Performance Improvement of a Honeycomb Battery Thermal Management System Based on Fin–Casing Synergistically Enhanced Heat Transfer
Abstract
1. Introduction
2. Numerical Model
2.1. Geometric Model and Thermophysical Parameters
2.2. Governing Equations
2.2.1. Heat Generation and Heat Transfer Model of Lithium-Ion Batteries
2.2.2. PCM Model
2.2.3. Liquid Cooling Model
2.3. Initial and Boundary Conditions
2.4. Model Verification
3. Results and Discussion
3.1. Thermal Performance Analysis of Honeycomb BTMS with Fins
3.2. Thermal Performance Analysis of Fin–-Casing Honeycomb BTMS
3.3. Effect of Battery Spacing on the Thermal Performance of the Fin–-Casing Honeycomb BTMS
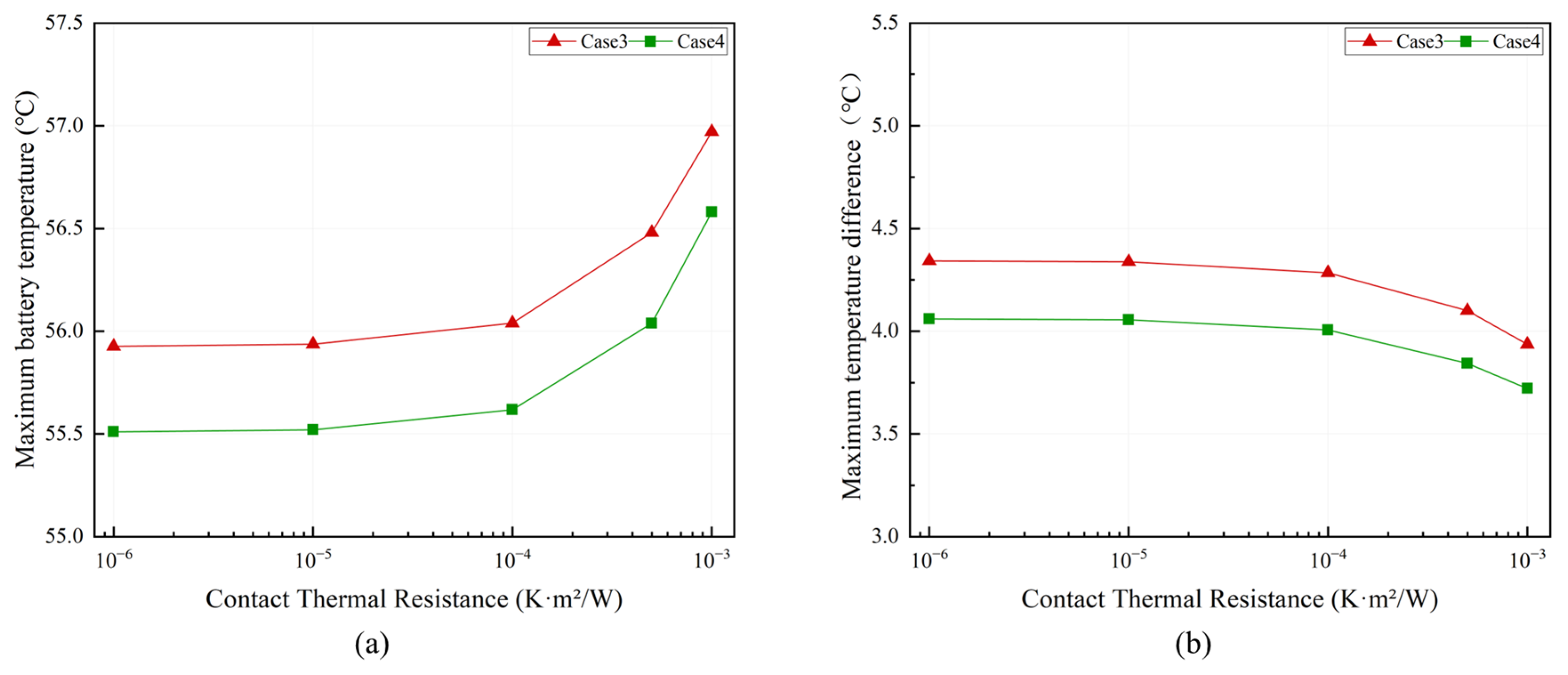
3.4. Effect of Contact Thermal Resistance on the Thermal Performance of the Fin–-Casing Honeycomb BTMS
4. Conclusions
- (1)
- The addition of longitudinal fins can significantly suppress the temperature rise in the battery and delay the phase change process of PCM, with a more pronounced effect achieved as the number of fins increases. However, the installation of fins leads to an increase in the internal temperature difference in the battery due to the uneven distribution of circumferential thermal resistance.
- (2)
- The introduction of a battery thermal conductive casing effectively resolves the issue of excessive internal temperature difference in the battery caused by the fin structure, further enhances the heat dissipation capability of the system, and delays the phase change process of PCM.
- (3)
- The battery spacing affects the temperature uniformity and grouping efficiency of battery modules. Increasing spacing raises the latent heat of PCM and improves the temperature uniformity of the battery but has a negligible effect on the maximum temperature and leads to a decline in the grouping efficiency of the BTMS. Considered comprehensively, a battery spacing of 25–27 mm is optimal.
- (4)
- The contact thermal resistance between the battery and the thermal conductive casing is a key parameter influencing the heat dissipation efficiency and temperature uniformity of the battery. Excessively high contact thermal resistance exacerbates heat accumulation inside the battery and raises the maximum temperature. When the contact thermal resistance is controlled below 10−4 K·m2/W, its adverse impact on the system heat dissipation can be neglected.
Author Contributions
Funding
Data Availability Statement
Conflicts of Interest
References
- Kang, D.; Lee, P.Y.; Yoo, K.; Kim, J. Internal thermal network model-based inner temperature distribution of high-power lithium-ion battery packs with different shapes for thermal management. J. Energy Storage 2020, 27, 101017. [Google Scholar] [CrossRef]
- Paul, S.; Diegelmann, C.; Kabza, H.; Tillmetz, W. Analysis of ageing inhomogeneities in lithium-ion battery systems. J. Power Sources 2013, 239, 642–650. [Google Scholar] [CrossRef]
- Rao, Z.; Qian, Z.; Kuang, Y.; Li, Y. Thermal performance of liquid cooling based thermal management system for cylindrical lithium-ion battery module with variable contact surface. Appl. Therm. Eng. 2017, 123, 1514–1522. [Google Scholar] [CrossRef]
- Liu, Y.; Zhang, J. Design a J-type air-based battery thermal management system through surrogate-based optimization. Appl. Energy 2019, 252, 113426. [Google Scholar] [CrossRef]
- Qian, Z.; Li, Y.; Rao, Z. Thermal performance of lithium-ion battery thermal management system by using mini-channel cooling. Energy Convers. Manag. 2016, 126, 622–631. [Google Scholar] [CrossRef]
- Zou, D.; Liu, X.; He, R.; Zhu, S.; Bao, J.; Guo, J.; Hu, Z.; Wang, B. Preparation of a novel composite phase change material (PCM) and its locally enhanced heat transfer for power battery module. Energy Convers. Manag. 2019, 180, 1196–1202. [Google Scholar] [CrossRef]
- Yang, Y.; Xu, X.; Zhang, Y.; Hu, H.; Li, C. Synergy analysis on the heat dissipation performance of a battery pack under air cooling. Ionics 2020, 26, 5575–5584. [Google Scholar] [CrossRef]
- Jang, D.S.; Yun, S.; Hong, S.H.; Cho, W.; Kim, Y. Performance characteristics of a novel heat pipe-assisted liquid cooling system for the thermal management of lithium-ion batteries. Energy Convers. Manag. 2022, 251, 115001. [Google Scholar] [CrossRef]
- Akinlabi, A.H.; Solyali, D. Configuration, design, and optimization of air-cooled battery thermal management system for electric vehicles: A review. Renew. Sustain. Energy Rev. 2020, 125, 109815. [Google Scholar] [CrossRef]
- Luo, J.; Zou, D.; Wang, Y.; Wang, S.; Huang, L. Battery thermal management systems (BTMs) based on phase change material (PCM): A comprehensive review. Chem. Eng. J. 2022, 430, 132741. [Google Scholar] [CrossRef]
- Wu, C.; Sun, Y.; Tang, H.; Zhang, S.; Yuan, W.; Zhu, L.; Tang, Y. A review on the liquid cooling thermal management system of lithium-ion batteries. Appl. Energy 2024, 375, 124173. [Google Scholar] [CrossRef]
- Ali, A.M.; Angelino, M.; Rona, A. Numerical analysis on the thermal performance of microchannel heat sinks with Al2O3 nanofluid and various fins. Appl. Therm. Eng. 2021, 198, 117458. [Google Scholar] [CrossRef]
- Patil, M.S.; Seo, J.H.; Lee, M.Y. A novel dielectric fluid immersion cooling technology for Li-ion battery thermal management. Energy Convers. Manag. 2021, 229, 113715. [Google Scholar] [CrossRef]
- Wiriyasart, S.; Hommalee, C.; Sirikasemsuk, S.; Prurapark, R.; Naphon, P. Thermal management system with nanofluids for electric vehicle battery cooling modules. Case Stud. Therm. Eng. 2020, 18, 100583. [Google Scholar] [CrossRef]
- Akbarzadeh, M.; Kalogiannis, T.; Jaguemont, J.; Jin, L.; Behi, H.; Karimi, D.; Beheshti, H.; Van Mierlo, J.; Berecibar, M. A comparative study between air cooling and liquid cooling thermal management systems for a high-energy lithium-ion battery module. Appl. Therm. Eng. 2021, 198, 117503. [Google Scholar] [CrossRef]
- Chen, S.; Peng, X.; Bao, N.; Garg, A. A comprehensive analysis and optimization process for an integrated liquid cooling plate for a prismatic lithium-ion battery module. Appl. Therm. Eng. 2019, 156, 324–339. [Google Scholar] [CrossRef]
- Oliveski, R.D.; Becker, F.; Rocha, L.A.; Biserni, C.; Eberhardt, G.E. Design of fin structures for phase change material (PCM) melting process in rectangular cavities. J. Energy Storage 2021, 35, 102337. [Google Scholar] [CrossRef]
- Gulfam, R.; Zhu, W.; Xu, L.; Cheema, I.I.; Sheng, P.; Zhao, G.; Deng, Y. Design, fabrication and numerical analysis of compact thermal management system integrated with composite phase change material and thermal bridge. Energy Convers. Manag. 2018, 156, 25–33. [Google Scholar] [CrossRef]
- Zhao, Y.; Jin, L.; Zou, B.; Qiao, G.; Zhang, T.; Cong, L.; Jiang, F.; Li, C.; Huang, Y.; Ding, Y. Expanded graphite–paraffin composite phase change materials: Effect of particle size on the composite structure and properties. Appl. Therm. Eng. 2020, 171, 115015. [Google Scholar] [CrossRef]
- Swamy, K.A.; Verma, S.; Bhattacharyya, S. Experimental and numerical investigation of nanoparticle assisted PCM-based battery thermal management system. J. Therm. Anal. Calorim. 2024, 149, 11223–11237. [Google Scholar] [CrossRef]
- Vali, P.M.; Murali, G. Experimental study on thermal management of nano-enhanced phase change material integrated battery pack. ASME J. Heat Mass Transfer 2024, 146, 032401. [Google Scholar] [CrossRef]
- Zhou, D.; Xiao, S.; Liu, Y. The effect of expanded graphite content on the thermal properties of fatty acid composite materials for thermal energy storage. Molecules 2024, 29, 3146. [Google Scholar] [CrossRef]
- Yang, T.; Su, S.; Xin, Q.; Zeng, J.; Zhang, H.; Zeng, X.; Xiao, J. Thermal management of lithium-ion batteries based on honeycomb-structured liquid cooling and phase change materials. Batteries 2023, 9, 287. [Google Scholar] [CrossRef]
- Zhang, Y.; Huang, J.; Cao, M.; Du, G.; Liu, Z. A novel sandwich structured phase change material with well impact energy absorption performance for Li-ion battery application. J. Energy Storage 2021, 40, 102769. [Google Scholar] [CrossRef]
- Keyhani-Asl, A.; Perera, N.; Lahr, J.; Hasan, R. Innovative hybrid battery thermal management system incorporating copper foam porous fins and layers with phase change material and liquid cooling. Appl. Therm. Eng. 2025, 268, 125848. [Google Scholar] [CrossRef]
- Luo, M.; Zhang, Y.; Wang, Z.; Niu, Y.; Lu, B.; Zhu, J.; Zhang, J.; Wang, K. Thermal performance enhancement with snowflake fins and liquid cooling in PCM-based battery thermal management system at high ambient temperature and high discharge rate. J. Energy Storage 2024, 90, 111754. [Google Scholar] [CrossRef]
- Shen, X.; Zhang, X.; Chen, M.; Chen, D. Thermal management performance of spiderweb-like fins enhanced phase change material cooling system for lithium-ion batteries. J. Energy Storage 2024, 97, 112973. [Google Scholar] [CrossRef]
- Wu, Y.; Lv, L.; Wu, F.; Wei, L.; Li, H.; Zhou, H. Numerical simulation of phase change material-assisted liquid cooling with gear-shaped fins for battery thermal management. Appl. Therm. Eng. 2025, 284, 128983. [Google Scholar] [CrossRef]
- Esmaeili, Z.; Vahidhosseini, S.M.; Rashidi, S.; Karimi, N.; Yan, W.M. Thermal management of lithium-ion batteries: Numerical evaluation of phase change materials and fin designs against air cooling. Int. J. Therm. Sci. 2026, 219, 110194. [Google Scholar] [CrossRef]
- Wang, J.; Yu, Y.; Song, L.; Yue, Y.; Zeng, W.; Mei, W.; Wang, Q. Thermal management performance and optimization of a novel system combining heat pipe and composite fin for prismatic lithium-ion batteries. Energy Convers. Manag. 2024, 302, 118106. [Google Scholar] [CrossRef]
- GB 38031-2020; Electric Vehicles Traction Battery Safety Requirements. State Administration for Market Regulation & Standardization Administration of China: Beijing, China, 2020.
- Azizi, Y.; Sadrameli, S.M. Thermal management of a LiFePO4 battery pack at high temperature environment using a composite of phase change materials and aluminum wire mesh plates. Energy Convers. Manag. 2016, 128, 294–302. [Google Scholar] [CrossRef]
- Wu, W.; Liu, J.; Liu, M.; Rao, Z.; Deng, H.; Wang, Q.; Qi, X.; Wang, S. An innovative battery thermal management with thermally induced flexible phase change material. Energy Convers. Manag. 2020, 221, 113145. [Google Scholar] [CrossRef]
- Liu, F.; Wang, J.; Liu, Y.; Wang, F.; Yang, N.; Liu, X.; Liu, H.; Li, W.; Liu, H.; Huang, B. Performance analysis of phase change material (PCM) in battery thermal management with biomimetic honeycomb fin. Appl. Therm. Eng. 2021, 196, 117296. [Google Scholar] [CrossRef]
- Weng, J.; He, Y.; Ouyang, D.; Yang, X.; Chen, M.; Cui, S.; Zhang, G.; Yuen, R.K.; Wang, J. Honeycomb-inspired design of a thermal management module and its mitigation effect on thermal runaway propagation. Appl. Therm. Eng. 2021, 195, 117147. [Google Scholar] [CrossRef]
- Yang, X.G.; Zhang, G.; Wang, C.Y. Computational design and refinement of self-heating lithium ion batteries. J. Power Sources 2016, 328, 203–211. [Google Scholar] [CrossRef]
- COMSOL Multiphysics®, version 6.2; COMSOL AB: Stockholm, Sweden, 2023. Available online: www.comsol.com (accessed on 5 March 2026).
- Bernardi, D.; Pawlikowski, E.; Newman, J. A general energy balance for battery systems. J. Electrochem. Soc. 1985, 132, 5. [Google Scholar] [CrossRef]
- Kermani, J.R.; Taheri, M.M.; Shafii, M.B.; Moosavi, A. Analytical solution, optimization and design of a phase change cooling pack for cylindrical lithium-ion batteries. Appl. Therm. Eng. 2023, 232, 120963. [Google Scholar] [CrossRef]
- Xin, Q.; Xiao, J.; Yang, T.; Zhang, H.; Long, X. Thermal management of lithium-ion batteries under high ambient temperature and rapid discharging using composite PCM and liquid cooling. Appl. Therm. Eng. 2022, 210, 118230. [Google Scholar] [CrossRef]
- Lewis, J.S.; Perrier, T.; Barani, Z.; Kargar, F.; Balandin, A.A. Thermal interface materials with graphene fillers: Review of the state of the art and outlook for future applications. Nanotechnology 2021, 32, 142003. [Google Scholar] [CrossRef]
- Sharma, M.; Chung, D.D.L. Solder–graphite network composite sheets as high-performance thermal interface materials. J. Electron. Mater. 2015, 44, 929–947. [Google Scholar] [CrossRef]




















| Material | Property | Value | Unit |
|---|---|---|---|
| INR18650/25P | Nominal Capacity | 2500 | mAh |
| Nominal Voltage | 3.6 | V | |
| Battery Height | 65.00 ± 0.15 | mm | |
| Battery Diameter | 18.35 ± 0.10 | mm | |
| Battery Weight | 48 | g | |
| Density | 2755.9 | kg/m3 | |
| Specific Heat Capacity | 1129.95 | J/(kg·K) | |
| Thermal Conductivity | Radial 1.6; Axial 27 | W/(m·K) | |
| RT-54HC | Melting Point | 53–54 | °C |
| Density | 800 | kg/m3 | |
| Specific Heat Capacity | 2000 | J/(kg·K) | |
| Thermal Conductivity | 0.2 | W/(m·K) | |
| Latent Heat | 200 | kJ/kg | |
| Water | Density Liquid | 998 | kg/m3 |
| Dynamic Viscosity | 1.01 × 10−3 | kg/(m·s) | |
| Specific Heat Capacity | 4180 | J/(kg·K) | |
| Thermal Conductivity | 0.599 | W/(m·K) | |
| Aluminum | Density | 2719 | kg/m3 |
| Specific Heat Capacity | 871 | J/(kg·K) | |
| Thermal Conductivity | 238 | W/(m·K) |
Disclaimer/Publisher’s Note: The statements, opinions and data contained in all publications are solely those of the individual author(s) and contributor(s) and not of MDPI and/or the editor(s). MDPI and/or the editor(s) disclaim responsibility for any injury to people or property resulting from any ideas, methods, instructions or products referred to in the content. |
© 2026 by the authors. Licensee MDPI, Basel, Switzerland. This article is an open access article distributed under the terms and conditions of the Creative Commons Attribution (CC BY) license.
Share and Cite
Tong, L.; Gong, X.; Su, S.; Xu, L.; Liu, M.; Chen, L.; Xin, Q.; Yang, T.; Zhang, H.; Xiao, J. Performance Improvement of a Honeycomb Battery Thermal Management System Based on Fin–Casing Synergistically Enhanced Heat Transfer. Batteries 2026, 12, 94. https://doi.org/10.3390/batteries12030094
Tong L, Gong X, Su S, Xu L, Liu M, Chen L, Xin Q, Yang T, Zhang H, Xiao J. Performance Improvement of a Honeycomb Battery Thermal Management System Based on Fin–Casing Synergistically Enhanced Heat Transfer. Batteries. 2026; 12(3):94. https://doi.org/10.3390/batteries12030094
Chicago/Turabian StyleTong, Liang, Xin Gong, Shenglin Su, Linzhi Xu, Min Liu, Lingyu Chen, Qianqian Xin, Tianqi Yang, Hengyun Zhang, and Jinsheng Xiao. 2026. "Performance Improvement of a Honeycomb Battery Thermal Management System Based on Fin–Casing Synergistically Enhanced Heat Transfer" Batteries 12, no. 3: 94. https://doi.org/10.3390/batteries12030094
APA StyleTong, L., Gong, X., Su, S., Xu, L., Liu, M., Chen, L., Xin, Q., Yang, T., Zhang, H., & Xiao, J. (2026). Performance Improvement of a Honeycomb Battery Thermal Management System Based on Fin–Casing Synergistically Enhanced Heat Transfer. Batteries, 12(3), 94. https://doi.org/10.3390/batteries12030094

