Design and Aerodynamic Analysis of a Flapping Mechanism for Foldable Biomimetic Aircraft
Abstract
1. Introduction
2. Kinematic Analysis and Aerodynamic Simulation Methods
2.1. Mechanism of Bird Flight Movement
2.2. Flapping Wing Mechanism Design
2.3. Equations of Motion of Wing Structure
2.4. Flapping Wing Aircraft Modeling
2.5. Motion Simulation of Flapping Wing Aircraft
2.6. Construction of 3D Pneumatic Simulation Platform
3. Analysis and Numerical Results
3.1. Kinematic Simulation Results of the Flapping Wing Mechanism
3.1.1. Angular Displacement of Inner Wing Mechanism over Time
3.1.2. Displacement of the Outer Wing Mechanism
3.1.3. Torsion Angle at the Outer Wingtip Versus Time
3.1.4. Trajectory Diagram of Wing Movement
3.2. Effect of Initial Attack Angle of Flapping Wing on Aerodynamic Characteristics
3.3. Effect of Wing Aspect Ratio on Aerodynamic Characteristics of Flapping-Wing Aircraft
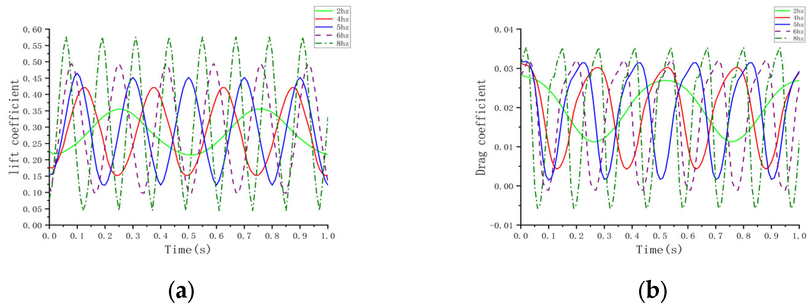
3.4. Effect of Flapping Frequency of Folded Wing on Aerodynamic Characteristics of Aircraft
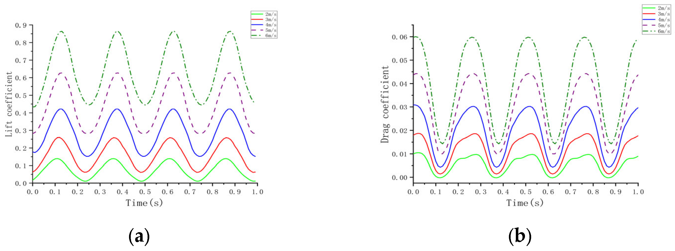
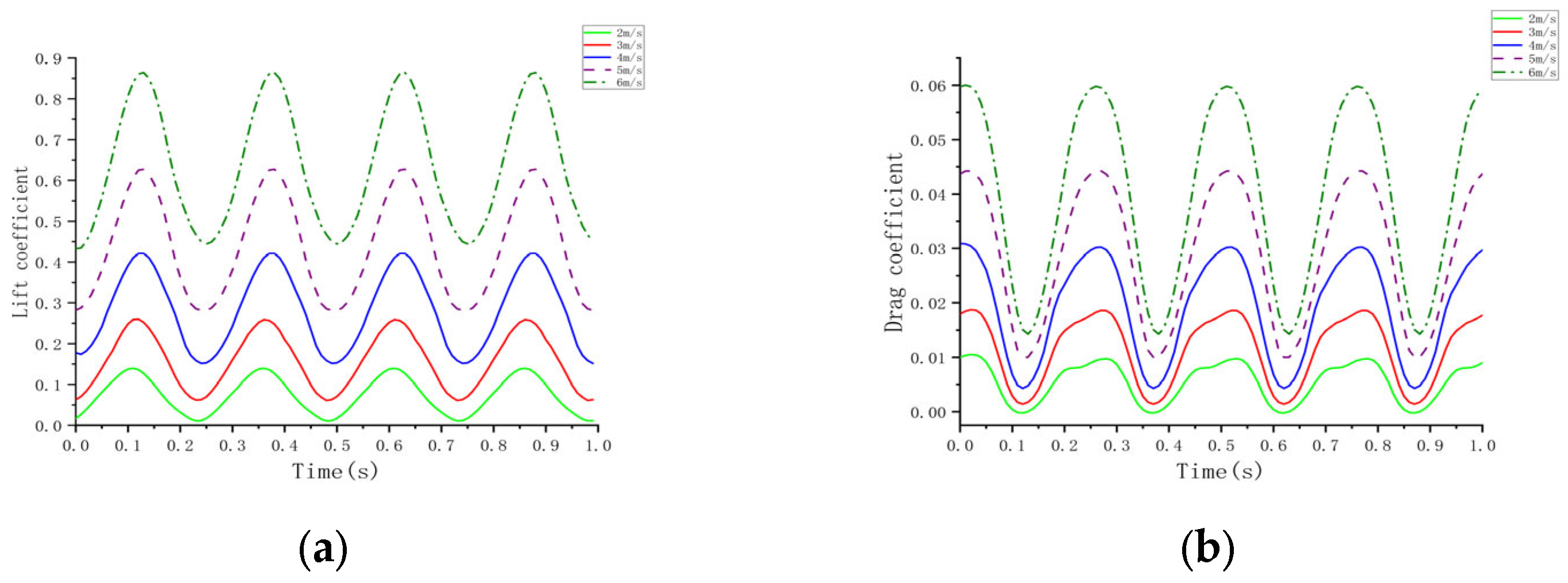
3.5. Effect of Flapping Speed of Folded Wing on Aerodynamic Characteristics of Aircraft
4. Discussion
- Initial Angle of Attack:Experimental results indicate that as the initial angle of attack increases from −12° to 12°, the lift coefficient transitions gradually from a negative to a positive value, with the maximum lift-to-drag ratio occurring at 9°, reaching 4.6833. At this point, the lift is maximized, and aerodynamic efficiency is optimal. As the angle of attack increases further, the drag coefficient rises substantially, resulting in a reduction in the lift-to-drag ratio, indicating a decline in aerodynamic efficiency beyond 9°.
- Aspect Ratio:The increase in aspect ratio is positively correlated with the lift coefficient. When the aspect ratio increases from 4.5 to 5.5, the lift coefficient rises from 0.3099 to 0.3574, whereas the drag coefficient remains largely unchanged. The maximum lift-to-drag ratio of 7.9238 occurs at an aspect ratio of 5.1, resulting in optimal aerodynamic efficiency. Further increases in aspect ratio have minimal effect on drag, and thus aerodynamic performance remains optimal, within the range of 5.1 to 5.5.
- Flapping Frequency:Variations in flapping frequency have a significant effect on both lift and drag coefficients. Within the frequency range of 4–5 Hz, the lift-to-drag ratio reaches its peak, resulting in optimal aerodynamic efficiency. As the frequency increases to 8 Hz, the fluctuations in lift and drag become more pronounced, resulting in a decline in aerodynamic efficiency. This suggests that the 4–5 Hz range is optimal for balancing aerodynamic performance, while higher frequencies are more suited for short-term high-maneuverability flight.
- Flapping Speed:Simulation results indicate that, at a flapping speed of 4–5 m/s, the lift-to-drag ratio peaks at 6.4361, reflecting optimal aerodynamic efficiency. At lower speeds (2 m/s), both lift and drag remain relatively low, making this range suitable for stable cruising. At higher speeds (6 m/s), although lift increases, drag also rises substantially, making this range more suitable for short-term high-maneuverability missions.
5. Conclusions
- Aerodynamic forces and torsional oscillation of the outer wing: Periodic aerodynamic forces (i.e., lift and drag) cause the torsion angle at the outer wingtip to exhibit distinct periodic oscillations over time. Simulation results indicate that the torsion angle of the outer wing remains within a controlled range, suggesting strong stability and durability under complex aerodynamic conditions.
- Figure-eight wing motion trajectory: The wing’s motion traces a figure-eight pattern, with the inner wing segment primarily responsible for the up-and-down flapping, while the outer segment folds during the motion. This trajectory mimics the agile flapping behavior of birds, ensuring continuous lift generation throughout flight, while folding reduces drag during the upstroke, thereby enhancing overall aerodynamic efficiency.
- Aerodynamic performance optimization and flapping wing parameters: Simulation results indicate that optimal aerodynamic performance is achieved with an initial angle of attack of between 0° and 9°, with the lift-to-drag ratio peaking at 9°. When the angle of attack exceeds 9°, drag increases sharply, resulting in a significant decline in aerodynamic efficiency. Furthermore, with an aspect ratio of 5.1, the lift-to-drag ratio peaks, achieving optimal aerodynamic efficiency. A moderate increase in aspect ratio enhances lift with minimal drag increase, thereby improving overall aerodynamic efficiency. At a flapping frequency of 4–5 Hz, the lift-to-drag ratio is maximized, and aerodynamic efficiency is optimized, making it ideal for efficient flight tasks. Low frequencies (2 Hz) are suitable for stable cruising, while higher frequencies (6 Hz and above), though increasing lift, also significantly raise drag, making them more suited for short-term high-maneuverability missions. At a flapping speed of 4–5 m/s, the lift-to-drag ratio peaks, resulting in optimized aerodynamic efficiency. Lower speeds are ideal for cruising, while higher speeds are more suited for short bursts of high-maneuverability missions. Therefore, flapping-wing aircraft design should select the appropriate flapping speed based on the specific mission to optimize both aerodynamic performance and structural integrity.
- Coordination between inner and outer wing segments and optimization suggestions: Simulations indicate that the inner and outer wing segments are well-coordinated during motion, though further optimization of their relative movement may be necessary in practical applications, depending on the specific flight mission. For instance, adjusting hinge stiffness or improving the crank-rod linkage could enhance energy efficiency and flight stability.
6. Patents
- Yan Shuai et al., A Casual-Wear Bionic Flapping-Wing Aircraft (ZL 2023 2 2864225.9).
- Yan Shuai et al., A Small Bionic Flapping-Wing Aircraft (ZL 2023 2 2864222.5).
Author Contributions
Funding
Institutional Review Board Statement
Data Availability Statement
Conflicts of Interest
References
- Aono, H.; Takeuchi, K. The evolution of bionic flying robots and their applications in society. Robot. Auton. Syst. 2015, 72, 200–211. [Google Scholar]
- Weimerskirch, H.; Bishop, C.; Jeanniard-Du-Dot, T.; Prudor, A.; Sachs, G. Frigate birds track atmospheric conditions over months-long transoceanic flights. Science 2016, 353, 74–78. [Google Scholar] [CrossRef] [PubMed]
- Yang, Z.; Liu, J. Advances in bionic design and application of flapping wing drones. Int. J. Adv. Robot. Syst. 2018, 15, 172–182. [Google Scholar]
- Sane, S.P.; Dickinson, M.H. The aerodynamic effects of wing-wake interactions in the flight of the fruit fly Drosophila melanogaster. J. Exp. Biol. 2002, 205, 2243–2252. [Google Scholar]
- Wang, T.; Sun, Y. A review of recent advances in the biomimetic flapping wing technology. J. Bionic Eng. 2016, 13, 667–683. [Google Scholar]
- DeLaurier, J.D.; Harris, J.M. A study of mechanical flapping-wing flight. Aeronaut. J. 1993, 97, 277–286. [Google Scholar] [CrossRef]
- Eldar, Y.; Shavit, U. Biomimetic design principles for small flapping-wing aerial vehicles. Nat. Commun. 2022, 13, 1234. [Google Scholar]
- Lee, C.; Kim, H. The effects of wing deformation on the aerodynamics of flapping flight. J. Fluid Mech. 2018, 844, 115–138. [Google Scholar] [CrossRef][Green Version]
- Liu, H.; Ravi, S.; Kolomenskiy, D.; Tanaka, H. Biomechanics and biomimetics in insect-inspired flight systems. Philos. Trans. R. Soc. Lond. B Biol. Sci. 2016, 371, 20150390. [Google Scholar] [CrossRef]
- Nakata, T.; Liu, H.; Tanaka, Y.; Nishihashi, N.; Wang, X.; Sato, A. Aerodynamics of a bio-inspired flexible flapping-wing micro air vehicle. Bioinspir. Biomim. 2011, 6, 045002. [Google Scholar] [CrossRef]
- Yeh, S.-I.; Hsu, C.-Y. The Aerodynamic Effect of Biomimetic Pigeon Feathered Wing on a 1-DoF Flapping Mechanism. Biomimetics 2024, 9, 36. [Google Scholar] [CrossRef] [PubMed]
- Cai, X.; Kolomenskiy, D.; Nakata, T.; Liu, H. A CFD data-driven aerodynamic model for fast and precise prediction of flapping aerodynamics in various flight velocities. J. Fluid Mech. 2021, 915, A114. [Google Scholar] [CrossRef]
- Sun, X.-X.; Lin, B.-T.; Zhang, B.-H. Design and simulation optimization of bionic flapping-wing robot. In Proceedings of the 2020 International Conference on Optoelectronic Materials and Devices, Guangzhou, China, 18–20 December 2020; p. 1176713. [Google Scholar]
- Nguyen, T.; Sundar, D.S.; Yeo, K.S.; Lim, T.T. Modeling and analysis of insect-like flexible wings at low Reynolds number. J. Fluids Struct. 2016, 62, 294–317. [Google Scholar] [CrossRef]
- Yang, L.; Feng, A.-L.; Lee, H.-C.; Esakki, B.; He, W. The Three-Dimensional Flow Simulation of a Flapping Wing. J. Mar. Sci. Technol. 2018, 26, 297–308. [Google Scholar]
- Akhter, Z.; Ali, A.R.; Omar, F.K. Aerodynamics of a three-dimensional bionic morphing flap. Sustain. Energy Technol. Assess. 2022, 52, 102286. [Google Scholar] [CrossRef]
- Han, J.; Hui, Z.; Tian, F.; Chen, G. Review on bio-inspired flight systems and bionic aerodynamics. Chin. J. Aeronaut. 2021, 34, 170–186. [Google Scholar] [CrossRef]
- Banken, E.; Oeffner, J. Biomimetics for innovative and future-oriented space applications—A review. Front. Space Technol. 2023, 3, 1000788. [Google Scholar] [CrossRef]
- Jones, K.D.; Bradshaw, C.J.; Papadopoulos, J.; Platzer, M.F. Bio-inspired design of flapping-wing micro air vehicles. Aeronaut. J. 2005, 109, 385–393. [Google Scholar] [CrossRef]
- Aono, H.; Takahashi, Y. Dynamic modeling of a flapping wing system with foldable wings. Appl. Bionics Biomech. 2013, 10, 467–477. [Google Scholar]
- Mazzoleni, A.; Tullis, J. The influence of wing morphology on the flight dynamics of bio-inspired flapping wing vehicles. J. Bionic Eng. 2019, 16, 465–475. [Google Scholar]
- Li, Y.; Wang, X. Influence of wing morphology on the aerodynamics of flapping flight: A parametric study. J. Fluid Mech. 2023, 952, A45. [Google Scholar]
- Kim, Y.; Lee, S. Dynamic modeling and control of a bio-inspired flapping wing micro air vehicle. Robot. Auton. Syst. 2020, 133, 103–115. [Google Scholar]
- Zhang, J.; Wang, L. Aerodynamic characteristics of a biomimetic flapping-wing model in a turbulent flow. Aerosp. Sci. Technol. 2020, 98, 105651. [Google Scholar]
- Xu, H.; Liu, Y. Numerical investigation of the flapping motion effects on the aerodynamic performance of a flexible wing. J. Fluid Mech. 2019, 870, 64–87. [Google Scholar]
- Chen, S.; Li, J. Optimization of a biomimetic flapping wing for enhanced aerodynamic performance. Bioinspir. Biomim. 2021, 16, 025002. [Google Scholar]
- Huang, Y.; Zhang, H. Optimization of flapping wing design based on aerodynamic performance metrics. J. Wind Eng. Ind. Aerodyn. 2021, 211, 104536. [Google Scholar]
- Deng, X.; Yu, Y. Design and performance analysis of a biomimetic flapping wing robot. Robot. Auton. Syst. 2017, 95, 104–115. [Google Scholar]
- Poon, A.; Liu, Y. Advancements in biomimetic flapping wing technology for unmanned aerial vehicles. Int. J. Aerosp. Eng. 2021, 2021, 6685374. [Google Scholar]
- Park, K.; Lee, S. The effects of flapping frequency and angle of attack on the aerodynamic performance of a bio-inspired flapping wing. Bioinspir. Biomim. 2019, 14, 036006. [Google Scholar]
- Deng, Z.; Wang, S. Computational analysis of a flapping wing in a ground effect using a meshless method. Aerosp. Sci. Technol. 2020, 97, 105616. [Google Scholar]
- Lee, H.; Kim, H. Effects of wing aspect ratio on the aerodynamic performance of a flapping-wing vehicle. J. Aerosp. Eng. 2022, 35, 04022021. [Google Scholar]
- Baker, C.; Smith, R. Dynamics of flapping flight: A review of recent advances in bionic flight. Aerospace 2022, 9, 42. [Google Scholar]
- Nishida, T.; Sato, S. Analysis of aerodynamic lift generation by flapping wings using a Lattice Boltzmann method. Int. J. Mech. Sci. 2018, 146, 377–388. [Google Scholar]
- Zhang, J.; Gao, X. A numerical study of the aerodynamic performance of a flapping wing at various angles of attack. Int. J. Aeronaut. Space Sci. 2020, 21, 739–749. [Google Scholar]
- Santos, A.; Almeida, J. An experimental investigation of the flow field around a flapping wing. Exp. Fluids 2021, 62, 75. [Google Scholar]
- Choi, J.; Yoon, S. Bio-inspired design of a flapping wing for small aerial vehicles. J. Bionic Eng. 2022, 19, 10–20. [Google Scholar]
- Liu, H.; Hu, W. The effects of flapping frequency on the aerodynamic performance of a flexible wing. J. Appl. Mech. 2023, 90, 021003. [Google Scholar]
- Gao, Y.; Zhang, H. A study on the interaction between flapping wings and the surrounding flow field. AIAA J. 2021, 59, 4883–4896. [Google Scholar]
- Anderson, J.M.; Sutherland, L. Design principles for flapping wing robots: Insights from birds. Robot. Auton. Syst. 2018, 100, 35–47. [Google Scholar]




















| Characteristics | Foldable Wings | Traditional Fixed Wings |
|---|---|---|
| Flexibility | Features dynamic adjustment capability, allowing wing shape and span changes to adapt to mission requirements and flight environments, offering high adaptability. | Fixed structure without the ability to adjust wing shape or span, resulting in lower adaptability for complex or dynamic missions. |
| Aerodynamic performance | Can optimize lift-to-drag ratio through dynamic adjustment of wingspan and shape, significantly improving efficiency during takeoff, cruising, and descent. | Fixed wing structure limits aerodynamic optimization, making it less adaptable to varying flight phases. |
| Wind resistance | Capable of reducing frontal area by retracting wings, maintaining stability and control in high-wind conditions. | Fixed frontal area makes it prone to higher aerodynamic loads in strong winds, affecting stability and efficiency. |
| Maneuverability | High dynamic responsiveness enables complex flight maneuvers such as sharp turns and rolls. | Limited maneuverability due to fixed wing structure, making it less capable of performing complex flight maneuvers. |
| Reliability | Involves complex mechanical folding structures, which may require high material precision and manufacturing accuracy, potentially reducing reliability and increasing maintenance complexity. | Simple design with low mechanical failure probability, offering high reliability and ease of manufacturing and maintenance. |
| Energy efficiency | Dynamic wing adjustment reduces flight drag, optimizing energy use, particularly for long-duration missions or high-load scenarios. | Fixed wing span and aerodynamic characteristics prevent dynamic drag and energy optimization, leading to lower efficiency during prolonged missions. |
| Parameter Name | Parameter Size (mm) |
|---|---|
| Bird body (including tail) | 410 |
| Single-wingspan | 275 |
| Inner wingspan | 195 |
| Outer wing length | 80 |
| Mean geometric chord length of the wings | 45 |
| Condition Name | Condition Description | Condition Parameters |
|---|---|---|
| Boundary region | Virtual aerodynamics | Rectangular prism 4 m × 2.5 m × 3 m |
| Air | ||
| Fluid | ||
| Inlet | Incoming flow velocity | |
| Outlet | Pressure boundary | |
| Fuselage model | Along the positive direction of the X-axis |
| Flapping Frequency | Lift Coefficient | Drag Coefficient | Lift-to-Drag Ratio |
|---|---|---|---|
| 2 | 0.2149 | 0.0268 | 8.0187 |
| 4 | 0.153 | 0.0289 | 5.2941 |
| 5 | 0.4523 | 0.0167 | 27.084 |
| 6 | 0.0971 | 0.0270 | 3.5963 |
| 8 | 0.1232 | 0.0276 | 4.4638 |
| Flapping Speed | Lift Coefficient | Drag Coefficient | Lift-to-Drag Ratio |
|---|---|---|---|
| 2 | 0.0172 | 0.0090 | 1.9125 |
| 3 | 0.0707 | 0.0177 | 3.9961 |
| 4 | 0.1530 | 0.0297 | 5.1487 |
| 5 | 0.2811 | 0.0437 | 6.4361 |
| 6 | 0.4444 | 0.0593 | 7.4891 |
Disclaimer/Publisher’s Note: The statements, opinions and data contained in all publications are solely those of the individual author(s) and contributor(s) and not of MDPI and/or the editor(s). MDPI and/or the editor(s) disclaim responsibility for any injury to people or property resulting from any ideas, methods, instructions or products referred to in the content. |
© 2025 by the authors. Licensee MDPI, Basel, Switzerland. This article is an open access article distributed under the terms and conditions of the Creative Commons Attribution (CC BY) license (https://creativecommons.org/licenses/by/4.0/).
Share and Cite
Yan, S.; Zhou, Y.; Jiang, S.; Xue, H.; Guo, P. Design and Aerodynamic Analysis of a Flapping Mechanism for Foldable Biomimetic Aircraft. Biomimetics 2025, 10, 61. https://doi.org/10.3390/biomimetics10010061
Yan S, Zhou Y, Jiang S, Xue H, Guo P. Design and Aerodynamic Analysis of a Flapping Mechanism for Foldable Biomimetic Aircraft. Biomimetics. 2025; 10(1):61. https://doi.org/10.3390/biomimetics10010061
Chicago/Turabian StyleYan, Shuai, Yongjun Zhou, Shuxia Jiang, Hao Xue, and Pengcheng Guo. 2025. "Design and Aerodynamic Analysis of a Flapping Mechanism for Foldable Biomimetic Aircraft" Biomimetics 10, no. 1: 61. https://doi.org/10.3390/biomimetics10010061
APA StyleYan, S., Zhou, Y., Jiang, S., Xue, H., & Guo, P. (2025). Design and Aerodynamic Analysis of a Flapping Mechanism for Foldable Biomimetic Aircraft. Biomimetics, 10(1), 61. https://doi.org/10.3390/biomimetics10010061

