Productivity Enhancement of Cucumber (Cucumis sativus L.) through Optimized Use of Poultry Manure and Mineral Fertilizers under Greenhouse Cultivation
Abstract
:1. Introduction
2. Materials and Methods
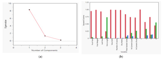
3. Results
4. Discussion
5. Conclusions
Author Contributions
Funding
Institutional Review Board Statement
Informed Consent Statement
Data Availability Statement
Conflicts of Interest
References
- Patel, C.; Panigrahi, J. Starch glucose coating-induced postharvest shelf-life extension of cucumber. Food Chem. 2019, 288, 208–214. [Google Scholar] [CrossRef]
- Hao, J.; Li, Q.; Yu, H.; Wang, H.; Chai, L.; Miao, T.; Jiang, W. Comparative proteomic analysis of cucumber fruits under nitrogen deficiency at the fruiting stage. Hortic. Plant J. 2020, 7, 59–72. [Google Scholar] [CrossRef]
- Sharma, V.; Sharma, L.; Sandhu, K.S. Cucumber (Cucumis sativus L.); Springer: Singapore, 2020; pp. 333–340. [Google Scholar]
- FAOSTAT. Food and Agriculture Organization of the United Nations. Crop. Prod. Data 2021. Available online: http://www.fao.org/faostat/en/#data (accessed on 9 July 2021).
- Lei, T.L.; Yang, L.J. Overcoming Continuous Cropping Obstacles & mdash: The Difficult Problem. Sci. Agric. Sin. 2016, 49, 916–918. [Google Scholar] [CrossRef]
- Liu, X.; Li, Y.; Ren, X.; Chen, B.; Zhang, Y.; Shen, C.; Wang, F.; Wu, D. Long-Term Greenhouse Cucumber Production Alters Soil Bacterial Community Structure. J. Soil Sci. Plant. Nutr. 2020, 20, 306–321. [Google Scholar] [CrossRef]
- Meena, R.K.; Trivedi, S.; Kumar, M. Protected Cultivation Vegetable: Cucumber. Biot. Res. Today 2020, 2, 359–361. [Google Scholar]
- Singh, M.C.; Singh, J.; Pandey, S.; Mahay, D.; Srivastava, V. Factors Affecting the Performance of Greenhouse Cucumber Cultivation: A Review. Int. J. Curr. Microbiol. Appl. Sci 2017, 6, 2304–2323. [Google Scholar] [CrossRef]
- Ghehsareh, A.M.; Khosravan, S.; Shahabi, A.A. The effect of different nutrient solutions on some growth indices of greenhouse cucumber in soilless culture. J. Plant. Breed. Crop. Sci. 2011, 3, 321–326. [Google Scholar]
- Nikolaou, G.; Neocleous, D.; Kitta, E.; Katsoulas, N. Advances in irrigation/fertigation techniques in greenhouse soilless culture systems (SCS). In Advances in Horticultural Soilless Culture; Burleigh Dodds Science Publishing: Cambridge, UK, 2021; pp. 249–275. [Google Scholar]
- Yang, Y.; Wang, P.; Zeng, Z. Dynamics of bacterial communities in a 30-year fertilized paddy field under different organic–inorganic fertilization strategies. Agronomy 2019, 9, 14. [Google Scholar] [CrossRef] [Green Version]
- Lu, J.; Yang, R.; Wang, H.; Huang, X. Stress effects of chlorate on longan (Dimocarpus longan Lour.) trees: Changes in nitrogen and carbon nutrition. Hortic. Plant J. 2017, 3, 237–246. [Google Scholar] [CrossRef]
- Umekwe, P.; Okpani, F.; Okocha, I. Effects of different rates of NPK 15: 15: 15 and pruning methods on the growth and yield of cucumber (Cucumis sativus L.) in Unwana-Afikpo. IJSR 2015, 4, 36–39. [Google Scholar]
- Johnston, A. Food security in the WANA region, the essential need for balanced fertilization. In International Workshop Proceedings, Ege University, Izmir, Turkey; International Potash Institute (IPA): Basel, Switzerland, 1997. [Google Scholar]
- Singh, M.C.; Kachwaya, D.S.; Kalsi, K. Soilless cucumber cultivation under protective structures in relation to irrigation coupled fertigation management, economic viability and potential benefits-a review. Int. J. Curr. Microbiol. Appl. Sci. 2018, 7, 2451–2468. [Google Scholar] [CrossRef]
- O’Brien, T.A.; Barker, A.V. Growth of peppermint in compost. J. Herbs Spices Med. Plants 1996, 4, 19–27. [Google Scholar] [CrossRef]
- Natsheh, B.; Mousa, S. Effect of organic and inorganic fertilizers application on soil and cucumber (Cucumis sativa L.) plant productivity. Int. J. Agric. For. 2014, 4, 166–170. [Google Scholar]
- Agegnehu, G.; Bass, A.M.; Nelson, P.N.; Bird, M.I. Benefits of biochar, compost and biochar–compost for soil quality, maize yield and greenhouse gas emissions in a tropical agricultural soil. Sci. Total Environ. 2016, 543, 295–306. [Google Scholar] [CrossRef]
- Masarirambi, M.T.; Dlamini, P.; Wahome, P.K.; Oseni, T.O. Effects of chicken manure on growth, yield and quality of lettuce (Lactuca sativa L.)‘Taina’under a lath house in a semi-arid sub-tropical environment. Agric. Environ. Sci. 2012, 12, 399–406. [Google Scholar]
- Ganeshamurthy, A.; Kalaivanan, D.; Selvakumar, G.; Panneerselvam, P. Nutrient management in horticultural crops. Indian J. Fertil. 2015, 11, 30–42. [Google Scholar]
- Singh, M.; Singh, A.; Singh, J.; Singh, K. Economic viability of soilless cucumber cultivation under naturally ventilated greenhouse conditions. Indian J. Hortic. 2020, 77, 315–321. [Google Scholar] [CrossRef]
- Barrett, G.; Alexander, P.; Robinson, J.; Bragg, N. Achieving environmentally sustainable growing media for soilless plant cultivation systems—A review. Sci. Hortic. 2016, 212, 220–234. [Google Scholar] [CrossRef] [Green Version]
- Schmilewski, G. Growing medium constituents used in the EU. In Proceedings of the International Symposium on Growing Media, Nottingham, UK, 2–9 September 2007; pp. 33–46. [Google Scholar]
- Huber, J.; Zheng, Y.; Dixon, M. Hydroponic cucumber production using urethane foam as a growth substrate. Acta Hortic. 2005, 697, 139. [Google Scholar] [CrossRef]
- Gul, A.; Engindeniz, S.; Aykut, N. Can closed substrate culture be an alternative for small-scale farmers? Acta Hortic. 2007, 747, 83. [Google Scholar] [CrossRef]
- Janapriya, S.; Palanisamy, D.; Ranghaswami, M. Soilless media and fertigation for naturally ventilated polyhouse production of cucumber (Cucumis sativus L.) CV Green Long. Int. J. Agric. Environ. Biotechnol. 2010, 3, 199–205. [Google Scholar]
- Zhang, R.-H.; Zeng-Qiang, D.; Zhi-Guo, L. Use of spent mushroom substrate as growing media for tomato and cucumber seedlings. Pedosphere 2012, 22, 333–342. [Google Scholar] [CrossRef]
- Mazahreh, N.; Nejatian, A.; Mousa, M. Effect of different growing medias on cucumber production and water productivity in soilless culture under UAE conditions. Merit Res. J. Agric. Sci. Soil Sci. 2015, 3, 131–138. [Google Scholar]
- Singh, M.C.; Singh, J.; Singh, K. Optimal operating microclimatic conditions for drip fertigated cucumbers in soilless media under a naturally ventilated greenhouse. Indian J. Ecol. 2017, 44, 821–826. [Google Scholar]
- Gruda, N.S.; Bragg, N. Developments in alternative organic materials for growing media in soilless culture systems. In Advances in Horticultural Soilless Culture; Burleigh Dodds Science Publishing: Cambridge, UK, 2021; pp. 73–106. [Google Scholar]
- Gül, A.; Kıdoğlu, F.; Anaç, D. Effect of nutrient sources on cucumber production in different substrates. Sci. Hortic. 2007, 113, 216–220. [Google Scholar] [CrossRef]
- RONG, Q.-L.; LI, R.-N.; HUANG, S.-W.; TANG, J.-W.; ZHANG, Y.-C.; WANG, L.-Y. Soil microbial characteristics and yield response to partial substitution of chemical fertilizer with organic amendments in greenhouse vegetable production. J. Integr. Agric. 2018, 17, 1432–1444. [Google Scholar] [CrossRef]
- Xing, Y.; Meng, X. Development and prospect of hydroponics in China. In Proceedings of the International Symposium on Growing Media and Hydroponics, Windsor, ON, Canada, 19–26 May 1997; pp. 753–760. [Google Scholar]
- Tejada, M.; Gonzalez, J.; García-Martínez, A.; Parrado, J. Application of a green manure and green manure composted with beet vinasse on soil restoration: Effects on soil properties. Bioresour. Technol. 2008, 99, 4949–4957. [Google Scholar] [CrossRef] [PubMed]
- Opara, E.C.; Zuofa, K.; Isirimah, N.; Douglas, D. Effects of poultry manure supplemented by NPK 15: 15: 15 fertilizer on cucumber (Cucumis sativus L.) production in Port Harcourt (Nigeria). Afr. J. Biotechnol. 2012, 11, 10548–10554. [Google Scholar] [CrossRef]
- Bowles, T.M.; Acosta-Martínez, V.; Calderón, F.; Jackson, L.E. Soil enzyme activities, microbial communities, and carbon and nitrogen availability in organic agroecosystems across an intensively-managed agricultural landscape. Soil Biol. Biochem. 2014, 68, 252–262. [Google Scholar] [CrossRef]
- Havlin, J.; Beaton, J.; Tisdale, S.; Nelson, W. Soil acidity and alkalinity. Soil Fertil. Fertil. Pearson Prentice Hall. 2005, 7, 45–96. [Google Scholar]
- Ju, X.-T.; Xing, G.-X.; Chen, X.-P.; Zhang, S.-L.; Zhang, L.-J.; Liu, X.-J.; Cui, Z.-L.; Yin, B.; Christie, P.; Zhu, Z.-L. Reducing environmental risk by improving N management in intensive Chinese agricultural systems. Proc. Natl. Acad. Sci. USA 2009, 106, 3041–3046. [Google Scholar] [CrossRef] [PubMed] [Green Version]
- Shen, W.; Lin, X.; Shi, W.; Min, J.; Gao, N.; Zhang, H.; Yin, R.; He, X. Higher rates of nitrogen fertilization decrease soil enzyme activities, microbial functional diversity and nitrification capacity in a Chinese polytunnel greenhouse vegetable land. Plant Soil 2010, 337, 137–150. [Google Scholar] [CrossRef]
- Zhen, Z.; Liu, H.; Wang, N.; Guo, L.; Meng, J.; Ding, N.; Wu, G.; Jiang, G. Effects of manure compost application on soil microbial community diversity and soil microenvironments in a temperate cropland in China. PLoS ONE 2014, 9, e108555. [Google Scholar] [CrossRef]
- Rashti, M.R.; Wang, W.; Moody, P.; Chen, C.; Ghadiri, H. Fertiliser-induced nitrous oxide emissions from vegetable production in the world and the regulating factors: A review. Atmos. Environ. 2015, 112, 225–233. [Google Scholar] [CrossRef]
- Singh, J.; Singh, M.K.; Kumar, M.; Kumar, V.; Singh, K.P.; Omid, A.Q. Effect of integrated nutrient management on growth, flowering and yield attributes of cucumber (Cucumis sativus L.). Int. J. Chem. Stud. 2018, 6, 567–572. [Google Scholar]
- Lotti, C.; Marcotrigiano, A.R.; De Giovanni, C.; Resta, P.; Ricciardi, A.; Zonno, V.; Fanizza, G.; Ricciardi, L. Univariate and multivariate analysis performed on bio-agronomical traits of Cucumis melo L. germplasm. Genet. Resour. Crop. Evol. 2008, 55, 511–522. [Google Scholar] [CrossRef]
- Khan, A.; Erum, S.; Riaz, N.; Shinwari, M.I.; Ibrar Shinwari, M. Multivariate Analysis of Potato Genotypes for Genetic Diversity. bioRxiv 2020. [Google Scholar] [CrossRef] [Green Version]
- Mangi, N.; Nazir, M.F.; Wang, X.; Iqbal, M.S.; Sarfraz, Z.; Jatoi, G.H.; Mahmood, T.; Ma, Q.; Shuli, F. Dissecting Source-Sink Relationship of Subtending Leaf for Yield and Fiber Quality Attributes in Upland Cotton (Gossypium hirsutum L.). Plants 2021, 10, 1147. [Google Scholar] [CrossRef]
- de Boodt, M.; Verdonck, O. The physical properties of the substrates in horticulture. In Proceedings of the III Symposium on Peat in Horticulture, Dublin, Ireland, 28 June–3 July 1971; pp. 37–44. [Google Scholar]
- Brown, E. Physical and chemical properties of media component of milled pine bark and sand. J. Am. Soc. Hort. Sci. 1975, 100, 119–121. [Google Scholar]
- Wilkinson, K.M.; Landis, T.D.; Haase, D.L.; Daley, B.F.; Dumroese, R.K. Tropical nursery manual: A guide to starting and operating a nursery for native and traditional plants. Agric. Handb. Wash. DC US Dep. Agric. For. Serv. 2014, 732, 376. [Google Scholar]
- Kim, S.; Abinaya, M.; Park, Y.; Jeong, B. Physiological and biochemical modulations upon root induction in rose cuttings as affected by growing medium. Hortic. Plant J. 2018, 4, 257–264. [Google Scholar] [CrossRef]
- He, M.; Chen, Z.; Sakurai, K.; Iwasaki, K.; Shen, Y.; Zhou, J. Effect of differences in substrate formulations on cucumber growth under soilless bag culture in greenhouse. Soil Sci. Plant. 2003, 49, 763–767. [Google Scholar] [CrossRef]
- Agele, S. Growth and yield of tomato grown on degraded soil amended with organic wastes. In Proceedings of the 35th Conference of the Agricultural Society of Nigeria, Federal University of Agriculture, Abeokuta, Nigeria, 14–17 March 2001; pp. 151–154. [Google Scholar]
- Ghosh, P.; Bandyopadhyay, K.; Manna, M.; Mandal, K.; Misra, A.; Hati, K. Comparative effectiveness of cattle manure, poultry manure, phosphocompost and fertilizer-NPK on three cropping systems in vertisols of semi-arid tropics. II. Dry matter yield, nodulation, chlorophyll content and enzyme activity. Bioresour. Technol. 2004, 95, 85–93. [Google Scholar] [CrossRef]
- Ayoola, O.; Adeniyan, O. Influence of poultry manure and NPK fertilizer on yield and yield components of crops under different cropping systems in south west Nigeria. Afr. J. Biotechnol. 2006, 5, 1386–1392. [Google Scholar]
- Adekiya, A.; Agbede, T. Growth and yield of tomato (Lycopersicon esculentum Mill) as influenced by poultry manure and NPK fertilizer. Emir. J. Food Agric. 2009, 21, 10–20. [Google Scholar]
- Hamma, I.; Ibrahim, U.; Haruna, M. Effect of poultry manure on the growth and yield of cucumber (Cucumis sativum L.) in Samaru, Zaria. Niger. J. Agric. Food Environ. 2012, 8, 94–98. [Google Scholar]
- Law-Ogbomo, K.E.; Osaigbovo, A.U. Growth and yield responses of cucumber (Cucumis sativum L.) to different nitrogen levels of goat manure in the humid ultisols environment. Not. Sci. Biol. 2018, 10, 228–232. [Google Scholar] [CrossRef] [Green Version]
- Ma, L.; Gardner, F.; Selamat, A. Estimation of leaf area from leaf and total mass measurements in peanut. Crop. Sci. 1992, 32, 467–471. [Google Scholar] [CrossRef]
- Okoli, P.; Nweke, I. Effect of poultry manure and mineral fertilizer on the growth performance and quality of cucumber fruits. J. Exp. Biol. Agric. Sci. 2015, 3, 362–367. [Google Scholar]
- Ewulo, B.; Ojeniyi, S.; Akanni, D. Effect of poultry manure on selected soil physical and chemical properties, growth, yield and nutrient status of tomato. Afr. J. Agric. Res. 2008, 3, 612–616. [Google Scholar]
- Vo, M.; Wang, C. Effects of manure composts and their combination with inorganic fertilizer on acid soil properties and the growth of muskmelon (Cucumis melo L.). Compost. Sci. Util. 2015, 23, 117–127. [Google Scholar] [CrossRef]
- Singh, M.C.; Singh, K.G.; Singh, J.P. Interactive Effects of Fertigation and Varieties on Pant Growth Attributes and Yield of Soilless Cucumbers. Int. J. Sci. Technol. Soc. 2020, 8, 50. [Google Scholar]
- Kim, T.Y.; Lee, S.H.; Ku, H.; Lee, S.Y. Enhancement of Drought Tolerance in Cucumber Plants by Natural Carbon Materials. Plants 2019, 8, 446. [Google Scholar] [CrossRef] [Green Version]
- Fields, J.S.; Gruda, N.S. Developments in inorganic materials, synthetic organic materials and peat in soilless culture systems. In Advances in Horticultural Soilless Culture; Burleigh Dodds Science Publishing: Cambridge, UK, 2021; pp. 45–72. [Google Scholar]
- Tüzel, Y.; Balliu, A. Advances in liquid-and solid-medium soilless culture systems. In Advances in Horticultural Soilless Culture; Burleigh Dodds Science Publishing: Cambridge, UK, 2021; pp. 213–248. [Google Scholar]
- Saeed, H.; Waheed, A. A Review on Cucumber. Int. J. Technol. Res. Sci. 2017, 2, 402–405. [Google Scholar]
- Kumar, S.; Kumar, R.; Gupta, R.; Sephia, R. Studies on correlation and path coefficient analysis for yield and its contributing traits in cucumber. Crop. Improv. 2011, 38, 18–23. [Google Scholar]
- Monna, M.N.A.; Robin, A.B.M.A.H.K.; Rabbani, M.G. Genetic variability, correlation and path analysis of Cucumber (Cucumis sativus L.). Bangladesh J. Agril. Sci. 2006, 33, 81–84. [Google Scholar]
- Lakshmi, L.; Reddy, S. Studies on correlation and path-coefficient analysis for yield and its contributing characters in Cucumber (Cucumis sativus L.). IJCS 2018, 6, 1649–1653. [Google Scholar]
- Ullah, M.; Hasan, M.; Chowdhury, A.; Saki, A.; Rahman, A. Genetic variability and correlation in exotic cucumber (Cucumis sativus L.) varieties. Bangladesh J. Plant. Breed. Genet. 2012, 25, 17–23. [Google Scholar] [CrossRef] [Green Version]
- Hasan, R.; Hossain, M.K.; Alam, N.; Bashar, A.; Islam, S.; Tarafder, M.J.A. Genetic divergence in commercial cucumber (Cucumis sativus L.) genotypes. Bangladesh J. Bot. 2015, 44, 201–207. [Google Scholar] [CrossRef]
- Arunkumar, K.; Ramanjinappa, V.; Ravishankar, M. Path coefficient analysis in F2 population of cucumber (Cucumis sativuus L.). Plant Arch. 2011, 11, 471–474. [Google Scholar]
- Lee, I.; Yang, J. Common clustering algorithms. In Comprehensive Chemometrics: Chemical and Biochemical Data Analysis; Elsevier: Oxford, UK, 2009; pp. 577–618. [Google Scholar]
- Xu, Q.; Liu, J.-S.; Chen, X.-H.; Li, L.-L.; Go, S.-G.; Chen, Z.-M.; Xiao, J.; Cao, B.-S. Principal Component and Cluster Analysis of Quality Characters of Pickling Cucumber (Cucumis sativus L.). J. Yandzhou Univ. 2003, 4, 78–81. [Google Scholar]






| Treatment | Substrate Composition |
|---|---|
| T1 (Control) | 60 kg m−3 PM |
| T2 | 30 kg m−3 PM + 3 kg m−3 MF |
| T3 | 30 kg m−3 PM + 5 kg m−3 MF |
| T4 | 30 kg m−3 PM + 7 kg m−3 MF |
| Properties | Coco-Peat | Sand |
|---|---|---|
| Bulk Density (g cm−3) | 0.499 | 1.487 |
| Air Space (%) | 20.87 | 25.01 |
| Water holding capacity (%) | 75.7 | 27.14 |
| Total Porosity (%) | 94.9 | 51.99 |
| Electrical Conductivity (dS m−1) | 0.207 | 0.122 |
| pH | 7.3 | 7.9 |
| Source of Variation | Treatment | Error | Pr (>F) |
|---|---|---|---|
| Degree of freedom | 3 | 8 | - |
| Fruit Yield Per Plant (g) | 94,726.2 ** | 4802.60 | 0.0005 |
| Fruit Weight (g) | 871.007 ** | 18.9260 | <0.0001 |
| Leaf Area (cm2) | 62,614.9 ** | 1692.00 | <0.0001 |
| Vine Length (cm) | 611.590 ** | 41.4210 | 0.0013 |
| Vine Girth (mm) | 0.66979 ** | 0.08351 | 0.0085 |
| Number of Leaves | 9.69972 ** | 0.61650 | 0.0010 |
| Dry Matter (%) | 1.13183 ** | 0.00631 | <0.0001 |
| Total Soluble Solids (%) | 0.33155 ** | 0.01271 | 0.0002 |
| N-Content (Leaf) (%) | 6.99080 ** | 0.04253 | <0.0001 |
| N-Content (Fruit) (%) | 1.33254 ** | 0.01317 | <0.0001 |
| Traits | T1 (Control) | T2 | T3 | T4 |
|---|---|---|---|---|
| Fruit Yield Per Plant (g) | 525.8 ± 35.73 b | 918.3 ± 37.36 a | 875.7 ± 24.3 a | 824.7 ± 56.04 a |
| Fruit Weight (g) | 146.13 ± 2.17 b | 180.53 ± 3.32 a | 181.85 ± 2.74 a | 177.71 ± 1.41 a |
| Leaf Area (cm2) | 350.5 ± 14.95 b | 658.8 ± 40.12 a | 652.6 ± 14.25 a | 579.3 ± 14.81 a |
| Vine Length (cm) | 178.96 ± 1.02 b | 201.13 ± 4.89 a | 202.8 ± 4.2 a | 175.77 ± 3.55 b |
| Vine Girth (mm) | 8.59 ± 0.166 b | 9.57 ± 0.158 a | 9.54 ± 0.213 a | 9.51 ± 0.117 a |
| Number of Leaves | 17.21 ± 0.042 b | 20.92 ± 0.686 a | 20.58 ± 0.289 a | 20.88 ± 0.516 a |
| Dry Matter (%) | 3.23 ± 0.0382 c | 4.33 ± 0.0313 b | 4.56 ± 0.0441 a | 4.43 ± 0.0635 ab |
| Total Soluble Solids (%) | 3.912 ± 0.093 a | 4.564 ± 0.065 ab | 4.35 ± 0.056 b | 4.66 ± 0.03 c |
| N-Content (Leaf) (%) | 1.849 ± 0.098 d | 3.344 ± 0.138 c | 4.661 ± 0.061 b | 5.296 ± 0.156 a |
| N-Content (Fruit) (%) | 3.127 ± 0.033 d | 3.84 ± 0.064 c | 4.187 ± 0.023 b | 4.717 ± 0.109 a |
Publisher’s Note: MDPI stays neutral with regard to jurisdictional claims in published maps and institutional affiliations. |
© 2021 by the authors. Licensee MDPI, Basel, Switzerland. This article is an open access article distributed under the terms and conditions of the Creative Commons Attribution (CC BY) license (https://creativecommons.org/licenses/by/4.0/).
Share and Cite
Sallam, B.N.; Lu, T.; Yu, H.; Li, Q.; Sarfraz, Z.; Iqbal, M.S.; Khan, S.; Wang, H.; Liu, P.; Jiang, W. Productivity Enhancement of Cucumber (Cucumis sativus L.) through Optimized Use of Poultry Manure and Mineral Fertilizers under Greenhouse Cultivation. Horticulturae 2021, 7, 256. https://doi.org/10.3390/horticulturae7080256
Sallam BN, Lu T, Yu H, Li Q, Sarfraz Z, Iqbal MS, Khan S, Wang H, Liu P, Jiang W. Productivity Enhancement of Cucumber (Cucumis sativus L.) through Optimized Use of Poultry Manure and Mineral Fertilizers under Greenhouse Cultivation. Horticulturae. 2021; 7(8):256. https://doi.org/10.3390/horticulturae7080256
Chicago/Turabian StyleSallam, Basheer Noman, Tao Lu, Hongjun Yu, Qiang Li, Zareen Sarfraz, Muhammad Shahid Iqbal, Shumaila Khan, Heng Wang, Peng Liu, and Weijie Jiang. 2021. "Productivity Enhancement of Cucumber (Cucumis sativus L.) through Optimized Use of Poultry Manure and Mineral Fertilizers under Greenhouse Cultivation" Horticulturae 7, no. 8: 256. https://doi.org/10.3390/horticulturae7080256
APA StyleSallam, B. N., Lu, T., Yu, H., Li, Q., Sarfraz, Z., Iqbal, M. S., Khan, S., Wang, H., Liu, P., & Jiang, W. (2021). Productivity Enhancement of Cucumber (Cucumis sativus L.) through Optimized Use of Poultry Manure and Mineral Fertilizers under Greenhouse Cultivation. Horticulturae, 7(8), 256. https://doi.org/10.3390/horticulturae7080256

