Effects of Different Nozzle Orifice Shapes on Water Droplet Characteristics for Sprinkler Irrigation
Abstract
1. Introduction
2. Materials and Methods
2.1. Experimental Setup
2.2. Experimental Procedure
2.3. Calculation of Droplet Parameters
- (1)
- The resultant velocity (V, m s−1) was calculated as follows:
- (2)
- The specific power Spj, W m−2) was defined as follows:
2.4. Image Processing
3. Results and Discussion
3.1. The Morphology of Droplet Break from Different Nozzles
3.2. Characteristics of Droplets Measured by 2DVD
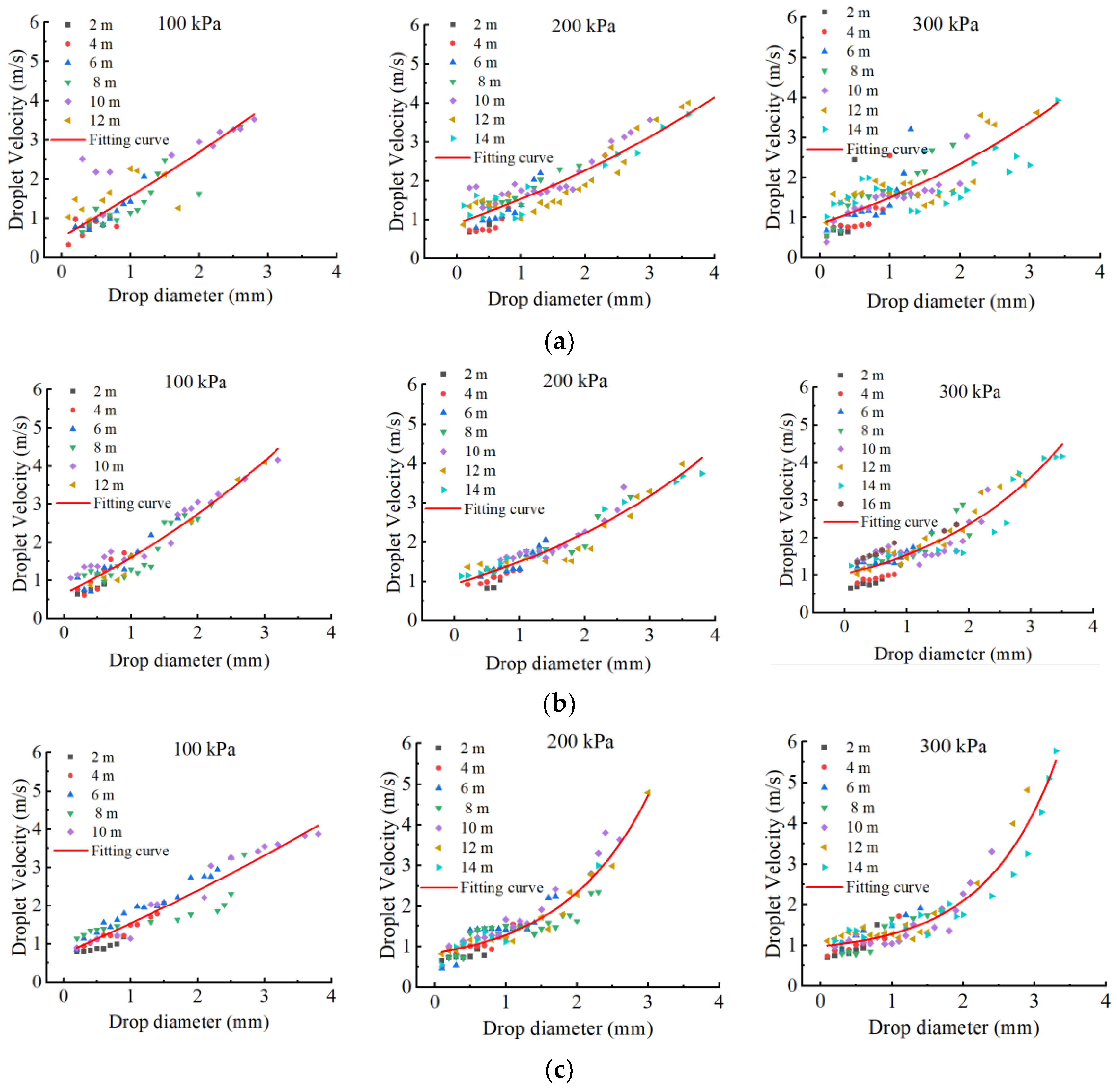
3.2.1. Droplet Diameter
3.2.2. Droplet Velocity
3.2.3. Kinetic Energy and Specific Power
3.3. Effects of the Impact Arm on Cumulative Volume Percentage of Droplet Diameters
4. Conclusions
Author Contributions
Funding
Informed Consent Statement
Acknowledgments
Conflicts of Interest
References
- Lyle, W.M.; Bordovsky, J.P. Low Energy Precision Application (LEPA) Irrigation System. Trans. ASAE 1981, 24, 1241–1245. [Google Scholar] [CrossRef]
- Nikolaou, G.; Neocleous, D.; Katsoulas, N.; Kittas, C. Irrigation of greenhouse crops. Horticulturae 2019, 5, 7. [Google Scholar] [CrossRef]
- Contreras, J.I.; Baeza, R.; Alonso, F.; Cánovas, G.; Gavilán, P.; Lozano, D. Effect of distribution uniformity and fertigation volume on the bio-productivity of the greenhouse Zucchini crop. Water 2020, 12, 2183. [Google Scholar] [CrossRef]
- Salokhe, V.M.; Babel, M.S.; Tantau, H.J. Water requirement of drip irrigated tomatoes grown in greenhouse in tropical environment. Agric. Water Manag. 2005, 71, 225–242. [Google Scholar] [CrossRef]
- Guan, H.; Li, J.; Li, Y. Effects of drip system uniformity and irrigation amount on cotton yield and quality under arid conditions. Agric. Water Manag. 2013, 124, 37–51. [Google Scholar] [CrossRef]
- Li, J.; Kawano, H.; Yu, K. Droplet Size Distributions from Different Shaped Sprinkler Nozzles. Trans. ASAE 1994, 37, 1871–1878. [Google Scholar] [CrossRef]
- Cerruto, E.; Manetto, G.; Papa, R.; Longo, D. Modelling spray pressure effects on droplet size distribution from agricultural nozzles. Appl. Sci. 2021, 11, 9283. [Google Scholar] [CrossRef]
- Daskiran, C.; Xue, X.; Cui, F.; Katz, J.; Boufadel, M.C. Impact of a jet orifice on the hydrodynamics and the oil droplet size distribution. Int. J. Multiph. Flow 2022, 147, 103921. [Google Scholar] [CrossRef]
- Nuyttens, D.; Baetens, K.; De Schampheleire, M.; Sonck, B. Effect of nozzle type, size and pressure on spray droplet characteristics. Biosyst. Eng. 2007, 97, 333–345. [Google Scholar] [CrossRef]
- Barik, A.K.; Dash, S.K.; Guha, A. Entrainment of air into an infrared suppression (IRS) device using circular and non-circular multiple nozzles. Comput. Fluids 2015, 114, 26–38. [Google Scholar] [CrossRef]
- Li, J.; Kawano, H. Simulating Water-Drop Movement from Noncircular Sprinkler Nozzles. J. Irrig. Drain. Eng. 1995, 121, 152–158. [Google Scholar] [CrossRef]
- Hua, L.; Li, H.; Jiang, Y. Axis-switching Behavior of Liquid Jets Issued from Non-circular Nozzles under Low-intermediate Pressure. Appl. Eng. Agric. ASABE 2021, 37, 367–378. [Google Scholar] [CrossRef]
- Yan, H.; Hui, X.; Li, M.; Xu, Y. Development in sprinkler irrigation technology in China. Irrig. Drain. 2020, 69, 75–87. [Google Scholar] [CrossRef]
- Sayyadi, H.; Nazemi, A.H.; Sadraddini, A.A.; Delirhasannia, R. Characterising droplets and precipitation profiles of a fixed spray-plate sprinkler. Biosyst. Eng. 2014, 119, 13–24. [Google Scholar] [CrossRef]
- Yan, H.J.; Bai, G.; He, J.Q.; Lin, G. Influence of droplet kinetic energy flux density from fixed spray-plate sprinklers on soil infiltration, runoff and sediment yield. Biosyst. Eng. 2011, 110, 213–221. [Google Scholar] [CrossRef]
- Molle, B.; Tomas, S.; Hendawi, M.; Granier, J. Evaporation and wind drift losses during sprinkler irrigation influenced by droplet size distribution. Irrig. Drain. 2012, 61, 240–250. [Google Scholar] [CrossRef]
- Tuck, C.R.; Butler Ellis, M.C.; Miller, P.C.H. Techniques for measurement of droplet size and velocity distributions in agricultural sprays. Crop Prot. 1997, 16, 619–628. [Google Scholar] [CrossRef]
- Kumar, S.S.; Li, C.; Christen, C.E.; Hogan, C.J.; Fredericks, S.A.; Hong, J. Automated droplet size distribution measurements using digital inline holography. J. Aerosol Sci. 2019, 137, 105442. [Google Scholar] [CrossRef]
- Boddapati, V.; Manish, M.; Sahu, S. A novel approach for conditional measurement of droplet size distribution within droplet clusters in sprays. Exp. Fluids 2020, 61, 42. [Google Scholar] [CrossRef]
- Awan, M.S.; Leigeb, E. Modeling of fog droplet size distributions from infrared light attenuation measurements. Trans. Emerg. Telecommun. Technol. 2014, 25, 294–307. [Google Scholar] [CrossRef]
- De Cock, N.; Massinon, M.; Ouled Taleb Salah, S.; Mercatoris, B.C.N.; Lebeau, F. Droplet Size Distribution Measurements of Iso Nozzles by Shadowgraphy Method. Commun. Agric. Appl. Biol. Sci. 2015, 80, 295–301. [Google Scholar] [PubMed]
- Bocanegra Evans, H.; Dam, N.; Van Der Voort, D.; Bertens, G.; Van De Water, W. Measuring droplet size distributions from overlapping interferometric particle images. Rev. Sci. Instrum. 2015, 86, 023709. [Google Scholar] [CrossRef]
- Perlekar, P.; Biferale, L.; Sbragaglia, M.; Srivastava, S.; Toschi, F. Droplet size distribution in homogeneous isotropic turbulence. Phys. Fluids 2012, 24, 065101. [Google Scholar] [CrossRef]
- Couto, H.S.; Bastos-Netto, D. Modeling droplet size distribution from impinging jets. J. Franklin Inst. 1896, 141, 156. [Google Scholar] [CrossRef]
- Makhnenko, I.; Alonzi, E.R.; Fredericks, S.A.; Colby, C.M.; Dutcher, C.S. A review of liquid sheet breakup: Perspectives from agricultural sprays. J. Aerosol Sci. 2021, 157, 105805. [Google Scholar] [CrossRef]
- Pimentel, R.G.; Dechamplain, A.; Kretschmer, D.; Stowe, R.A.; Harris, P.G. Generalized formulation for droplet size distribution in a spray. In Proceedings of the 42nd AIAA/ASME/SAE/ASEE Joint Propulsion Conference & Exhibit, Sacramento, CA, USA, 9–12 July 2006; Volume 7, pp. 5686–5696. [Google Scholar] [CrossRef]
- Roberts, J.H.; Webb, M.J. Measurement of droplet size for wide range particle distributions. AIAA J. 1964, 2, 583–585. [Google Scholar] [CrossRef]
- Emekwuru, N.G. Using the General Gamma Distribution to Represent the Droplet Size Distribution in a Spray Model. In Hydrodynamics-Theory and Model; IntechOpen: London, UK, 2012. [Google Scholar] [CrossRef][Green Version]
- Friso, D.; Bortolini, L. Numerical and volumetric frequency of sprinkler drop-size from water distribution radial curve part I: Mathematical modelling. ARPN J. Eng. Appl. Sci. 2017, 12, 3470–3477. [Google Scholar]
- Jiang, Y.; Li, H.; Hua, L.; Zhang, D.M.; Issaka, Z. Experimental Study on Jet Breakup Morphologies and Jet Characteristic Parameters of Non-circular Nozzles Under Low-intermediate Pressures. Appl. Eng. Agric. ASABE 2019, 35, 617–632. [Google Scholar] [CrossRef]
- Villermaux, E. Fragmentation. Annu. Rev. Fluid Mech. 2007, 39, 419–446. [Google Scholar] [CrossRef]
- Ge, M.; Wu, P.; Zhu, D.; Zhang, L. Analysis of kinetic energy distribution of big gun sprinkler applied to continuous moving hose-drawn traveler. Agric. Water Manag. 2018, 201, 118–132. [Google Scholar] [CrossRef]
- Chen, N.; Yu, H. Mechanism of axis switching in low aspect-ratio rectangular jets. Comput. Math. Appl. 2014, 67, 437–444. [Google Scholar] [CrossRef]
- Meslem, A.; El Hassan, M.; Nastase, I. Analysis of jet entrainment mechanism in the transitional regime by time-resolved PIV. J. Vis. 2011, 14, 41–52. [Google Scholar] [CrossRef]
- Gauno, M.H.; Larsen, C.C.; Vilhelmsen, T.; Moller-Sonnergaard, J.; Wittendorff, J.; Rantanen, J. Evaluation of droplet size distributions using univariate and multivariate approaches. Pharm. Dev. Technol. 2013, 18, 926–934. [Google Scholar] [CrossRef]
- Bailey, A.G.; Balachandran, W.; Williams, T.J. The rosin-rammler size distribution for liquid droplet ensembles. J. Aerosol Sci. 1983, 14, 39–46. [Google Scholar] [CrossRef]
- Chen, R.; Li, H.; Wang, J.; Guo, X. Effects of pressure and nozzle size on the spray characteristics of low-pressure rotating sprinklers. Water 2020, 12, 2904. [Google Scholar] [CrossRef]
- Bautista-Capetillo, C.; Zavala, M.; Playán, E. Kinetic energy in sprinkler irrigation: Different sources of drop diameter and velocity. Irrig. Sci. 2012, 30, 29–41. [Google Scholar] [CrossRef][Green Version]
- Kincaid, D.C. Spraydrop kinetic energy from irrigation sprinklers. Trans. Am. Soc. Agric. Eng. 1996, 39, 847–853. [Google Scholar] [CrossRef]










| Orifice Shape | Parameters | ||||
|---|---|---|---|---|---|
| De (mm) | L (mm) | A (mm2) | X (mm) | Cs | |
| Circle | 5 | 22.2 | 19.6 | 15.7 | 0.786 |
| Square | 4.5 | 22.8 | 19.8 | 17.8 | 1.000 |
| Equilateral triangle | 4.0 | 21.0 | 20.2 | 20.5 | 1.298 |
| Orifice Shape | Cs | Pressure (kPa) | A | B | R2 |
|---|---|---|---|---|---|
| Circular | 0.786 | 100 | 0.06 | 2.47 | 0.99 |
| 200 | 0.18 | 4.66 | 0.99 | ||
| 300 | 0.21 | 5.79 | 0.99 | ||
| Square | 1.000 | 100 | 0.12 | 2.86 | 0.98 |
| 200 | 0.22 | 5.04 | 0.99 | ||
| 300 | 0.25 | 6.25 | 0.99 | ||
| Equilateral triangle | 1.298 | 100 | 0.25 | 3.67 | 0.99 |
| 200 | 0.30 | 3.69 | 0.98 | ||
| 300 | 0.38 | 8.42 | 0.98 |
| Orifice Shape | Parameters | ||||
|---|---|---|---|---|---|
| Cs | Fitted n | ||||
| 100 kPa | 200 kPa | 300 kPa | |||
| Circular | 0.786 | 1.80 | 0.51 | 0.53 | 0.59 |
| Square | 1.000 | 1.85 | 0.45 | 0.49 | 0.50 |
| Equilateral triangle | 1.298 | 2.00 | 0.59 | 0.53 | 0.51 |
| Orifice Shape | Pressure (kPa) | Fitting Equation | R2 |
|---|---|---|---|
| Circle | 100 | 0.85 | |
| 200 | 0.91 | ||
| 300 | 0.77 | ||
| Square | 100 | 0.91 | |
| 200 | 0.91 | ||
| 300 | 0.85 | ||
| Equilateral triangle | 100 | 0.88 | |
| 200 | 0.88 | ||
| 300 | 0.92 |
| Orifice Shape | Pressure (kPa) | C | D | R2 |
|---|---|---|---|---|
| Circle | 100 | 1.1 | 0.32 | 0.98 |
| 200 | 2.1 | 0.20 | 0.98 | |
| 300 | 2.3 | 0.17 | 0.99 | |
| Square | 100 | 1.7 | 0.28 | 0.99 |
| 200 | 2.5 | 0.18 | 0.99 | |
| 300 | 2.8 | 0.15 | 0.99 | |
| Equilateral triangle | 100 | 1.6 | 0.32 | 0.92 |
| 200 | 3.3 | 0.15 | 0.95 | |
| 300 | 3.5 | 0.13 | 0.99 |
Publisher’s Note: MDPI stays neutral with regard to jurisdictional claims in published maps and institutional affiliations. |
© 2022 by the authors. Licensee MDPI, Basel, Switzerland. This article is an open access article distributed under the terms and conditions of the Creative Commons Attribution (CC BY) license (https://creativecommons.org/licenses/by/4.0/).
Share and Cite
Hua, L.; Jiang, Y.; Li, H.; Qin, L. Effects of Different Nozzle Orifice Shapes on Water Droplet Characteristics for Sprinkler Irrigation. Horticulturae 2022, 8, 538. https://doi.org/10.3390/horticulturae8060538
Hua L, Jiang Y, Li H, Qin L. Effects of Different Nozzle Orifice Shapes on Water Droplet Characteristics for Sprinkler Irrigation. Horticulturae. 2022; 8(6):538. https://doi.org/10.3390/horticulturae8060538
Chicago/Turabian StyleHua, Lin, Yue Jiang, Hong Li, and Longtan Qin. 2022. "Effects of Different Nozzle Orifice Shapes on Water Droplet Characteristics for Sprinkler Irrigation" Horticulturae 8, no. 6: 538. https://doi.org/10.3390/horticulturae8060538
APA StyleHua, L., Jiang, Y., Li, H., & Qin, L. (2022). Effects of Different Nozzle Orifice Shapes on Water Droplet Characteristics for Sprinkler Irrigation. Horticulturae, 8(6), 538. https://doi.org/10.3390/horticulturae8060538
