 2.379 × 108 | 4.796 × 105 | 9.350 × 105 | |
| Std | 8.962 × 109 | 7.270 × 108 | 6.214 × 104 | 2.183 × 109 | 2.332 × 108 | 1.091 × 106 | 7.500 × 105 | |
| P | 1.734 × 10−6 | 1.734 × 10−6 | 1.714 × 10−1 | 1.734 × 10−6 | 1.734 × 10−6 | 2.703 × 10−2 | 1.734 × 10−6 | |
| Rank | 14 | 8 | 1 | 13 | 9 | 3 | 5 | |
| F14 | Best | 1.637 × 105 | 1.743 × 104 | 5.331 × 103 | 1.850 × 105 | 8.676 × 104 | 1.184 × 104 | 1.769 × 104 |
| Mean | 2.473 × 106 | 8.012 × 105 | 1.375 × 105 | 8.705 × 105 | 1.099 × 106 | 2.380 × 105 | 7.041 × 105 | |
| Std | 2.397 × 106 | 8.231 × 105 | 1.344 × 105 | 6.351 × 105 | 7.565 × 105 | 2.513 × 105 | 7.533 × 105 | |
| P | 1.734 × 10−6 | 1.921 × 10−6 | 1.639 × 10−5 | 1.734 × 10−6 | 1.734 × 10−6 | 1.639 × 10−5 | 2.353 × 10−6 | |
| Rank | 13 | 7 | 2 | 8 | 10 | 3 | 6 | |
| F15 | Best | 3.754 × 106 | 3.965 × 104 | 1.426 × 104 | 1.428 × 104 | 2.775 × 104 | 2.557 × 104 | 2.557 × 104 |
| Mean | 4.842 × 108 | 4.952 × 106 | 2.992 × 104 | 4.261 × 106 | 2.527 × 106 | 1.270 × 105 | 1.406 × 105 | |
| Std | 2.681 × 108 | 8.888 × 106 | 2.277 × 104 | 8.667 × 106 | 3.406 × 106 | 1.664 × 105 | 9.196 × 104 | |
| P | 1.734 × 10−6 | 1.639 × 10−5 | 9.711 × 10−5 | 3.882 × 10−6 | 1.025 × 10−5 | 3.160 × 10−2 | 2.831 × 10−4 | |
| Rank | 15 | 8 | 1 | 9 | 7 | 4 | 5 | |
| F16 | Best | 3.409 × 103 | 2.414 × 103 | 2.973 × 103 | 2.858 × 103 | 3.066 × 103 | 2.641 × 103 | 2.311 × 103 |
| Mean | 4.341 × 103 | 3.047 × 103 | 3.706 × 103 | 3.743 × 103 | 3.950 × 103 | 3.441 × 103 | 3.134 × 103 | |
| Std | 4.840 × 102 | 3.768 × 102 | 4.259 × 102 | 3.617 × 102 | 5.376 × 102 | 4.302 × 102 | 3.458 × 102 | |
| P | 1.921 × 10−6 | 1.114 × 10−3 | 1.734 × 10−6 | 1.734 × 10−6 | 1.921 × 10−6 | 1.734 × 10−6 | 1.891 × 10−4 | |
| Rank | 13 | 2 | 8 | 7 | 9 | 6 | 4 | |
| F17 | Best | 2.484 × 103 | 1.790 × 103 | 2.345 × 103 | 2.006 × 103 | 2.149 × 103 | 1.926 × 103 | 1.877 × 103 |
| Mean | 5.692 × 103 | 2.275 × 103 | 2.960 × 103 | 2.706 × 103 | 2.690 × 103 | 2.510 × 103 | 2.322 × 103 | |
| Std | 1.184 × 104 | 2.646 × 102 | 3.428 × 102 | 7.824 × 102 | 2.989 × 102 | 2.606 × 102 | 2.451 × 102 | |
| P | 1.734 × 10−6 | 4.716 × 10−2 | 1.734 × 10−6 | 1.799 × 10−5 | 2.127 × 10−6 | 1.127 × 10−5 | 3.589 × 10−4 | |
| Rank | 14 | 2 | 11 | 7 | 8 | 5 | 3 | |
| F18 | Best | 1.882 × 106 | 6.210 × 104 | 9.653 × 104 | 5.974 × 105 | 4.641 × 105 | 5.772 × 104 | 9.201 × 104 |
| Mean | 3.894 × 107 | 2.498 × 106 | 1.613 × 106 | 4.278 × 106 | 9.665 × 106 | 2.124 × 106 | 3.457 × 106 | |
| Std | 4.407 × 107 | 4.731 × 106 | 1.168 × 106 | 3.754 × 106 | 1.066 × 107 | 2.199 × 106 | 3.313 × 106 | |
| P | 1.921 × 10−6 | 1.957 × 10−2 | 6.639 × 10−4 | 8.466 × 10−6 | 3.515 × 10−6 | 1.251 × 10−4 | 3.882 × 10−6 | |
| Rank | 2 | 3 | 7 | 10 | 4 | 5 | 2 | |
| F19 | Best | 8.121 × 106 | 8.571 × 104 | 9.760 × 104 | 4.327 × 104 | 1.428 × 105 | 1.061 × 105 | 3.262 × 105 |
| Mean | 1.175 × 109 | 1.192 × 107 | 2.036 × 105 | 5.932 × 107 | 1.361 × 107 | 2.199 × 106 | 2.160 × 106 | |
| Std | 1.466 × 109 | 2.570 × 107 | 7.376 × 104 | 9.232 × 107 | 1.064 × 107 | 1.780 × 106 | 1.590 × 106 | |
| P | 1.734 × 10−6 | 4.950 × 10−2 | 2.879 × 10−6 | 8.730 × 10−3 | 4.286 × 10−6 | 7.655 × 10−1 | 8.612 × 10−1 | |
| Rank | 6 | 1 | 8 | 10 | 3 | 4 | 6 | |
| F20 | Best | 2.533 × 103 | 2.299 × 103 | 2.604 × 103 | 2.340 × 103 | 2.471 × 103 | 2.295 × 103 | 2.224 × 103 |
| Mean | 2.960 × 103 | 2.533 × 103 | 3.078 × 103 | 2.612 × 103 | 2.793 × 103 | 2.642 × 103 | 2.584 × 103 | |
| Std | 2.021 × 102 | 2.059 × 102 | 2.163 × 102 | 1.780 × 102 | 1.727 × 102 | 1.882 × 102 | 1.795 × 102 | |
| P | 2.603 × 10−6 | 3.709 × 10−1 | 1.921 × 10−6 | 9.842 × 10−3 | 2.879 × 10−6 | 4.897 × 10−4 | 1.957 × 10−2 | |
| Rank | 2 | 15 | 5 | 8 | 6 | 4 | 2 | |
| F21 | Best | 2.608 × 103 | 2.417 × 103 | 2.569 × 103 | 2.548 × 103 | 2.569 × 103 | 2.430 × 103 | 2.384 × 103 |
| Mean | 2.674 × 103 | 2.477 × 103 | 2.667 × 103 | 2.598 × 103 | 2.649 × 103 | 2.528 × 103 | 2.468 × 103 | |
| Std | 5.280 × 101 | 3.626 × 101 | 6.368 × 101 | 3.034 × 101 | 5.169 × 101 | 4.906 × 101 | 3.717 × 101 | |
| P | 1.734 × 10−6 | 4.072 × 10−5 | 1.734 × 10−6 | 1.734 × 10−6 | 1.734 × 10−6 | 4.286 × 10−6 | 2.225 × 10−4 | |
| Rank | 3 | 12 | 8 | 11 | 5 | 2 | 3 | |
| F22 | Best | 5.601 × 103 | 3.442 × 103 | 6.306 × 103 | 4.458 × 103 | 3.686 × 103 | 2.716 × 103 | 2.355 × 103 |
| Mean | 8.983 × 103 | 5.972 × 103 | 7.944 × 103 | 6.952 × 103 | 7.156 × 103 | 4.447 × 103 | 2.424 × 103 | |
| Std | 1.288 × 103 | 2.103 × 103 | 8.753 × 102 | 1.538 × 103 | 1.839 × 103 | 2.024 × 103 | 6.696 × 101 | |
| P | 1.734 × 10−6 | 2.879 × 10−6 | 1.734 × 10−6 | 1.734 × 10−6 | 1.734 × 10−6 | 1.734 × 10−6 | 3.112 × 10−5 | |
| Rank | 4 | 9 | 7 | 8 | 3 | 2 | 4 | |
| F23 | Best | 3.062 × 103 | 2.824 × 103 | 3.162 × 103 | 3.022 × 103 | 3.046 × 103 | 2.883 × 103 | 2.762 × 103 |
| Mean | 3.276 × 103 | 2.924 × 103 | 3.501 × 103 | 3.181 × 103 | 3.200 × 103 | 3.015 × 103 | 2.862 × 103 | |
| Std | 1.161 × 102 | 6.533 × 101 | 2.311 × 102 | 7.319 × 101 | 7.797 × 101 | 6.007 × 101 | 4.739 × 101 | |
| P | 1.734 × 10−6 | 3.882 × 10−6 | 1.734 × 10−6 | 1.734 × 10−6 | 1.921 × 10−6 | 1.921 × 10−6 | 1.057 × 10−4 | |
| Rank | 5 | 15 | 11 | 12 | 6 | 4 | 5 | |
| F24 | Best | 3.248 × 103 | 2.979 × 103 | 3.373 × 103 | 3.274 × 103 | 3.195 × 103 | 2.989 × 103 | 2.958 × 103 |
| Mean | 3.516 × 103 | 3.093 × 103 | 3.696 × 103 | 3.441 × 103 | 3.393 × 103 | 3.133 × 103 | 3.021 × 103 | |
| Std | 1.607 × 102 | 5.599 × 101 | 2.422 × 102 | 1.097 × 102 | 1.146 × 102 | 8.140 × 101 | 4.027 × 101 | |
| P | 1.921 × 10−6 | 1.150 × 10−4 | 1.734 × 10−6 | 1.734 × 10−6 | 1.734 × 10−6 | 2.163 × 10−5 | 8.730 × 10−3 | |
| Rank | 5 | 15 | 12 | 11 | 6 | 3 | 5 | |
| F25 | Best | 4.073 × 103 | 2.988 × 103 | 2.889 × 103 | 3.213 × 103 | 3.150 × 103 | 2.997 × 103 | 2.908 × 103 |
| Mean | 5.393 × 103 | 3.182 × 103 | 2.900 × 103 | 3.660 × 103 | 3.359 × 103 | 3.059 × 103 | 2.980 × 103 | |
| Std | 1.177 × 103 | 1.437 × 102 | 5.383 × 100 | 3.317 × 102 | 1.412 × 102 | 3.825 × 101 | 3.693 × 101 | |
| P | 1.734 × 10−6 | 1.734 × 10−6 | 2.304 × 10−2 | 1.734 × 10−6 | 1.734 × 10−6 | 1.734 × 10−6 | 1.734 × 10−6 | |
| Rank | 8 | 2 | 12 | 10 | 5 | 4 | 8 | |
| F26 | Best | 8.733 × 103 | 5.445 × 103 | 3.581 × 103 | 7.214 × 103 | 5.660 × 103 | 4.565 × 103 | 3.026 × 103 |
| Mean | 1.095 × 104 | 6.155 × 103 | 9.315 × 103 | 8.558 × 103 | 8.555 × 103 | 7.488 × 103 | 4.348 × 103 | |
| Std | 1.537 × 103 | 4.450 × 102 | 1.586 × 103 | 5.424 × 102 | 1.141 × 103 | 1.124 × 103 | 1.112 × 103 | |
| P | 1.734 × 10−6 | 2.127 × 10−6 | 1.734 × 10−6 | 1.734 × 10−6 | 1.921 × 10−6 | 2.127 × 10−6 | 2.210 × 10−1 | |
| Rank | 5 | 13 | 12 | 11 | 6 | 2 | 5 | |
| F27 | Best | 3.278 × 103 | 3.402 × 103 | 3.481 × 103 | 3.326 × 103 | 3.241 × 103 | 3.251 × 103 | 3.278 × 103 |
| Mean | 3.983 × 103 | 3.384 × 103 | 4.055 × 103 | 3.737 × 103 | 3.547 × 103 | 3.342 × 103 | 3.303 × 103 | |
| Std | 2.616 × 102 | 8.456 × 101 | 4.120 × 102 | 1.586 × 102 | 1.207 × 102 | 7.456 × 101 | 3.736 × 101 | |
| P | 1.734 × 10−6 | 2.353 × 10−6 | 1.734 × 10−6 | 1.734 × 10−6 | 1.734 × 10−6 | 2.127 × 10−6 | 2.597 × 10−5 | |
| Rank | 7 | 13 | 12 | 11 | 5 | 4 | 7 | |
| F28 | Best | 3.443 × 103 | 3.198 × 103 | 3.931 × 103 | 3.666 × 103 | 3.367 × 103 | 3.322 × 103 | 3.443 × 103 |
| Mean | 7.471 × 103 | 3.999 × 103 | 3.216 × 103 | 4.710 × 103 | 4.231 × 103 | 3.544 × 103 | 3.392 × 103 | |
| Std | 1.074 × 103 | 5.262 × 102 | 1.936 × 101 | 4.937 × 102 | 3.433 × 102 | 1.272 × 102 | 5.752 × 101 | |
| P | 1.734 × 10−6 | 1.734 × 10−6 | 8.919 × 10−5 | 1.734 × 10−6 | 1.734 × 10−6 | 1.734 × 10−6 | 1.734 × 10−6 | |
| Rank | 6 | 1 | 11 | 9 | 5 | 3 | 6 | |
| F29 | Best | 3.594 × 103 | 4.499 × 103 | 4.546 × 103 | 4.470 × 103 | 4.046 × 103 | 3.728 × 103 | 3.594 × 103 |
| Mean | 6.837 × 103 | 4.214 × 103 | 5.014 × 103 | 5.116 × 103 | 5.592 × 103 | 4.838 × 103 | 4.300 × 103 | |
| Std | 2.860 × 103 | 2.625 × 102 | 3.402 × 102 | 2.954 × 102 | 6.130 × 102 | 4.372 × 102 | 2.506 × 102 | |
| P | 1.734 × 10−6 | 2.613 × 10−4 | 1.734 × 10−6 | 1.734 × 10−6 | 1.734 × 10−6 | 2.603 × 10−6 | 5.792 × 10−5 | |
| Rank | 3 | 8 | 10 | 12 | 6 | 5 | 3 | |
| F30 | Best | 5.061 × 106 | 2.091 × 105 | 6.767 × 106 | 5.194 × 106 | 3.833 × 106 | 1.514 × 106 | 5.061 × 106 |
| Mean | 3.969 × 108 | 3.614 × 107 | 1.379 × 106 | 1.381 × 108 | 8.020 × 107 | 1.840 × 107 | 1.600 × 107 | |
| Std | 7.391 × 108 | 3.454 × 107 | 8.652 × 105 | 2.551 × 108 | 7.189 × 107 | 1.350 × 107 | 1.260 × 107 | |
| P | 1.734 × 10−6 | 3.882 × 10−6 | 8.466 × 10−6 | 1.734 × 10−6 | 1.921 × 10−6 | 3.112 × 10−5 | 6.320 × 10−5 | |
| Rank | 7 | 1 | 10 | 9 | 6 | 5 | 7 | |
| Mean Rank | 13.7 | 5 | 6.3 | 9.8 | 9.6 | 5.1 | 3.8 | |
| +/=/− | 29/0/0 | 27/2/0 | 20/1/8 | 29/0/0 | 29/0/0 | 28/1/0 | 28/1/0 | |
| Function | Index | EAO | PSO | DE | CMA-ES | WOA | SCA | MFO | HHO |
|---|---|---|---|---|---|---|---|---|---|
| F1 | Best | 1.527 × 106 | 6.705 × 1010 | 1.696 × 1010 | 3.542 × 102 | 8.694 × 108 | 4.350 × 1010 | 3.011 × 109 | 7.825 × 1010 |
| Mean | 3.204 × 107 | 9.310 × 1010 | 2.219 × 1010 | 1.083 × 1010 | 2.058 × 109 | 5.583 × 1010 | 3.605 × 1010 | 1.037 × 1011 | |
| Std | 3.821 × 107 | 1.547 × 1010 | 3.109 × 109 | 2.215 × 1010 | 8.962 × 108 | 6.887 × 109 | 1.869 × 1010 | 1.185 × 1010 | |
| P | ~ | 1.734 × 10−6 | 1.734 × 10−6 | 1.650 × 10−1 | 1.734 × 10−6 | 1.734 × 10−6 | 1.734 × 10−6 | 1.734 × 10−6 | |
| Rank | 2 | 13 | 7 | 3 | 5 | 11 | 8 | 14 | |
| F3 | Best | 1.014 × 104 | 2.676 × 105 | 2.908 × 105 | 2.530 × 105 | 1.498 × 105 | 1.087 × 105 | 1.826 × 105 | 1.415 × 105 |
| Mean | 2.725 × 104 | 3.983 × 105 | 3.998 × 105 | 3.524 × 105 | 2.368 × 105 | 1.544 × 105 | 3.583 × 105 | 2.120 × 105 | |
| Std | 9.339 × 103 | 7.708 × 104 | 4.655 × 104 | 5.097 × 104 | 8.873 × 104 | 2.730 × 104 | 8.362 × 104 | 3.864 × 104 | |
| P | ~ | 1.734 ×10−6 | 1.734 ×10−6 | 1.734 ×10−6 | 1.734 ×10−6 | 1.734 ×10−6 | 1.734 ×10−6 | 1.734 × 10−6 | |
| Rank | 1 | 14 | 15 | 13 | 11 | 6 | 12 | 10 | |
| F4 | Best | 4.880 × 102 | 6.240 × 103 | 1.639 × 103 | 3.064 × 103 | 9.203 × 102 | 6.563 × 103 | 1.205 × 103 | 1.761 × 104 |
| Mean | 5.911 × 102 | 1.266 × 104 | 2.041 × 103 | 7.715 × 103 | 1.344 × 103 | 1.006 × 104 | 4.586 × 103 | 2.908 × 104 | |
| Std | 4.194 × 101 | 3.814 × 103 | 2.303 × 102 | 2.240 × 103 | 2.153 × 102 | 2.154 × 103 | 3.269 × 103 | 7.041 × 103 | |
| P | ~ | 1.734 ×10 −6 | 1.734 ×10 −6 | 1.734 ×10 −6 | 1.734 ×10 −6 | 1.734 ×10 −6 | 1.734 ×10 −6 | 1.734 × 10−6 | |
| Rank | 2 | 12 | 6 | 10 | 4 | 11 | 7 | 14 | |
| F5 | Best | 6.567 × 102 | 1.115 × 103 | 9.938 × 102 | 5.338 × 102 | 8.712 × 102 | 9.975 × 102 | 8.113 × 102 | 1.103 × 103 |
| Mean | 7.654 × 102 | 1.224 × 103 | 1.039 × 103 | 5.650 × 102 | 1.016 × 103 | 1.100 × 103 | 9.949 × 102 | 1.172 × 103 | |
| Std | 7.451 × 101 | 5.787 × 101 | 2.300 × 101 | 1.097 × 102 | 7.595 × 101 | 4.369 × 101 | 9.100 × 101 | 3.278 × 101 | |
| P | ~ | 1.734 ×10−6 | 1.734 ×10−6 | 1.734 ×10−6 | 1.734 ×10−6 | 1.734 ×10−6 | 1.734 ×10−6 | 1.734 × 10−6 | |
| Rank | 2 | 15 | 10 | 1 | 8 | 12 | 7 | 14 | |
| F6 | Best | 6.237 × 102 | 6.774 × 102 | 6.284 × 102 | 6.000 × 102 | 6.683 × 102 | 6.683 × 102 | 6.412 × 102 | 6.830 × 102 |
| Mean | 6.428 × 102 | 6.927 × 102 | 6.350 × 102 | 6.445 × 102 | 6.889 × 102 | 6.796 × 102 | 6.570 × 102 | 7.002 × 102 | |
| Std | 1.376 × 101 | 7.499 × 100 | 2.205 × 100 | 3.250 × 101 | 1.329 × 101 | 7.317 × 100 | 9.545 × 100 | 7.265 × 100 | |
| P | ~ | 1.734 × 10−6 | 9.271 × 10−3 | 8.774 × 10−1 | 1.734 × 10−6 | 1.734 × 10−6 | 1.891 × 10−4 | 1.734 × 10−6 | |
| Rank | 2 | 13 | 1 | 4 | 11 | 9 | 5 | 15 | |
| F7 | Best | 1.006 × 103 | 3.067 × 103 | 1.778 × 103 | 7.575 × 102 | 1.562 × 103 | 1.521 × 103 | 1.331 × 103 | 1.876 × 103 |
| Mean | 1.105 × 103 | 3.831 × 103 | 1.982 × 103 | 8.252 × 102 | 1.783 × 103 | 1.758 × 103 | 2.042 × 103 | 2.043 × 103 | |
| Std | 6.703 × 101 | 3.337 × 102 | 1.064 × 102 | 8.547 × 101 | 1.192 × 102 | 1.149 × 102 | 4.587 × 102 | 6.904 × 101 | |
| P | ~ | 1.734 × 10−6 | 1.734 × 10−6 | 1.921 × 10−6 | 1.734 × 10−6 | 1.734 × 10−6 | 1.734 × 10−6 | 1.734 × 10−6 | |
| Rank | 2 | 15 | 12 | 1 | 8 | 7 | 11 | 14 | |
| F8 | Best | 9.602 × 102 | 1.437 × 103 | 1.274 × 103 | 8.289 × 102 | 1.183 × 103 | 1.295 × 103 | 1.190 × 103 | 1.360 × 103 |
| Mean | 1.072 × 103 | 1.526 × 103 | 1.330 × 103 | 9.711 × 102 | 1.312 × 103 | 1.395 × 103 | 1.281 × 103 | 1.471 × 103 | |
| Std | 8.800 × 101 | 5.481 × 101 | 2.441 × 101 | 2.310 × 102 | 8.855 × 101 | 3.750 × 101 | 6.077 × 101 | 5.009 × 101 | |
| P | ~ | 1.734 × 10−6 | 1.734 × 10−6 | 4.716 × 10−2 | 2.353 × 10−6 | 1.734 × 10−6 | 2.603 × 10−6 | 1.734 × 10−6 | |
| Rank | 1 | 15 | 9 | 2 | 8 | 11 | 7 | 14 | |
| F9 | Best | 4.173 × 103 | 3.058 × 104 | 1.976 × 104 | 9.000 × 102 | 1.637 × 104 | 2.269 × 104 | 1.395 × 104 | 2.355 × 104 |
| Mean | 1.330 × 104 | 4.071 × 104 | 2.890 × 104 | 3.669 × 103 | 3.075 × 104 | 2.837 × 104 | 2.026 × 104 | 3.388 × 104 | |
| Std | 5.241 × 103 | 5.905 × 103 | 3.713 × 103 | 6.533 × 103 | 9.405 × 103 | 4.002 × 103 | 5.560 × 103 | 4.501 × 103 | |
| P | ~ | 1.734 × 10−6 | 1.734 × 10−6 | 4.072 × 10−5 | 2.879 × 10−6 | 1.734 × 10−6 | 1.742 × 10−4 | 1.734 × 10−6 | |
| Rank | 2 | 15 | 12 | 1 | 10 | 11 | 3 | 13 | |
| F10 | Best | 5.331 × 103 | 1.403 × 104 | 1.051 × 104 | 1.332 × 104 | 9.941 × 103 | 1.428 × 104 | 6.823 × 103 | 1.217 × 104 |
| Mean | 7.455 × 103 | 1.513 × 104 | 1.172 × 104 | 1.442 × 104 | 1.213 × 104 | 1.503 × 104 | 8.966 × 103 | 1.427 × 104 | |
| Std | 1.032 × 103 | 4.793 × 102 | 5.192 × 102 | 5.358 × 102 | 1.265 × 103 | 3.308 × 102 | 1.030 × 103 | 8.864 × 102 | |
| P | ~ | 1.734 × 10−6 | 1.734 × 10−6 | 1.734 × 10−6 | 1.734 × 10−6 | 1.734 × 10−6 | 3.882 × 10−6 | 1.734 × 10−6 | |
| Rank | 1 | 15 | 7 | 13 | 8 | 14 | 3 | 12 | |
| F11 | Best | 1.315 × 103 | 1.143 × 104 | 6.159 × 103 | 3.858 × 104 | 2.123 × 103 | 5.233 × 103 | 1.883 × 103 | 1.095 × 104 |
| Mean | 1.510 × 103 | 2.043 × 104 | 1.526 × 104 | 7.339 × 104 | 3.171 × 103 | 9.500 × 103 | 1.736 × 104 | 2.104 × 104 | |
| Std | 9.670 × 101 | 1.203 × 104 | 3.671 × 103 | 1.792 × 104 | 9.160 × 102 | 1.901 × 103 | 1.249 × 104 | 4.276 × 103 | |
| P | ~ | 1.734 ×10−6 | 1.734 ×10−6 | 1.734 ×10−6 | 1.734 ×10−6 | 1.734 ×10−6 | 1.734 ×10−6 | 1.734 × 10−6 | |
| Rank | 2 | 12 | 11 | 15 | 5 | 8 | 10 | 13 | |
| F12 | Best | 9.151 × 106 | 9.705 × 109 | 1.302 × 109 | 1.273 × 1010 | 1.814 × 108 | 1.110 × 1010 | 4.279 × 107 | 2.640 × 1010 |
| Mean | 8.036 × 107 | 1.966 × 1010 | 1.984 × 109 | 2.112 × 1010 | 7.837 × 108 | 1.634 × 1010 | 5.849 × 109 | 6.262 × 1010 | |
| Std | 5.198 × 107 | 7.818 × 109 | 3.428 × 108 | 3.878 × 109 | 4.330 × 108 | 3.352 × 109 | 5.526 × 109 | 1.873 × 1010 | |
| P | ~ | 1.734 × 10−6 | 1.734 × 10−6 | 1.734 × 10−6 | 1.734 × 10−6 | 1.734 × 10−6 | 1.921 × 10−6 | 1.734 × 10−6 | |
| Rank | 2 | 11 | 6 | 12 | 5 | 10 | 7 | 14 | |
| F13 | Best | 6.911 × 104 | 2.926 × 109 | 3.063 × 107 | 5.651 × 109 | 1.126 × 106 | 1.483 × 109 | 9.387 × 104 | 5.348 × 109 |
| Mean | 2.760 × 105 | 7.130 × 109 | 7.706 × 107 | 1.045 × 1010 | 3.440 × 107 | 4.569 × 109 | 1.407 × 109 | 2.183 × 1010 | |
| Std | 1.413 × 105 | 4.092 × 109 | 2.636 × 107 | 3.154 × 109 | 3.330 × 107 | 2.170 × 109 | 1.782 × 109 | 1.118 × 1010 | |
| P | ~ | 1.734 × 10−6 | 1.734 × 10−6 | 1.734 × 10−6 | 1.734 × 10−6 | 1.734 × 10−6 | 1.921 × 10−6 | 1.734 × 10−6 | |
| Rank | 1 | 11 | 6 | 13 | 5 | 10 | 7 | 15 | |
| F14 | Best | 1.005 × 104 | 1.397 × 106 | 1.661 × 106 | 6.194 × 106 | 2.529 × 105 | 1.305 × 106 | 1.010 × 105 | 9.636 × 105 |
| Mean | 1.527 × 105 | 6.551 × 106 | 4.103 × 106 | 2.208 × 107 | 3.508 × 106 | 4.671 × 106 | 2.841 × 106 | 4.175 × 107 | |
| Std | 9.436 × 104 | 5.301 × 106 | 2.138 × 106 | 1.355 × 107 | 3.182 × 106 | 2.397 × 106 | 3.710 × 106 | 5.339 × 107 | |
| P | ~ | 1.734 × 10−6 | 1.734 × 10−6 | 1.734 × 10−6 | 1.734 × 10−6 | 1.734 × 10−6 | 4.286 × 10−6 | 1.734 × 10−6 | |
| Rank | 1 | 10 | 8 | 15 | 7 | 9 | 5 | 13 | |
| F15 | Best | 1.761 × 104 | 6.001 × 108 | 4.400 × 105 | 9.952 × 108 | 2.426 × 105 | 3.054 × 108 | 1.774 × 104 | 1.864 × 108 |
| Mean | 8.831 × 104 | 1.962 × 109 | 8.798 × 106 | 2.159 × 109 | 4.090 × 106 | 7.343 × 108 | 3.749 × 107 | 4.677 × 109 | |
| Std | 6.555 × 104 | 9.254 × 108 | 6.060 × 106 | 9.090 × 108 | 5.374 × 106 | 3.083 × 108 | 1.064 × 108 | 3.729 × 109 | |
| P | ~ | 1.734 × 10−6 | 1.734 × 10−6 | 1.734 × 10−6 | 1.734 × 10−6 | 1.734 × 10−6 | 1.319 × 10−2 | 1.734 × 10−6 | |
| Rank | 2 | 12 | 7 | 13 | 6 | 10 | 3 | 14 | |
| F16 | Best | 2.452 × 103 | 5.252 × 103 | 4.100 × 103 | 5.751 × 103 | 4.368 × 103 | 5.315 × 103 | 3.132 × 103 | 5.892 ×103 |
| Mean | 3.306 × 103 | 6.242 × 103 | 4.553 × 103 | 6.758 × 103 | 6.046 × 103 | 6.015 × 103 | 4.224 × 103 | 7.739 ×103 | |
| Std | 4.677 × 102 | 5.064 × 102 | 1.969 × 102 | 5.169 × 102 | 9.941 × 102 | 3.963 × 102 | 6.167 × 102 | 1.485 ×103 | |
| P | ~ | 1.734 × 10−6 | 1.734 × 10−6 | 1.734 × 10−6 | 1.734 × 10−6 | 1.734 × 10−6 | 5.752 × 10−6 | 1.734 ×10−6 | |
| Rank | 1 | 12 | 5 | 13 | 10 | 11 | 4 | 15 | |
| F17 | Best | 2.710 × 103 | 5.270 × 103 | 3.343 × 103 | 1.816 × 103 | 3.313 × 103 | 4.075 × 103 | 3.101 × 103 | 4.465 × 103 |
| Mean | 3.132 × 103 | 6.343 × 103 | 3.868 × 103 | 2.293 × 103 | 4.222 × 103 | 4.689 × 103 | 4.014 × 103 | 9.195 × 103 | |
| Std | 3.703 × 102 | 6.126 × 102 | 2.313 × 102 | 3.439 × 102 | 5.352 × 102 | 2.792 × 102 | 4.062 × 102 | 4.301 × 103 | |
| P | ~ | 1.734 × 10−6 | 6.339 × 10−6 | 4.286 × 10−6 | 3.882 × 10−6 | 1.734 × 10−6 | 5.216 × 10−6 | 1.734 × 10−6 | |
| Rank | 2 | 13 | 6 | 1 | 8 | 12 | 7 | 14 | |
| F18 | Best | 3.191 × 105 | 1.287 × 107 | 6.511 × 106 | 1.497 × 107 | 3.445 × 106 | 1.200 × 107 | 2.679 × 105 | 1.141 × 107 |
| Mean | 1.882 × 106 | 5.322 × 107 | 1.558 × 107 | 1.037 × 108 | 3.186 × 107 | 3.286 × 107 | 1.747 × 107 | 1.119 × 108 | |
| Std | 1.564 × 106 | 5.756 × 107 | 6.622 × 106 | 5.355 × 107 | 2.591 × 107 | 1.444 × 107 | 4.818 × 107 | 1.380 × 108 | |
| P | ~ | 1.734 × 10−6 | 1.734 × 10−6 | 1.734 × 10−6 | 1.734 × 10−6 | 1.734 × 10−6 | 8.944 × 10−4 | 1.734 × 10−6 | |
| Rank | 1 | 12 | 7 | 15 | 9 | 11 | 3 | 13 | |
| F19 | Best | 8.193 × 104 | 3.197 × 108 | 1.772 × 105 | 1.358 × 105 | 7.185 × 104 | 1.793 × 108 | 9.076 × 103 | 1.133 × 108 |
| Mean | 4.575 × 106 | 9.218 × 108 | 1.031 × 106 | 1.107 × 109 | 7.514 × 106 | 5.133 × 108 | 1.559 × 108 | 2.286 × 109 | |
| Std | 3.804 × 106 | 4.387 × 108 | 6.828 × 105 | 6.306 × 108 | 9.032 × 106 | 2.382 × 108 | 6.245 × 108 | 1.531 × 109 | |
| P | ~ | 1.734 × 10−6 | 4.072 × 10−5 | 1.734 × 10−6 | 1.109 × 10−1 | 1.734 × 10−6 | 6.733 × 10−1 | 1.734 × 10−6 | |
| Rank | 5 | 13 | 2 | 12 | 7 | 11 | 6 | 14 | |
| F20 | Best | 2.308 × 103 | 3.714 × 103 | 3.089 × 103 | 2.734 × 103 | 2.996 × 103 | 3.821 × 103 | 2.814 × 103 | 3.296 × 103 |
| Mean | 2.958 × 103 | 4.281 × 103 | 3.511 × 103 | 3.659 × 103 | 3.836 × 103 | 4.182 × 103 | 3.608 × 103 | 4.077 × 103 | |
| Std | 3.188 × 102 | 2.728 × 102 | 1.914 × 102 | 2.767 × 102 | 3.166 × 102 | 1.754 × 102 | 4.235 × 102 | 3.082 × 102 | |
| P | ~ | 1.734 × 10−6 | 5.752 × 10−6 | 5.752 × 10−6 | 3.882 × 10−6 | 1.734 × 10−6 | 1.238 × 10−5 | 2.353 × 10−6 | |
| Rank | 1 | 15 | 5 | 9 | 10 | 14 | 8 | 12 | |
| F21 | Best | 2.462 × 103 | 2.930 × 103 | 2.780 × 103 | 2.336 × 103 | 2.707 × 103 | 2.851 × 103 | 2.606 × 103 | 2.990 × 103 |
| Mean | 2.529 × 103 | 3.035 × 103 | 2.825 × 103 | 2.609 × 103 | 2.976 × 103 | 2.926 × 103 | 2.755 × 103 | 3.155 × 103 | |
| Std | 4.841 × 101 | 5.365 × 101 | 2.249 × 101 | 2.773 × 102 | 1.348 × 102 | 3.807 × 101 | 7.201 × 101 | 7.925 × 101 | |
| P | ~ | 1.734 × 10−6 | 1.734 × 10−6 | 5.710 × 10−2 | 1.734 × 10−6 | 1.734 × 10−6 | 1.734 × 10−6 | 1.734 × 10−6 | |
| Rank | 1 | 11 | 7 | 3 | 10 | 9 | 5 | 15 | |
| F22 | Best | 2.321 × 103 | 1.476 × 104 | 1.202 × 104 | 1.486 × 104 | 1.119 × 104 | 1.542 × 104 | 8.659 × 103 | 1.447 × 104 |
| Mean | 8.585 × 103 | 1.632 × 104 | 1.346 × 104 | 1.631 × 104 | 1.334 × 104 | 1.671 × 104 | 1.062 × 104 | 1.641 × 104 | |
| Std | 2.286 × 103 | 6.874 × 102 | 4.563 × 102 | 4.593 × 102 | 1.148 × 103 | 4.806 × 102 | 1.036 × 103 | 7.365 × 102 | |
| P | ~ | 1.734 × 10−6 | 1.734 × 10−6 | 1.734 × 10−6 | 1.734 × 10−6 | 1.734 × 10−6 | 1.973 × 10−5 | 1.734 × 10−6 | |
| Rank | 1 | 13 | 8 | 11 | 7 | 15 | 2 | 14 | |
| F23 | Best | 2.881 × 103 | 3.474 × 103 | 3.121 × 103 | 3.320 × 103 | 3.374 × 103 | 3.512 × 103 | 3.074 × 103 | 3.891 × 103 |
| Mean | 2.999 × 103 | 3.778 × 103 | 3.208 × 103 | 3.440 × 103 | 3.713 × 103 | 3.643 × 103 | 3.210 × 103 | 4.382 × 103 | |
| Std | 7.527 × 101 | 1.561 × 102 | 2.480 × 101 | 4.137 × 101 | 1.736 × 102 | 6.663 × 101 | 8.912 × 101 | 2.724 × 102 | |
| P | ~ | 1.734 ×10−6 | 1.734 ×10−6 | 1.734 ×10−6 | 1.734 ×10−6 | 1.734 ×10−6 | 1.734 ×10−6 | 1.734 × 10−6 | |
| Rank | 1 | 10 | 3 | 6 | 9 | 8 | 2 | 14 | |
| F24 | Best | 3.050 × 103 | 3.537 × 103 | 3.370 × 103 | 3.387 × 103 | 3.458 × 103 | 3.632 × 103 | 3.149 × 103 | 4.125 × 103 |
| Mean | 3.137 × 103 | 3.830 × 103 | 3.421 × 103 | 3.515 × 103 | 3.744 × 103 | 3.784 × 103 | 3.237 × 103 | 4.592 × 103 | |
| Std | 6.548 × 101 | 1.641 × 102 | 1.888 × 101 | 4.167 × 101 | 1.427 × 102 | 5.931 × 101 | 5.462 × 101 | 3.345 × 102 | |
| P | ~ | 1.734 × 10−6 | 1.734 × 10−6 | 1.734 × 10−6 | 1.734 × 10−6 | 1.734 × 10−6 | 8.188 × 10−5 | 1.734 × 10−6 | |
| Rank | 1 | 10 | 4 | 5 | 8 | 9 | 2 | 15 | |
| F25 | Best | 3.035 × 103 | 9.853 × 103 | 4.536 × 103 | 3.144 × 103 | 3.311 × 103 | 5.470 × 103 | 3.149 × 103 | 1.067 × 104 |
| Mean | 3.062 × 103 | 1.589 × 104 | 5.142 × 103 | 3.597 × 103 | 3.568 × 103 | 7.438 × 103 | 5.326 × 103 | 1.405 × 104 | |
| Std | 2.471 × 101 | 4.789 × 103 | 3.462 × 102 | 7.408 × 102 | 1.741 × 102 | 8.085 × 102 | 1.944 × 103 | 1.635 × 103 | |
| P | ~ | 1.734 ×10−6 | 1.734 ×10−6 | 1.734 ×10−6 | 1.734 ×10−6 | 1.734 ×10−6 | 1.734 ×10−6 | 1.734 × 10−6 | |
| Rank | 1 | 14 | 8 | 4 | 5 | 11 | 7 | 13 | |
| F26 | Best | 2.908 × 103 | 1.038 × 104 | 7.969 × 103 | 1.057 × 104 | 1.098 × 104 | 1.146 × 104 | 7.699 × 103 | 1.481 × 104 |
| Mean | 3.980 × 103 | 1.303 × 104 | 8.614 × 103 | 1.129 × 104 | 1.412 × 104 | 1.300 × 104 | 8.978 × 103 | 1.707 × 104 | |
| Std | 1.619 × 103 | 1.380 × 103 | 2.064 × 102 | 4.330 × 102 | 1.520 × 103 | 1.014 × 103 | 7.813 × 102 | 8.721 × 102 | |
| P | ~ | 1.734 ×10−6 | 1.734 ×10−6 | 1.734 ×10−6 | 1.734 ×10−6 | 1.734 ×10−6 | 1.734 ×10−6 | 1.734 × 10−6 | |
| Rank | 1 | 9 | 3 | 6 | 12 | 10 | 4 | 15 | |
| F27 | Best | 3.250 × 103 | 3.493 × 103 | 3.429 × 103 | 3.688 × 103 | 3.608 × 103 | 4.335 × 103 | 3.439 × 103 | 5.561 × 103 |
| Mean | 3.397 × 103 | 4.119 × 103 | 3.496 × 103 | 3.852 × 103 | 4.428 × 103 | 4.715 × 103 | 3.630 × 103 | 6.631 × 103 | |
| Std | 1.427 × 102 | 2.832 × 102 | 3.280 × 101 | 8.150 × 101 | 4.151 × 102 | 1.925 × 102 | 1.457 × 102 | 7.669 × 102 | |
| P | ~ | 1.734 × 10−6 | 2.831 × 10−4 | 2.127 × 10−6 | 1.734 × 10−6 | 1.734 × 10−6 | 8.466 × 10−6 | 1.734 × 10−6 | |
| Rank | 1 | 7 | 2 | 5 | 9 | 11 | 3 | 15 | |
| F28 | Best | 3.263 × 103 | 7.559 × 103 | 7.933 × 103 | 8.210 × 103 | 3.590 × 103 | 6.526 × 103 | 3.953 × 103 | 8.452 × 103 |
| Mean | 3.298 × 103 | 9.642 × 103 | 8.085 × 103 | 9.587 × 103 | 4.337 × 103 | 7.755 × 103 | 8.092 × 103 | 1.159 × 104 | |
| Std | 2.288 × 101 | 9.258 × 102 | 1.184 × 102 | 4.430 × 102 | 3.617 × 102 | 8.141 × 102 | 1.415 × 103 | 1.227 × 103 | |
| P | ~ | 1.734 × 10−6 | 1.734 × 10−6 | 1.734 × 10−6 | 1.734 × 10−6 | 1.734 × 10−6 | 1.734 × 10−6 | 1.734 × 10−6 | |
| Rank | 1 | 13 | 9 | 12 | 4 | 8 | 10 | 14 | |
| F29 | Best | 3.893 × 103 | 6.629 × 103 | 4.689 × 103 | 9.349 × 103 | 6.502 × 103 | 6.533 × 103 | 4.527 × 103 | 1.067 × 104 |
| Mean | 4.874 × 103 | 8.114 × 103 | 5.023 × 103 | 1.272 × 104 | 8.284 × 103 | 7.836 × 103 | 5.350 × 103 | 4.509 × 104 | |
| Std | 5.387 × 102 | 1.133 × 103 | 1.565 × 102 | 1.983 × 103 | 1.363 × 103 | 6.606 × 102 | 4.681 × 102 | 7.128 × 104 | |
| P | ~ | 1.734 × 10−6 | 5.193 × 10−2 | 1.734 × 10−6 | 1.734 × 10−6 | 1.734 × 10−6 | 8.307 × 10−4 | 1.734 × 10−6 | |
| Rank | 1 | 9 | 2 | 13 | 10 | 8 | 3 | 15 | |
| F30 | Best | 6.073 × 107 | 5.077 × 108 | 4.159 × 106 | 6.258 × 108 | 1.190 × 108 | 4.928 × 108 | 2.903 × 106 | 2.499 × 108 |
| Mean | 8.295 × 107 | 1.491 × 109 | 1.316 × 107 | 2.243 × 109 | 2.224 × 108 | 8.574 × 108 | 1.435 × 108 | 3.582 × 109 | |
| Std | 1.783 × 107 | 6.420 × 108 | 5.784 × 106 | 8.871 × 108 | 7.942 × 107 | 3.370 × 108 | 4.425 × 108 | 2.391 × 109 | |
| P | ~ | 1.734 × 10−6 | 1.734 × 10−6 | 1.734 × 10−6 | 1.734 × 10−6 | 1.734 × 10−6 | 7.731 × 10−3 | 1.734 × 10−6 | |
| Rank | 4 | 12 | 1 | 14 | 7 | 10 | 3 | 13 | |
| Mean Rank | 1.6 | 12.3 | 6.5 | 8.5 | 7.8 | 10.2 | 5.7 | 13.8 | |
| +/=/− | ~ | 29/0/0 | 27/2/0 | 24/0/5 | 28/1/0 | 29/0/0 | 28/1/0 | 29/0/0 | |
| Function | Index | MShOA | GJO | WAA | SHO | HO | PO | AO |
|---|---|---|---|---|---|---|---|---|
| F1 | Best | 7.835 × 1010 | 1.841 × 1010 | 3.650 × 106 | 5.405 × 1010 | 2.176 × 1010 | 5.547 × 109 | 1.622 × 108 |
| Mean | 1.082 × 1011 | 3.566 × 1010 | 7.080 × 106 | 7.060 × 1010 | 3.270 × 1010 | 1.337 × 1010 | 4.351 × 108 | |
| Std | 1.225 × 1010 | 8.493 × 109 | 1.399 × 106 | 6.980 × 109 | 4.488 × 109 | 5.804 × 109 | 1.686 × 108 | |
| P | 1.734 × 10−6 | 1.734 × 10−6 | 1.891 × 10−4 | 1.734 × 10−6 | 1.734 × 10−6 | 1.734 × 10−6 | 1.734 × 10−6 | |
| Rank | 15 | 10 | 1 | 12 | 9 | 6 | 4 | |
| F3 | Best | 1.405 × 105 | 8.014 × 104 | 8.869 × 104 | 1.176 × 105 | 1.403 × 105 | 5.281 × 104 | 1.310 × 105 |
| Mean | 1.927 × 105 | 1.221 × 105 | 1.178 × 105 | 1.465 × 105 | 1.589 × 105 | 8.382 × 104 | 1.765 × 105 | |
| Std | 2.322 × 104 | 1.710 × 104 | 1.300 × 104 | 1.205 × 104 | 1.115 × 104 | 1.464 × 104 | 2.168 × 104 | |
| P | 1.734 × 10−6 | 1.734 × 10−6 | 1.734 × 10−6 | 1.734 × 10−6 | 1.734 × 10−6 | 1.734 × 10−6 | 1.734 × 10−6 | |
| Rank | 9 | 4 | 3 | 5 | 7 | 2 | 8 | |
| F4 | Best | 1.661 × 104 | 2.434 × 103 | 5.350 × 102 | 1.101 × 104 | 2.196 × 103 | 1.031 × 103 | 7.020 × 102 |
| Mean | 3.530 × 104 | 5.130 × 103 | 5.567 × 102 | 1.504 × 104 | 5.386 × 103 | 1.851 × 103 | 8.428 × 102 | |
| Std | 9.532 × 103 | 1.420 × 103 | 2.956 × 101 | 2.791 × 103 | 1.542 × 103 | 6.513 × 102 | 8.184 × 101 | |
| P | 1.734 × 10−6 | 1.734 × 10−6 | 4.897 × 10−4 | 1.734 × 10−6 | 1.734 × 10−6 | 1.734 × 10−6 | 1.734 × 10−6 | |
| Rank | 15 | 8 | 1 | 13 | 9 | 5 | 3 | |
| F5 | Best | 1.056 × 103 | 7.696 × 102 | 8.713 × 102 | 9.996 × 102 | 9.530 × 102 | 9.020 × 102 | 7.782 × 102 |
| Mean | 1.161 × 103 | 9.010 × 102 | 9.027 × 102 | 1.060 × 103 | 1.024 × 103 | 9.601 × 102 | 8.623 × 102 | |
| Std | 6.542 × 101 | 5.738 × 101 | 2.284 × 101 | 3.149 × 101 | 3.454 × 101 | 3.368 × 101 | 3.539 × 101 | |
| P | 1.734 × 10−6 | 2.879 × 10−6 | 1.734 × 10−6 | 1.734 × 10−6 | 1.734 × 10−6 | 1.734 × 10−6 | 4.072 × 10−5 | |
| Rank | 13 | 4 | 5 | 11 | 9 | 6 | 3 | |
| F6 | Best | 6.682 × 102 | 6.342 × 102 | 6.689 × 102 | 6.791 × 102 | 6.754 × 102 | 6.633 × 102 | 6.431 × 102 |
| Mean | 6.986 × 102 | 6.545 × 102 | 6.719 × 102 | 6.864 × 102 | 6.870 × 102 | 6.753 × 102 | 6.625 × 102 | |
| Std | 1.322 × 101 | 1.077 × 101 | 1.480 × 100 | 4.322 × 100 | 5.163 × 100 | 7.720 × 100 | 7.053 × 100 | |
| P | 1.734 × 10−6 | 1.709 × 10−3 | 2.353 × 10−6 | 1.921 × 10−6 | 1.734 × 10−6 | 2.353 × 10−6 | 3.405 × 10−5 | |
| Rank | 14 | 3 | 7 | 10 | 12 | 8 | 6 | |
| F7 | Best | 1.754 × 103 | 1.259 × 103 | 1.747 × 103 | 1.582 × 103 | 1.615 × 103 | 1.489 × 103 | 1.336 × 103 |
| Mean | 2.035 × 103 | 1.417 × 103 | 1.826 × 103 | 1.755 × 103 | 1.840 × 103 | 1.729 × 103 | 1.522 × 103 | |
| Std | 9.753 × 101 | 1.010 × 102 | 3.961 × 101 | 7.445 × 101 | 9.005 × 101 | 1.187 × 102 | 1.084 × 102 | |
| P | 1.734 × 10−6 | 1.734 × 10−6 | 1.734 × 10−6 | 1.734 × 10−6 | 1.734 × 10−6 | 1.734 × 10−6 | 1.734 × 10−6 | |
| Rank | 13 | 3 | 9 | 5 | 10 | 6 | 4 | |
| F8 | Best | 1.362 × 103 | 1.111 × 103 | 1.164 × 103 | 1.310 × 103 | 1.200 × 103 | 1.175 × 103 | 1.119 × 103 |
| Mean | 1.470 × 103 | 1.252 × 103 | 1.217 × 103 | 1.391 × 103 | 1.344 × 103 | 1.270 × 103 | 1.192 × 103 | |
| Std | 6.611 × 101 | 8.667 × 101 | 2.989 × 101 | 3.646 × 101 | 4.925 × 101 | 4.622 × 101 | 3.944 × 101 | |
| P | 1.734 × 10−6 | 3.515 × 10−6 | 5.216 × 10−6 | 1.734 × 10−6 | 1.921 × 10−6 | 4.729 × 10−6 | 1.494 × 10−5 | |
| Rank | 13 | 5 | 4 | 12 | 10 | 6 | 3 | |
| F9 | Best | 2.789 × 104 | 7.173 × 103 | 1.694 × 104 | 1.858 × 104 | 1.896 × 104 | 1.416 × 104 | 1.253 × 104 |
| Mean | 3.680 × 104 | 2.056 × 104 | 2.107 × 104 | 2.583 × 104 | 2.534 × 104 | 2.113 × 104 | 2.043 × 104 | |
| Std | 4.938 × 103 | 6.323 × 103 | 3.001 × 103 | 3.013 × 103 | 2.934 × 103 | 3.738 × 103 | 3.492 × 103 | |
| P | 1.734 × 10−6 | 2.225 × 10−4 | 3.882 × 10−6 | 1.734 × 10−6 | 2.127 × 10−6 | 8.466 × 10−6 | 3.112 × 10−5 | |
| Rank | 14 | 6 | 4 | 9 | 8 | 7 | 5 | |
| F10 | Best | 1.302 × 104 | 7.835 × 103 | 7.114 × 103 | 1.067 × 104 | 1.017 × 104 | 7.489 × 103 | 6.922 × 103 |
| Mean | 1.403 × 104 | 1.011 × 104 | 9.040 × 103 | 1.250 × 104 | 1.285 × 104 | 1.038 × 104 | 9.467 × 103 | |
| Std | 6.440 × 102 | 1.676 × 103 | 9.493 × 102 | 8.322 × 102 | 1.077 × 103 | 1.095 × 103 | 1.054 × 103 | |
| P | 1.734 × 10−6 | 3.515 × 10−6 | 1.799 × 10−5 | 1.734 × 10−6 | 1.734 × 10−6 | 1.734 × 10−6 | 1.025 × 10−5 | |
| Rank | 11 | 5 | 2 | 9 | 10 | 6 | 4 | |
| F11 | Best | 1.423 × 104 | 3.768 × 103 | 1.318 × 103 | 8.182 × 103 | 4.152 × 103 | 1.674 × 103 | 1.612 × 103 |
| Mean | 2.558 × 104 | 9.406 × 103 | 1.383 × 103 | 1.335 × 104 | 8.748 × 103 | 2.599 × 103 | 1.928 × 103 | |
| Std | 5.972 × 103 | 2.477 × 103 | 2.548 × 101 | 2.511 × 103 | 1.876 × 103 | 6.849 × 102 | 1.696 × 102 | |
| P | 1.734 × 10−6 | 1.734 × 10−6 | 8.466 × 10−6 | 1.734 × 10−6 | 1.734 × 10−6 | 1.734 × 10−6 | 1.734 × 10−6 | |
| Rank | 14 | 7 | 1 | 9 | 6 | 4 | 3 | |
| F12 | Best | 1.845 × 1010 | 2.574 × 109 | 3.342 × 106 | 1.809 × 1010 | 2.755 × 109 | 7.718 × 107 | 9.093 × 107 |
| Mean | 6.629 × 1010 | 8.617 × 109 | 1.669 × 107 | 3.178 × 1010 | 1.045 × 1010 | 7.909 × 108 | 3.956 × 108 | |
| Std | 2.838 × 1010 | 4.502 × 109 | 1.075 × 107 | 8.147 × 109 | 4.295 × 109 | 8.820 × 108 | 2.122 × 108 | |
| P | 1.734 × 10−6 | 1.734 × 10−6 | 6.339 × 10−6 | 1.734 × 10−6 | 1.734 × 10−6 | 2.127 × 10−6 | 2.127 × 10−6 | |
| Rank | 15 | 8 | 1 | 13 | 9 | 4 | 3 | |
| F13 | Best | 2.155 × 109 | 6.674 × 107 | 2.174 × 105 | 2.954 × 108 | 6.766 × 108 | 2.654 × 105 | 1.753 × 106 |
| Mean | 2.416 × 1010 | 1.433 × 109 | 4.079 × 105 | 9.080 × 109 | 2.915 × 109 | 2.732 × 107 | 5.543 × 106 | |
| Std | 1.948 × 1010 | 1.422 × 109 | 1.137 × 105 | 7.337 × 109 | 2.731 × 109 | 3.206 × 107 | 3.895 × 106 | |
| P | 1.734 × 10−6 | 1.734 × 10−6 | 1.833 × 10−3 | 1.734 × 10−6 | 1.734 × 10−6 | 1.734 × 10−6 | 1.734 × 10−6 | |
| Rank | 14 | 8 | 2 | 12 | 9 | 4 | 3 | |
| F14 | Best | 3.554 × 106 | 2.989 × 105 | 5.004 × 104 | 1.065 × 106 | 7.963 × 105 | 1.486 × 105 | 3.999 × 105 |
| Mean | 5.651 × 107 | 2.200 × 106 | 2.131 × 105 | 8.185 × 106 | 7.552 × 106 | 1.372 × 106 | 2.291 × 106 | |
| Std | 8.221 × 107 | 2.958 × 106 | 1.380 × 105 | 1.058 × 107 | 5.575 × 106 | 1.221 × 106 | 1.679 × 106 | |
| P | 1.734 × 10−6 | 1.921 × 10−6 | 1.650 × 10−1 | 1.734 × 10−6 | 1.734 × 10−6 | 1.921 × 10−6 | 1.734 × 10−6 | |
| Rank | 14 | 4 | 2 | 11 | 12 | 3 | 6 | |
| F15 | Best | 1.284 × 108 | 2.428 × 105 | 2.999 × 104 | 8.296 × 107 | 1.508 × 107 | 2.550 × 104 | 1.810 × 105 |
| Mean | 6.400 × 109 | 6.625 × 108 | 6.205 × 104 | 1.118 × 109 | 1.497 × 108 | 2.513 × 106 | 5.533 × 105 | |
| Std | 3.540 × 109 | 8.635 × 108 | 2.873 × 104 | 6.482 × 108 | 1.454 × 108 | 5.422 × 106 | 2.441 × 105 | |
| P | 1.734 × 10−6 | 1.921 × 10−6 | 4.716 × 10−2 | 1.734 × 10−6 | 1.734 × 10−6 | 2.412 × 10−4 | 1.734 × 10−6 | |
| Rank | 15 | 9 | 1 | 11 | 8 | 4 | 5 | |
| F16 | Best | 5.207 × 103 | 2.729 × 103 | 3.481 × 103 | 4.003 × 103 | 3.675 × 103 | 3.581 × 103 | 3.225 × 103 |
| Mean | 7.048 × 103 | 3.980 × 103 | 4.537 × 103 | 5.384 × 103 | 5.319 × 103 | 4.917 × 103 | 4.052 × 103 | |
| Std | 1.132 × 103 | 6.531 × 102 | 5.821 × 102 | 7.051 × 102 | 7.213 × 102 | 6.682 × 102 | 4.685 × 102 | |
| P | 1.734 × 10−6 | 1.287 × 10−3 | 3.882 × 10−6 | 1.734 × 10−6 | 1.734 × 10−6 | 1.921 × 10−6 | 1.734 × 10−6 | |
| Rank | 14 | 2 | 6 | 9 | 8 | 7 | 3 | |
| F17 | Best | 5.192 × 103 | 2.624 × 103 | 3.253 × 103 | 3.289 × 103 | 3.430 × 103 | 3.557 × 103 | 2.954 × 103 |
| Mean | 3.746 × 104 | 3.506 × 103 | 3.743 × 103 | 4.330 × 103 | 4.318 × 103 | 4.376 × 103 | 3.654 × 103 | |
| Std | 4.286 × 104 | 4.253 × 102 | 3.239 × 102 | 5.489 × 102 | 4.941 × 102 | 5.467 × 102 | 3.785 × 102 | |
| P | 1.734 × 10−6 | 6.156 × 10−4 | 1.799 × 10−5 | 1.921 × 10−6 | 1.921 × 10−6 | 2.127 × 10−6 | 5.752 × 10−6 | |
| Rank | 15 | 3 | 5 | 9 | 11 | 10 | 4 | |
| F18 | Best | 8.981 × 106 | 1.711 × 106 | 9.910 × 105 | 1.498 × 106 | 6.988 × 106 | 5.206 × 105 | 1.701 × 106 |
| Mean | 2.095 × 108 | 1.313 × 107 | 1.981 × 106 | 2.207 × 107 | 3.473 × 107 | 7.042 × 106 | 8.701 × 106 | |
| Std | 3.033 × 108 | 2.017 × 107 | 1.241 × 106 | 1.896 × 107 | 2.194 × 107 | 4.800 × 106 | 6.392 × 106 | |
| P | 1.734 × 10−6 | 1.973 × 10−5 | 5.170 × 10−1 | 1.921 × 10−6 | 1.734 × 10−6 | 3.112 × 10−5 | 6.984 × 10−6 | |
| Rank | 14 | 6 | 2 | 8 | 10 | 4 | 5 | |
| F19 | Best | 1.679 × 108 | 1.486 × 105 | 3.754 × 104 | 2.178 × 106 | 1.402 × 107 | 5.512 × 105 | 1.717 × 105 |
| Mean | 3.744 × 109 | 1.707 × 108 | 3.337 × 105 | 5.231 × 108 | 9.778 × 107 | 3.974 × 106 | 2.925 × 106 | |
| Std | 3.330 × 109 | 3.339 × 108 | 4.277 × 105 | 7.492 × 108 | 1.016 × 108 | 3.476 × 106 | 2.795 × 106 | |
| P | 1.734 × 10−6 | 3.724 × 10−5 | 6.339 × 10−6 | 1.921 × 10−6 | 1.734 × 10−6 | 4.653 × 10−1 | 7.865 × 10−2 | |
| Rank | 15 | 8 | 1 | 10 | 9 | 4 | 3 | |
| F20 | Best | 2.983 × 103 | 2.656 × 103 | 3.077 × 103 | 2.891 × 103 | 2.971 × 103 | 2.901 × 103 | 2.854 × 103 |
| Mean | 4.258 × 103 | 3.313 × 103 | 3.823 × 103 | 3.547 × 103 | 3.503 × 103 | 3.573 × 103 | 3.334 × 103 | |
| Std | 6.069 × 102 | 3.769 × 102 | 3.028 × 102 | 2.893 × 102 | 2.355 × 102 | 3.042 × 102 | 2.758 × 102 | |
| P | 2.353 × 10−6 | 4.534 × 10−4 | 1.921 × 10−6 | 6.339 × 10−6 | 3.182 × 10−6 | 6.984 × 10−6 | 4.897 × 10−4 | |
| Rank | 13 | 3 | 11 | 6 | 4 | 7 | 2 | |
| F21 | Best | 2.929 × 103 | 2.630 × 103 | 2.933 × 103 | 2.854 × 103 | 2.862 × 103 | 2.624 × 103 | 2.508 × 103 |
| Mean | 3.072 × 103 | 2.716 × 103 | 3.163 × 103 | 2.928 × 103 | 3.046 × 103 | 2.776 × 103 | 2.650 × 103 | |
| Std | 7.445 × 101 | 8.263 × 101 | 1.076 × 102 | 4.520 × 101 | 6.708 × 101 | 8.105 × 101 | 5.887 × 101 | |
| P | 1.734 × 10−6 | 2.127 × 10−6 | 1.734 × 10−6 | 1.734 × 10−6 | 1.734 × 10−6 | 1.921 × 10−6 | 2.353 × 10−6 | |
| Rank | 13 | 4 | 14 | 8 | 12 | 6 | 2 | |
| F22 | Best | 1.453 × 104 | 9.189 × 103 | 9.903 × 103 | 1.385 × 104 | 1.302 × 104 | 9.206 × 103 | 2.874 × 103 |
| Mean | 1.632 × 104 | 1.256 × 104 | 1.081 × 104 | 1.531 × 104 | 1.453 × 104 | 1.252 × 104 | 1.045 × 104 | |
| Std | 7.771 × 102 | 2.175 × 103 | 5.748 × 102 | 6.698 × 102 | 8.855 × 102 | 1.154 × 103 | 2.025 × 103 | |
| P | 1.734 × 10−6 | 2.353 × 10−6 | 3.882 × 10−6 | 1.734 × 10−6 | 1.734 × 10−6 | 2.353 × 10−6 | 1.477 × 10−4 | |
| Rank | 12 | 6 | 3 | 10 | 9 | 5 | 4 | |
| F23 | Best | 3.597 × 103 | 3.115 × 103 | 3.895 × 103 | 3.615 × 103 | 3.509 × 103 | 3.270 × 103 | 3.079 × 103 |
| Mean | 3.944 × 103 | 3.308 × 103 | 4.480 × 103 | 3.936 × 103 | 3.820 × 103 | 3.494 × 103 | 3.264 × 103 | |
| Std | 1.790 × 102 | 1.226 × 102 | 2.421 × 102 | 1.742 × 102 | 1.836 × 102 | 1.217 × 102 | 8.388 × 101 | |
| P | 1.734 × 10−6 | 2.127 × 10−6 | 1.734 × 10−6 | 1.734 × 10−6 | 1.734 × 10−6 | 1.734 × 10−6 | 1.734 × 10−6 | |
| Rank | 13 | 5 | 15 | 12 | 11 | 7 | 4 | |
| F24 | Best | 3.872 × 103 | 3.330 × 103 | 3.375 × 103 | 3.967 × 103 | 3.716 × 103 | 3.356 × 103 | 3.175 × 103 |
| Mean | 4.237 × 103 | 3.532 × 103 | 4.415 × 103 | 4.268 × 103 | 4.071 × 103 | 3.588 × 103 | 3.331 × 103 | |
| Std | 2.174 × 102 | 1.123 × 102 | 4.457 × 102 | 1.337 × 102 | 2.001 × 102 | 1.228 × 102 | 7.759 × 101 | |
| P | 1.734 × 10−6 | 1.734 × 10−6 | 1.734 × 10−6 | 1.734 × 10−6 | 1.734 × 10−6 | 1.734 × 10−6 | 2.127 × 10−6 | |
| Rank | 12 | 6 | 14 | 13 | 11 | 7 | 3 | |
| F25 | Best | 1.055 × 104 | 4.648 × 103 | 3.064 × 103 | 6.957 × 103 | 4.370 × 103 | 3.390 × 103 | 3.147 × 103 |
| Mean | 1.567 × 104 | 5.929 × 103 | 3.100 × 103 | 8.682 × 103 | 5.557 × 103 | 3.974 × 103 | 3.264 × 103 | |
| Std | 2.473 × 103 | 6.274 × 102 | 1.350 × 101 | 1.188 × 103 | 5.549 × 102 | 3.779 × 102 | 7.236 × 101 | |
| P | 1.734 × 10−6 | 1.734 × 10−6 | 2.597 × 10−5 | 1.734 × 10−6 | 1.734 × 10−6 | 1.734 × 10−6 | 1.734 × 10−6 | |
| Rank | 15 | 10 | 2 | 12 | 9 | 6 | 3 | |
| F26 | Best | 1.259 × 104 | 8.273 × 103 | 1.126 × 104 | 1.160 × 104 | 1.221 × 104 | 9.227 × 103 | 4.110 × 103 |
| Mean | 1.726 × 104 | 9.522 × 103 | 1.233 × 104 | 1.389 × 104 | 1.368 × 104 | 1.202 × 104 | 6.271 × 103 | |
| Std | 1.651 × 103 | 8.054 × 102 | 4.710 × 102 | 9.440 × 102 | 8.185 × 102 | 1.268 × 103 | 2.557 × 103 | |
| P | 1.734 × 10−6 | 1.734 × 10−6 | 1.734 × 10−6 | 1.734 × 10−6 | 1.734 × 10−6 | 1.734 × 10−6 | 1.359 × 10−4 | |
| Rank | 14 | 5 | 8 | 13 | 11 | 7 | 2 | |
| F27 | Best | 4.663 × 103 | 3.770 × 103 | 4.168 × 103 | 4.947 × 103 | 4.146 × 103 | 3.599 × 103 | 3.563 × 103 |
| Mean | 5.952 × 103 | 4.110 × 103 | 5.986 × 103 | 5.540 × 103 | 4.733 × 103 | 4.075 × 103 | 3.762 × 103 | |
| Std | 7.299 × 102 | 2.243 × 102 | 8.394 × 102 | 3.015 × 102 | 3.659 × 102 | 2.871 × 102 | 1.161 × 102 | |
| P | 1.734 × 10−6 | 1.734 × 10−6 | 1.734 × 10−6 | 1.734 × 10−6 | 1.734 × 10−6 | 1.734 × 10−6 | 2.603 × 10−6 | |
| Rank | 13 | 8 | 14 | 12 | 10 | 6 | 4 | |
| F28 | Best | 9.020 × 103 | 4.968 × 103 | 3.281 × 103 | 7.122 × 103 | 5.389 × 103 | 3.878 × 103 | 3.629 × 103 |
| Mean | 1.224 × 104 | 6.152 × 103 | 3.319 × 103 | 8.347 × 103 | 6.533 × 103 | 4.593 × 103 | 3.885 × 103 | |
| Std | 1.823 × 103 | 5.811 × 102 | 3.000 × 101 | 6.567 × 102 | 7.110 × 102 | 3.612 × 102 | 1.831 × 102 | |
| P | 1.734 × 10−6 | 1.734 × 10−6 | 8.730 × 10−3 | 1.734 × 10−6 | 1.734 × 10−6 | 1.734 × 10−6 | 1.734 × 10−6 | |
| Rank | 15 | 6 | 2 | 11 | 7 | 5 | 3 | |
| F29 | Best | 6.125 × 103 | 4.921 × 103 | 5.262 × 103 | 7.129 × 103 | 6.153 × 103 | 5.714 × 103 | 4.864 × 103 |
| Mean | 4.269 × 104 | 5.875 × 103 | 6.256 × 103 | 9.986 × 103 | 9.121 × 103 | 7.476 × 103 | 5.807 × 103 | |
| Std | 7.984 × 104 | 6.059 × 102 | 7.167 × 102 | 2.325 × 103 | 1.312 × 103 | 9.536 × 102 | 5.735 × 102 | |
| P | 1.734 × 10−6 | 2.163 × 10−5 | 1.921 × 10−6 | 1.734 × 10−6 | 1.734 × 10−6 | 1.734 × 10−6 | 6.984 × 10−6 | |
| Rank | 14 | 5 | 6 | 12 | 11 | 7 | 4 | |
| F30 | Best | 3.999 × 108 | 1.297 × 108 | 1.984 × 107 | 3.334 × 108 | 2.383 × 108 | 4.805 × 107 | 3.267 × 107 |
| Mean | 5.782 × 109 | 4.056 × 108 | 2.802 × 107 | 1.449 × 109 | 6.401 × 108 | 1.680 × 108 | 9.314 × 107 | |
| Std | 3.446 × 109 | 2.824 × 108 | 7.385 × 106 | 1.777 × 109 | 2.925 × 108 | 6.089 × 107 | 3.034 × 107 | |
| P | 1.734 × 10−6 | 1.734 × 10−6 | 1.734 × 10−6 | 1.734 × 10−6 | 1.734 × 10−6 | 4.729 × 10−6 | 1.306 × 10−1 | |
| Rank | 15 | 8 | 2 | 11 | 9 | 6 | 5 | |
| Mean Rank | 13.7 | 5.8 | 5.1 | 10.3 | 9.3 | 5.7 | 3.8 | |
| +/=/− | 29/0/0 | 29/0/0 | 19/2/8 | 29/0/0 | 29/0/0 | 28/1/0 | 27/2/0 | |
| Function | Index | EAO | PSO | DE | CMA-ES | WOA | SCA | MFO | HHO |
|---|---|---|---|---|---|---|---|---|---|
| F1 | Best | 2.173 × 107 | 2.645 × 1011 | 1.134 × 1011 | 1.383 × 102 | 4.931 × 109 | 1.606 × 1011 | 6.216 × 1010 | 2.083 × 1011 |
| Mean | 2.242 × 108 | 3.458 × 1011 | 1.244 × 1011 | 3.255 × 109 | 8.462 × 109 | 1.822 × 1011 | 1.391 × 1011 | 2.508 × 1011 | |
| Std | 1.162 × 108 | 5.222 × 1010 | 5.367 × 109 | 1.783 × 1010 | 1.908 × 109 | 1.095 × 1010 | 4.827 × 1010 | 1.625 × 1010 | |
| P | ~ | 1.734 × 10−6 | 1.734 × 10−6 | 3.112 × 10−5 | 1.734 × 10−6 | 1.734 × 10−6 | 1.734 × 10−6 | 1.734 × 10−6 | |
| Rank | 3 | 15 | 8 | 1 | 5 | 11 | 10 | 13 | |
| F3 | Best | 1.139 × 105 | 7.050 × 105 | 8.292 × 105 | 6.773 × 105 | 4.215 × 105 | 3.228 × 105 | 5.245 × 105 | 3.072 × 105 |
| Mean | 1.474 × 105 | 1.041 × 106 | 9.483 × 105 | 8.325 × 105 | 8.769 × 105 | 3.858 × 105 | 8.345 × 105 | 3.592 × 105 | |
| Std | 2.328 × 104 | 1.872 × 105 | 6.877 × 104 | 7.870 × 104 | 1.699 × 105 | 3.792 × 104 | 1.753 × 105 | 1.243 × 104 | |
| P | ~ | 1.734 × 10−6 | 1.734 × 10−6 | 1.734 × 10−6 | 1.734 × 10−6 | 1.734 × 10−6 | 1.734 × 10−6 | 1.734 × 10−6 | |
| Rank | 1 | 15 | 14 | 11 | 13 | 10 | 12 | 9 | |
| F4 | Best | 6.605 × 102 | 4.249 × 104 | 1.253 × 104 | 1.030 × 104 | 2.003 × 103 | 2.418 × 104 | 4.862 × 103 | 5.476 × 104 |
| Mean | 7.546 × 102 | 6.868 × 104 | 1.607 × 104 | 1.894 × 104 | 3.115 × 103 | 3.609 × 104 | 2.686 × 104 | 8.727 × 104 | |
| Std | 5.421 × 101 | 2.116 × 104 | 1.851 × 103 | 3.657 × 103 | 6.220 × 102 | 6.547 × 103 | 1.510 × 104 | 1.327 × 104 | |
| P | ~ | 1.734 × 10−6 | 1.734 × 10−6 | 1.734 × 10−6 | 1.734 × 10−6 | 1.734 × 10−6 | 1.734 × 10−6 | 1.734 × 10−6 | |
| Rank | 2 | 13 | 7 | 9 | 4 | 11 | 10 | 14 | |
| F5 | Best | 9.560 × 102 | 2.072 × 103 | 1.901 × 103 | 6.044 × 102 | 1.402 × 103 | 1.832 × 103 | 1.434 × 103 | 1.876 × 103 |
| Mean | 1.224 × 103 | 2.292 × 103 | 1.992 × 103 | 9.230 × 102 | 1.672 × 103 | 1.953 × 103 | 1.813 × 103 | 2.067 × 103 | |
| Std | 1.415 × 102 | 1.228 × 102 | 3.611 × 101 | 4.905 × 102 | 1.442 × 102 | 6.157 × 101 | 1.555 × 102 | 6.572 × 101 | |
| P | ~ | 1.734 × 10−6 | 1.734 × 10−6 | 1.734 × 10−6 | 1.734 × 10−6 | 1.734 × 10−6 | 1.734 × 10−6 | 1.734 × 10−6 | |
| Rank | 1 | 15 | 12 | 2 | 7 | 11 | 9 | 14 | |
| F6 | Best | 6.429 × 102 | 7.104 × 102 | 6.579 × 102 | 6.000 × 102 | 6.824 × 102 | 6.879 × 102 | 6.545 × 102 | 7.036 × 102 |
| Mean | 6.606 × 102 | 7.263 × 102 | 6.651 × 102 | 6.000 × 102 | 6.964 × 102 | 6.970 × 102 | 6.776 × 102 | 7.111 × 102 | |
| Std | 7.103 × 100 | 7.743 × 100 | 2.523 × 100 | 1.473 × 10−3 | 1.132 × 101 | 5.029 × 100 | 9.601 × 100 | 4.727 × 100 | |
| P | ~ | 1.734 × 10−6 | 2.958 × 10−3 | 1.734 × 10−6 | 1.734 × 10−6 | 1.734 × 10−6 | 5.217 × 10−6 | 1.734 × 10−6 | |
| Rank | 2 | 15 | 3 | 1 | 9 | 10 | 7 | 14 | |
| F7 | Best | 1.483 × 103 | 8.201 × 103 | 5.902 × 103 | 8.200 × 102 | 3.171 × 103 | 3.310 × 103 | 3.889 × 103 | 3.725 × 103 |
| Mean | 1.792 × 103 | 9.082 × 103 | 6.526 × 103 | 9.338 × 102 | 3.486 × 103 | 3.658 × 103 | 5.285 × 103 | 3.984 × 103 | |
| Std | 2.102 × 102 | 5.480 × 102 | 2.879 × 102 | 3.246 × 101 | 1.731 × 102 | 1.818 × 102 | 6.602 × 102 | 9.074 × 101 | |
| P | ~ | 1.734 × 10−6 | 1.734 × 10−6 | 1.734 × 10−6 | 1.734 × 10−6 | 1.734 × 10−6 | 1.734 × 10−6 | 1.734 × 10−6 | |
| Rank | 2 | 15 | 14 | 1 | 7 | 9 | 13 | 12 | |
| F8 | Best | 1.258 × 103 | 2.405 × 103 | 2.179 × 103 | 8.965 × 102 | 1.915 × 103 | 2.197 × 103 | 1.860 × 103 | 2.355 × 103 |
| Mean | 1.455 × 103 | 2.623 × 103 | 2.266 × 103 | 1.529 × 103 | 2.139 × 103 | 2.321 × 103 | 2.185 × 103 | 2.536 × 103 | |
| Std | 1.066 × 102 | 1.019 × 102 | 4.654 × 101 | 5.724 × 102 | 1.620 × 102 | 5.439 × 101 | 1.678 × 102 | 8.131 × 101 | |
| P | ~ | 1.734 × 10−6 | 1.734 × 10−6 | 2.369 × 10−1 | 1.734 × 10−6 | 1.734 × 10−6 | 1.734 × 10−6 | 1.734 × 10−6 | |
| Rank | 1 | 15 | 10 | 4 | 7 | 11 | 8 | 14 | |
| F9 | Best | 2.437 × 104 | 1.057 × 105 | 1.064 × 105 | 9.000 × 102 | 3.640 × 104 | 6.514 × 104 | 3.793 × 104 | 5.831 × 104 |
| Mean | 3.602 × 104 | 1.334 × 105 | 1.189 × 105 | 6.286 × 103 | 5.482 × 104 | 7.717 × 104 | 4.904 × 104 | 7.477 × 104 | |
| Std | 6.490 × 103 | 2.073 × 104 | 5.907 × 103 | 1.410 × 104 | 1.275 × 104 | 6.451 × 103 | 5.479 × 103 | 7.688 × 103 | |
| P | ~ | 1.734 × 10−6 | 1.734 × 10−6 | 4.729 × 10−6 | 1.734 × 10−6 | 1.734 × 10−6 | 5.217 × 10−6 | 1.734 × 10−6 | |
| Rank | 2 | 15 | 14 | 1 | 8 | 13 | 5 | 11 | |
| F10 | Best | 1.244 × 104 | 3.075 × 104 | 2.712 × 104 | 2.978 × 104 | 2.144 × 104 | 3.086 × 104 | 1.370 × 104 | 2.933 × 104 |
| Mean | 1.551 × 104 | 3.228 × 104 | 2.822 × 104 | 3.144 × 104 | 2.461 × 104 | 3.226 × 104 | 1.757 × 104 | 3.131 × 104 | |
| Std | 1.531 × 103 | 5.730 × 102 | 6.137 × 102 | 6.969 × 102 | 2.013 × 103 | 5.340 × 102 | 2.049 × 103 | 1.164 × 103 | |
| P | ~ | 1.734 × 10−6 | 1.734 × 10−6 | 1.734 × 10−6 | 1.734 × 10−6 | 1.734 × 10−6 | 3.881 × 10−4 | 1.734 × 10−6 | |
| Rank | 1 | 14 | 10 | 12 | 7 | 15 | 2 | 13 | |
| F11 | Best | 2.568 × 103 | 1.211 × 105 | 9.581 × 104 | 3.420 × 105 | 4.620 × 104 | 7.112 × 104 | 2.163 × 104 | 1.702 × 105 |
| Mean | 3.409 × 103 | 2.615 × 105 | 1.324 × 105 | 4.596 × 105 | 1.109 × 105 | 1.082 × 105 | 1.546 × 105 | 2.637 × 105 | |
| Std | 2.973 × 102 | 7.202 × 104 | 1.855 × 104 | 6.170 × 104 | 5.685 × 104 | 1.654 × 104 | 8.149 × 104 | 7.681 × 104 | |
| P | ~ | 1.734 × 10−6 | 1.734 × 10−6 | 1.734 × 10−6 | 1.734 × 10−6 | 1.734 × 10−6 | 1.734 × 10−6 | 1.734 × 10−6 | |
| Rank | 1 | 13 | 10 | 15 | 6 | 7 | 11 | 14 | |
| F12 | Best | 1.911 × 108 | 6.500 × 1010 | 1.486 × 1010 | 3.235 × 1010 | 1.213 × 109 | 5.466 × 1010 | 1.608 × 1010 | 1.242 × 1011 |
| Mean | 5.108 × 108 | 9.856 × 1010 | 1.938 × 1010 | 5.108 × 1010 | 2.582 × 109 | 7.371 × 1010 | 4.216 × 1010 | 1.696 × 1011 | |
| Std | 2.350 × 108 | 1.679 × 1010 | 2.743 × 109 | 1.043 × 1010 | 6.116 × 108 | 1.085 × 1010 | 2.057 × 1010 | 2.141 × 1010 | |
| P | ~ | 1.734 × 10−6 | 1.734 × 10−6 | 1.734 × 10−6 | 1.734 × 10−6 | 1.734 × 10−6 | 1.734 × 10−6 | 1.734 × 10−6 | |
| Rank | 2 | 12 | 6 | 10 | 4 | 11 | 8 | 15 | |
| F13 | Best | 8.410 × 104 | 8.568 × 109 | 6.137 × 107 | 6.194 × 109 | 3.429 × 106 | 8.176 × 109 | 3.355 × 108 | 2.171 × 1010 |
| Mean | 3.362 × 105 | 1.726 × 1010 | 1.501 × 108 | 1.112 × 1010 | 1.966 × 107 | 1.294 × 1010 | 6.719 × 109 | 3.710 × 1010 | |
| Std | 2.982 × 105 | 4.772 × 109 | 4.411 × 107 | 2.286 × 109 | 1.577 × 107 | 3.141 × 109 | 5.838 × 109 | 9.290 × 109 | |
| P | ~ | 1.734 × 10−6 | 1.734 × 10−6 | 1.734 × 10−6 | 1.734 × 10−6 | 1.734 × 10−6 | 1.734 × 10−6 | 1.734 × 10−6 | |
| Rank | 1 | 12 | 6 | 10 | 4 | 11 | 8 | 14 | |
| F14 | Best | 4.693 × 105 | 1.940 × 107 | 1.768 × 107 | 3.927 × 107 | 2.452 × 106 | 1.471 × 107 | 8.605 × 105 | 1.149 × 107 |
| Mean | 1.439 × 106 | 5.642 × 107 | 3.283 × 107 | 1.034 × 108 | 9.171 × 106 | 2.964 × 107 | 9.754 × 106 | 4.165 × 107 | |
| Std | 7.837 × 105 | 2.074 × 107 | 1.002 × 107 | 4.660 × 107 | 4.371 × 106 | 1.224 × 107 | 9.873 × 106 | 3.054 × 107 | |
| P | ~ | 1.734 × 10−6 | 1.734 × 10−6 | 1.734 × 10−6 | 1.921 × 10−6 | 1.734 × 10−6 | 2.353 × 10−6 | 1.734 × 10−6 | |
| Rank | 2 | 14 | 11 | 15 | 6 | 10 | 5 | 12 | |
| F15 | Best | 4.205 × 104 | 3.712 × 109 | 2.226 × 106 | 3.304 × 109 | 4.680 × 105 | 1.806 × 109 | 1.904 × 105 | 3.436 × 109 |
| Mean | 1.156 × 105 | 6.346 × 109 | 1.602 × 107 | 5.342 × 109 | 7.800 × 106 | 4.074 × 109 | 2.011 × 109 | 1.603 × 1010 | |
| Std | 5.092 × 104 | 1.707 × 109 | 1.241 × 107 | 1.021 × 109 | 2.912 × 107 | 1.048 × 109 | 1.366 × 109 | 5.571 × 109 | |
| P | ~ | 1.734 × 10−6 | 1.734 × 10−6 | 1.734 × 10−6 | 1.734 × 10−6 | 1.734 × 10−6 | 1.734 × 10−6 | 1.734 × 10−6 | |
| Rank | 1 | 12 | 6 | 11 | 4 | 10 | 8 | 14 | |
| F16 | Best | 4.258 × 103 | 1.190 × 104 | 9.668 × 103 | 1.228 × 104 | 7.083 × 103 | 1.142 × 104 | 6.455 × 103 | 1.698 × 104 |
| Mean | 6.006 × 103 | 1.390 × 104 | 1.043 × 104 | 1.356 × 104 | 1.304 × 104 | 1.370 × 104 | 8.287 × 103 | 2.214 × 104 | |
| Std | 7.028 × 102 | 1.174 × 103 | 3.721 × 102 | 6.291 × 102 | 2.020 × 103 | 7.926 × 102 | 7.242 × 102 | 2.727 × 103 | |
| P | ~ | 1.734 × 10−6 | 1.734 × 10−6 | 1.734 × 10−6 | 1.734 × 10−6 | 1.734 × 10−6 | 1.921 × 10−6 | 1.734 × 10−6 | |
| Rank | 1 | 11 | 6 | 10 | 9 | 12 | 4 | 15 | |
| F17 | Best | 3.858 × 103 | 1.581 × 104 | 7.043 × 103 | 1.424 × 104 | 6.312 × 103 | 1.129 × 104 | 6.605 × 103 | 1.297 × 104 |
| Mean | 4.873 × 103 | 1.074 × 105 | 7.768 × 103 | 3.431 × 104 | 7.879 × 103 | 2.134 × 104 | 1.301 × 104 | 3.196 × 106 | |
| Std | 5.700 × 102 | 1.492 × 105 | 3.097 × 102 | 1.888 × 104 | 1.284 × 103 | 2.088 × 104 | 1.361 × 104 | 6.929 × 106 | |
| P | ~ | 1.734 × 10−6 | 1.734 × 10−6 | 1.734 × 10−6 | 1.734 × 10−6 | 1.734 × 10−6 | 1.734 × 10−6 | 1.734 × 10−6 | |
| Rank | 1 | 12 | 6 | 11 | 4 | 9 | 8 | 14 | |
| F18 | Best | 5.024 × 105 | 4.500 × 107 | 2.498 × 107 | 6.175 × 107 | 1.311 × 106 | 2.844 × 107 | 1.115 × 106 | 1.237 × 107 |
| Mean | 2.188 × 106 | 8.750 × 107 | 4.840 × 107 | 1.378 × 108 | 4.976 × 106 | 6.519 × 107 | 2.823 × 107 | 8.460 × 107 | |
| Std | 1.113 × 106 | 3.241 × 107 | 1.247 × 107 | 3.842 × 107 | 2.133 × 106 | 2.825 × 107 | 4.039 × 107 | 7.272 × 107 | |
| P | ~ | 1.734 × 10−6 | 1.734 × 10−6 | 1.734 × 10−6 | 4.286 × 10−6 | 1.734 × 10−6 | 1.973 × 10−5 | 1.734 × 10−6 | |
| Rank | 2 | 13 | 10 | 15 | 4 | 11 | 7 | 12 | |
| F19 | Best | 8.691 × 105 | 3.078 × 109 | 2.012 × 107 | 3.311 × 109 | 5.638 × 106 | 2.081 × 109 | 1.091 × 107 | 5.271 × 109 |
| Mean | 1.177 × 107 | 7.168 × 109 | 3.787 × 107 | 5.110 × 109 | 4.048 × 107 | 3.052 × 109 | 2.062 × 109 | 1.623 × 1010 | |
| Std | 6.415 × 106 | 3.064 × 109 | 1.188 × 107 | 1.051 × 109 | 2.549 × 107 | 7.798 × 108 | 2.171 × 109 | 5.768 × 109 | |
| P | ~ | 1.734 × 10−6 | 1.734 × 10−6 | 1.734 × 10−6 | 2.163 × 10−5 | 1.734 × 10−6 | 1.734 × 10−6 | 1.734 × 10−6 | |
| Rank | 3 | 12 | 6 | 11 | 5 | 10 | 8 | 14 | |
| F20 | Best | 4.046 × 103 | 7.059 × 103 | 5.847 × 103 | 6.088 × 103 | 5.121 × 103 | 7.021 × 103 | 4.709 × 103 | 6.670 × 103 |
| Mean | 5.067 × 103 | 7.860 × 103 | 6.420 × 103 | 6.932 × 103 | 6.527 × 103 | 7.686 × 103 | 5.847 × 103 | 7.503 × 103 | |
| Std | 5.223 × 102 | 3.278 × 102 | 2.244 × 102 | 4.845 × 102 | 4.875 × 102 | 3.257 × 102 | 5.697 × 102 | 4.570 × 102 | |
| P | ~ | 1.734 × 10−6 | 1.734 × 10−6 | 1.734 × 10−6 | 1.734 × 10−6 | 1.734 × 10−6 | 1.057 × 10−4 | 1.734 × 10−6 | |
| Rank | 1 | 15 | 7 | 11 | 10 | 14 | 3 | 13 | |
| F21 | Best | 2.780 × 103 | 4.192 × 103 | 3.710 × 103 | 2.427 × 103 | 3.713 × 103 | 3.849 × 103 | 3.476 × 103 | 4.271 × 103 |
| Mean | 2.998 × 103 | 4.403 × 103 | 3.853 × 103 | 3.213 × 103 | 4.161 × 103 | 4.038 × 103 | 3.733 × 103 | 4.787 × 103 | |
| Std | 9.322 × 101 | 1.215 × 102 | 4.108 × 101 | 5.439 × 102 | 2.437 × 102 | 8.944 × 101 | 1.773 × 102 | 2.712 × 102 | |
| P | ~ | 1.734 × 10−6 | 1.734 × 10−6 | 1.566 × 10−2 | 1.734 × 10−6 | 1.734 × 10−6 | 1.734 × 10−6 | 1.734 × 10−6 | |
| Rank | 1 | 13 | 7 | 3 | 9 | 8 | 5 | 15 | |
| F22 | Best | 2.344 × 103 | 3.197 × 104 | 2.810 × 104 | 3.283 × 104 | 2.520 × 104 | 3.332 × 104 | 1.685 × 104 | 3.136 × 104 |
| Mean | 1.766 × 104 | 3.402 × 104 | 2.993 × 104 | 3.391 × 104 | 2.793 × 104 | 3.459 × 104 | 2.040 × 104 | 3.415 × 104 | |
| Std | 5.488 × 103 | 7.492 × 102 | 6.252 × 102 | 5.254 × 102 | 1.907 × 103 | 5.593 × 102 | 1.808 × 103 | 1.510 × 103 | |
| P | ~ | 1.734 × 10−6 | 1.734 × 10−6 | 1.734 × 10−6 | 1.734 × 10−6 | 1.734 × 10−6 | 9.842 × 10−3 | 1.734 × 10−6 | |
| Rank | 1 | 13 | 9 | 12 | 7 | 15 | 2 | 14 | |
| F23 | Best | 3.342 × 103 | 4.941 × 103 | 3.718 × 103 | 4.107 × 103 | 4.392 × 103 | 4.692 × 103 | 3.660 × 103 | 5.537 × 103 |
| Mean | 3.594 × 103 | 5.405 × 103 | 3.811 × 103 | 4.176 × 103 | 4.988 × 103 | 5.004 × 103 | 3.892 × 103 | 6.491 × 103 | |
| Std | 5.960 × 102 | 2.308 × 102 | 3.756 × 101 | 4.205 × 101 | 2.564 × 102 | 1.115 × 102 | 1.194 × 102 | 6.505 × 102 | |
| P | ~ | 1.921 × 10−6 | 3.405 × 10−5 | 3.112 × 10−5 | 1.973 × 10−5 | 1.238 × 10−5 | 3.112 × 10−5 | 1.734 × 10−6 | |
| Rank | 1 | 11 | 2 | 5 | 9 | 8 | 4 | 15 | |
| F24 | Best | 3.687 × 103 | 6.040 × 103 | 4.306 × 103 | 4.703 × 103 | 5.373 × 103 | 6.208 × 103 | 4.256 × 103 | 7.781 × 103 |
| Mean | 3.960 × 103 | 6.823 × 103 | 4.384 × 103 | 4.865 × 103 | 6.279 × 103 | 6.824 × 103 | 4.506 × 103 | 9.725 × 103 | |
| Std | 2.154 × 102 | 3.804 × 102 | 3.387 × 101 | 9.078 × 101 | 4.452 × 102 | 2.820 × 102 | 1.492 × 102 | 1.040 × 103 | |
| P | ~ | 1.734 × 10−6 | 5.217 × 10−6 | 1.734 × 10−6 | 1.734 × 10−6 | 1.734 × 10−6 | 3.182 × 10−6 | 1.734 × 10−6 | |
| Rank | 1 | 9 | 2 | 4 | 8 | 10 | 3 | 15 | |
| F25 | Best | 3.293 × 103 | 5.029 × 104 | 2.914 × 104 | 4.477 × 103 | 4.379 × 103 | 1.455 × 104 | 6.581 × 103 | 2.147 × 104 |
| Mean | 3.417 × 103 | 6.552 × 104 | 3.480 × 104 | 6.484 × 103 | 4.784 × 103 | 1.743 × 104 | 1.477 × 104 | 2.610 × 104 | |
| Std | 5.368 × 101 | 8.724 × 103 | 3.029 × 103 | 2.155 × 103 | 2.381 × 102 | 1.978 × 103 | 8.267 × 103 | 2.439 × 103 | |
| P | ~ | 1.734 × 10−6 | 1.734 × 10−6 | 1.734 × 10−6 | 1.734 × 10−6 | 1.734 × 10−6 | 1.734 × 10−6 | 1.734 × 10−6 | |
| Rank | 2 | 15 | 14 | 5 | 4 | 10 | 9 | 12 | |
| F26 | Best | 2.963 × 103 | 2.736 × 104 | 1.756 × 104 | 2.047 × 104 | 2.665 × 104 | 3.295 × 104 | 1.658 × 104 | 4.755 × 104 |
| Mean | 8.717 × 103 | 3.431 × 104 | 1.844 × 104 | 2.217 × 104 | 3.384 × 104 | 3.645 × 104 | 1.947 × 104 | 5.189 × 104 | |
| Std | 4.981 × 103 | 3.305 × 103 | 4.000 × 102 | 9.097 × 102 | 3.171 × 103 | 2.344 × 103 | 1.920 × 103 | 2.764 × 103 | |
| P | ~ | 1.734 × 10−6 | 1.921 × 10−6 | 1.734 × 10−6 | 1.734 × 10−6 | 1.734 × 10−6 | 1.734 × 10−6 | 1.734 × 10−6 | |
| Rank | 1 | 10 | 2 | 4 | 9 | 12 | 3 | 14 | |
| F27 | Best | 3.415 × 103 | 4.217 × 103 | 3.652 × 103 | 4.451 × 103 | 4.176 × 103 | 6.916 × 103 | 3.581 × 103 | 7.896 × 103 |
| Mean | 3.511 × 103 | 5.582 × 103 | 3.830 × 103 | 4.711 × 103 | 5.283 × 103 | 7.612 × 103 | 4.037 × 103 | 1.182 × 104 | |
| Std | 6.520 × 101 | 8.232 × 102 | 7.257 × 101 | 1.590 × 102 | 6.334 × 102 | 4.214 × 102 | 3.027 × 102 | 1.900 × 103 | |
| P | ~ | 1.734 × 10−6 | 1.734 × 10−6 | 1.734 × 10−6 | 1.734 × 10−6 | 1.734 × 10−6 | 1.734 × 10−6 | 1.734 × 10−6 | |
| Rank | 1 | 8 | 2 | 6 | 7 | 12 | 3 | 15 | |
| F28 | Best | 3.401 × 103 | 2.265 × 104 | 1.574 × 104 | 1.884 × 104 | 4.909 × 103 | 1.925 × 104 | 1.127 × 104 | 2.024 × 104 |
| Mean | 3.484 × 103 | 2.794 × 104 | 1.598 × 104 | 2.125 × 104 | 5.840 × 103 | 2.299 × 104 | 1.964 × 104 | 2.843 × 104 | |
| Std | 3.742 × 101 | 3.669 × 103 | 1.235 × 102 | 1.038 × 103 | 5.316 × 102 | 1.858 × 103 | 2.669 × 103 | 2.561 × 103 | |
| P | ~ | 1.734 × 10−6 | 1.734 × 10−6 | 1.734 × 10−6 | 1.734 × 10−6 | 1.734 × 10−6 | 1.734 × 10−6 | 1.734 × 10−6 | |
| Rank | 2 | 13 | 8 | 10 | 4 | 11 | 9 | 14 | |
| F29 | Best | 6.360 × 103 | 1.756 × 104 | 8.230 × 103 | 5.227 × 103 | 1.122 × 104 | 1.525 × 104 | 7.796 × 103 | 3.733 × 104 |
| Mean | 8.009 × 103 | 4.892 × 104 | 9.182 × 103 | 1.411 × 104 | 1.558 × 104 | 2.039 × 104 | 1.293 × 104 | 2.822 × 105 | |
| Std | 6.860 × 102 | 5.556 × 104 | 3.717 × 102 | 1.044 × 104 | 1.892 × 103 | 4.452 × 103 | 9.812 × 103 | 2.770 × 105 | |
| P | ~ | 1.734 × 10−6 | 2.603 × 10−6 | 1.986 × 10−1 | 1.734 × 10−6 | 1.734 × 10−6 | 2.353 × 10−6 | 1.734 × 10−6 | |
| Rank | 1 | 12 | 2 | 5 | 9 | 11 | 6 | 15 | |
| F30 | Best | 3.756 × 107 | 5.450 × 109 | 1.397 × 106 | 7.158 × 109 | 2.111 × 108 | 5.964 × 109 | 3.437 × 107 | 1.471 × 1010 |
| Mean | 8.772 × 107 | 1.110 × 1010 | 7.966 × 106 | 9.796 × 109 | 7.435 × 108 | 8.809 × 109 | 2.927 × 109 | 3.077 × 1010 | |
| Std | 3.338 × 107 | 4.431 × 109 | 1.798 × 107 | 1.584 × 109 | 3.255 × 108 | 1.447 × 109 | 2.482 × 109 | 8.176 × 109 | |
| P | ~ | 1.734 × 10−6 | 1.734 × 10−6 | 1.734 × 10−6 | 1.734 × 10−6 | 1.734 × 10−6 | 1.921 × 10−6 | 1.734 × 10−6 | |
| Rank | 3 | 12 | 1 | 11 | 6 | 10 | 7 | 14 | |
| Mean Rank | 1.5 | 12.9 | 7.4 | 7.8 | 6.7 | 10.8 | 6.8 | 13.6 | |
| +/=/− | ~ | 29/0/0 | 28/0/1 | 22/2/4 | 29/0/0 | 29/0/0 | 29/0/0 | 29/0/0 | |
| Function | Index | MShOA | GJO | WAA | SHO | HO | PO | AO |
|---|---|---|---|---|---|---|---|---|
| F1 | Best | 2.091 × 1011 | 1.070 × 1011 | 2.934 × 107 | 1.834 × 1011 | 6.863 × 1010 | 2.375 × 1010 | 7.274 × 108 |
| Mean | 2.617 × 1011 | 1.335 × 1011 | 3.530 × 107 | 2.079 × 1011 | 8.173 × 1010 | 4.370 × 1010 | 1.255 × 109 | |
| Std | 2.036 × 1010 | 1.131 × 1010 | 3.909 × 106 | 1.253 × 1010 | 7.100 × 109 | 1.180 × 1010 | 3.037 × 108 | |
| P | 1.734 × 10−6 | 1.734 × 10−6 | 2.127 × 10−6 | 1.734 × 10−6 | 1.734 × 10−6 | 1.734 × 10−6 | 1.734 × 10−6 | |
| Rank | 14 | 9 | 2 | 12 | 7 | 6 | 4 | |
| F3 | Best | 3.318 × 105 | 2.478 × 105 | 1.446 × 105 | 2.807 × 105 | 2.879 × 105 | 1.828 × 105 | 2.691 × 105 |
| Mean | 3.561 × 105 | 2.773 × 105 | 1.992 × 105 | 3.148 × 105 | 3.130 × 105 | 2.109 × 105 | 3.103 × 105 | |
| Std | 1.380 × 104 | 1.676 × 104 | 2.626 × 104 | 1.215 × 104 | 8.553 × 103 | 1.591 × 104 | 2.098 × 104 | |
| P | 1.734 × 10−6 | 1.734 × 10−6 | 5.752 × 10−6 | 1.734 × 10−6 | 1.734 × 10−6 | 1.734 × 10−6 | 1.734 × 10−6 | |
| Rank | 8 | 4 | 2 | 7 | 6 | 3 | 5 | |
| F4 | Best | 6.225 × 104 | 1.156 × 104 | 6.212 × 102 | 6.605 × 102 | 9.566 × 103 | 2.637 × 103 | 1.041 × 103 |
| Mean | 9.315 × 104 | 1.858 × 104 | 6.981 × 102 | 4.715 × 104 | 1.409 × 104 | 4.308 × 103 | 1.299 × 103 | |
| Std | 2.321 × 104 | 3.898 × 103 | 3.506 × 101 | 7.983 × 103 | 3.136 × 103 | 1.028 × 103 | 1.484 × 102 | |
| P | 1.734 × 10−6 | 1.734 × 10−6 | 5.287 × 10−4 | 1.734 × 10−6 | 1.734 × 10−6 | 1.734 × 10−6 | 1.734 × 10−6 | |
| Rank | 15 | 8 | 1 | 12 | 6 | 5 | 3 | |
| F5 | Best | 1.760 × 103 | 1.418 × 103 | 1.365 × 103 | 9.560 × 102 | 1.668 × 103 | 1.449 × 103 | 1.235 × 103 |
| Mean | 2.058 × 103 | 1.561 × 103 | 1.423 × 103 | 1.883 × 103 | 1.796 × 103 | 1.596 × 103 | 1.399 × 103 | |
| Std | 1.164 × 102 | 1.213 × 102 | 4.027 × 101 | 5.396 × 101 | 5.762 × 101 | 8.337 × 101 | 7.704 × 101 | |
| P | 1.734 × 10−6 | 2.603 × 10−6 | 1.127 × 10−5 | 1.734 × 10−6 | 1.734 × 10−6 | 1.734 × 10−6 | 4.072 × 10−5 | |
| Rank | 13 | 5 | 4 | 10 | 8 | 6 | 3 | |
| F6 | Best | 6.949 × 102 | 6.619 × 102 | 6.675 × 102 | 6.429 × 102 | 6.843 × 102 | 6.759 × 102 | 6.649 × 102 |
| Mean | 7.101 × 102 | 6.715 × 102 | 6.729 × 102 | : 697.5236 | 6.964 × 102 | 6.843 × 102 | 6.735 × 102 | |
| Std | 5.819 × 100 | 6.867 × 100 | 3.032 × 100 | 3.116 × 100 | 4.087 × 100 | 4.152 × 100 | 5.711 × 100 | |
| P | 1.734 × 10−6 | 1.238 × 10−5 | 2.879 × 10−6 | 1.734 × 10−6 | 1.734 × 10−6 | 1.734 × 10−6 | 3.882 × 10−6 | |
| Rank | 13 | 4 | 6 | 12 | 11 | 8 | 5 | |
| F7 | Best | 3.688 × 103 | 2.618 × 103 | 3.356 × 103 | 1.483 × 103 | 3.470 × 103 | 3.262 × 103 | 2.428 × 103 |
| Mean | 3.958 × 103 | 2.877 × 103 | 3.482 × 103 | 3.643 × 103 | 3.720 × 103 | 3.433 × 103 | 2.906 × 103 | |
| Std | 1.143 × 102 | 1.325 × 102 | 8.242 × 101 | 8.338 × 101 | 8.085 × 101 | 9.286 × 101 | 2.203 × 102 | |
| P | 1.734 × 10−6 | 1.734 × 10−6 | 1.734 × 10−6 | 1.734 × 10−6 | 1.734 × 10−6 | 1.734 × 10−6 | 1.734 × 10−6 | |
| Rank | 11 | 3 | 6 | 8 | 10 | 5 | 4 | |
| F8 | Best | 6.048 × 104 | 3.051 × 104 | 3.526 × 104 | 2.437 × 104 | 4.669 × 104 | 3.303 × 104 | 4.227 × 104 |
| Mean | 2.534 × 103 | 1.864 × 103 | 1.903 × 103 | 2.326 × 103 | 2.254 × 103 | 2.039 × 103 | 1.790 × 103 | |
| Std | 9.147 × 101 | 9.006 × 101 | 3.440 × 101 | 4.449 × 101 | 5.514 × 101 | 8.848 × 101 | 8.630 × 101 | |
| P | 1.734 × 10−6 | 1.734 × 10−6 | 1.734 × 10−6 | 1.734 × 10−6 | 1.734 × 10−6 | 1.734 × 10−6 | 1.734 × 10−6 | |
| Rank | 13 | 3 | 5 | 12 | 9 | 6 | 2 | |
| F9 | Best | 2.820 × 104 | 1.736 × 104 | 1.563 × 104 | 1.244 × 104 | 2.331 × 104 | 1.899 × 104 | 1.690 × 104 |
| Mean | 7.547 × 104 | 5.209 × 104 | 4.338 × 104 | 5.656 × 104 | 5.617 × 104 | 4.061 × 104 | 5.164 × 104 | |
| Std | 7.240 × 103 | 1.322 × 104 | 4.169 × 103 | 4.852 × 103 | 5.072 × 103 | 5.407 × 103 | 6.636 × 103 | |
| P | 1.734 × 10−6 | 5.792 × 10−5 | 1.477 × 10−4 | 1.734 × 10−6 | 1.734 × 10−6 | 7.731 × 10−3 | 1.921 × 10−6 | |
| Rank | 12 | 6 | 4 | 9 | 10 | 3 | 7 | |
| F10 | Best | 2.820 × 104 | 1.736 × 104 | 1.563 × 104 | 1.244 × 104 | 2.331 × 104 | 1.899 × 104 | 1.690 × 104 |
| Mean | 3.070 × 104 | 2.378 × 104 | 1.760 × 104 | 2.759 × 104 | 2.621 × 104 | 2.243 × 104 | 2.029 × 104 | |
| Std | 1.642 × 103 | 5.030 × 103 | 1.183 × 103 | 1.473 × 103 | 1.781 × 103 | 2.245 × 103 | 1.990 × 103 | |
| P | 1.734 × 10−6 | 1.921 × 10−6 | 2.843 × 10−5 | 1.734 × 10−6 | 1.734 × 10−6 | 1.734 × 10−6 | 2.603 × 10−6 | |
| Rank | 11 | 6 | 3 | 9 | 8 | 5 | 4 | |
| F11 | Best | 1.222 × 105 | 4.545 × 104 | 2.869 × 103 | 1.038 × 105 | 9.917 × 104 | 1.287 × 104 | 6.813 × 104 |
| Mean | 1.763 × 105 | 8.366 × 104 | 3.523 × 103 | 1.214 × 105 | 1.291 × 105 | 2.558 × 104 | 9.803 × 104 | |
| Std | 2.780 × 104 | 2.045 × 104 | 2.602 × 102 | 1.264 × 104 | 1.559 × 104 | 7.174 × 103 | 2.047 × 104 | |
| P | 1.734 × 10−6 | 1.734 × 10−6 | 2.452 × 10−1 | 1.734 × 10−6 | 1.734 × 10−6 | 1.734 × 10−6 | 1.734 × 10−6 | |
| Rank | 12 | 4 | 2 | 8 | 9 | 3 | 5 | |
| F12 | Best | 9.820 × 1010 | 2.643 × 1010 | 7.565 × 107 | 1.911 × 108 | 1.431 × 1010 | 1.068 × 109 | 3.020 × 108 |
| Mean | 1.697 × 1011 | 4.644 × 1010 | 1.013 × 108 | 1.174 × 1011 | 2.510 × 1010 | 5.220 × 109 | 8.020 × 108 | |
| Std | 3.570 × 1010 | 1.187 × 1010 | 1.595 × 107 | 1.432 × 1010 | 7.558 × 109 | 2.856 × 109 | 2.985 × 108 | |
| P | 1.734 × 10−6 | 1.734 × 10−6 | 1.734 × 10−6 | 1.734 × 10−6 | 1.734 × 10−6 | 1.734 × 10−6 | 8.307 × 10−4 | |
| Rank | 14 | 9 | 1 | 13 | 7 | 5 | 3 | |
| F13 | Best | 1.488 × 1010 | 2.438 × 109 | 4.756 × 105 | 8.410 × 104 | 1.401 × 109 | 3.417 × 106 | 1.757 × 106 |
| Mean | 4.319 × 1010 | 8.440 × 109 | 7.105 × 105 | 2.247 × 1010 | 3.067 × 109 | 2.362 × 108 | 7.606 × 106 | |
| Std | 1.075 × 1010 | 2.821 × 109 | 1.398 × 105 | 5.308 × 109 | 1.136 × 109 | 2.757 × 108 | 9.305 × 106 | |
| P | 1.734 × 10−6 | 1.734 × 10−6 | 7.514 × 10−5 | 1.734 × 10−6 | 1.734 × 10−6 | 1.734 × 10−6 | 1.734 × 10−6 | |
| Rank | 15 | 9 | 2 | 13 | 7 | 5 | 3 | |
| F14 | Best | 1.900 × 107 | 1.921 × 106 | 2.964 × 105 | 4.693 × 105 | 4.302 × 106 | 2.509 × 106 | 3.057 × 106 |
| Mean | 7.415 × 107 | 1.262 × 107 | 4.954 × 105 | 1.619 × 107 | 1.856 × 107 | 6.246 × 106 | 7.934 × 106 | |
| Std | 7.171 × 107 | 7.990 × 106 | 1.156 × 105 | 7.305 × 106 | 7.668 × 106 | 2.261 × 106 | 2.436 × 106 | |
| P | 1.734 × 10−6 | 1.734 × 10−6 | 2.127 × 10−6 | 1.734 × 10−6 | 1.734 × 10−6 | 2.127 × 10−6 | 1.734 × 10−6 | |
| Rank | 13 | 7 | 1 | 8 | 9 | 3 | 4 | |
| F15 | Best | 2.542 × 109 | 1.428 × 108 | 1.096 × 105 | 4.205 × 104 | 1.429 × 108 | 5.289 × 105 | 4.463 × 105 |
| Mean | 2.020 × 1010 | 2.629 × 109 | 2.159 × 105 | 9.474 × 109 | 7.563 × 108 | 2.925 × 107 | 1.338 × 106 | |
| Std | 8.328 × 109 | 2.337 × 109 | 6.017 × 104 | 3.266 × 109 | 3.367 × 108 | 4.040 × 107 | 5.096 × 105 | |
| P | 1.734 × 10−6 | 1.734 × 10−6 | 8.466 × 10−6 | 1.734 × 10−6 | 1.734 × 10−6 | 1.734 × 10−6 | 1.734 × 10−6 | |
| Rank | 15 | 9 | 2 | 13 | 7 | 5 | 3 | |
| F16 | Best | 1.408 × 104 | 5.894 × 103 | 6.465 × 103 | 4.258 × 103 | 9.881 × 103 | 8.544 × 103 | 6.453 × 103 |
| Mean | 1.942 × 104 | 9.192 × 103 | 7.785 × 103 | 1.437 × 104 | 1.245 × 104 | 1.068 × 104 | 7.862 × 103 | |
| Std | 2.828 × 103 | 1.317 × 103 | 8.622 × 102 | 1.490 × 103 | 1.217 × 103 | 1.163 × 103 | 8.849 × 102 | |
| P | 1.734 × 10−6 | 1.734 × 10−6 | 2.127 × 10−6 | 1.734 × 10−6 | 1.734 × 10−6 | 1.734 × 10−6 | 2.353 × 10−6 | |
| Rank | 14 | 5 | 2 | 13 | 8 | 7 | 3 | |
| F17 | Best | 1.790 × 104 | 6.182 × 103 | 4.908 × 103 | 3.858 × 103 | 8.901 × 103 | 5.679 × 103 | 4.856 × 103 |
| Mean | 5.688 × 106 | 1.073 × 104 | 6.153 × 103 | 3.215 × 105 | 2.875 × 104 | 8.263 × 103 | 6.328 × 103 | |
| Std | 8.622 × 106 | 7.960 × 103 | 8.497 × 102 | 4.174 × 105 | 2.691 × 104 | 2.235 × 103 | 7.249 × 102 | |
| P | 1.734 × 10−6 | 1.734 × 10−6 | 6.984 × 10−6 | 1.734 × 10−6 | 1.734 × 10−6 | 1.921 × 10−6 | 1.921 × 10−6 | |
| Rank | 15 | 7 | 2 | 13 | 10 | 5 | 3 | |
| F18 | Best | 2.600 × 107 | 1.769 × 106 | 8.099 × 105 | 5.024 × 105 | 6.772 × 106 | 1.284 × 106 | 2.245 × 106 |
| Mean | 1.742 × 108 | 1.404 × 107 | 1.759 × 106 | 1.987 × 107 | 1.951 × 107 | 4.839 × 106 | 6.765 × 106 | |
| Std | 2.244 × 108 | 1.106 × 107 | 7.890 × 105 | 1.129 × 107 | 7.211 × 106 | 2.776 × 106 | 2.334 × 106 | |
| P | 1.734 × 10−6 | 2.879 × 10−6 | 1.414 × 10−1 | 1.734 × 10−6 | 1.734 × 10−6 | 3.405 × 10−5 | 1.734 × 10−6 | |
| Rank | 14 | 6 | 1 | 8 | 9 | 3 | 5 | |
| F19 | Best | 7.984 × 109 | 9.428 × 107 | 1.081 × 106 | 8.691 × 105 | 3.517 × 108 | 1.608 × 106 | 2.426 × 106 |
| Mean | 2.009 × 1010 | 1.746 × 109 | 3.081 × 106 | 8.478 × 109 | 1.189 × 109 | 3.466 × 107 | 9.432 × 106 | |
| Std | 7.237 × 109 | 1.247 × 109 | 1.549 × 106 | 3.110 × 109 | 5.428 × 108 | 4.437 × 107 | 5.549 × 106 | |
| P | 1.734 × 10−6 | 1.734 × 10−6 | 4.286 × 10−6 | 1.734 × 10−6 | 1.734 × 10−6 | 3.162 × 10−3 | 7.865 × 10−2 | |
| Rank | 15 | 9 | 1 | 13 | 7 | 4 | 2 | |
| F20 | Best | 6.515 × 103 | 4.793 × 103 | 5.263 × 103 | 4.046 × 103 | 5.308 × 103 | 5.358 × 103 | 4.198 × 103 |
| Mean | 7.437 × 103 | 6.303 × 103 | 6.516 × 103 | 6.289 × 103 | 6.509 × 103 | 6.123 × 103 | 5.566 × 103 | |
| Std | 4.387 × 102 | 9.524 × 102 | 5.590 × 102 | 5.909 × 102 | 5.561 × 102 | 4.080 × 102 | 6.640 × 102 | |
| P | 1.734 × 10−6 | 3.724 × 10−5 | 2.879 × 10−6 | 3.182 × 10−6 | 1.921 × 10−6 | 3.882 × 10−6 | 3.609 × 10−3 | |
| Rank | 12 | 6 | 9 | 5 | 8 | 4 | 2 | |
| F21 | Best | 4.118 × 103 | 3.204 × 103 | 4.046 × 103 | 2.780 × 103 | 3.953 × 103 | 3.456 × 103 | 3.056 × 103 |
| Mean | 4.392 × 103 | 3.449 × 103 | 4.474 × 103 | 4.261 × 103 | 4.175 × 103 | 3.754 × 103 | 3.322 × 103 | |
| Std | 1.741 × 102 | 1.357 × 102 | 2.128 × 102 | 1.169 × 102 | 1.373 × 102 | 1.705 × 102 | 1.229 × 102 | |
| P | 1.734 × 10−6 | 1.734 × 10−6 | 1.734 × 10−6 | 1.734 × 10−6 | 1.734 × 10−6 | 1.734 × 10−6 | 1.734 × 10−6 | |
| Rank | 12 | 4 | 14 | 11 | 10 | 6 | 2 | |
| F22 | Best | 3.086 × 104 | 2.068 × 104 | 1.829 × 104 | 2.344 × 103 | 2.727 × 104 | 2.371 × 104 | 2.688 × 103 |
| Mean | 3.341 × 104 | 2.654 × 104 | 2.093 × 104 | 3.149 × 104 | 2.953 × 104 | 2.647 × 104 | 2.170 × 104 | |
| Std | 1.161 × 103 | 4.579 × 103 | 1.206 × 103 | 1.136 × 103 | 1.095 × 103 | 1.397 × 103 | 5.377 × 103 | |
| P | 1.734 × 10−6 | 3.182 × 10−6 | 3.317 × 10−4 | 1.734 × 10−6 | 1.734 × 10−6 | 1.734 × 10−6 | 3.589 × 10−4 | |
| Rank | 11 | 6 | 3 | 10 | 8 | 5 | 4 | |
| F23 | Best | 5.057 × 103 | 4.042 × 103 | 5.177 × 103 | 5.491 × 103 | 4.921 × 103 | 4.058 × 103 | 3.627 × 103 |
| Mean | 5.632 × 103 | 4.297 × 103 | 6.320 × 103 | 6.006 × 103 | 5.287 × 103 | 4.529 × 103 | 3.877 × 103 | |
| Std | 3.342 × 102 | 1.361 × 102 | 8.072 × 102 | 3.784 × 102 | 2.420 × 102 | 2.165 × 102 | 1.532 × 102 | |
| P | 1.921 × 10−6 | 3.112 × 10−5 | 1.734 × 10−6 | 1.921 × 10−6 | 2.603 × 10−6 | 3.112 × 10−5 | 3.112 × 10−5 | |
| Rank | 12 | 6 | 14 | 13 | 10 | 7 | 3 | |
| F24 | Best | 6.949 × 103 | 5.230 × 103 | 6.033 × 103 | 3.687 × 103 | 5.731 × 103 | 5.082 × 103 | 4.434 × 103 |
| Mean | 8.610 × 103 | 5.801 × 103 | 9.038 × 103 | 9.437 × 103 | 7.229 × 103 | 5.731 × 103 | 4.852 × 103 | |
| Std | 1.074 × 103 | 3.510 × 102 | 1.893 × 103 | 5.365 × 102 | 5.740 × 102 | 3.589 × 102 | 2.651 × 102 | |
| P | 1.734 × 10−6 | 1.734 × 10−6 | 1.734 × 10−6 | 1.734 × 10−6 | 1.734 × 10−6 | 1.734 × 10−6 | 2.127 × 10−6 | |
| Rank | 13 | 6 | 12 | 14 | 11 | 7 | 5 | |
| F25 | Best | 2.389 × 104 | 8.428 × 103 | 3.213 × 103 | 1.519 × 104 | 7.880 × 103 | 4.902 × 103 | 3.757 × 103 |
| Mean | 2.964 × 104 | 1.147 × 104 | 3.338 × 103 | 1.853 × 104 | 9.369 × 103 | 6.116 × 103 | 3.983 × 103 | |
| Std | 3.075 × 103 | 1.455 × 103 | 6.290 × 101 | 2.085 × 103 | 8.833 × 102 | 6.799 × 102 | 1.402 × 102 | |
| P | 1.734 × 10−6 | 1.734 × 10−6 | 5.792 × 10−5 | 1.734 × 10−6 | 1.734 × 10−6 | 1.734 × 10−6 | 1.734 × 10−6 | |
| Rank | 13 | 8 | 1 | 11 | 7 | 6 | 3 | |
| F26 | Best | 4.550 × 104 | 2.390 × 104 | 2.345 × 104 | 3.852 × 104 | 3.009 × 104 | 2.334 × 104 | 8.680 × 103 |
| Mean | 5.509 × 104 | 2.688 × 104 | 2.672 × 104 | 4.173 × 104 | 3.565 × 104 | 3.218 × 104 | 2.250 × 104 | |
| Std | 5.020 × 103 | 2.197 × 103 | 1.466 × 103 | 2.280 × 103 | 2.351 × 103 | 2.916 × 103 | 5.469 × 103 | |
| P | 1.734 × 10−6 | 1.734 × 10−6 | 1.734 × 10−6 | 1.734 × 10−6 | 1.734 × 10−6 | 1.734 × 10−6 | 2.879 × 10−6 | |
| Rank | 15 | 7 | 6 | 13 | 11 | 8 | 5 | |
| F27 | Best | 6.901 × 103 | 4.776 × 103 | 4.837 × 103 | 8.170 × 103 | 4.770 × 103 | 3.852 × 103 | 3.822 × 103 |
| Mean | 9.767 × 103 | 5.437 × 103 | 6.948 × 103 | 1.013 × 104 | 5.997 × 103 | 4.526 × 103 | 4.340 × 103 | |
| Std | 1.523 × 103 | 4.398 × 102 | 1.690 × 103 | 9.019 × 102 | 6.243 × 102 | 3.941 × 102 | 2.823 × 102 | |
| P | 1.734 × 10−6 | 1.734 × 10−6 | 1.734 × 10−6 | 1.734 × 10−6 | 1.734 × 10−6 | 1.734 × 10−6 | 1.734 × 10−6 | |
| Rank | 13 | 9 | 11 | 14 | 10 | 5 | 4 | |
| F28 | Best | 2.573 × 104 | 1.202 × 104 | 3.355 × 103 | 2.082 × 104 | 1.027 × 104 | 5.586 × 103 | 3.921 × 103 |
| Mean | 3.493 × 104 | 1.588 × 104 | 3.404 × 103 | 2.389 × 104 | 1.289 × 104 | 6.599 × 103 | 4.272 × 103 | |
| Std | 3.740 × 103 | 1.709 × 103 | 2.706 × 101 | 1.798 × 103 | 1.460 × 103 | 7.585 × 102 | 1.768 × 102 | |
| P | 1.734 × 10−6 | 1.734 × 10−6 | 1.734 × 10−6 | 1.734 × 10−6 | 1.734 × 10−6 | 1.734 × 10−6 | 1.734 × 10−6 | |
| Rank | 15 | 7 | 1 | 12 | 6 | 5 | 3 | |
| F29 | Best | 1.844 × 104 | 9.582 × 103 | 8.946 × 103 | 2.135 × 104 | 1.457 × 104 | 1.170 × 104 | 8.366 × 103 |
| Mean | 7.436 × 105 | 1.636 × 104 | 9.964 × 103 | 4.801 × 104 | 1.866 × 104 | 1.403 × 104 | 1.018 × 104 | |
| Std | 1.414 × 106 | 6.749 × 103 | 1.269 × 103 | 3.346 × 104 | 2.254 × 103 | 1.509 × 103 | 1.080 × 103 | |
| P | 1.734 × 10−6 | 1.734 × 10−6 | 1.921 × 10−6 | 1.734 × 10−6 | 1.734 × 10−6 | 1.734 × 10−6 | 3.182 × 10−6 | |
| Rank | 14 | 8 | 3 | 13 | 10 | 7 | 4 | |
| F30 | Best | 1.316 × 1010 | 3.362 × 109 | 4.945 × 106 | 8.156 × 109 | 1.385 × 109 | 2.004 × 108 | 5.123 × 107 |
| Mean | 3.406 × 1010 | 7.494 × 109 | 1.084 × 107 | 2.031 × 1010 | 4.413 × 109 | 5.599 × 108 | 1.337 × 108 | |
| Std | 1.089 × 1010 | 2.801 × 109 | 3.167 × 106 | 5.907 × 109 | 1.736 × 109 | 4.308 × 108 | 6.516 × 107 | |
| P | 1.734 × 10−6 | 1.734 × 10−6 | 1.734 × 10−6 | 1.734 × 10−6 | 1.734 × 10−6 | 1.734 × 10−6 | 6.836 × 10−3 | |
| Rank | 15 | 9 | 2 | 13 | 8 | 5 | 4 | |
| Mean Rank | 13.2 | 6.5 | 4.2 | 11.1 | 8.5 | 5.2 | 3.7 | |
| +/=/− | 29/0/0 | 29/0/0 | 20/1/8 | 29/0/0 | 29/0/0 | 29/0/0 | 28/1/0 | |
| Function | Index | EAO | PSO | DE | CMA-ES | WOA | SCA | MFO | HHO |
|---|---|---|---|---|---|---|---|---|---|
| F1 | Best | 3.044 × 104 | 4.053 × 108 | 1.717 × 106 | 7.609 × 107 | 1.345 × 107 | 5.196 × 108 | 2.681 × 102 | 1.598 × 109 |
| Mean | 1.758 × 108 | 1.459 × 109 | 2.572 × 107 | 4.176 × 109 | 7.222 × 107 | 1.344 × 109 | 1.652 × 108 | 8.042 × 109 | |
| Std | 3.469 × 108 | 6.407 × 108 | 1.354 × 107 | 1.709 × 109 | 5.301 × 107 | 6.603 × 108 | 4.963 × 108 | 3.705 × 109 | |
| P | 2.127 × 10−6 | 4.492 × 10−2 | 1.734 × 10−6 | 8.290 × 10−1 | 2.353 × 10−6 | 7.271 × 10−3 | 1.734 × 10−6 | 2.127 × 10−6 | |
| Rank | 5 | 12 | 4 | 13 | 7 | 10 | 2 | 15 | |
| F2 | Best | 1.278 × 103 | 1.878 × 103 | 1.760 × 103 | 2.322 × 103 | 1.775 × 103 | 2.096 × 103 | 1.401 × 103 | 2.281 × 103 |
| Mean | 1.849 × 103 | 2.576 × 103 | 2.148 × 103 | 2.787 × 103 | 2.414 × 103 | 2.614 × 103 | 2.031 × 103 | 2.675 × 103 | |
| Std | 2.988 × 102 | 2.504 × 102 | 1.573 × 102 | 1.798 × 102 | 3.197 × 102 | 1.921 × 102 | 3.049 × 102 | 2.115 × 102 | |
| P | 4.286 × 10−6 | 4.196 × 10−4 | 1.734 × 10−6 | 2.370 × 10−5 | 1.734 × 10−6 | 1.852 × 10−2 | 1.734 × 10−6 | 4.286 × 10−6 | |
| Rank | 1 | 11 | 5 | 15 | 10 | 13 | 4 | 14 | |
| F3 | Best | 7.212 × 102 | 7.958 × 102 | 7.402 × 102 | 7.306 × 102 | 7.490 × 102 | 7.630 × 102 | 7.173 × 102 | 7.841 × 102 |
| Mean | 7.359 × 102 | 8.412 × 102 | 7.532 × 102 | 7.408 × 102 | 7.987 × 102 | 7.898 × 102 | 7.425 × 102 | 8.126 × 102 | |
| Std | 1.144 × 101 | 2.330 × 101 | 7.846 × 100 | 4.501 × 100 | 2.553 × 101 | 1.723 × 101 | 1.814 × 101 | 1.953 × 101 | |
| P | 1.734 × 10−6 | 1.973 × 10−5 | 3.160 × 10−2 | 1.734 × 10−6 | 1.734 × 10−6 | 1.020 × 10−1 | 1.734 × 10−6 | 1.734 × 10−6 | |
| Rank | 1 | 15 | 4 | 2 | 11 | 9 | 3 | 12 | |
| F4 | Best | 1.900 × 103 | 1.909 × 103 | 1.904 × 103 | 2.210 × 103 | 1.903 × 103 | 1.912 × 103 | 1.901 × 103 | 1.909 × 103 |
| Mean | 1.902 × 103 | 2.023 × 103 | 1.905 × 103 | 3.429 × 103 | 1.912 × 103 | 2.020 × 103 | 1.920 × 103 | 1.341 × 104 | |
| Std | 7.706 × 10−1 | 2.938 × 102 | 9.227 × 10−1 | 9.194 × 102 | 8.749 × 100 | 2.019 × 102 | 5.321 × 101 | 3.305 × 104 | |
| P | 1.734 × 10−6 | 1.734 × 10−6 | 1.734 × 10−6 | 1.734 × 10−6 | 1.734 × 10−6 | 3.379 × 10−3 | 1.734 × 10−6 | 1.734 × 10−6 | |
| Rank | 1 | 9 | 4 | 13 | 8 | 10 | 2 | 12 | |
| F5 | Best | 2.290 × 103 | 2.386 × 104 | 3.605 × 104 | 6.924 × 103 | 7.735 × 103 | 8.636 × 103 | 3.118 × 103 | 7.901 × 103 |
| Mean | 7.537 × 103 | 2.100 × 105 | 5.955 × 105 | 3.919 × 105 | 3.196 × 105 | 9.307 × 104 | 1.683 × 105 | 4.920 × 105 | |
| Std | 7.133 × 103 | 2.422 × 105 | 6.174 × 105 | 4.647 × 105 | 5.977 × 105 | 1.515 × 105 | 3.046 × 105 | 2.595 × 105 | |
| P | 1.734 × 10−6 | 1.734 × 10−6 | 2.353 × 10−6 | 2.353 × 10−6 | 5.752 × 10−6 | 2.879 × 10−6 | 1.734 × 10−6 | 1.734 × 10−6 | |
| Rank | 1 | 9 | 13 | 12 | 8 | 6 | 7 | 14 | |
| F6 | Best | 1.620 × 103 | 1.644 × 103 | 1.644 × 103 | 1.933 × 103 | 1.621 × 103 | 1.728 × 103 | 1.603 × 103 | 1.650 × 103 |
| Mean | 1.779 × 103 | 1.823 × 103 | 1.746 × 103 | 2.023 × 103 | 1.882 × 103 | 1.879 × 103 | 1.777 × 103 | 1.953 × 103 | |
| Std | 7.345 × 101 | 1.266 × 102 | 8.090 × 101 | 7.649 × 101 | 1.367 × 102 | 7.821 × 101 | 1.092 × 102 | 1.689 × 102 | |
| P | 1.529 × 10−1 | 1.020 × 10−1 | 1.734 × 10−6 | 2.415 × 10−3 | 3.724 × 10−5 | 9.263 × 10−1 | 3.112 × 10−5 | 1.529 × 10−1 | |
| Rank | 2 | 5 | 1 | 14 | 8 | 10 | 3 | 11 | |
| F7 | Best | 2.618 × 103 | 4.472 × 103 | 4.789 × 103 | 9.029 × 103 | 7.687 × 103 | 3.545 × 103 | 3.013 × 103 | 3.451 × 103 |
| Mean | 6.858 × 103 | 2.122 × 104 | 4.093 × 105 | 6.711 × 105 | 8.295 × 105 | 1.750 × 104 | 3.627 × 104 | 1.208 × 106 | |
| Std | 4.371 × 103 | 1.389 × 104 | 4.322 × 105 | 8.411 × 105 | 1.638 × 106 | 1.128 × 104 | 5.366 × 104 | 1.668 × 106 | |
| P | 1.494 × 10−5 | 1.734 × 10−6 | 1.734 × 10−6 | 2.603 × 10−6 | 2.843 × 10−5 | 2.225 × 10−4 | 1.734 × 10−6 | 1.494 × 10−5 | |
| Rank | 1 | 11 | 13 | 15 | 14 | 7 | 9 | 12 | |
| F8 | Best | 2.221 × 103 | 2.318 × 103 | 2.343 × 103 | 2.300 × 103 | 2.313 × 103 | 2.312 × 103 | 2.231 × 103 | 2.436 × 103 |
| Mean | 2.304 × 103 | 2.490 × 103 | 2.411 × 103 | 2.428 × 103 | 2.594 × 103 | 2.422 × 103 | 2.314 × 103 | 2.934 × 103 | |
| Std | 1.576 × 101 | 2.282 × 102 | 4.551 × 101 | 3.323 × 102 | 5.408 × 102 | 5.136 × 101 | 4.890 × 101 | 4.039 × 102 | |
| P | 1.734 × 10−6 | 1.734 × 10−6 | 6.733 × 10−1 | 1.734 × 10−6 | 1.734 × 10−6 | 9.754 × 10−1 | 1.734 × 10−6 | 1.734 × 10−6 | |
| Rank | 1 | 12 | 10 | 3 | 7 | 11 | 2 | 15 | |
| F9 | Best | 2.501 × 103 | 2.631 × 103 | 2.658 × 103 | 2.801 × 103 | 2.554 × 103 | 2.572 × 103 | 2.673 × 103 | 2.769 × 103 |
| Mean | 2.729 × 103 | 2.774 × 103 | 2.765 × 103 | 2.814 × 103 | 2.805 × 103 | 2.783 × 103 | 2.758 × 103 | 2.854 × 103 | |
| Std | 8.452 × 101 | 3.967 × 101 | 3.200 × 101 | 7.631 × 100 | 7.936 × 101 | 5.432 × 101 | 2.024 × 101 | 5.765 × 101 | |
| P | 1.114 × 10−3 | 2.703 × 10−2 | 1.921 × 10−6 | 1.114 × 10−3 | 3.881 × 10−4 | 1.306 × 10−1 | 1.734 × 10−6 | 1.114 × 10−3 | |
| Rank | 1 | 7 | 4 | 13 | 11 | 9 | 2 | 14 | |
| F10 | Best | 2.607 × 103 | 2.948 × 103 | 2.920 × 103 | 2.944 × 103 | 2.834 × 103 | 2.926 × 103 | 2.898 × 103 | 3.057 × 103 |
| Mean | 2.917 × 103 | 3.006 × 103 | 2.959 × 103 | 3.121 × 103 | 2.973 × 103 | 2.986 × 103 | 2.944 × 103 | 3.356 × 103 | |
| Std | 6.276 × 101 | 2.383 × 101 | 1.327 × 101 | 9.548 × 101 | 4.332 × 101 | 3.251 × 101 | 2.499 × 101 | 2.591 × 102 | |
| P | 1.734 × 10−6 | 7.691 × 10−6 | 1.921 × 10−6 | 1.477 × 10−4 | 1.921 × 10−6 | 7.731 × 10−3 | 1.734 × 10−6 | 1.734 × 10−6 | |
| Rank | 1 | 12 | 7 | 13 | 8 | 10 | 4 | 15 | |
| Mean Rank | 1.5 | 10.3 | 6.5 | 11.3 | 9.2 | 9.5 | 3.8 | 13.4 | |
| +/=/− | ~ | 9/1/0 | 8/1/1 | 9/1/0 | 9/1/0 | 10/0/0 | 5/4/1 | 10/0/0 | |
| Function | Index | MShOA | GJO | WAA | SHO | HO | PO | AO |
|---|---|---|---|---|---|---|---|---|
| F1 | Best | 3.676 × 108 | 3.834 × 105 | 2.767 × 104 | 3.301 × 108 | 1.550 × 108 | 7.118 × 105 | 2.248 × 106 |
| Mean | 7.029 × 109 | 5.175 × 108 | 6.819 × 104 | 1.705 × 109 | 1.104 × 109 | 8.214 × 107 | 8.788 × 107 | |
| Std | 5.418 × 109 | 7.672 × 108 | 2.760 × 104 | 1.217 × 109 | 9.152 × 108 | 1.513 × 108 | 1.322 × 108 | |
| P | 1.734 × 10−6 | 9.271 × 10−3 | 3.182 × 10−6 | 1.734 × 10−6 | 2.879 × 10−6 | 2.369 × 10−1 | 1.734 × 10−6 | |
| Rank | 14 | 8 | 1 | 11 | 9 | 3 | 6 | |
| F2 | Best | 1.634 × 103 | 1.274 × 103 | 1.467 × 103 | 1.734 × 103 | 1.358 × 103 | 1.562 × 103 | 1.413 × 103 |
| Mean | 2.646 × 103 | 1.994 × 103 | 2.227 × 103 | 2.238 × 103 | 2.376 × 103 | 2.127 × 103 | 2.020 × 103 | |
| Std | 3.797 × 102 | 3.618 × 102 | 2.235 × 102 | 2.101 × 102 | 3.247 × 102 | 3.132 × 102 | 2.752 × 102 | |
| P | 2.127 × 10−6 | 2.623 × 10−1 | 7.514 × 10−5 | 1.238 × 10−5 | 7.514 × 10−5 | 2.255 × 10−3 | 4.277 × 10−2 | |
| Rank | 12 | 2 | 7 | 8 | 9 | 6 | 3 | |
| F3 | Best | 7.610 × 102 | 7.325 × 102 | 8.115 × 102 | 7.660 × 102 | 7.335 × 102 | 7.350 × 102 | 7.391 × 102 |
| Mean | 8.193 × 102 | 7.577 × 102 | 8.285 × 102 | 7.898 × 102 | 7.789 × 102 | 7.741 × 102 | 7.693 × 102 | |
| Std | 2.916 × 101 | 1.437 × 101 | 1.564 × 101 | 1.215 × 101 | 1.817 × 101 | 2.034 × 101 | 1.703 × 101 | |
| P | 1.734 × 10−6 | 3.405 × 10−5 | 1.734 × 10−6 | 1.734 × 10−6 | 1.921 × 10−6 | 3.882 × 10−6 | 1.734 × 10−6 | |
| Rank | 13 | 5 | 14 | 10 | 8 | 7 | 6 | |
| F4 | Best | 1.908 × 103 | 1.902 × 103 | 1.902 × 103 | 1.910 × 103 | 1.906 × 103 | 1.902 × 103 | 1.903 × 103 |
| Mean | 1.668 × 105 | 2.096 × 103 | 1.905 × 103 | 1.763 × 104 | 8.118 × 103 | 1.909 × 103 | 1.911 × 103 | |
| Std | 1.814 × 105 | 9.650 × 102 | 2.970 × 100 | 1.798 × 104 | 1.087 × 104 | 4.777 × 100 | 1.133 × 101 | |
| P | 1.734 × 10−6 | 3.182 × 10−6 | 3.182 × 10−6 | 1.734 × 10−6 | 1.734 × 10−6 | 1.734 × 10−6 | 2.127 × 10−6 | |
| Rank | 15 | 5 | 3 | 14 | 11 | 7 | 6 | |
| F5 | Best | 1.741 × 104 | 2.512 × 103 | 4.065 × 103 | 3.076 × 104 | 3.433 × 103 | 2.896 × 103 | 3.148 × 103 |
| Mean | 1.728 × 106 | 4.513 × 104 | 2.135 × 105 | 2.620 × 105 | 2.610 × 104 | 3.459 × 104 | 7.318 × 104 | |
| Std | 5.822 × 106 | 1.150 × 105 | 8.232 × 104 | 1.446 × 105 | 3.718 × 104 | 8.185 × 104 | 9.923 × 104 | |
| P | 1.734 × 10−6 | 1.020 × 10−1 | 1.921 × 10−6 | 1.734 × 10−6 | 8.730 × 10−3 | 2.712 × 10−1 | 5.792 × 10−5 | |
| Rank | 15 | 3 | 10 | 11 | 4 | 2 | 5 | |
| F6 | Best | 1.770 × 103 | 1.722 × 103 | 1.832 × 103 | 1.655 × 103 | 1.753 × 103 | 1.676 × 103 | 1.608 × 103 |
| Mean | 2.059 × 103 | 1.834 × 103 | 2.161 × 103 | 1.857 × 103 | 1.942 × 103 | 1.872 × 103 | 1.798 × 103 | |
| Std | 1.762 × 102 | 8.785 × 101 | 1.720 × 102 | 1.044 × 102 | 1.170 × 102 | 7.725 × 101 | 1.043 × 102 | |
| P | 3.515 × 10−6 | 1.108 × 10−2 | 1.734 × 10−6 | 6.639 × 10−4 | 8.466 × 10−6 | 6.892 × 10−5 | 6.884 × 10−1 | |
| Rank | 13 | 6 | 15 | 7 | 12 | 9 | 4 | |
| F7 | Best | 3.482 × 103 | 2.724 × 103 | 2.751 × 103 | 3.174 × 103 | 2.593 × 103 | 3.034 × 103 | 3.557 × 103 |
| Mean | 3.007 × 104 | 1.047 × 104 | 4.324 × 104 | 3.783 × 104 | 1.435 × 104 | 8.844 × 103 | 1.483 × 104 | |
| Std | 3.576 × 104 | 6.599 × 103 | 4.877 × 104 | 5.578 × 104 | 1.221 × 104 | 5.700 × 103 | 1.219 × 104 | |
| P | 2.843 × 10−5 | 1.108 × 10−2 | 1.287 × 10−3 | 3.317 × 10−4 | 1.484 × 10−3 | 1.714 × 10−1 | 2.585 × 10−3 | |
| Rank | 10 | 3 | 8 | 6 | 4 | 2 | 5 | |
| F8 | Best | 2.295 × 103 | 2.308 × 103 | 2.293 × 103 | 2.293 × 103 | 2.310 × 103 | 2.306 × 103 | 2.244 × 103 |
| Mean | 2.851 × 103 | 2.422 × 103 | 2.662 × 103 | 2.557 × 103 | 2.402 × 103 | 2.330 × 103 | 2.313 × 103 | |
| Std | 2.956 × 102 | 1.855 × 102 | 7.115 × 102 | 3.973 × 102 | 7.435 × 101 | 2.800 × 101 | 1.372 × 101 | |
| P | 1.921 × 10−6 | 1.734 × 10−6 | 3.405 × 10−5 | 1.921 × 10−6 | 1.734 × 10−6 | 2.353 × 10−6 | 1.734 × 10−6 | |
| Rank | 14 | 8 | 6 | 13 | 9 | 5 | 4 | |
| F9 | Best | 2.594 × 103 | 2.529 × 103 | 2.501 × 103 | 2.526 × 103 | 2.552 × 103 | 2.509 × 103 | 2.508 × 103 |
| Mean | 2.761 × 103 | 2.764 × 103 | 2.906 × 103 | 2.810 × 103 | 2.791 × 103 | 2.751 × 103 | 2.753 × 103 | |
| Std | 8.523 × 101 | 4.841 × 101 | 1.058 × 102 | 5.725 × 101 | 5.010 × 101 | 8.157 × 101 | 6.672 × 101 | |
| P | 3.389 × 10−1 | 7.271 × 10−3 | 1.973 × 10−5 | 3.182 × 10−6 | 3.724 × 10−5 | 7.731 × 10−3 | 3.501 × 10−2 | |
| Rank | 8 | 5 | 15 | 12 | 10 | 6 | 3 | |
| F10 | Best | 3.009 × 103 | 2.906 × 103 | 2.898 × 103 | 2.923 × 103 | 2.913 × 103 | 2.912 × 103 | 2.901 × 103 |
| Mean | 3.242 × 103 | 2.948 × 103 | 2.940 × 103 | 3.011 × 103 | 2.987 × 103 | 2.963 × 103 | 2.941 × 103 | |
| Std | 1.793 × 102 | 3.393 × 101 | 2.467 × 101 | 7.097 × 101 | 5.214 × 101 | 3.179 × 101 | 2.931 × 101 | |
| P | 1.734 × 10−6 | 1.566 × 10−2 | 3.854 × 10−3 | 2.879 × 10−6 | 2.879 × 10−6 | 1.477 × 10−4 | 5.710 × 10−2 | |
| Rank | 14 | 3 | 2 | 11 | 9 | 6 | 5 | |
| Mean Rank | 12.8 | 4.8 | 8.1 | 10.3 | 8.5 | 5.3 | 4.7 | |
| +/=/− | 9/1/0 | 8/2/0 | 9/0/1 | 10/0/0 | 10/0/0 | 7/3/0 | 7/3/0 | |
| Function | Index | EAO | PSO | DE | CMA-ES | WOA | SCA | MFO | HHO |
|---|---|---|---|---|---|---|---|---|---|
| F1 | Best | 2.258 × 105 | 5.387 × 109 | 9.873 × 107 | 5.890 × 102 | 9.940 × 107 | 4.969 × 109 | 6.293 × 103 | 1.013 × 1010 |
| Mean | 7.337 × 107 | 9.866 × 109 | 2.009 × 108 | 8.245 × 109 | 3.461 × 108 | 8.337 × 109 | 2.438 × 109 | 2.346 × 1010 | |
| Std | 1.370 × 108 | 2.595 × 109 | 1.086 × 108 | 7.579 × 109 | 2.585 × 108 | 1.899 × 109 | 2.936 × 109 | 7.815 × 109 | |
| P | 1.734 × 10−6 | 1.057 × 10−4 | 1.484 × 10−3 | 1.891 × 10−4 | 1.734 × 10−6 | 6.339 × 10−6 | 1.734 × 10−6 | 1.734 × 10−6 | |
| Rank | 2 | 12 | 4 | 8 | 5 | 11 | 6 | 14 | |
| F2 | Best | 2.068 × 103 | 4.129 × 103 | 2.305 × 103 | 5.224 × 103 | 2.764 × 103 | 4.680 × 103 | 2.341 × 103 | 3.599 × 103 |
| Mean | 3.006 × 103 | 5.147 × 103 | 2.677 × 103 | 5.755 × 103 | 4.241 × 103 | 5.231 × 103 | 3.447 × 103 | 5.064 × 103 | |
| Std | 5.007 × 102 | 3.740 × 102 | 1.594 × 102 | 2.212 × 102 | 7.572 × 102 | 2.676 × 102 | 5.677 × 102 | 5.173 × 102 | |
| P | 1.734 × 10−6 | 1.709 × 10−3 | 1.734 × 10−6 | 3.515 × 10−6 | 1.734 × 10−6 | 8.730 × 10−3 | 1.734 × 10−6 | 1.734 × 10−6 | |
| Rank | 2 | 12 | 1 | 15 | 7 | 13 | 3 | 11 | |
| F3 | Best | 7.595 × 102 | 1.094 × 103 | 8.295 × 102 | 7.348 × 102 | 8.800 × 102 | 8.899 × 102 | 7.686 × 102 | 9.619 × 102 |
| Mean | 8.028 × 102 | 1.279 × 103 | 8.579 × 102 | 8.182 × 102 | 9.737 × 102 | 9.383 × 102 | 8.452 × 102 | 1.034 × 103 | |
| Std | 2.545 × 101 | 9.953 × 101 | 1.386 × 101 | 1.673 × 101 | 5.782 × 101 | 1.984 × 101 | 7.673 × 101 | 3.772 × 101 | |
| P | 1.734 × 10−6 | 1.734 × 10−6 | 8.730 × 10−3 | 1.734 × 10−6 | 1.734 × 10−6 | 1.852 × 10−2 | 1.734 × 10−6 | 1.734 × 10−6 | |
| Rank | 1 | 15 | 6 | 2 | 11 | 8 | 3 | 13 | |
| F4 | Best | 1.905 × 103 | 2.475 × 103 | 1.917 × 103 | 4.980 × 103 | 1.915 × 103 | 2.047 × 103 | 1.906 × 103 | 2.166 × 104 |
| Mean | 1.908 × 103 | 2.898 × 104 | 2.063 × 103 | 7.207 × 104 | 2.108 × 103 | 4.517 × 103 | 1.400 × 104 | 3.500 × 105 | |
| Std | 2.072 × 100 | 3.859 × 104 | 5.857 × 102 | 1.219 × 105 | 2.905 × 102 | 3.008 × 103 | 1.949 × 104 | 5.264 × 105 | |
| P | 1.734 × 10−6 | 1.734 × 10−6 | 1.734 × 10−6 | 1.734 × 10−6 | 1.734 × 10−6 | 2.353 × 10−6 | 1.734 × 10−6 | 1.734 × 10−6 | |
| Rank | 1 | 12 | 3 | 13 | 6 | 8 | 9 | 14 | |
| F5 | Best | 2.727 × 104 | 1.026 × 106 | 7.761 × 105 | 3.417 × 106 | 1.259 × 105 | 4.148 × 105 | 5.891 × 104 | 2.786 × 105 |
| Mean | 2.520 × 105 | 3.966 × 106 | 3.877 × 106 | 1.310 × 107 | 1.721 × 106 | 2.300 × 106 | 2.211 × 106 | 5.106 × 106 | |
| Std | 2.728 × 105 | 3.240 × 106 | 2.014 × 106 | 6.059 × 106 | 1.470 × 106 | 1.119 × 106 | 3.411 × 106 | 4.369 × 106 | |
| P | 1.734 × 10−6 | 1.734 × 10−6 | 1.734 × 10−6 | 1.025 × 10−5 | 1.734 × 10−6 | 1.639 × 10−5 | 1.734 × 10−6 | 1.734 × 10−6 | |
| Rank | 1 | 12 | 13 | 15 | 8 | 10 | 7 | 11 | |
| F6 | Best | 1.761 × 103 | 1.952 × 103 | 1.629 × 103 | 2.421 × 103 | 2.179 × 103 | 2.115 × 103 | 1.872 × 103 | 2.638 × 103 |
| Mean | 2.216 × 103 | 2.425 × 103 | 1.699 × 103 | 2.776 × 103 | 2.799 × 103 | 2.519 × 103 | 2.154 × 103 | 3.157 × 103 | |
| Std | 2.171 × 102 | 2.296 × 102 | 6.056 × 101 | 2.164 × 102 | 2.775 × 102 | 1.804 × 102 | 2.005 × 102 | 3.735 × 102 | |
| P | 2.255 × 10−3 | 2.127 × 10−6 | 1.734 × 10−6 | 3.182 × 10−6 | 3.405 × 10−5 | 4.284 × 10−1 | 1.734 × 10−6 | 2.255 × 10−3 | |
| Rank | 3 | 6 | 1 | 11 | 12 | 9 | 2 | 15 | |
| F7 | Best | 7.469 × 103 | 1.430 × 105 | 5.178 × 105 | 4.942 × 104 | 2.412 × 104 | 9.762 × 104 | 2.295 × 104 | 1.721 × 104 |
| Mean | 7.613 × 104 | 7.234 × 105 | 1.502 × 106 | 5.035 × 106 | 1.530 × 106 | 6.843 × 105 | 6.164 × 105 | 1.411 × 106 | |
| Std | 6.393 × 104 | 5.841 × 105 | 8.302 × 105 | 6.113 × 106 | 1.050 × 106 | 5.367 × 105 | 9.082 × 105 | 1.916 × 106 | |
| P | 1.921 × 10−6 | 1.734 × 10−6 | 1.734 × 10−6 | 2.353 × 10−6 | 2.603 × 10−6 | 1.494 × 10−5 | 2.603 × 10−6 | 1.921 × 10−6 | |
| Rank | 1 | 10 | 14 | 15 | 13 | 8 | 6 | 11 | |
| F8 | Best | 2.305 × 103 | 2.970 × 103 | 3.034 × 103 | 2.300 × 103 | 2.348 × 103 | 2.835 × 103 | 2.302 × 103 | 3.587 × 103 |
| Mean | 2.427 × 103 | 5.003 × 103 | 3.908 × 103 | 6.583 × 103 | 5.111 × 103 | 5.075 × 103 | 3.904 × 103 | 6.076 × 103 | |
| Std | 6.359 × 102 | 1.775 × 103 | 9.535 × 102 | 1.197 × 103 | 1.799 × 103 | 1.958 × 103 | 1.374 × 103 | 1.128 × 103 | |
| P | 1.734 × 10−6 | 1.973 × 10−5 | 2.353 × 10−6 | 1.734 × 10−6 | 8.466 × 10−6 | 7.691 × 10−6 | 1.734 × 10−6 | 1.734 × 10−6 | |
| Rank | 1 | 12 | 7 | 15 | 9 | 10 | 6 | 14 | |
| F9 | Best | 2.501 × 103 | 2.920 × 103 | 2.905 × 103 | 2.968 × 103 | 2.978 × 103 | 2.947 × 103 | 2.844 × 103 | 3.037 × 103 |
| Mean | 2.882 × 103 | 3.017 × 103 | 2.930 × 103 | 3.008 × 103 | 3.127 × 103 | 3.009 × 103 | 2.894 × 103 | 3.271 × 103 | |
| Std | 9.872 × 101 | 7.513 × 101 | 1.229 × 101 | 2.152 × 101 | 8.762 × 101 | 2.056 × 101 | 2.456 × 101 | 1.766 × 102 | |
| P | 1.360 × 10−5 | 9.842 × 10−3 | 5.752 × 10−6 | 2.353 × 10−6 | 5.216 × 10−6 | 4.165 × 10−1 | 1.734 × 10−6 | 1.360 × 10−5 | |
| Rank | 3 | 8 | 4 | 9 | 11 | 7 | 1 | 14 | |
| F10 | Best | 2.911 × 103 | 3.185 × 103 | 2.952 × 103 | 2.959 × 103 | 3.011 × 103 | 3.122 × 103 | 2.914 × 103 | 3.674 × 103 |
| Mean | 2.942 × 103 | 3.700 × 103 | 3.021 × 103 | 3.562 × 103 | 3.075 × 103 | 3.280 × 103 | 3.048 × 103 | 4.574 × 103 | |
| Std | 3.133 × 101 | 3.717 × 102 | 3.596 × 101 | 4.312 × 102 | 4.806 × 101 | 1.280 × 102 | 1.579 × 102 | 6.776 × 102 | |
| P | 1.734 × 10−6 | 1.921 × 10−6 | 1.921 × 10−6 | 1.734 × 10−6 | 1.734 × 10−6 | 4.682 × 10−3 | 1.734 × 10−6 | 1.734 × 10−6 | |
| Rank | 1 | 13 | 5 | 11 | 7 | 9 | 4 | 15 | |
| Mean Rank | 1.6 | 11.2 | 5.8 | 11.4 | 8.9 | 9.3 | 4.7 | 13.2 | |
| +/=/− | ~ | 10/0/0 | 8/0/2 | 10/0/0 | 10/0/0 | 10/0/0 | 8/2/0 | 10/0/0 | |
| Function | Index | MShOA | GJO | WAA | SHO | HO | PO | AO |
|---|---|---|---|---|---|---|---|---|
| F1 | Best | 1.365 × 1010 | 1.814 × 109 | 2.968 × 105 | 8.831 × 109 | 2.908 × 109 | 1.899 × 108 | 2.358 × 107 |
| Mean | 2.831 × 1010 | 5.553 × 109 | 5.326 × 105 | 1.457 × 1010 | 7.550 × 109 | 2.077 × 109 | 1.217 × 108 | |
| Std | 8.264 × 109 | 3.060 × 109 | 1.388 × 105 | 3.148 × 109 | 2.521 × 109 | 1.721 × 109 | 1.214 × 108 | |
| P | 1.734 × 10−6 | 1.734 × 10−6 | 3.515 × 10−6 | 1.734 × 10−6 | 1.734 × 10−6 | 1.734 × 10−6 | 2.183 × 10−2 | |
| Rank | 15 | 9 | 1 | 13 | 10 | 7 | 3 | |
| F2 | Best | 4.043 × 103 | 2.697 × 103 | 2.750 × 103 | 3.471 × 103 | 3.827 × 103 | 2.340 × 103 | 2.305 × 103 |
| Mean | 5.281 × 103 | 4.296 × 103 | 3.895 × 103 | 4.589 × 103 | 4.904 × 103 | 3.866 × 103 | 3.536 × 103 | |
| Std | 4.790 × 102 | 9.768 × 102 | 5.174 × 102 | 5.061 × 102 | 5.262 × 102 | 5.502 × 102 | 5.679 × 102 | |
| P | 1.734 × 10−6 | 1.973 × 10−5 | 8.466 × 10−6 | 1.734 × 10−6 | 1.734 × 10−6 | 1.639 × 10−5 | 2.255 × 10−3 | |
| Rank | 14 | 8 | 6 | 9 | 10 | 5 | 4 | |
| F3 | Best | 9.732 × 102 | 8.001 × 102 | 9.547 × 102 | 8.790 × 102 | 8.502 × 102 | 8.271 × 102 | 8.114 × 102 |
| Mean | 1.040 × 103 | 8.560 × 102 | 9.869 × 102 | 9.414 × 102 | 9.490 × 102 | 9.203 × 102 | 8.578 × 102 | |
| Std | 3.555 × 101 | 3.050 × 101 | 2.887 × 101 | 2.383 × 101 | 3.280 × 101 | 3.803 × 101 | 3.056 × 101 | |
| P | 1.734 × 10−6 | 3.515 × 10−6 | 1.734 × 10−6 | 1.734 × 10−6 | 1.734 × 10−6 | 1.734 × 10−6 | 6.339 × 10−6 | |
| Rank | 14 | 4 | 12 | 9 | 10 | 7 | 5 | |
| F4 | Best | 1.982 × 104 | 1.919 × 103 | 1.918 × 103 | 4.413 × 103 | 2.032 × 103 | 1.918 × 103 | 1.912 × 103 |
| Mean | 3.086 × 105 | 4.412 × 103 | 1.931 × 103 | 1.421 × 104 | 6.605 × 103 | 1.941 × 103 | 1.937 × 103 | |
| Std | 2.343 × 105 | 3.033 × 103 | 7.272 × 100 | 1.376 × 104 | 3.149 × 103 | 2.456 × 101 | 2.632 × 101 | |
| P | 1.734 × 10−6 | 1.734 × 10−6 | 1.734 × 10−6 | 1.734 × 10−6 | 1.734 × 10−6 | 1.734 × 10−6 | 1.734 × 10−6 | |
| Rank | 15 | 7 | 2 | 11 | 10 | 5 | 4 | |
| F5 | Best | 6.667 × 105 | 3.902 × 104 | 8.712 × 104 | 4.447 × 105 | 5.891 × 104 | 7.091 × 104 | 1.878 × 105 |
| Mean | 1.328 × 107 | 8.229 × 105 | 3.595 × 105 | 1.170 × 106 | 2.136 × 106 | 8.676 × 105 | 7.970 × 105 | |
| Std | 1.202 × 107 | 9.695 × 105 | 3.415 × 105 | 5.398 × 105 | 1.120 × 106 | 6.428 × 105 | 4.813 × 105 | |
| P | 1.734 × 10−6 | 3.854 × 10−3 | 7.521 × 10−2 | 1.734 × 10−6 | 3.182 × 10−6 | 2.613 × 10−4 | 5.307 × 10−5 | |
| Rank | 14 | 3 | 2 | 6 | 9 | 5 | 4 | |
| F6 | Best | 2.273 × 103 | 1.819 × 103 | 2.213 × 103 | 2.137 × 103 | 2.085 × 103 | 2.006 × 103 | 1.910 × 103 |
| Mean | 2.931 × 103 | 2.217 × 103 | 2.816 × 103 | 2.487 × 103 | 2.522 × 103 | 2.451 × 103 | 2.199 × 103 | |
| Std | 3.148 × 102 | 1.902 × 102 | 2.136 × 102 | 1.998 × 102 | 2.590 × 102 | 2.547 × 102 | 2.006 × 102 | |
| P | 2.353 × 10−6 | 8.774 × 10−1 | 2.127 × 10−6 | 2.225 × 10−4 | 3.112 × 10−5 | 2.255 × 10−3 | 8.451 × 10−1 | |
| Rank | 14 | 5 | 13 | 8 | 10 | 7 | 4 | |
| F7 | Best | 1.023 × 104 | 7.140 × 103 | 8.859 × 103 | 6.881 × 104 | 5.293 × 104 | 7.707 × 103 | 6.950 × 104 |
| Mean | 2.542 × 106 | 5.728 × 105 | 3.284 × 105 | 2.998 × 105 | 6.305 × 105 | 2.082 × 105 | 8.036 × 105 | |
| Std | 2.899 × 106 | 1.059 × 106 | 3.122 × 105 | 3.459 × 105 | 6.201 × 105 | 2.241 × 105 | 7.362 × 105 | |
| P | 2.353 × 10−6 | 1.891 × 10−4 | 4.860 × 10−5 | 6.984 × 10−6 | 1.734 × 10−6 | 9.627 × 10−4 | 3.515 × 10−6 | |
| Rank | 12 | 4 | 5 | 3 | 7 | 2 | 9 | |
| F8 | Best | 3.039 × 103 | 2.430 × 103 | 2.308 × 103 | 3.087 × 103 | 2.597 × 103 | 2.342 × 103 | 2.316 × 103 |
| Mean | 5.455 × 103 | 3.235 × 103 | 5.516 × 103 | 4.175 × 103 | 3.340 × 103 | 2.483 × 103 | 2.333 × 103 | |
| Std | 1.043 × 103 | 9.054 × 102 | 1.169 × 103 | 9.817 × 102 | 9.508 × 102 | 1.744 × 102 | 1.527 × 101 | |
| P | 1.921 × 10−6 | 2.597 × 10−5 | 2.127 × 10−6 | 1.734 × 10−6 | 2.163 × 10−5 | 3.112 × 10−5 | 3.112 × 10−5 | |
| Rank | 13 | 4 | 11 | 8 | 5 | 3 | 2 | |
| F9 | Best | 3.007 × 103 | 2.845 × 103 | 3.112 × 103 | 3.031 × 103 | 2.983 × 103 | 2.869 × 103 | 2.842 × 103 |
| Mean | 3.190 × 103 | 2.944 × 103 | 3.354 × 103 | 3.118 × 103 | 3.101 × 103 | 2.963 × 103 | 2.896 × 103 | |
| Std | 1.344 × 102 | 5.117 × 101 | 1.617 × 102 | 5.082 × 101 | 7.098 × 101 | 4.683 × 101 | 3.057 × 101 | |
| P | 1.734 × 10−6 | 8.217 × 10−3 | 1.734 × 10−6 | 1.734 × 10−6 | 1.921 × 10−6 | 4.897 × 10−4 | 4.165 × 10−1 | |
| Rank | 13 | 5 | 15 | 12 | 10 | 6 | 2 | |
| F10 | Best | 3.422 × 103 | 3.020 × 103 | 2.900 × 103 | 3.140 × 103 | 3.095 × 103 | 2.927 × 103 | 2.930 × 103 |
| Mean | 4.704 × 103 | 3.115 × 103 | 2.977 × 103 | 3.393 × 103 | 3.311 × 103 | 3.053 × 103 | 3.005 × 103 | |
| Std | 1.037 × 103 | 1.021 × 102 | 2.621 × 101 | 2.197 × 102 | 1.745 × 102 | 5.459 × 101 | 4.212 × 101 | |
| P | 1.734 × 10−6 | 1.734 × 10−6 | 4.534 × 10−4 | 1.734 × 10−6 | 1.734 × 10−6 | 1.921 × 10−6 | 1.494 × 10−5 | |
| Rank | 14 | 8 | 2 | 12 | 10 | 6 | 3 | |
| Mean Rank | 13.8 | 5.7 | 6.9 | 9.1 | 9.1 | 5.3 | 4 | |
| +/=/− | 10/0/0 | 9/1/0 | 9/0/1 | 10/0/0 | 10/0/0 | 10/0/0 | 9/0/1 | |
References
- Jones, M.; Djahel, S.; Welsh, K. Path-planning for unmanned aerial vehicles with environment complexity considerations: A survey. ACM Comput. Surv. 2023, 55, 1–39. [Google Scholar] [CrossRef]
- Meng, W.; Zhang, X.; Zhou, L.; Guo, H.; Hu, X. Advances in UAV Path Planning: A Comprehensive Review of Methods, Challenges, and Future Directions. Drones 2025, 9, 376. [Google Scholar] [CrossRef]
- Aljalaud, F.; Kurdi, H.; Youcef-Toumi, K. Bio-inspired multi-UAV path planning heuristics: A review. Mathematics 2023, 11, 2356. [Google Scholar] [CrossRef]
- Wayahdi, M.R.; Ginting, S.H.N.; Syahputra, D. Greedy, A-Star, and Dijkstra’s algorithms in finding shortest path. Int. J. Adv. Data Inf. Syst. 2021, 2, 45–52. [Google Scholar] [CrossRef]
- Hart, P.E.; Nilsson, N.J.; Raphael, B. A formal basis for the heuristic determination of minimum cost paths. IEEE Trans. Syst. Sci. Cybern. 1968, 4, 100–107. [Google Scholar] [CrossRef]
- Koenig, S.; Likhachev, M. D* lite. In Proceedings of the Eighteenth National Conference on Artificial Intelligence; American Association for Artificial Intelligence: Menlo Park, CA, USA, 2002; pp. 476–483. Available online: https://dl.acm.org/doi/abs/10.5555/777092.777167 (accessed on 27 January 2026).
- Ma, C.S.; Miller, R.H. MILP optimal path planning for real-time applications. In Proceedings of the 2006 American Control Conference, Minneapolis, MN, USA, 14–16 June 2006; IEEE: New York, NY, USA, 2006. [Google Scholar] [CrossRef]
- Mac, T.T.; Copot, C.; Tran, D.T.; De Keyser, R. Heuristic approaches in robot path planning: A survey. Robot. Auton. Syst. 2016, 86, 13–28. [Google Scholar] [CrossRef]
- Kennedy, J.; Eberhart, R. Particle swarm optimization. In Proceedings of ICNN’95-International Conference on Neural Networks; IEEE: New York, NY, USA, 1995; Volume 4, pp. 1942–1948. [Google Scholar] [CrossRef]
- Storn, R.; Price, K. Differential evolution–a simple and efficient heuristic for global optimization over continuous spaces. J. Glob. Optim. 1997, 11, 341–359. [Google Scholar] [CrossRef]
- Mirjalili, S.; Lewis, A. The whale optimization algorithm. Adv. Eng. Softw. 2016, 95, 51–67. [Google Scholar] [CrossRef]
- Mirjalili, S. Moth-flame optimization algorithm: A novel nature-inspired heuristic paradigm. Knowl.-Based Syst. 2015, 89, 228–249. [Google Scholar] [CrossRef]
- Chopra, N.; Ansari, M.M. Golden jackal optimization: A novel nature-inspired optimizer for engineering applications. Expert Syst. Appl. 2022, 198, 116924. [Google Scholar] [CrossRef]
- Xue, J.; Shen, B. Dung beetle optimizer: A new meta-heuristic algorithm for global optimization. J. Supercomput. 2023, 79, 7305–7336. [Google Scholar] [CrossRef]
- Fu, Y.; Liu, D.; Chen, J.; He, L. Secretary bird optimization algorithm: A new metaheuristic for solving global optimization problems. Artif. Intell. Rev. 2024, 57, 123. [Google Scholar] [CrossRef]
- Qi, Y.; Jiang, H.; Huang, G.; Yang, L.; Wang, F.; Xu, Y. Multi-UAV path planning considering multiple energy consumptions via an improved bee foraging learning particle swarm optimization algorithm. Sci. Rep. 2025, 15, 14755. [Google Scholar] [CrossRef]
- Zeng, H.; Tong, L.; Xia, X. Multi-UAV cooperative coverage search for various regions based on differential evolution algorithm. Biomimetics 2024, 9, 384. [Google Scholar] [CrossRef]
- Yu, B.; Fan, S.; Cui, W.; Xia, K.; Wang, L. A Multi-UAV cooperative mission planning method based on SA-WOA algorithm for three-dimensional space atmospheric environment detection. Robotica 2024, 42, 2243–2280. [Google Scholar] [CrossRef]
- Karthik, K.; Balasubramanian, C.; Praveen, R. Hybrid golden Jackal and moth flame optimization algorithm based coverage path planning in heterogeneous UAV networks. Sci. Rep. 2025, 15, 31054. [Google Scholar] [CrossRef]
- Lou, T.; Wang, Y.; Yue, Z.; Zhao, L. Multi-UAV collaborative trajectory planning for 3D terrain based on CS-GJO algorithm. Complex Syst. Model. Simul. 2024, 4, 274–291. [Google Scholar] [CrossRef]
- Yang, L.; Zhang, X.; Li, Z.; Li, L.; Shi, Y. A LODBO algorithm for multi-UAV search and rescue path planning in disaster areas. Chin. J. Aeronaut. 2025, 38, 103301. [Google Scholar] [CrossRef]
- Zheng, X.; Liu, R.; Liu, X. Simulation Application of Adaptive Strategy Hybrid Secretary Bird Optimization Algorithm in Multi-UAV 3D Path Planning. Computers 2025, 14, 439. [Google Scholar] [CrossRef]
- Abualigah, L.; Yousri, D.; Abd Elaziz, M.; Ewees, A.A.; Al-Qaness, M.A.; Gandomi, A.H. Aquila optimizer: A novel meta-heuristic optimization algorithm. Comput. Ind. Eng. 2021, 157, 107250. [Google Scholar] [CrossRef]
- Taleb, S.M.; Yasin, E.T.; Ait Saadi, A.; Dogan, M.; Yahia, S.; Meraihi, Y.; Koklu, M.; Mirjalili, S.; Ramdane-Cherif, A. A comprehensive survey of aquila optimizer: Theory, variants, hybridization, and applications. Arch. Comput. Methods Eng. 2025, 32, 104314. [Google Scholar] [CrossRef]
- Zeng, Q.; Zhou, Y.; Zhou, G.; Luo, Q. Multi-strategies enhanced aquila optimizer for global optimization: Comprehensive review and comparative analysis. J. Comput. Des. Eng. 2025, 12, 134–160. [Google Scholar] [CrossRef]
- Al-Majidi, S.D.; Alturfi, A.M.; Al-Nussairi, M.K.; Hussein, R.A.; Salgotra, R.; Abbod, M.F. A robust automatic generation control system based on hybrid Aquila Optimizer-Sine Cosine Algorithm. Results Eng. 2025, 25, 103951. [Google Scholar] [CrossRef]
- Bai, L.; Pei, Z.; Wang, J.; Zhou, Y. Multi-Strategy Improved Aquila Optimizer Algorithm and Its Application in Railway Freight Volume Prediction. Electronics 2025, 14, 1621. [Google Scholar] [CrossRef]
- Wang, X.; Li, R.; Luo, X.; Guan, X. Improved differential mutation aquila optimizer-based optimization dispatching strategy for hybrid energy ship power system. IEEE Trans. Transp. Electrif. 2025, 11, 12667–12683. [Google Scholar] [CrossRef]
- Singla, M.K.; Muhammed Ali, S.A.; Kumar, R.; Jangir, P.; Khishe, M.; Gulothungan, G.; Mahmoud, H.A. Revolutionizing proton exchange membrane fuel cell modeling through hybrid aquila optimizer and arithmetic algorithm optimization. Sci. Rep. 2025, 15, 5122. [Google Scholar] [CrossRef]
- Zhang, J.; Gao, Z.; Li, S.; Zhao, J. An improved aquila optimizer with local escaping operator and its application in uav path planning. Recent Adv. Comput. Sci. Commun. 2025, 18, E250424229337. [Google Scholar] [CrossRef]
- Liu, X.; Wang, L.; Ma, Y.; Shao, P. Collaborative Trajectory Planning for Stereoscopic Agricultural Multi-UAVs Driven by the Aquila Optimizer. Comput. Mater. Contin. 2025, 82, 1349–1376. [Google Scholar] [CrossRef]
- Tang, X.; Jia, C.; Qu, P. EAPO: A Multi-Strategy-Enhanced Artificial Protozoa Optimizer and Its Application to 3D UAV Path Planning. Mathematics 2025, 14, 153. [Google Scholar] [CrossRef]
- Xu, Z.; Wang, Z.; Liu, R.; Huang, C.; Shi, Y.; Wang, M.; Chen, H. Efficient multi-UAV path planning in dynamic and complex environments using hybrid polar lights optimization. J. King Saud Univ. Comput. Inf. Sci. 2025, 37, 125. [Google Scholar] [CrossRef]
- Liu, X.; Wang, F.; Liu, Y.; Li, L. A Multi-Objective Black-Winged Kite Algorithm for Multi-UAV Cooperative Path Planning. Drones 2025, 9, 118. [Google Scholar] [CrossRef]
- Zhang, X.; Yu, G.; Jin, Y.; Qian, F. Elitism-based transfer learning and diversity maintenance for dynamic multi-objective optimization. Inf. Sci. 2023, 636, 118927. [Google Scholar] [CrossRef]
- Yang, Q.; Yan, J.Q.; Gao, X.D.; Xu, D.D.; Lu, Z.Y.; Zhang, J. Random neighbor elite guided differential evolution for global numerical optimization. Inf. Sci. 2022, 607, 1408–1438. [Google Scholar] [CrossRef]
- Hansen, N.; Müller, S.D.; Koumoutsakos, P. Reducing the time complexity of the derandomized evolution strategy with covariance matrix adaptation (CMA-ES). Evol. Comput. 2003, 11, 1–18. [Google Scholar] [CrossRef]
- Mirjalili, S. SCA: A sine cosine algorithm for solving optimization problems. Knowl.-Based Syst. 2016, 96, 120–133. [Google Scholar] [CrossRef]
- Heidari, A.A.; Mirjalili, S.; Faris, H.; Aljarah, I.; Mafarja, M.; Chen, H. Harris hawks optimization: Algorithm and applications. Future Gener. Comput. Syst. 2019, 97, 849–872. [Google Scholar] [CrossRef]
- Sánchez Cortez, J.A.; Peraza Vázquez, H.; Peña Delgado, A.F. A Novel Bio-Inspired Optimization Algorithm Based on Mantis Shrimp Survival Tactics. Mathematics 2025, 13, 1500. [Google Scholar] [CrossRef]
- Cheng, J.; De Waele, W. Weighted average algorithm: A novel meta-heuristic optimization algorithm based on the weighted average position concept. Knowl.-Based Syst. 2024, 305, 112564. [Google Scholar] [CrossRef]
- Zhao, S.; Zhang, T.; Ma, S.; Wang, M. Sea-horse optimizer: A novel nature-inspired meta-heuristic for global optimization problems. Appl. Intell. 2023, 53, 11833–11860. [Google Scholar] [CrossRef]
- Amiri, M.H.; Mehrabi Hashjin, N.; Montazeri, M.; Mirjalili, S.; Khodadadi, N. Hippopotamus optimization algorithm: A novel nature-inspired optimization algorithm. Sci. Rep. 2024, 14, 5032. [Google Scholar] [CrossRef]
- Lian, J.; Hui, G.; Ma, L.; Zhu, T.; Wu, X.; Heidari, A.A.; Chen, Y.; Chen, H. Parrot optimizer: Algorithm and applications to medical problems. Comput. Biol. Med. 2024, 172, 108064. [Google Scholar] [CrossRef] [PubMed]
- Olorunda, O.; Engelbrecht, A.P. Measuring exploration/exploitation in particle swarms using swarm diversity. In Proceedings of the 2008 IEEE Congress on Evolutionary Computation (IEEE World Congress on Computational Intelligence), Hong Kong, China, 1–6 June 2008; IEEE: New York, NY, USA, 2008; pp. 1128–1134. [Google Scholar] [CrossRef]
- Črepinšek, M.; Liu, S.H.; Mernik, M. Exploration and exploitation in evolutionary algorithms: A survey. ACM Comput. Surv. (CSUR) 2013, 45, 1–33. [Google Scholar] [CrossRef]

































| Symbols | Description |
|---|---|
| Population size. | |
| Maximum number of iterations. | |
| Current iteration number. | |
| Upper bounds of the problem. | |
| Lower bounds of the problem. | |
| Problem dimension. | |
| Dimension space. | |
| Flight distribution function. | |
| Random numbers between [0, 1]. | |
| Current solution at the th iteration. | |
| Best solution before the th iteration | |
| Mean of the current solutions at the th iteration. | |
| Quality function used to balance the search strategies. | |
| Various movements of the eagle used to track the prey during its escape. | |
| Flight slope of the eagle tracking the prey from the first to the last position during the prey’s evasion. |
| Symbols | Description |
|---|---|
| Population diversity index. | |
| Normalized population diversity index. | |
| Position vector of the th individual at generation . | |
| Center position of the population. | |
| Neighborhood best position of the individual. | |
| Minimum neighborhood size. | |
| Maximum neighborhood size | |
| as a percentage of the population size. | |
| Low diversity threshold. | |
| High diversity threshold. | |
| Scaling factor. | |
| Historical window length. | |
| Time-varying amplitude decay coefficient. | |
| Global optimal fitness value of the th generation. | |
| Fitness value of the th individual in generation . | |
| Suggested behavior number. | |
| Behavior number currently executed. | |
| Behavior trust. | |
| Lower limit of trust. | |
| Upper limit of trust. | |
| Consecutive number of times this behavior has produced improvements. |
| Algorithms | Parameter Settings |
|---|---|
| PSO | |
| DE | |
| CMA-ES | |
| WOA | |
| SCA | |
| MFO | Parameter free |
| HHO | |
| MShOA | |
| GJO | Parameter free |
| WAA | Parameter free |
| SHO | |
| HO | Parameter free |
| PO | |
| AO |
| Function | Index | AO | EAO_D | EAO_N | EAO_E | EAO_S | EAO |
|---|---|---|---|---|---|---|---|
| F1 | Best | 7.519 × 107 | 4.259 × 107 | 2.240 × 109 | 9.716 × 109 | 2.751 × 105 | 3.647 × 105 |
| Mean | 2.172 × 108 | 2.133 × 108 | 4.312 × 109 | 1.756 × 1010 | 1.842 × 106 | 1.702 × 107 | |
| Std | 9.657 × 107 | 1.412 × 108 | 1.268 × 109 | 4.962 × 109 | 1.353 × 106 | 5.074 × 107 | |
| Rank | 4 | 3 | 5 | 6 | 1 | 2 | |
| F3 | Best | 3.907 × 104 | 3.917 × 104 | 6.006 × 104 | 3.475 × 104 | 1.546 × 103 | 1.606 × 103 |
| Mean | 5.219 × 104 | 5.418 × 104 | 7.509 × 104 | 6.189 × 104 | 4.910 × 103 | 4.130 × 103 | |
| Std | 6.975 × 103 | 6.798 × 103 | 7.056 × 103 | 1.125 × 104 | 2.554 × 103 | 1.504 × 103 | |
| Rank | 3 | 4 | 6 | 5 | 2 | 1 | |
| F4 | Best | 5.510 × 102 | 5.363 × 102 | 6.881 × 102 | 8.796 × 102 | 4.728 × 102 | 4.493 × 102 |
| Mean | 6.196 × 102 | 6.101 × 102 | 8.880 × 102 | 1.796 × 103 | 4.967 × 102 | 5.035 × 102 | |
| Std | 5.675 × 101 | 4.759 × 101 | 1.447 × 102 | 6.840 × 102 | 1.244 × 101 | 2.356 × 101 | |
| Rank | 4 | 3 | 5 | 6 | 1 | 2 | |
| F5 | Best | 6.263 × 102 | 6.295 × 102 | 6.451 × 102 | 6.882 × 102 | 5.673 × 102 | 5.671 × 102 |
| Mean | 6.778 × 102 | 6.892 × 102 | 6.941 × 102 | 7.587 × 102 | 6.316 × 102 | 6.315 × 102 | |
| Std | 3.001 × 101 | 3.362 × 101 | 2.265 × 101 | 4.106 × 101 | 4.588 × 101 | 4.337 × 101 | |
| Rank | 3 | 4 | 5 | 6 | 2 | 1 | |
| F6 | Best | 6.317 × 102 | 6.367 × 102 | 6.288 × 102 | 6.198 × 102 | 6.069 × 102 | 6.064 × 102 |
| Mean | 6.469 × 102 | 6.488 × 102 | 6.423 × 102 | 6.412 × 102 | 6.276 × 102 | 6.331 × 102 | |
| Std | 1.038 × 101 | 7.041 × 100 | 5.897 × 100 | 1.597 × 101 | 1.170 × 101 | 1.495 × 101 | |
| Rank | 5 | 6 | 4 | 3 | 1 | 2 | |
| F7 | Best | 1.021 × 103 | 1.005 × 103 | 1.044 × 103 | 1.009 × 103 | 7.865 × 102 | 8.311 × 102 |
| Mean | 1.099 × 103 | 1.083 × 103 | 1.099 × 103 | 1.131 × 103 | 8.748 × 102 | 8.797 × 102 | |
| Std | 5.071 × 101 | 5.475 × 101 | 4.114 × 101 | 8.108 × 101 | 4.521 × 101 | 4.136 × 101 | |
| Rank | 5 | 3 | 4 | 6 | 1 | 2 | |
| F8 | Best | 9.122 × 102 | 9.141 × 102 | 9.274 × 102 | 9.641 × 102 | 8.491 × 102 | 8.599 × 102 |
| Mean | 9.518 × 102 | 9.596 × 102 | 9.731 × 102 | 1.039 × 103 | 9.273 × 102 | 9.279 × 102 | |
| Std | 3.088 × 101 | 2.557 × 101 | 2.107 × 101 | 3.883 × 101 | 3.767 × 101 | 4.658 × 101 | |
| Rank | 3 | 4 | 5 | 6 | 2 | 1 | |
| F9 | Best | 4.036 × 103 | 4.013 × 103 | 4.509 × 103 | 2.881 × 103 | 1.057 × 103 | 9.851 × 102 |
| Mean | 6.662 × 103 | 6.398 × 103 | 6.342 × 103 | 6.335 × 103 | 3.193 × 103 | 3.472 × 103 | |
| Std | 1.308 × 103 | 1.182 × 103 | 1.159 × 103 | 2.049 × 103 | 2.024 × 103 | 1.736 × 103 | |
| Rank | 5 | 6 | 3 | 4 | 1 | 2 | |
| F10 | Best | 4.644 × 103 | 4.211 × 103 | 4.606 × 103 | 6.021 × 103 | 4.041 × 103 | 3.071 × 103 |
| Mean | 5.623 × 103 | 5.666 × 103 | 5.694 × 103 | 8.449 × 103 | 5.105 × 103 | 4.578 × 103 | |
| Std | 6.753 × 102 | 8.547 × 102 | 4.279 × 102 | 6.916 × 102 | 5.856 × 102 | 6.361 × 102 | |
| Rank | 3 | 4 | 5 | 6 | 2 | 1 | |
| F11 | Best | 1.585 × 103 | 1.499 × 103 | 1.859 × 103 | 1.491 × 103 | 1.188 × 103 | 1.160 × 103 |
| Mean | 1.869 × 103 | 1.870 × 103 | 4.311 × 103 | 2.715 × 103 | 1.313 × 103 | 1.301 × 103 | |
| Std | 2.309 × 102 | 2.778 × 102 | 1.424 × 103 | 1.155 × 103 | 5.955 × 101 | 6.252 × 101 | |
| Rank | 4 | 3 | 6 | 5 | 2 | 1 | |
| F12 | Best | 6.299 × 106 | 7.772 × 106 | 5.127 × 107 | 2.486 × 108 | 2.060 × 106 | 1.195 × 106 |
| Mean | 6.142 × 107 | 4.960 × 107 | 2.132 × 108 | 1.529 × 109 | 2.017 × 107 | 1.888 × 107 | |
| Std | 4.329 × 107 | 3.824 × 107 | 1.048 × 108 | 1.317 × 109 | 2.033 × 107 | 2.220 × 107 | |
| Rank | 4 | 3 | 5 | 6 | 2 | 1 | |
| F13 | Best | 2.540 × 105 | 2.216 × 105 | 8.888 × 105 | 1.211 × 105 | 5.788 × 104 | 4.509 × 104 |
| Mean | 1.026 × 106 | 1.144 × 106 | 8.252 × 106 | 2.670 × 108 | 1.877 × 105 | 1.259 × 105 | |
| Std | 1.134 × 106 | 1.141 × 106 | 6.855 × 106 | 5.123 × 108 | 1.218 × 105 | 6.235 × 104 | |
| Rank | 4 | 3 | 5 | 6 | 2 | 1 | |
| F14 | Best | 2.150 × 104 | 4.258 × 104 | 7.883 × 104 | 1.674 × 103 | 5.133 × 103 | 2.645 × 103 |
| Mean | 6.234 × 105 | 3.648 × 105 | 5.870 × 105 | 4.535 × 104 | 3.759 × 104 | 2.785 × 104 | |
| Std | 6.387 × 105 | 4.998 × 105 | 6.280 × 105 | 4.630 × 104 | 3.503 × 104 | 2.527 × 104 | |
| Rank | 6 | 4 | 5 | 3 | 2 | 1 | |
| F15 | Best | 4.637 × 104 | 4.579 × 104 | 2.378 × 104 | 1.056 × 104 | 1.165 × 104 | 1.145 × 104 |
| Mean | 1.499 × 105 | 1.281 × 105 | 1.413 × 105 | 6.593 × 106 | 6.649 × 104 | 4.896 × 104 | |
| Std | 8.379 × 104 | 6.827 × 104 | 8.395 × 104 | 2.026 × 107 | 5.726 × 104 | 2.459 × 104 | |
| Rank | 6 | 4 | 5 | 3 | 2 | 1 | |
| F16 | Best | 2.637 × 103 | 2.262 × 103 | 2.317 × 103 | 2.627 × 103 | 2.160 × 103 | 1.989 × 103 |
| Mean | 3.145 × 103 | 3.118 × 103 | 3.048 × 103 | 3.286 × 103 | 2.829 × 103 | 2.815 × 103 | |
| Std | 3.584 × 102 | 3.060 × 102 | 2.808 × 102 | 3.470 × 102 | 3.237 × 102 | 3.551 × 102 | |
| Rank | 5 | 4 | 3 | 6 | 1 | 2 | |
| F17 | Best | 1.899 × 103 | 2.007 × 103 | 1.900 × 103 | 1.893 × 103 | 1.860 × 103 | 1.886 × 103 |
| Mean | 2.307 × 103 | 2.315 × 103 | 2.194 × 103 | 2.247 × 103 | 2.166 × 103 | 2.174 × 103 | |
| Std | 2.536 × 102 | 2.024 × 102 | 2.050 × 102 | 2.480 × 102 | 1.873 × 102 | 1.993 × 102 | |
| Rank | 5 | 6 | 2 | 4 | 3 | 1 | |
| F18 | Best | 1.355 × 105 | 9.962 × 104 | 7.056 × 105 | 3.996 × 104 | 1.865 × 104 | 6.378 × 104 |
| Mean | 3.424 × 106 | 2.585 × 106 | 3.377 × 106 | 1.804 × 106 | 4.735 × 105 | 3.890 × 105 | |
| Std | 3.489 × 106 | 2.268 × 106 | 2.906 × 106 | 4.582 × 106 | 3.586 × 105 | 2.750 × 105 | |
| Rank | 5 | 4 | 6 | 3 | 2 | 1 | |
| F19 | Best | 6.609 × 104 | 4.219 × 104 | 2.934 × 104 | 1.556 × 104 | 2.118 × 104 | 1.985 × 104 |
| Mean | 2.631 × 106 | 2.187 × 106 | 2.717 × 106 | 1.101 × 107 | 2.552 × 106 | 2.850 × 106 | |
| Std | 2.128 × 106 | 1.521 × 106 | 2.200 × 106 | 2.192 × 107 | 1.926 × 106 | 1.837 × 106 | |
| Rank | 2 | 1 | 4 | 5 | 3 | 6 | |
| F20 | Best | 2.225 × 103 | 2.330 × 103 | 2.300 × 103 | 2.207 × 103 | 2.247 × 103 | 2.238 × 103 |
| Mean | 2.566 × 103 | 2.559 × 103 | 2.516 × 103 | 2.650 × 103 | 2.525 × 103 | 2.517 × 103 | |
| Std | 1.952 × 102 | 1.527 × 102 | 1.318 × 102 | 1.944 × 102 | 1.969 × 102 | 1.996 × 102 | |
| Rank | 5 | 4 | 2 | 6 | 3 | 1 | |
| F21 | Best | 2.418 × 103 | 2.410 × 103 | 2.423 × 103 | 2.456 × 103 | 2.368 × 103 | 2.366 × 103 |
| Mean | 2.465 × 103 | 2.466 × 103 | 2.473 × 103 | 2.502 × 103 | 2.429 × 103 | 2.417 × 103 | |
| Std | 2.627 × 101 | 3.853 × 101 | 2.528 × 101 | 3.809 × 101 | 3.885 × 101 | 4.634 × 101 | |
| Rank | 4 | 3 | 5 | 6 | 2 | 1 | |
| F22 | Best | 2.347 × 103 | 2.360 × 103 | 2.713 × 103 | 3.112 × 103 | 2.306 × 103 | 2.307 × 103 |
| Mean | 2.582 × 103 | 2.418 × 103 | 3.031 × 103 | 4.256 × 103 | 4.632 × 103 | 2.698 × 103 | |
| Std | 8.254 × 102 | 4.612 × 101 | 2.324 × 102 | 1.290 × 103 | 2.046 × 103 | 1.172 × 103 | |
| Rank | 3 | 2 | 5 | 6 | 4 | 1 | |
| F23 | Best | 2.798 × 103 | 2.774 × 103 | 2.805 × 103 | 2.792 × 103 | 2.713 × 103 | 2.695 × 103 |
| Mean | 2.877 × 103 | 2.878 × 103 | 2.878 × 103 | 2.849 × 103 | 2.759 × 103 | 2.778 × 103 | |
| Std | 4.501 × 101 | 4.319 × 101 | 3.427 × 101 | 3.522 × 101 | 2.886 × 101 | 6.839 × 101 | |
| Rank | 4 | 5 | 6 | 3 | 1 | 2 | |
| F24 | Best | 2.911 × 103 | 2.926 × 103 | 2.981 × 103 | 2.944 × 103 | 2.865 × 103 | 2.880 × 103 |
| Mean | 3.029 × 103 | 3.015 × 103 | 3.035 × 103 | 3.010 × 103 | 2.936 × 103 | 2.922 × 103 | |
| Std | 5.794 × 101 | 4.229 × 101 | 2.696 × 101 | 3.649 × 101 | 7.149 × 101 | 2.388 × 101 | |
| Rank | 5 | 4 | 6 | 3 | 2 | 1 | |
| F25 | Best | 2.904 × 103 | 2.917 × 103 | 2.998 × 103 | 3.131 × 103 | 2.887 × 103 | 2.885 × 103 |
| Mean | 2.978 × 103 | 2.959 × 103 | 3.107 × 103 | 3.491 × 103 | 2.899 × 103 | 2.904 × 103 | |
| Std | 2.782 × 101 | 2.973 × 101 | 5.936 × 101 | 2.697 × 102 | 1.871 × 101 | 1.758 × 101 | |
| Rank | 4 | 3 | 5 | 6 | 1 | 2 | |
| F26 | Best | 3.623 × 103 | 3.569 × 103 | 4.181 × 103 | 4.078 × 103 | 2.902 × 103 | 2.825 × 103 |
| Mean | 4.550 × 103 | 4.553 × 103 | 4.925 × 103 | 5.903 × 103 | 4.488 × 103 | 3.903 × 103 | |
| Std | 1.171 × 103 | 1.147 × 103 | 7.657 × 102 | 9.647 × 102 | 8.597 × 102 | 9.861 × 102 | |
| Rank | 3 | 2 | 5 | 6 | 4 | 1 | |
| F27 | Best | 3.248 × 103 | 3.229 × 103 | 3.265 × 103 | 3.271 × 103 | 3.207 × 103 | 3.192 × 103 |
| Mean | 3.308 × 103 | 3.306 × 103 | 3.330 × 103 | 3.316 × 103 | 3.235 × 103 | 3.247 × 103 | |
| Std | 3.397 × 101 | 3.326 × 101 | 2.894 × 101 | 3.151 × 101 | 3.259 × 101 | 3.908 × 101 | |
| Rank | 3 | 4 | 6 | 5 | 1 | 2 | |
| F28 | Best | 3.329 × 103 | 3.302 × 103 | 3.409 × 103 | 3.682 × 103 | 3.199 × 103 | 3.197 × 103 |
| Mean | 3.400 × 103 | 3.385 × 103 | 3.777 × 103 | 4.260 × 103 | 3.237 × 103 | 3.244 × 103 | |
| Std | 5.053 × 101 | 4.415 × 101 | 1.873 × 102 | 3.595 × 102 | 2.456 × 101 | 2.507 × 101 | |
| Rank | 4 | 3 | 5 | 6 | 1 | 2 | |
| F29 | Best | 3.890 × 103 | 3.843 × 103 | 4.018 × 103 | 3.734 × 103 | 3.514 × 103 | 3.579 × 103 |
| Mean | 4.422 × 103 | 4.392 × 103 | 4.470 × 103 | 4.217 × 103 | 3.954 × 103 | 3.916 × 103 | |
| Std | 4.422 × 103 | 4.392 × 103 | 4.470 × 103 | 4.217 × 103 | 3.954 × 103 | 3.916 × 103 | |
| Rank | 5 | 4 | 6 | 3 | 2 | 1 | |
| F30 | Best | 1.316 × 106 | 2.001 × 106 | 4.746 × 106 | 3.913 × 106 | 5.542 × 105 | 1.134 × 106 |
| Mean | 1.639 × 107 | 1.468 × 107 | 2.429 × 107 | 4.059 × 107 | 7.612 × 106 | 7.732 × 106 | |
| Std | 1.285 × 107 | 9.590 × 106 | 1.846 × 107 | 5.063 × 107 | 6.113 × 106 | 5.992 × 106 | |
| Rank | 4 | 3 | 5 | 6 | 2 | 1 | |
| Mean Rank | 4.1 | 3.7 | 4.8 | 5 | 1.9 | 1.5 | |
| Final Ranking | 4 | 3 | 5 | 6 | 2 | 1 | |
| Map | Starting Point | Target Point | Threat | No-Fly Zone | ||||
|---|---|---|---|---|---|---|---|---|
| Radar | Artillery | |||||||
| Center | R | Center | R | Center | R | |||
| 1 | (20, 100, 240) (50, 50, 250) (100, 20, 240) | (545, 800, 230) (565, 700, 230) (900, 550, 350) | (400, 500, 190) (600, 200, 220) | 100 100 | (300, 250, 200) | 100 | (700, 500, 200) | 100 |
| 2 | (20, 100, 240) (50, 50, 250) (100, 20, 240) | (880, 800, 220) (940, 510, 240) (980, 620, 300) | (420, 260, 210) (245, 570, 210) | 90 90 | (760, 550, 220) (235, 330, 210) | 100 90 | (590, 410, 200) (475, 630, 200) | 90 90 |
| 3 | (20, 100, 240) (50, 50, 250) (100, 20, 240) | (575, 800, 230) (750, 750, 300) (950, 530, 350) | (610, 250,200) (410, 170,210) (245, 570,210) | 90 90 90 | (800, 600, 220) (650, 450, 210) (200, 350, 220) | 100 90 80 | (850, 350, 150) (475, 630, 200) (400, 400, 200) | 90 90 80 |
| 4 | (20, 100, 240) (50, 50, 250) (100, 20, 240) | (915, 725, 230) (950, 520, 300) (950, 450, 250) | (670, 580, 210) (580, 190, 220) (270, 550, 200) | 70 60 80 | (850, 600, 220) (750, 740, 200) (400, 450, 220) (200, 350, 220) | 70 70 70 60 | (475, 630, 200) (400, 250, 200) | 80 80 |
| Constraint Parameter | Symbol | Value |
|---|---|---|
| Minimum flight speed | ||
| Maximum flight speed | ||
| Range of yaw angle variation | ||
| Range of pitch angle variation | ||
| Minimum flight segment length | ||
| Minimum distance between UAVs |
| Configuration | Weight Coefficients Values of Threat Cost, No-Fly Zone Constraint Cost, Time Coordination Cost, Collision Avoidance Cost | Average Fitness Value | Average Fitness Value Changes | Fitness Value Fluctuation Percentage |
|---|---|---|---|---|
| Benchmark Weight | 4.627 × 101 | ~ | ~ | |
| 4.282 × 101 | −7.46% | 8.7% | ||
| 4.685 × 101 | −1.24% | |||
| 4.021 × 101 | −13.11% | 14.5% | ||
| 4.691 × 101 | 1.39% | |||
| 4.553 × 101 | −1.61% | 3.65% | ||
| 4.533 × 101 | −2.04% | |||
| 4.369 × 101 | −5.57% | 14.11% | ||
| 5.022 × 101 | 8.54% |
| Map | Algorithm | Best | Mean | Std | Mean Rank | Final Ranking | Number of Valid Trajectories | Average Runtime |
|---|---|---|---|---|---|---|---|---|
| 1 | PSO | 5.397 × 101 | 5.154 × 102 | 3.901 × 102 | 4.8 | 5 | 30 | 55.61 |
| SCA | 1.214 × 102 | 2.642 × 102 | 8.333 × 101 | 4.9 | 6 | 25 | 55.76 | |
| GJO | 4.387 × 101 | 6.444 × 101 | 1.782 × 101 | 2.1 | 2 | 29 | 55.44 | |
| WAA | 8.516 × 101 | 1.457 × 102 | 6.112 × 101 | 3.8 | 3 | 29 | 57.17 | |
| AO | 4.960 × 101 | 2.434 × 102 | 1.804 × 102 | 4.2 | 4 | 24 | 56.06 | |
| EAO | 3.803 × 101 | 4.765 × 101 | 8.517 × 100 | 1.2 | 1 | 30 | 55.82 | |
| 2 | PSO | 1.270 × 102 | 1.124 × 103 | 4.759 × 102 | 5.8 | 6 | 29 | 56.21 |
| SCA | 1.583 × 102 | 4.022 × 102 | 1.396 × 102 | 4.6 | 5 | 25 | 57.01 | |
| GJO | 3.968 × 101 | 7.118 × 101 | 5.635 × 101 | 2.1 | 2 | 27 | 56.61 | |
| WAA | 1.085 × 102 | 2.834 × 102 | 1.240 × 102 | 4.1 | 4 | 29 | 58.33 | |
| AO | 4.062 × 101 | 2.218 × 102 | 1.539 × 102 | 3.3 | 3 | 24 | 57.16 | |
| EAO | 3.784 × 101 | 4.159 × 101 | 1.000 × 101 | 1.1 | 1 | 29 | 57.04 | |
| 3 | PSO | 1.612 × 102 | 1.540 × 103 | 2.377 × 103 | 5.8 | 6 | 28 | 64.84 |
| SCA | 1.917 × 102 | 6.104 × 102 | 2.522 × 102 | 4.9 | 5 | 27 | 65.44 | |
| GJO | 4.410 × 101 | 8.388 × 101 | 1.023 × 102 | 2.1 | 2 | 26 | 64.81 | |
| WAA | 1.302 × 102 | 2.824 × 102 | 1.344 × 102 | 3.8 | 4 | 30 | 66.57 | |
| AO | 3.985 × 101 | 2.458 × 102 | 2.275 × 102 | 3.2 | 3 | 29 | 65.25 | |
| EAO | 3.881 × 101 | 4.586 × 101 | 5.188 × 100 | 1.2 | 1 | 29 | 65.91 | |
| 4 | PSO | 1.038 × 102 | 1.062 × 103 | 4.628 × 102 | 5.7 | 6 | 29 | 66.16 |
| SCA | 1.760 × 102 | 5.994 × 102 | 2.117 × 102 | 5 | 5 | 26 | 67.04 | |
| GJO | 4.293 × 101 | 9.959 × 101 | 3.632 × 101 | 2.4 | 2 | 26 | 66.75 | |
| WAA | 7.752 × 101 | 1.796 × 102 | 7.037 × 101 | 3.2 | 3 | 29 | 68.76 | |
| AO | 4.074 × 101 | 3.072 × 102 | 2.116 × 102 | 3.5 | 4 | 23 | 67.54 | |
| EAO | 3.789 × 101 | 4.658 × 101 | 2.103 × 101 | 1.2 | 1 | 30 | 67.65 |
Disclaimer/Publisher’s Note: The statements, opinions and data contained in all publications are solely those of the individual author(s) and contributor(s) and not of MDPI and/or the editor(s). MDPI and/or the editor(s) disclaim responsibility for any injury to people or property resulting from any ideas, methods, instructions or products referred to in the content. |
© 2026 by the authors. Licensee MDPI, Basel, Switzerland. This article is an open access article distributed under the terms and conditions of the Creative Commons Attribution (CC BY) license.
Share and Cite
Tang, X.; Jia, C.; Qu, P.; Zhang, Q.; Zhang, P. Multi-UAV Cooperative Path Planning Using a Behavior-Adaptive Aquila Optimizer Under Multiple Constraints. Biomimetics 2026, 11, 166. https://doi.org/10.3390/biomimetics11030166
Tang X, Jia C, Qu P, Zhang Q, Zhang P. Multi-UAV Cooperative Path Planning Using a Behavior-Adaptive Aquila Optimizer Under Multiple Constraints. Biomimetics. 2026; 11(3):166. https://doi.org/10.3390/biomimetics11030166
Chicago/Turabian StyleTang, Xiaojie, Chengfen Jia, Pengju Qu, Qian Zhang, and Pan Zhang. 2026. "Multi-UAV Cooperative Path Planning Using a Behavior-Adaptive Aquila Optimizer Under Multiple Constraints" Biomimetics 11, no. 3: 166. https://doi.org/10.3390/biomimetics11030166
APA StyleTang, X., Jia, C., Qu, P., Zhang, Q., & Zhang, P. (2026). Multi-UAV Cooperative Path Planning Using a Behavior-Adaptive Aquila Optimizer Under Multiple Constraints. Biomimetics, 11(3), 166. https://doi.org/10.3390/biomimetics11030166

