Next Article in Journal
Soilless Production of Lettuce (Lactuca sativa) in the Atacama Desert Using Fog Water: Water Quality and Produce Mineral Composition
Previous Article in Journal
Achievements of Banana (Musa sp.)-Based Intercropping Systems in Improving Crop Sustainability
 
 
Font Type:
Arial Georgia Verdana
Font Size:
Aa Aa Aa
Line Spacing:
Column Width:
Background:
Article

Effect of Cutting Blade Sharpness on Physical and Nutritional Quality of Fresh-Cut ’Golden Delicious‘ Apples

by
Alessia Incardona
1,
Danial Fatchurrahman
1,
Maria Luisa Amodio
1,
Andrea Peruzzi
2 and
Giancarlo Colelli
1,*
1
Department of Agriculture, Food, Natural Resources and Engineering (DAFNE), University of Foggia, Via Napoli 25, 71122 Foggia, Italy
2
Department of Agriculture, Food and Environment (DAFE), University of Pisa, Via del Borghetto 80, 56124 Pisa, Italy
*
Author to whom correspondence should be addressed.
Horticulturae 2024, 10(9), 955; https://doi.org/10.3390/horticulturae10090955
Submission received: 3 August 2024 / Revised: 4 September 2024 / Accepted: 5 September 2024 / Published: 6 September 2024
(This article belongs to the Section Postharvest Biology, Quality, Safety, and Technology)

Abstract

The cutting operation significantly affects the shelf-life of fresh-cut produce due to the mechanical damage impacting molecular, physiological, and sensory responses, depending on tissue type and tool characteristics. The degree of sharpness (DoS), defined as the force required to cut a reference body, is crucial for this process. A methodology was developed to objectively evaluate cutting damage on fresh-cut ‘Golden Delicious’ apples using three knives at four DoS levels (30, 100, 140, and 190 N) to cut 96 apples into 288 slices. The study assessed color, visual acceptance score, electrolytic leakage, and nutritional quality over 14 days at 5 °C. A two-way ANOVA showed no significant correlation between DoS and nutritional quality. However, a* values and browning index significantly increased with DoS, with values rising from 39.4 and 2.7 at 30 N to 41.4 and 3.1, respectively, at 190 N. The best visual acceptance score (4.0) and shelf-life (14 days) were at 30 N, while the worst score (2.9) and shelf-life (5 days) were at 190 N. Positive correlations were found between DoS and both browning index and a* value, with coefficients r of 0.97 and 0.93, respectively, highlighting the importance of using sharp tools for optimal post-cutting quality.

1. Introduction

Several factors affect the quality of a fresh-cut product, such as genotype, maturity stage, and cultural practices, during pre-harvest to post-harvest treatments, storage conditions, and the cutting process [1]. Thus, it is clear that companies and processors have to implement operations in order to supply the market with optimum quality products, minimizing the physiological response [2].
Besides the quality characteristics, a key factor involved in the post-cutting performance of fresh-cut products is related to the reduction of mechanical damage during the cutting step of the processing [3]. The rupture of the tissues leads to molecular, biochemical, and physiological responses, enhancing respiration and activating degradative metabolism [4], which closely affect the final quality of the fresh-cut product, severely compromising its marketability [5].
Mechanical damage that occurs during cutting operations, like peeling, slicing, and shredding, is strictly connected with the characteristics of the tool used, such as the material used to realize the blade and, particularly, its sharpness, as well as the direction of cutting [6]. Indeed, cutting operations conducted with a blunt blade compared to a sharper one lead to a higher wound damage with a faster loss of physical and chemical properties, according to the higher force required to cut [2]. Several studies were conducted to investigate the effect of blunt and sharp blades on the sensorial, physical, and chemical attributes. Sharp borers used to cut cantaloupe melon allowed a longer shelf-life compared to blunt blades, as a consequence of the better conditions in terms of visual quality [2]. This result has been confirmed by Bahram-Parvar and Lim [7] in their study on fresh-cut onions, in which they demonstrated how a cutting procedure with dull equipment enhanced the prevalence of translucency or glassiness of the cut tissue. Moreover, the study conducted by Peng et al. [8] on fresh-cut salads stated that an effective way to reduce the activation of biochemical patterns consists of cutting salad with a sharp blade in order to reduce respiration and ethylene production, which boost tissue deterioration during storage time.
The degree of sharpness (DoS) is defined as the required force exerted by the cutting tool to cut a reference body [9]. Hence, there is a clear need to increase and improve the knowledge on this problematic operation. A study conducted by Starek and Kusińska [10] on black radish highlighted how the use of a sharper blade required lower energy of cutting with respect to a blunt one, suggesting a proper choice of the cutting tool to minimize wounding stress. Incardona et al. [11] developed a simple and objective method to evaluate DoS in order to relate it to cutting damage and successfully implemented this new method on fresh-cut apples using blades with different sharpness. Based on those results, the aim of this study is to apply the same methodology using a wider range of DoS values, with the aim to identify the best solutions that allow to obtain a good, or at least an acceptable, quality of fresh-cut apples.

2. Materials and Methods

2.1. Knives Preparation

Three kitchen knives were used to cut the apples. Each knife was professionally sharpened up to a DoS of about 30 N (mean value of 30.6 ± 0.6), representing the sharpest one, and then, as requested by the experimental design, de-sharpened using sandpaper, down to DoS levels of 100 (mean value 102.3 ± 3.0), 140 (mean value 141.3 ± 1.1), and 190 N (mean value 190.7 ± 0.6). The mean values represent the average of the forces measured for each knife, along with the corresponding relative standard deviation. DoS levels were verified, measuring the force required to cut a standard silicon plug of 8 mm in diameter. On the basis of the forces measured to cut the reference body, the four DoS were set to perform the treatments on apples, as described by Incardona et al. [11].

2.2. Sample Preparation

Fresh apples (Malus domestica cv. ‘Golden Delicious’) were bought from the local retail market and vertically sliced by using 3 knives, each of them at 4 DoS levels as previously described. A total of 288 slices were produced, with 84 of them used for the initial evaluation and the remaining 204 stored in a cold room at 5 °C. Evaluation was done immediately after the slicing and after 5, 12, and 14 days of storage for the assessment of color, visual quality score, electrolytic leakage (EL), total soluble solid content (SSC), titratable acidity (TA), pH, and total phenol content (TPC).

2.3. Color and Visual Quality Score

The color of sliced apples was measured on both sides of the slices using a spectrophotometer (Konica Minolta CM 2600d, Tokyo, Japan), with one reading per side, in the CIE L*a*b* color space. L*, a*, and b* values were used to calculate the following indexes, including browning index (BI) [12]:
Hue Angle h° = arctg (b*/a*)
Chroma = √(〖a*〗2 + 〖b*〗2)
∆e= [(ΔL*)2 + (Δa*)2 + (Δb*)2](1/2)
Browning Index (BI) = (x − 0.31)/0.17 × 100 with x = (a* + 1.75L*)/(5.645L* + a*−3.012 b*)
Visual acceptability score was determined on the basis of the digital images acquired during the storage time using a 5-point scale reported in Figure 1, with 5 = as just cut; 4 = very good; 3 = good, limit of marketability; 2 = fair, limit of usability; and 1 = inedible [13].

2.4. Chemical Determination

2.4.1. Soluble Solid Content, Titratable Acidity, and pH

For the measurement of SSC, TA, and pH, 3 g of apple were placed in a falcon tube, homogenized in an Ultraturrax (IKA T18 basic, Wilmington, NC, USA), then filtered with two layers of cheesecloth (JC NONSTE SWAB 4040, Shanghai, China), and the obtained juices were employed for direct reading of the SSC (°Brix) using a digital refractometer (Atago N1, PR32-Palette, Tokyo, Japan). TA and pH were measured using 1 g samples of the juices using an automatic titrator (TitroMatic CRISON, Barcelona, Spain). The samples were titrated against a 0.1 mol L−1 NaOH solution (Sigma-Aldrich, Burlington, MA, USA) up to a final pH of 8.1 and were reported as a percentage of malic acid per 100 g sample.

2.4.2. Total Phenol Content

The TPC was determined by using 5 g of sliced apple homogenized in the above-mentioned Ultraturrax in 5 mL of an extraction medium made of 80% methanol (Sigma-Aldrich, Burlington, MA, USA) and 20% water solution and 2 mmol L−1 in sodium fluoride (Sigma-Aldrich, Burlington, MA, USA) for 1 min. The homogenate was then centrifuged at 12,000 rpm for 10 min at 4 °C. This methodology was used according to a protocol previously used by Singleton and Rossi [14], partially modified and adapted in order to be effective in this research. A total of 250 μL of extract was diluted in 750 μL of water, then mixed with 1.58 mL of water, 100 μL of Folin–Ciocalteu reagent (Sigma-Aldrich, Burlington, MA, USA), and 300 μL of sodium carbonate solution (200 g L−1) (Sigma-Aldrich, Burlington, MA, USA). The absorbance was read at 725 nm against a blank using a UV-1700 Shimadzu spectrophotometer (Suzhaou, China) after the solution was stood for 2 h in the dark at room temperature. The content of total phenols was calculated based on the calibration curve of gallic acid (Sigma-Aldrich, Burlington, MA, USA) and was expressed as milligrams of gallic acid per 100 g of fresh weight (mg GA 100 g−1).

2.5. Electrolytic Leakage

EL was measured by a conductivity meter (SevenExcellence, Metter-Toledo AG, Greifensee, Switzerland) using 2 g of flesh disks placed in 25 mL of 0.4 M mannitol solution (Sigma-Aldrich, Burlington, MA, USA). The measurements were taken after 1 and 60 min of agitation. The falcon was then set at a temperature of −20 °C for 24 h. Afterward, they were defrosted and the samples measured again [15]. The obtained data were expressed as a percentage of the electrolytic leakage.

2.6. Statistical Analysis

Data were subjected to two-way ANOVA and the mean values separated with a Tukey’s test at p ≤ 0.05, using the statistic software Stat Graphics Centurion XVI.I (Stat Point Technologies, Inc., Warrenton, VA, USA). Degrees of sharpness, expressed as a force (N), and storage time (s) were used as factors.

3. Results

Results of ANOVA for physical and chemical parameters are presented in Table 1, portraying the different effects of DoS and storage time. The main factors and their interaction were statistically significant for the visual score and all colorimetric attributes, while they were not significant for all chemical parameters, with the exception of pH and TA, for which only the effect of storage time was significant.
Regarding external appearance, mean values reported highlight how the sharpness of the cutting tool significantly affected color attributes and the visual score of fresh-cut apples. Indeed, DoS1, which represents the sharpest blade, always resulted statistically different from the other treatments. The same consideration can be done about DoS4, depicting a poor visual quality for all the considered parameters when a blunt blade is used. DoS2 and DoS3 exhibited an intermediate trend, particularly with respect to the L* value, hue angle, and browning index. Specifically, the L* and a* values were found to be statistically significant for each factor considered, while the b* value exhibited greater significance for the time factor compared to the treatment. Based on the CIE L*a*b* results, the color indices were confirmed to be significant for both the treatment and time factors, except for chroma, which was more strongly influenced by storage time. However, since the interaction with the storage time was significant as well, some of the parameters were investigated in detail.
All the above is confirmed by digital images of the fresh-cut apple slices in Figure 2 and by the visual score values reported in Figure 3. Both of the figures highlight a remarkable quality along the storage time when fresh-cut apples are treated with DoS1. Figure 2 shows the samples immediately after cutting (initial) and after 14 days of storage at 5 °C. While on day 0, no differences can be appreciated among slices cut with knives with different DoS values, at day 14 the effect of different blade sharpness resulted very well assessable. In particular, samples treated with DoS1 resulted very similar to the initial ones, with a slight browning reaction. On the contrary, apple slices cut with DoS4 showed a remarkable difference between day 0 and day 14, portraying a severe presence of brown spots. Regarding DoS2 and DoS3 treatments, the loss of brightness was poorly evident at the end of the storage time, showing an intermediate behavior within DoS1 and DoS4. To be precise, the slices cut with DoS3 appeared slightly browner if compared to those cut with knives at the DoS2 level.
The trend of visual score along the 14 days of storage confirmed the best appearance of fresh-cut apples when treated with DoS1 at all sampling times; score values always showed higher mean values compared to the other treatments, particularly to DoS4, and differences resulted always statistically significant.
This was confirmed by the evaluation of the visual appearance scored on each sampling day; the results of which are shown in Figure 3.
On day 5, the score for DoS1 only slightly decreased from the initial value of five, while DoS2, DoS3, and DoS4 showed a really relevant reduction, reaching values of 3.9, 3.6, and 3.3, respectively, with DoS4 very close to the limit of marketability at the first sampling times. After 12 days only samples treated with DoS1 resulted to be still marketable, whilst the scores for the other treatments were below the limit of marketability, almost reaching the limit of edibility in the case of DoS4. At the end of storage time, only slices cut with the sharpest blade were still marketable, while slices cut with blunter blades (in particular those with DoS3 and DoS4) presented mean score values below the limit of edibility.
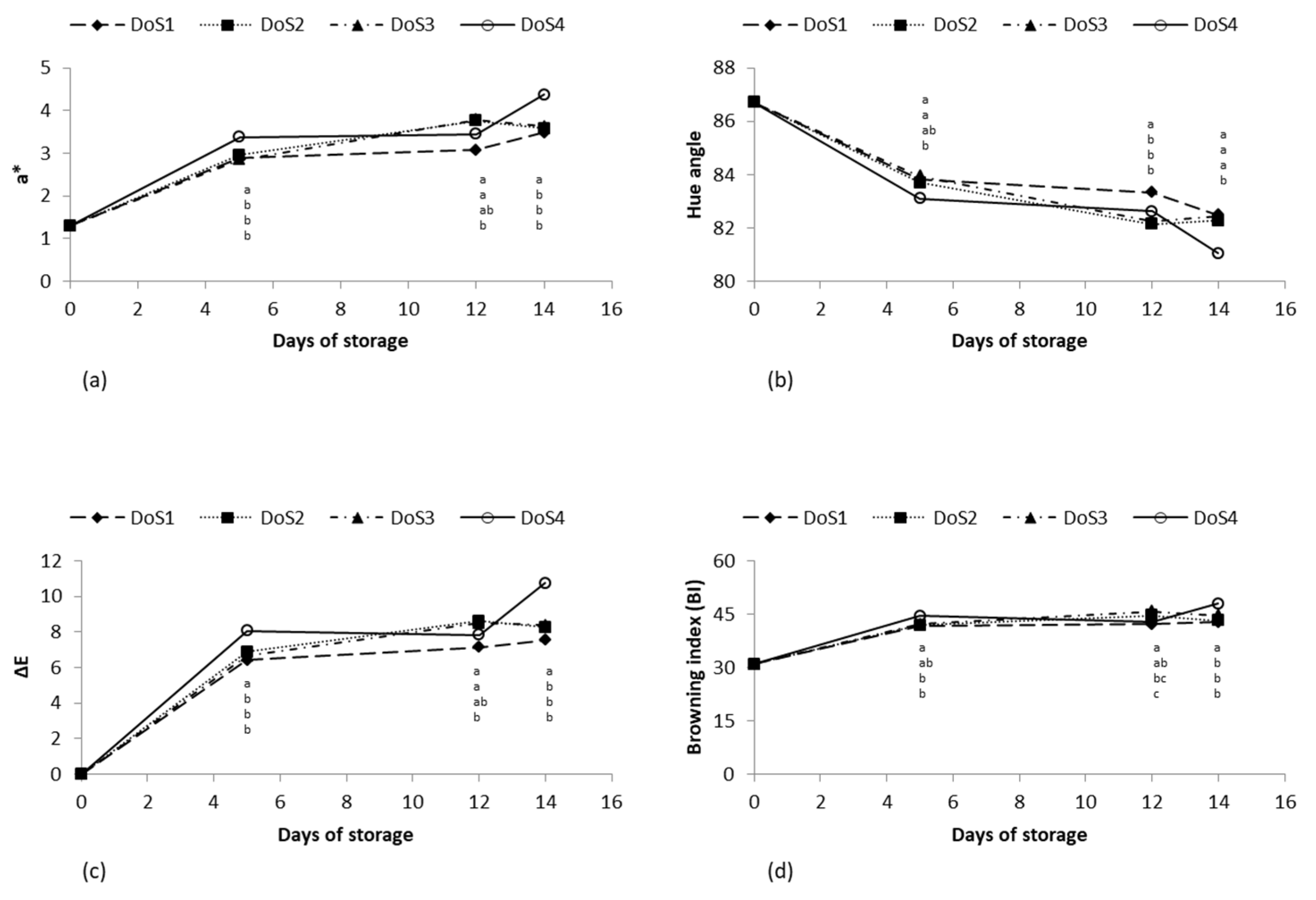
Results related to subjective evaluation of appearances presented so far are further supported by those reported in Figure 4, showing some of the color attributes, including a* value, hue angle, ΔE, and BI.
All apple slices, apart from those cut with the bluntest knife (DoS4), only showed slight increments in terms of the a* value, from an initial 1.3 to about 3.6 after 14 days of storage; slices of treatment DoS4 showed an a* value of 3.4 after only 5 days of storage, reaching a decidedly higher value, equal to 4.4, at the end of the test, which resulted in the highest one and was significantly higher than all the other treatments (Figure 4a). Slices cut with the DoS1 knife always showed the lowest values, but they never resulted statistically different from DoS2 and were different from DoS3 only at the second sampling time. In apple slices cut with the bluntest blade (DoS4), the yellow component (b* value) also showed statistically higher results than the other treatments in sampling 2 and 4 (not reported data). This was confirmed by the pattern shown by the hue angle, which always showed the lowest values for DoS4 treatment and the highest values for DoS1 treatment (Figure 4b). The lowest was the hue angle. The highest was the presence of a brownish component in the hue of the sliced surface, indicating an important negative effect of the use of a blunt blade during the cutting operation for fresh-cut apples. Indeed, the hue angle decreased significantly when the dull blade was used, with values from 83.1 (day 5) to 81.1 (day 14). Additionally, slices cut with DoS2 and DoS3 showed intermediate patterns (Figure 4b). Concerning the values of ΔE, there was a clear trend toward a relevant color change during storage time when DoS4 was used for slicing. Going into details, this difference was appreciated at best when ΔE exceeds a value of three, as it happened between DoS1 and DoS4 after 14 days of storage, depicting a better quality in terms of color when apples are treated with DoS1 (Figure 4c). Last but not least, the values of the browning index summarized the outputs obtained for the other parameters taken into consideration, validating the higher visual quality of fresh-cut apples when cut with a very sharp knife. As shown in Figure 4d, values for DoS4 resulted statistically highest with respect to all other treatments on both day 5 and day 14.
Finally, the results shown in Figure 2 are consistent with those obtained in many other studies conducted on the relationship between the sharpness of a blade and browning symptoms.
To better emphasize the effect of browning due to the use of blades characterized by a different sharpness, DoS values have been related to the browning index values after 14 days of storage (Figure 5). The observation of the regression curve reported in Figure 5 makes it evident that as the DoS increased (and consequently increased the force required to cut into a standard sample), so did the browning index; hence, the higher the mechanical damage, the more prominent the physiological reaction and the consequent effects on quality are. In order to obtain the regression curve, all DoS values for individual knives were used (12 in total) and not just their mean values. The best fitting curve is exponential with a correlation coefficient of r = 0.97, highlighting the greater impact of the degree of sharpness of the used tools on the visual appearance, hence shelf-life, of the fresh-cut apples. Although apparently the best fitting regression curve seems more associated with a linear correlation, the r value in this case resulted slightly lower (0.96) with respect to that obtained when the exponential correlation is performed.
The regression model shows a strong direct correlation between the blade bluntness and the development of browning. This correlation was observed to be positive. With the model proposed, it is possible to presume that for higher values of DoS, the response in terms of tissue damage increases exponentially, and it would be easier to identify a threshold value of DoS after which the fresh-cut apples would be no longer acceptable, although this value is not actually appreciable from the observation of the graph reported in Figure 5.
An exponential fitting also resulted in a high r value (0.93) when the DoS values were plotted against a* values. In this case, as in the previous one, a positive correlation was observed confirming that, as the sharpness of the blade increases (determining a decrease of DoS values), the a* values become lower and lower, confirming that a lower reddish component was present in the color of the apple surface. The observation of the trend of the graph reported in Figure 6 makes evident that the a* values of the apple surfaces cut with blunt blades (with a DoS value of about 190 N) were appreciably higher than the others obtained using sharper blades, as confirmed also by the results reported in Figure 4a. Moreover, the regression curves of the two models presented are strengthened by the values of coefficient of determination R2, 0.93 and 0.86, respectively, pointing out a significant increment of the variance.
As for chemical parameters, only pH and TA changes resulted in any significance and only for the time of storage (Table 1). This is probably because these changes could be attributed to the common post-cutting physiology of the product during the storage time, as partially confirmed in the discussion.

4. Discussion

The impact of cutting methods on the color properties and browning of fresh-cut products, particularly apples, has been extensively studied, revealing several critical insights. A study conducted by Chung et al. [16] evaluated the browning of apples cut by a sharp and blunt knife, respectively. It was concluded by the study that the browning of the apples cut by sharper blades was delayed, whereas those cut using blunt knives showed a higher extent of browning. The effects of cutting and its relationship with browning have also been assessed for eggplant [17]. According to the results in this study, in the eggplants sliced using sharper blades (0.04 mm thickness), browning was significantly inhibited with respect to those sliced by blunt blades. Together with the sharpness of the cutting tool, blade material can affect the browning development, as demonstrated by Zhang et al. [18]. The authors investigated the impact of the cutting method (performed by a stainless steel knife and surgical blade) on the browning index of different apple genotypes. It was concluded by the study that the apples cut with a stainless-steel knife presented a higher browning index as compared to those cut with a surgical blade. The reason why there was this difference in the browning index was related to blade thickness and sharpness since the stainless steel knife was thicker and less sharp as compared to the surgical blade. The use of a different cutting technique, such as ultrasound, can positively affect visual appearance compared to traditional methods, as demonstrated by Yildiz et al. [19]. The authors investigated the effects of ultrasound cutting on apples, comparing it with conventional cutting tools. They tested ultrasound intensities of 0, 30, 40, and 50%, finding that apples cut with ultrasound exhibited significantly higher L* values, indicating a lighter color, compared to those cut conventionally. As higher L* values are inversely related to a* values, it is evident that the use of sharper cutting tools is connected with lower a* values and, consequently, with lower redness and browning.
In addition, it is well known that browning is closely related to tissue degradation caused by biochemical and physiological mechanisms activated by cutting operations, as stated by Incardona et al. [3], who demonstrated that browning is triggered by the disruption of cellular compartmentation during cutting operations. This disruption brings oxidative enzymes like polyphenol oxidase (PPO) and peroxidase (POD) into contact with phenolic compounds, thus initiating browning. Together with this morphological response, translucency is another visual defect occurring almost simultaneously, and it is related to the flooding of browning-related molecules into intercellular spaces, impacting the quality and marketability of fresh-cut products. The use of a sharp blade can reduce these chemical processes since a lower amount of tissue is required in the described mechanisms [20,21].
The same trend was reported for fresh-cut potatoes [22], pears [21], and lettuce [23], where the effects of the cutting procedure turn out to be more appreciable on the cut edges than on the underlying layers, with an effect on discoloration, off-odor, and off-flavor.
Moreover, all these findings were confirmed by the results obtained in the present research regarding the correlation between DoS and browning index (Figure 5) that are also in accordance with those obtained by Incardona et al. [11], who stated that the fitting between three DoS values and BI at 6 days of storage resulted in a coefficient of determination of R2 = 0.99. In that case, mean DoS values for each knife were used in the fitting, and the DoS range (varying from 30 up to 140 N) was narrower than in the present experiment (DoS values varying from 30 up to 190 N). Accordingly, models presented in this study point out a significant portion of the variation in the dependent variables that can be explained by the independent variable.
The trend of the regression curves obtained in the present research and reported in Figure 5 and Figure 6 can find an explanation taking into account that the wounding stress causes an increment in organic acid production in order to inhibit browning reaction [24,25,26]. Moreover, as shown in Table 1 of this paper, SSC, EL, and TPC were not significantly affected by the DoS of the cutting blade nor by the time of storage. Indeed, apple slices cut with the sharpest blade (DoS1) maintained roughly the same phenolic content along the storage time, while those cut with the bluntest blade (DoS4) depicted an initial reduction in phenol content that, after 12 days of storage, increased again to levels similar to the initial ones. This phenomenon can be justified by the fact that upon stress caused by mechanical damage, phenols are oxidized to chinones and other colored products by the presence of oxidative enzymes, while a new synthesis of phenols takes place after the consequent activation of PAL and of the phenylpropanoid metabolism, as also reported by Amodio et al. [27]. The two reactions occur more or less simultaneously and determine the total phenolic content as a consequence of an equilibrium between phenol degradation and de novo synthesis and accumulation. As previously described, oxidation involves endogenous phenols and occurs due to membrane lipid degradation, allowing contact with oxidative enzymes and resulting in a decrease in phenol content. At the same time, cells close to the injured ones and produce new phenols to repair the wound, leading to an accumulation and increase in total phenolic content [28].
On the other hand, the results obtained in the present research related to the EL, although showing nonsignificant differences among treatments, also confirm what was expected: treatments performed with DoS1 lead to a lower leakage in comparison with those obtained using DoS4, since the mechanical damage induced less wound stress on tissues. During cutting operations, more tissue layers, hence more cellular membranes, are disrupted when treated with DoS4, causing loss of compartmentalization and a faster browning of cut surfaces [29]. The use of a sharp blade allows to minimize the activation of wound-stress biochemical and, consequently, physiological and morphological pathways [30], and, on the other hand, to obtain marketable fresh-cut apple slices characterized by an acceptable quality standard.

5. Conclusions

Cutting blade sharpness represents a crucial factor affecting the general quality and, subsequently, the marketability of fresh-cut apples. In this study, it was successfully demonstrated how the use of a blunt blade (expressed as DoS) leads to a significant alteration of physical parameters, portraying an exponential augmentation of the effects of mechanical damage, in particular in terms of browning index. Further studies are obviously needed in order to increase the knowledge on cutting efficiency, allowing us to better define the threshold value above which the physical and chemical properties would worsen dramatically, up until they completely compromise the quality of the apple slices, making them unacceptable and unmarketable.

Author Contributions

Conceptualization, A.I. and G.C.; methodology, M.L.A. and G.C.; software, M.L.A.; validation, G.C.; formal analysis, A.I., D.F. and M.L.A.; investigation, A.I., D.F. and M.L.A.; resources, G.C.; data curation, A.I., D.F. and G.C.; writing—original draft preparation, A.I.; writing—review and editing, A.P. and G.C.; supervision, M.L.A., A.P. and G.C.; project administration, A.P. and G.C.; funding acquisition, A.P. and G.C. All authors have read and agreed to the published version of the manuscript.

Funding

This research received no external funding.

Data Availability Statement

The original contributions presented in the study are included in the article, further inquiries can be directed to the corresponding author.

Conflicts of Interest

The authors declare no conflicts of interest.

References

  1. Yousuf, B.; Deshi, V.; Ozturk, B.; Siddiqui, M.W. Fresh-cut fruits and vegetables: Quality issues and safety concerns. In Fresh-Cut Fruits and Vegetables; Siddiqui, M.W., Ed.; Academic Press: London, UK, 2020; pp. 1–15. [Google Scholar] [CrossRef]
  2. Portela, S.I.; Cantwell, M.I. Cutting Blade Sharpness Affects Appearance and Other Quality Attributes of Fresh-cut Cantaloupe Melon. J. Food Sci. 2001, 66, 1265–1270. [Google Scholar] [CrossRef]
  3. Incardona, A.; Fatchurrahman, D.; Amodio, M.L.; Colelli, G. Reducing mechanical damage induced by fresh-cut processing. Italus Hortus 2022, 29, 1–24. [Google Scholar] [CrossRef]
  4. Han, C.; Jin, P.; Li, M.; Wang, L.; Zheng, Y. Physiological and Transcriptomic Analysis Validates Previous Findings of Changes in Primary Metabolism for the Production of Phenolic Antioxidants in Wounded Carrots. J. Agric. Food Chem. 2017, 65, 7159–7167. [Google Scholar] [CrossRef]
  5. Ansah, F.A.; Amodio, M.L.; Colelli, G. Quality of fresh-cut products as affected by harvest and postharvest operations. J. Sci. Food Agric. 2018, 98, 3614–3626. [Google Scholar] [CrossRef]
  6. Singh, V.; Das, M.; Das, S.K. Effect of varying knife speed and contact area on peak cutting force during slicing of peeled potato (Solanum tuberosum). Int. Food Res. J. 2016, 23, 2513–2518. [Google Scholar]
  7. Bahram-Parvar, M.; Lim, L.-T. Fresh-Cut Onion: A Review on Processing, Health Benefits, and Shelf-Life. Compr. Rev. Food Sci. Food Saf. 2018, 17, 290–308. [Google Scholar] [CrossRef]
  8. Peng, H.; Sthapit Kandel, J.; Michelmore, R.W.; Simko, I. Identification of Factors Affecting the Deterioration Rate of Fresh-Cut Lettuce in Modified Atmosphere Packaging. Food Bioprocess Technol. 2020, 13, 1997–2011. [Google Scholar] [CrossRef]
  9. McCarthy, C.; Hussey, M. On the sharpness of straight edge blades in cutting soft solids: Part I-indentation experiments. Eng. Fract. Mech. 2006, 74, 2205–2224. [Google Scholar] [CrossRef]
  10. Starek, A.; Kusińska, E. Unitary Energy in the Black Radish Cutting Process. Econtechmod 2017, 6, 103–108. [Google Scholar]
  11. Incardona, A.; Amodio, M.L.; Colelli, G. Monitoring the effect of cutting blade sharpness on quality of fresh-cut product. Acta Hortic. 2021, 1319, 67–74. [Google Scholar] [CrossRef]
  12. Palou, E.; Lopez-Malo, A.; Barbosa-Canovas, G.V.; Welti-Chanes, J.; Swanson, B.G. Polyphenoloxidase Activity and Color of Blanched and High Hydrostatic Pressure Treated Banana Puree. J. Food Sci. 1999, 64, 42–45. [Google Scholar] [CrossRef]
  13. Lunadei, L.; Galleguillos, P.; Diezma, B.; Lleó, L.; Ruiz-Garcia, L. A multispectral vision system to evaluate enzymatic browning in fresh-cut apple slices. Postharvest Biol. Technol. 2011, 60, 225–234. [Google Scholar] [CrossRef]
  14. Singleton, V.; Rossi, J.A. Colorimetry of total phenolics with phosphomolybdic-phosphotungstic acid reagents. Am. J. Enol. Viticult 1965, 16, 144–158. [Google Scholar] [CrossRef]
  15. Navarro-Rico, J.; Martínez-Hernández, G.B.; Artés, F.; Artés-Hernández, F.; Gómez, P.A. Effect of Edible Coatings and Electrolyzed Water Sanitation on Fresh-Cut ’Bimi‘ Broccoli Quality. Acta Hortic. 2015, 1071, 463–469. [Google Scholar] [CrossRef]
  16. Chung, H.-S.; Jeong, M.-C.; Moon, K.-D. Effects of Cutting Methods on Qualities of Fresh-Cut Apples and Leafy Vegetables. Korean J. Food Preserv. 2012, 19, 173–177. [Google Scholar] [CrossRef][Green Version]
  17. Mishra, B.B.; Gautam, S.; Sharma, A. Browning of fresh-cut eggplant: Impact of cutting and storage. Postharvest Biol. Technol. 2012, 67, 44–51. [Google Scholar] [CrossRef]
  18. Zhang, M.; Yu, C.; Charles, M.T.; Bondar, A.; Deell, J.; Vasantha Rupasinghe, H.P.; Khanizadeh, S. Browning Index of New Apple Genotypes Developed for Fresh-cut and Processing. Agric. Agrifood Can. Available online: https://www.cyberfruit.info/book-poster/scientific-posters/Maojun09_TO.pdf (accessed on 3 September 2024).
  19. Yildiz, G.; Palma, S.; Feng, H. Ultrasonic Cutting as a New Method to Produce Fresh-Cut Red Delicious and Golden Delicious Apples. J. Food Sci. 2019, 84, 3391–3398. [Google Scholar] [CrossRef]
  20. Finnegan, E.; O’Beirne, D. Characterising and tracking deterioration patterns of fresh-cut fruit using principal component analysis—Part I. Postharvest Biol. Technol. 2015, 100, 73–80. [Google Scholar] [CrossRef]
  21. Li, Z.; Zhang, Y.; Ge, H. The membrane may be an important factor in browning of fresh-cut pear. Food Chem. 2017, 230, 265–270. [Google Scholar] [CrossRef]
  22. Wang, Q.; Cao, Y.; Zhou, L.; Jiang, C.-Z.; Feng, Y.; Wei, S. Effects of postharvest curing treatment on flesh colour and phenolic metabolism in fresh-cut potato products. Food Chem. 2015, 169, 246–254. [Google Scholar] [CrossRef]
  23. Zhan, L.; Li, Y.; Hu, J.; Pang, L.; Fan, H. Browning inhibition and quality preservation of fresh-cut romaine lettuce exposed to high intensity light. Innov. Food Sci. Emerg. Technol. 2012, 14, 70–76. [Google Scholar] [CrossRef]
  24. Berno, N.D.; Tezotto-Uliana, J.V.; dos Santos Dias, C.T.; Kluge, R.A. Storage temperature and type of cut affect the biochemical and physiological characteristics of fresh-cut purple onions. Postharvest Biol. Technol. 2014, 93, 91–96. [Google Scholar] [CrossRef]
  25. Fan, X. Chemical inhibition of polyphenol oxidase and cut surface browning of fresh-cut apples. Crit. Rev. Food Sci. Nutr. 2022, 63, 8737–8751. [Google Scholar] [CrossRef]
  26. Wang, W.; Cao, Z.; Hou, F.; Shi, J.; Jiao, J.; Chen, L.; Gong, Z.; Wang, Y. Quality maintenance mechanism of oxalic acid treatment in fresh-cut apple fruit during storage based on nontarget metabolomics analysis. Food Chem. 2024, 436, 137685. [Google Scholar] [CrossRef] [PubMed]
  27. Amodio, M.L.; Derossi, A.; Colelli, G. Modeling phenolic content during storage of cut fruit and vegetables: A consecutive reaction mechanism. J. Food Eng. 2014, 140, 1–8. [Google Scholar] [CrossRef]
  28. Pradas-Baena, I.; Moreno-Rojas, J.M.; Luque de Castro, M.D. Effect of Processing on Active Compounds in Fresh-Cut Vegetables. In Processing and Impact on Active Components in Food; Elsevier Inc.: Amsterdam, The Netherlands, 2015. [Google Scholar] [CrossRef]
  29. Chung, H.-S.; Moon, K.-D. Browning characteristics of fresh-cut ‘Tsugaru’ apples as affected by pre-slicing storage atmospheres. Food Chem. 2009, 114, 1433–1437. [Google Scholar] [CrossRef]
  30. Nicola, S.; Cocetta, G.; Ferrante, A.; Ertani, A. Fresh-cut produce quality: Implications for postharvest. In Postharvest Handling; Academic Press: Cambridge, MA, USA, 2022; pp. 187–250. [Google Scholar] [CrossRef]
Figure 1. Visual score for fresh-cut apples according to a 5-point scale (from left): 5 = as just cut; 4 = very good; 3 = good (limit of marketability); 2 = fair (limit of usability); and 1 = inedible [13].
Figure 1. Visual score for fresh-cut apples according to a 5-point scale (from left): 5 = as just cut; 4 = very good; 3 = good (limit of marketability); 2 = fair (limit of usability); and 1 = inedible [13].
Horticulturae 10 00955 g001
Figure 2. Effect of the degree of sharpness (DoS = required force exerted by the cutting tool to cut a reference body) on the appearance of fresh-cut apples, initially and after 14 days of storage at 5 °C.
Figure 2. Effect of the degree of sharpness (DoS = required force exerted by the cutting tool to cut a reference body) on the appearance of fresh-cut apples, initially and after 14 days of storage at 5 °C.
Horticulturae 10 00955 g002
Figure 3. Visual score values of fresh-cut apples treated with four different degree of sharpness (DoS = required force exerted by the cutting tool to cut a reference body) stored for 14 days at 5 °C. Different letters indicate statistical differences among the treatments on every sampling day as resulted by Tukey’s test.
Figure 3. Visual score values of fresh-cut apples treated with four different degree of sharpness (DoS = required force exerted by the cutting tool to cut a reference body) stored for 14 days at 5 °C. Different letters indicate statistical differences among the treatments on every sampling day as resulted by Tukey’s test.
Horticulturae 10 00955 g003
Figure 4. (a) a*, (b) hue angle, (c) ΔE, and (d) browning index of fresh-cut ’Golden Delicious‘ apples treated with four different degrees of sharpness (DoS = required force exerted by the cutting tool to cut a reference body) stored for 14 days at 5 °C. Different letters indicate statistical differences among the treatments at every sampling day as resulted by Tukey’s test.
Figure 4. (a) a*, (b) hue angle, (c) ΔE, and (d) browning index of fresh-cut ’Golden Delicious‘ apples treated with four different degrees of sharpness (DoS = required force exerted by the cutting tool to cut a reference body) stored for 14 days at 5 °C. Different letters indicate statistical differences among the treatments at every sampling day as resulted by Tukey’s test.
Horticulturae 10 00955 g004
Figure 5. Regression curve of browning index of fresh-cut apples at 14 days of storage at 5 °C as a function of the Degree of Sharpness (DoS = required force exerted by the cutting tool to cut a reference body) expressed in correlation coefficient (r = 0.97).
Figure 5. Regression curve of browning index of fresh-cut apples at 14 days of storage at 5 °C as a function of the Degree of Sharpness (DoS = required force exerted by the cutting tool to cut a reference body) expressed in correlation coefficient (r = 0.97).
Horticulturae 10 00955 g005
Figure 6. Regression curve obtained by the correlation of a* of fresh-cut apples at 14 days of storage at 5 °C as a function of degree of sharpness (DoS = required force exerted by the cutting tool to cut a reference body) expressed in correlation coefficient (r = 0.93).
Figure 6. Regression curve obtained by the correlation of a* of fresh-cut apples at 14 days of storage at 5 °C as a function of degree of sharpness (DoS = required force exerted by the cutting tool to cut a reference body) expressed in correlation coefficient (r = 0.93).
Horticulturae 10 00955 g006
Table 1. Effect of treatment (A), storage time (B), and their interaction on quality attributes of fresh-cut ’Golden Delicious‘ apples during storage at 5 °C. Within each row, each factor and their interaction have a significant effect for p ≤ 0.01 (**) and p ≤ 0.0001 (****) or are not significant (ns). In each row different letters indicate statistical differences as resulted by Tukey’s test.
Table 1. Effect of treatment (A), storage time (B), and their interaction on quality attributes of fresh-cut ’Golden Delicious‘ apples during storage at 5 °C. Within each row, each factor and their interaction have a significant effect for p ≤ 0.01 (**) and p ≤ 0.0001 (****) or are not significant (ns). In each row different letters indicate statistical differences as resulted by Tukey’s test.
DoS1
(30 N)
DoS2
(100 N)
DoS3
(140 N)
DoS4 (190 N)A: TreatmentB: TimeA × B
Visual score4.0 a3.5 b3.2 c2.9 d************
L*81.2 a81.0 ab80.6 bc80.4 c************
a*2.7 c2.9 ab2.9 b3.1 a************
b*25.3 b25.5 ab25.8 a25.9 a**********
Chroma25.5 b25.7 ab26.1 a26.1 a**********
Hue angle84.1 a83.6 bc83.9 ab83.4 c************
Browning index39.4 c40.0 bc41.1 ab41.4 a************
∆E5.3 c5.9 b5.9 b6.6 a************
pH4.294.214.164.24ns****ns
SSC14.314.814.414.5nsnsns
Titratable acidity (% malic acid)0.440.440.450.4ns**ns
Electrolytic leakage (%)15.317.314.817.9nsnsns
Phenol content (mg gallic acid/100 g)76.679.883.981.1nsnsns
Disclaimer/Publisher’s Note: The statements, opinions and data contained in all publications are solely those of the individual author(s) and contributor(s) and not of MDPI and/or the editor(s). MDPI and/or the editor(s) disclaim responsibility for any injury to people or property resulting from any ideas, methods, instructions or products referred to in the content.

Share and Cite

MDPI and ACS Style

Incardona, A.; Fatchurrahman, D.; Amodio, M.L.; Peruzzi, A.; Colelli, G. Effect of Cutting Blade Sharpness on Physical and Nutritional Quality of Fresh-Cut ’Golden Delicious‘ Apples. Horticulturae 2024, 10, 955. https://doi.org/10.3390/horticulturae10090955

AMA Style

Incardona A, Fatchurrahman D, Amodio ML, Peruzzi A, Colelli G. Effect of Cutting Blade Sharpness on Physical and Nutritional Quality of Fresh-Cut ’Golden Delicious‘ Apples. Horticulturae. 2024; 10(9):955. https://doi.org/10.3390/horticulturae10090955

Chicago/Turabian Style

Incardona, Alessia, Danial Fatchurrahman, Maria Luisa Amodio, Andrea Peruzzi, and Giancarlo Colelli. 2024. "Effect of Cutting Blade Sharpness on Physical and Nutritional Quality of Fresh-Cut ’Golden Delicious‘ Apples" Horticulturae 10, no. 9: 955. https://doi.org/10.3390/horticulturae10090955

APA Style

Incardona, A., Fatchurrahman, D., Amodio, M. L., Peruzzi, A., & Colelli, G. (2024). Effect of Cutting Blade Sharpness on Physical and Nutritional Quality of Fresh-Cut ’Golden Delicious‘ Apples. Horticulturae, 10(9), 955. https://doi.org/10.3390/horticulturae10090955

Note that from the first issue of 2016, this journal uses article numbers instead of page numbers. See further details here.

Article Metrics

Back to TopTop