Poultry-Based Amendments and Cover Crop Residues Enhance Nutrient Cycling and Soil Health in Greenhouse Conditions
Abstract
1. Introduction
2. Materials and Methods
2.1. Study Design and Experimental Setup
2.2. Soil Analyses
2.3. Plant Analyses
2.4. Data Analysis
3. Results
3.1. Soil Inorganic N
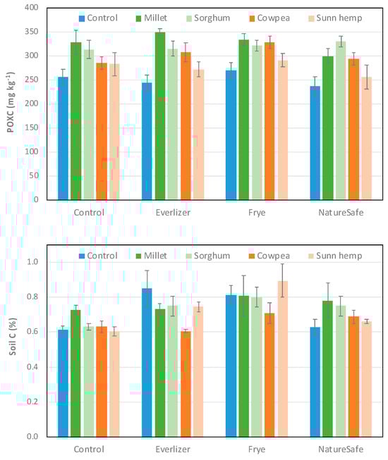
3.2. Soil Health Indicators
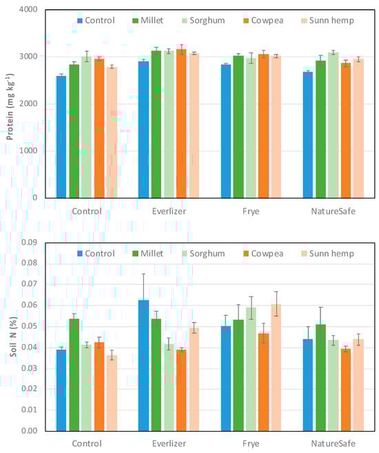
3.3. Plant Responses
4. Discussion
4.1. Effects of Cover Crops and Amendments on N Cycling and Uptake
4.2. Effects of Cover Crops and Amendments on Soil Health Indicators
4.3. Effects of Cover Crops and Amendments on Cash Crop Yield and P and K Uptake
5. Conclusions
Author Contributions
Funding
Data Availability Statement
Acknowledgments
Conflicts of Interest
References
- Chen, J.; Chen, J.-Z.; Tan, M.-Z.; Gong, Z.-T. Soil degradation: A global problem endangering sustainable development. J. Geogr. Sci. 2002, 12, 243–252. [Google Scholar]
- Purwanto, B.H.; Alam, S. Impact of intensive agricultural management on carbon and nitrogen dynamics in the humid tropics. Soil Sci. Plant Nutr. 2020, 66, 50–59. [Google Scholar] [CrossRef]
- Gomiero, T.; Pimentel, D.; Paoletti, M.G. Is there a need for a more sustainable agriculture? CRC Cr. Rev. Plant Sci. 2011, 30, 6–23. [Google Scholar] [CrossRef]
- Scotti, R.; Bonanomi, G.; Scelza, R.; Zoina, A.; Rao, M.A. Organic amendments as sustainable tool to recovery fertility in intensive agricultural systems. J. Soil Sci. Plant Nutr. 2015, 15, 333–352. [Google Scholar] [CrossRef]
- Gopinath, K.A.; Saha, S.; Mina, B.L.; Pande, H.; Kundu, S.; Gupta, H.S. Influence of organic amendments on growth, yield and quality of wheat and on soil properties during transition to organic production. Nutr. Cycl. Agroecosyst. 2008, 82, 51–60. [Google Scholar] [CrossRef]
- Möller, K. Effects of anaerobic digestion on soil carbon and nitrogen turnover, N emissions, and soil biological activity. A review. Agron. Sustain. Dev. 2015, 35, 1021–1041. [Google Scholar] [CrossRef]
- Jannoura, R.; Joergensen, R.G.; Bruns, C. Organic fertilizer effects on growth, crop yield, and soil microbial biomass indices in sole and intercropped peas and oats under organic farming conditions. Eur. J. Agron. 2014, 52, 259–270. [Google Scholar] [CrossRef]
- Watson, C.A.; Atkinson, D.; Gosling, P.; Jackson, L.R.; Rayns, F.W. Managing soil fertility in organic farming systems. Soil Use Manag. 2002, 18, 239–247. [Google Scholar] [CrossRef]
- Hadas, A.; Kautsky, L. Feather meal, a semi-slow-release nitrogen fertilizer for organic farming. Fert. Res. 1994, 38, 165–170. [Google Scholar] [CrossRef]
- Kelley, A.; Wilkie, A.C.; Maltais-Landry, G. Food-based composts provide more soil fertility benefits than cow manure-based composts in sandy soils. Agriculture 2020, 10, 69. [Google Scholar] [CrossRef]
- Quilty, J.R.; Cattle, S.R. Use and understanding of organic amendments in Australian agriculture: A review. Soil Res. 2011, 49, 1–26. [Google Scholar] [CrossRef]
- Bergström, L.; Kirchmann, H.; Aronsson, H.; Torstensson, G.; Mattsson, L. Use efficiency and leaching of nutrients in organic and conventional cropping systems in Sweden. Org. Crop Prod.-Ambitions Limit. 2008, 143–159. [Google Scholar] [CrossRef]
- Stockdale, E.A.; Shepherd, M.A.; Fortune, S.; Cuttle, S.P. Soil fertility in organic farming systems–fundamentally different? Soil Use Manag. 2002, 18, 301–308. [Google Scholar] [CrossRef]
- Watts, D.B.; Torbert, H.A.; Prior, S.A.; Huluka, G. Long-term tillage and poultry litter impacts soil carbon and nitrogen mineralization and fertility. Soil Sci. Soc. Am. J. 2010, 74, 1239–1247. [Google Scholar] [CrossRef]
- Lin, Y.; Watts, D.B.; Van Santen, E.; Cao, G. Influence of poultry litter on crop productivity under different field conditions: A meta-analysis. Agron. J. 2018, 110, 807–818. [Google Scholar] [CrossRef]
- MacDonald, G.K.; Bennett, E.M.; Potter, P.A.; Ramankutty, N. Agronomic phosphorus imbalances across the world’s croplands. Proc. Natl. Acad. Sci. USA 2011, 108, 3086–3091. [Google Scholar] [CrossRef] [PubMed]
- Wong, J.; Ma, K.K.; Fang, K.M.; Cheung, C. Utilization of a manure compost for organic farming in Hong Kong. Bioresour. Technol. 1999, 67, 43–46. [Google Scholar] [CrossRef]
- Hoover, N.L.; Law, J.Y.; Long, L.A.M.; Kanwar, R.S.; Soupir, M.L. Long-term impact of poultry manure on crop yield, soil and water quality, and crop revenue. J. Environ. Manag. 2019, 252, 109582. [Google Scholar] [CrossRef] [PubMed]
- Song, W.; Guo, M. Quality variations of poultry litter biochar generated at different pyrolysis temperatures. J. Anal. Appl. Pyrolysis 2012, 94, 138–145. [Google Scholar] [CrossRef]
- Sohi, S.; Lopez-Capel, E.; Krull, E.; Bol, R. Biochar, climate change and soil: A review to guide future research. CSIRO Land Water Sci. Rep. 2009, 5, 17–31. [Google Scholar]
- Wang, Y.; Lin, Y.; Chiu, P.C.; Imhoff, P.T.; Guo, M. Phosphorus release behaviors of poultry litter biochar as a soil amendment. Sci. Total Environ. 2015, 512, 454–463. [Google Scholar] [CrossRef]
- Brandelli, A.; Sala, L.; Kalil, S.J. Microbial enzymes for bioconversion of poultry waste into added-value products. Food Res. Int. 2015, 73, 3–12. [Google Scholar] [CrossRef]
- Delin, S.; Stenberg, B.; Nyberg, A.; Brohede, L. Potential methods for estimating nitrogen fertilizer value of organic residues. Soil Use Manag. 2012, 28, 283–291. [Google Scholar] [CrossRef]
- Maltais-Landry, G.; Buchanan, C.; Longanecker, J. Using processed fertilizers or composted poultry manure results in similar yields but contrasting nutrient budgets in organic cabbage production. J. Plant Nutr. 2022, 46, 2462–2472. [Google Scholar] [CrossRef]
- Weil, R.; Kremen, A. Thinking across and beyond disciplines to make cover crops pay. J. Sci. Food Agric. 2007, 87, 551–557. [Google Scholar] [CrossRef]
- Allar, J.; Maltais-Landry, G. Limited benefits of summer cover crops on nitrogen cycling in organic vegetable production. Nutr. Cycl. Agroecosyst. 2022, 122, 119–138. [Google Scholar] [CrossRef]
- Truong, T.H.H.; Marschner, P. Respiration, available N and microbial biomass N in soil amended with mixes of organic materials differing in C/N ratio and decomposition stage. Geoderma 2018, 319, 167–174. [Google Scholar] [CrossRef]
- Lehmann, J.; Bossio, D.A.; Kögel-Knabner, I.; Rillig, M.C. The concept and future prospects of soil health. Nat. Rev. Earth Environ. 2020, 1, 544–553. [Google Scholar] [CrossRef]
- Kaufman, P.R. Natural foods supermarkets gaining in popularity. Food Rev./Natl. Food Rev. 1998, 21, 25–27. [Google Scholar]
- Hurisso, T.T.; Moebius-Clune, D.J.; Culman, S.W.; Moebius-Clune, B.N.; Thies, J.E.; van Es, H.M. Soil protein as a rapid soil health indicator of potentially available organic nitrogen. Agric. Environ. Lett. 2018, 3, 180006. [Google Scholar] [CrossRef]
- Lucas, S.T.; Weil, R.R. Can a labile carbon test be used to predict crop responses to improve soil organic matter management? Agron. J. 2012, 104, 1160–1170. [Google Scholar] [CrossRef]
- Bhadha, J.H.; Capasso, J.M.; Khatiwada, R.; Swanson, S.; LaBorde, C. Raising soil organic matter content to improve water holding capacity. EDIS 2017, SL447. [Google Scholar] [CrossRef]
- Mylavarapu, R.; Harris, W.; Hochmuth, G. Agricultural soils of Florida. EDIS 2016, SL441. [Google Scholar] [CrossRef]
- Harris, W.G.; Chrysostome, M.; Obreza, T.A.; Nair, V.D. Soil properties pertinent to horticulture in Florida. HortTechnology 2010, 20, 10–18. [Google Scholar] [CrossRef]
- Lima, I.M.; Boykin, D.L.; Klasson, K.T.; Uchimiya, M. Influence of post-treatment strategies on the properties of activated chars from broiler manure. Chemosphere 2014, 95, 96–104. [Google Scholar] [CrossRef] [PubMed]
- Lima, I.M.; Marshall, W.E. Adsorption of selected environmentally important metals by poultry manure-based granular activated carbons. J. Chem. Technol. Biotechnol. 2005, 80, 1054–1061. [Google Scholar] [CrossRef]
- Freitas, A.M.; Nair, V.D.; Harris, W.G. Biochar as influenced by feedstock variability: Implications and opportunities for phosphorus management. Front. Sustain. Food Syst. 2020, 4, 510982. [Google Scholar] [CrossRef]
- Weatherburn, M.W. Phenol-Hypochlorite reaction for determination of ammonia. Anal. Chem. 1967, 39, 971–974. [Google Scholar] [CrossRef]
- Doane, T.A.; Horwáth, W.R. Spectrophotometric determination of nitrate with a single reagent. Anal. Lett. 2003, 36, 2713–2722. [Google Scholar] [CrossRef]
- Stott, D.E. Recommended Soil Health Indicators and Associated Laboratory Procedures; Soil Health Technical Note No. 450-03; U.S. Department of Agriculture, Natural Resources Conservation Service: Washington, DC, USA, 2019.
- R Core Team. R: A Language and Environment for Statistical Computing; R Foundation for Statistical Computing: Vienna, Austria, 2019. [Google Scholar]
- Lynch, M.J.; Mulvaney, M.J.; Hodges, S.C.; Thompson, T.L.; Thomason, W.E. Decomposition, nitrogen and carbon mineralization from food and cover crop residues in the central plateau of Haiti. Springerplus 2016, 5, 973. [Google Scholar] [CrossRef]
- Teixeira, R.A.; Soares, T.G.; Fernandes, A.R.; Braz, A.M.d.S. Grasses and legumes as cover crop in no-tillage system in northeastern Pará Brazil. Acta Amaz. 2014, 44, 411–418. [Google Scholar] [CrossRef]
- Li, J.; Zhao, X.; Maltais-Landry, G.; Paudel, B.R. Dynamics of soil nitrogen availability following sunn hemp residue incorporation in organic strawberry production systems. HortScience 2021, 56, 138–146. [Google Scholar] [CrossRef]
- Geisseler, D.; Smith, R.; Cahn, M.; Muramoto, J. Nitrogen mineralization from organic fertilizers and composts: Literature survey and model fitting. J. Environ. Qual. 2021, 50, 1325–1338. [Google Scholar] [CrossRef] [PubMed]
- Clough, T.J.; Condron, L.M.; Kammann, C.; Müller, C. A review of biochar and soil nitrogen dynamics. Agronomy 2013, 3, 275–293. [Google Scholar] [CrossRef]
- Rondon, M.A.; Lehmann, J.; Ramírez, J.; Hurtado, M. Biological nitrogen fixation by common beans (Phaseolus vulgaris L.) increases with bio-char additions. Biol. Fert. Soils 2007, 43, 699–708. [Google Scholar] [CrossRef]
- Palanivell, P.; Ahmed, O.H.; Latifah, O.; Abdul Majid, N.M. Adsorption and desorption of nitrogen, phosphorus, potassium, and soil buffering capacity following application of chicken litter biochar to an acid soil. Appl. Sci. 2019, 10, 295. [Google Scholar] [CrossRef]
- Fine, A.K.; van Es, H.M.; Schindelbeck, R.R. Statistics, scoring functions, and regional analysis of a comprehensive soil health database. Soil Sci. Soc. Am. J. 2017, 81, 589–601. [Google Scholar] [CrossRef]
- Wright, S.F.; Starr, J.L.; Paltineanu, I.C. Changes in aggregate stability and concentration of glomalin, a glycoprotein produced by arbuscular mycorrhizal fungi, during transition from plow-to no-till management. Soil Sci. Soc. Am. J. 1999, 63, 1825–1829. [Google Scholar] [CrossRef]
- Marshall, C.B.; Burton, D.L.; Lynch, D.H. Cover crops improve some, but not all, soil health indicators in horticultural rotations. Can. J. Plant Sci. 2021, 102, 1–10. [Google Scholar] [CrossRef]
- Kobierski, M.; Bartkowiak, A.; Lemanowicz, J.; Piekarczyk, M. Impact of poultry manure fertilization on chemical and biochemical properties of soils. Plant Soil Environ. 2017, 63, 558–563. [Google Scholar] [CrossRef]
- Tejada, M.; Garcia, C.; Gonzalez, J.L.; Hernandez, M.T. Use of organic amendment as a strategy for saline soil remediation: Influence on the physical, chemical and biological properties of soil. Soil Biol. Biochem. 2006, 38, 1413–1421. [Google Scholar] [CrossRef]
- Calderón, F.J.; Culman, S.; Six, J.; Franzluebbers, A.J.; Schipanski, M.; Beniston, J.; Grandy, S.; Kong, A.Y. Quantification of soil permanganate oxidizable C (POXC) using infrared spectroscopy. Soil Sci. Soc. Am. J. 2017, 81, 277–288. [Google Scholar] [CrossRef]
- Wade, J.; Maltais-Landry, G.; Lucas, D.E.; Bongiorno, G.; Bowles, T.M.; Calderón, F.J.; Culman, S.W.; Daughtridge, R.; Ernakovich, J.G.; Fonte, S.J. Assessing the sensitivity and repeatability of permanganate oxidizable carbon as a soil health metric: An interlab comparison across soils. Geoderma 2020, 366, 114235. [Google Scholar] [CrossRef]
- Wooliver, R.; Jagadamma, S. Response of soil organic carbon fractions to cover cropping: A meta-analysis of agroecosystems. Agric. Ecosyst. Environ. 2023, 351, 108497. [Google Scholar] [CrossRef]
- Zhang, Z.; Kaye, J.P.; Bradley, B.A.; Amsili, J.P.; Suseela, V. Cover crop functional types differentially alter the content and composition of soil organic carbon in particulate and mineral-associated fractions. Glob. Chang. Biol. 2022, 28, 5831–5848. [Google Scholar] [CrossRef] [PubMed]
- Webster, E.; Gaudin, A.C.; Pulleman, M.; Siles, P.; Fonte, S.J. Improved pastures support early indicators of soil restoration in low-input agroecosystems of Nicaragua. Environ. Manag. 2019, 64, 201–212. [Google Scholar] [CrossRef] [PubMed]
- Lentz, R.D.; Ippolito, J.A. Biochar and manure affect calcareous soil and corn silage nutrient concentrations and uptake. J. Environ. Qual. 2012, 41, 1033–1043. [Google Scholar] [CrossRef] [PubMed]
- Nguyen, T.T.; Marschner, P. Soil respiration, microbial biomass and nutrient availability in soil after repeated addition of low and high C/N plant residues. Biol. Fertil. Soils 2016, 52, 165–176. [Google Scholar] [CrossRef]
- Xiang, Y.; Li, Y.; Luo, X.; Liu, Y.; Yue, X.; Yao, B.; Xue, J.; Zhang, L.; Fan, J.; Xu, X.; et al. Manure properties, soil conditions and managerial factors regulate greenhouse vegetable yield with organic fertilizer application across China. Front. Plant Sci. 2022, 13, 1009631. [Google Scholar] [CrossRef]
- Usherwood, N.R.; Segars, W.I. Nitrogen interactions with phosphorus and potassium for optimum crop yield, nitrogen use effectiveness, and environmental stewardship. Sci. World J. 2001, 11, 57–60. [Google Scholar] [CrossRef]



| Input | Carbon | Total Nitrogen 1 | Phosphorus | Potassium | ||||
|---|---|---|---|---|---|---|---|---|
| % | Input (kg C ha−1) | % | Input (kg N ha−1) | % | Input (kg P ha−1) | % | Input (kg K ha−1) | |
| Amendments | ||||||||
| NatureSafe fertilizer | 40 | 536 | 10 | 134 | 0.87 | 12 | 6.6 | 89 |
| Frye biochar | 32 | 4100 | 3.4 | 428 | 2.5 | 317 | 5.4 | 700 |
| Everlizer manure | 34 | 4700 | 3.1 | 431 | 1.7 | 238 | 4.3 | 594 |
| Cover crop residues | ||||||||
| Cowpea | 43 | 5400 | 3.0 | 380 | 0.41 | 52 | 2.9 | 367 |
| Millet | 42 | 5200 | 2.1 | 263 | 0.57 | 72 | 4.3 | 536 |
| S. sudangrass | 44 | 5500 | 1.9 | 239 | 0.45 | 56 | 2.2 | 271 |
| Sunn hemp | 44 | 5500 | 2.3 | 295 | 0.26 | 33 | 2.0 | 252 |
| Time | Amendment | Cover Crop | ANOVA | |||||
|---|---|---|---|---|---|---|---|---|
| Control | Millet | Sorghum | Cowpea | Sunn Hemp | Factor | Sig | ||
| 28 DAA | Control | 0.4 ± 0.1 a D * | 1.1 ± 0.2 b C | 1.4 ± 0.3 b BC | 4.7 ± 0.7 b A | 2.7 ± 0.2 b AB | Amendment | p < 0.001 |
| Everlizer | 2.2 ± 0.5 a B | 1.6 ± 0.1 b B | 1.6 ± 0.4 ab B | 4.8 ± 0.4 b A | 3.5 ± 0.7 b AB | Cover crop | p < 0.001 | |
| Frye | 2.4 ± 0.7 a B | 1.6 ± 0.2 b B | 1.6 ± 0.3 ab B | 6.3 ± 1.3 b A | 2.8 ± 0.3 b AB | Interaction | p = 0.01 | |
| NatureSafe | 2.7 ± 0.7 a C | 3.8 ± 0.5 a BC | 3.7 ± 0.9 a BC | 13.2 ± 2.1 a A | 6.1 ± 0.5 a AB | |||
| 44 DAA | Control | 0.2 ± 0.1 b D | 0.5 ± 0.1 c D | 1.0 ± 0.1 c C | 7.6 ± 1.0 b A | 2.6 ± 0.3 c B | Amendment | p < 0.001 |
| Everlizer | 2.4 ± 0.5 a B | 2.9 ± 0.5 ab B | 2.5 ± 0.4 b B | 8.1 ± 1.3 b A | 7.9 ± 3.6 b AB | Cover crop | p < 0.001 | |
| Frye | 2.9 ± 1.0 a B | 1.8 ± 0.4 bc B | 1.9 ± 0.2 b B | 9.4 ± 0.7 b A | 4.1 ± 0.6 bc B | Interaction | p < 0.001 | |
| NatureSafe | 6.3 ± 1.0 a B | 4.2 ± 0.7 a B | 5.6 ± 1.4 a B | 26.6 ± 5.3 a A | 16.5 ± 2.0 a A | |||
| 58 DAA | Control | 1.2 ± 0.2 | 1.1 ± 0.2 | 2.6 ± 0.7 | 14.2 ± 3.2 | 3.9 ± 0.5 | Amendment | p < 0.001 |
| Everlizer | 9.8 ± 2.9 | 5.1 ± 2.0 | 3.8 ± 0.4 | 20.3 ± 5.2 | 14.0 ± 4.2 | Cover crop | p < 0.001 | |
| Frye | 5.2 ± 3.3 | 2.3 ± 0.5 | 2.4 ± 0.4 | 12.8 ± 3.7 | 6.4 ± 2.2 | Interaction | p = 0.42 X | |
| NatureSafe | 12.6 ± 3.3 | 8.5 ± 2.3 | 13.3 ± 3.1 | 51.0 ± 9.5 | 30.4 ± 6.3 | |||
| 72 DAA | Control | 0.3 ± 0.1 b D | 0.8 ± 0.1 c C | 1.2 ± 0.1 b BC | 11.7 ± 1.4 a A | 3.3 ± 1.2 a B | Amendment | p < 0.001 |
| Everlizer | 1.8 ± 0.4 a A | 2.3 ± 0.2 b A | 4.7 ± 1.4 a A | 12.6 ± 7.9 a A | 7.4 ± 2.8 a A | Cover crop | p < 0.001 | |
| Frye | 0.5 ± 0.1 b B | 1.1 ± 0.2 bc AB | 1.3 ± 0.2 b AB | 1.0 ± 0.2 b AB | 3.8 ± 2.2 a A | Interaction | p < 0.001 | |
| NatureSafe | 4.2 ± 1.3 a A | 7.4 ± 2.6 a A | 5.9 ± 2.3 a A | 12.5 ± 4.2 a A | 13.4 ± 4.0 a A | |||
| 85 DAA | Control | 0.3 ± 0.1 | 0.3 ± 0.0 | 0.9 ± 0.1 | 0.6 ± 0.2 | 0.6 ± 0.1 | Amendment | p < 0.001 |
| Everlizer | 0.8 ± 0.2 | 0.8 ± 0.1 | 1.1 ± 0.1 | 1.0 ± 0.2 | 2.8 ± 1.5 | Cover crop | p = 0.002 | |
| Frye | 0.6 ± 0.1 | 1.1 ± 0.3 | 0.6 ± 0.1 | 0.9 ± 0.2 | 0.9 ± 0.3 | Interaction | p = 0.13 X | |
| NatureSafe | 0.5 ± 0.1 | 0.9 ± 0.3 | 1.3 ± 0.3 | 0.5 ± 0.2 † | 1.2 ± 0.1 | |||
| Amendment | Cover Crops | ANOVA | ||||||
|---|---|---|---|---|---|---|---|---|
| Control | Millet | Sorghum | Cowpea | Sunn hemp | Factor | Sig. | ||
| N uptake | Control | 0.4 ± 0.1 b B * | 0.5 ± 0.1 b B | 1.2 ± 0.4 a AB | 2.4 ± 0.5 b A | 1.4 ± 0.3 b AB | Amendment | p < 0.001 |
| Everlizer | 2.3 ± 0.8 a A | 2.6 ± 0.5 a A | 2.6 ± 0.7 a A | 3.5 ± 0.6 ab A | 2.8 ± 0.7 b A | Cover crop | p < 0.001 | |
| Frye | 3.5 ± 0.7 a B | 3.3 ± 0.3 a B | 3.1 ± 0.6 a B | 15.6 ± 3.8 a A | 6.4 ± 1.0 a B | Interaction | p < 0.01 | |
| NatureSafe | 1.1 ± 0.3 ab A | 2.1 ± 0.4 ab A | 2.9 ± 0.9 a A | 1.3 ± 0.4 b A | 1.4 ± 0.7 b A | |||
| P uptake | Control | 0.1 ± 0.0 c B | 0.3 ± 0.0 c AB | 0.3 ± 0.1 b A | 0.4 ± 0.1 bc A | 0.3 ± 0.1 c AB | Amendment | p < 0.001 |
| Everlizer | 0.7 ± 0.2 ab A | 0.8 ± 0.2 ab A | 0.5 ± 0.1 b A | 0.7 ± 0.1 b A | 0.7 ± 0.2 b A | Cover crop | p = 0.08 | |
| Frye | 2.3 ± 0.8 a AB | 1.3 ± 0.3 a B | 1.3 ± 0.3 a B | 5.3 ± 1.2 a A | 2.4 ± 0.4 a AB | Interaction | p < 0.01 | |
| NatureSafe | 0.2 ± 0.1 bc A | 0.4 ± 0.0 bc A | 0.5 ± 0.1 b A | 0.2 ± 0.1 c A | 0.2 ± 0.0 c A | |||
| K uptake | Control | 0.1 ± 0.0 c C | 1.0 ± 0.2 b A | 0.9 ± 0.2 b AB | 0.4 ± 0.1 bc BC | 0.2 ± 0.1 b C | Amendment | p < 0.001 |
| Everlizer | 0.5 ± 0.2 b A | 1.2 ± 0.5 b A | 0.5 ± 0.2 b A | 0.5 ± 0.1 b A | 0.7 ± 0.1 b A | Cover crop | p < 0.001 | |
| Frye | 7.7 ± 2.4 a A | 7.9 ± 1.2 a A | 5.8 ± 1.3 a A | 10.8 ± 2.7 a A | 7.4 ± 0.3 a A | Interaction | p = 0.015 | |
| NatureSafe | 0.1 ± 0.0 c A | 0.4 ± 0.1 b A | 0.5 ± 0.2 b A | 0.2 ± 0.1 c A | 0.1 ± 0.0 b A | |||
Disclaimer/Publisher’s Note: The statements, opinions and data contained in all publications are solely those of the individual author(s) and contributor(s) and not of MDPI and/or the editor(s). MDPI and/or the editor(s) disclaim responsibility for any injury to people or property resulting from any ideas, methods, instructions or products referred to in the content. |
© 2024 by the authors. Licensee MDPI, Basel, Switzerland. This article is an open access article distributed under the terms and conditions of the Creative Commons Attribution (CC BY) license (https://creativecommons.org/licenses/by/4.0/).
Share and Cite
Freidenreich, A.; Pelegrina, G.; Victores, S.; Maltais-Landry, G. Poultry-Based Amendments and Cover Crop Residues Enhance Nutrient Cycling and Soil Health in Greenhouse Conditions. Horticulturae 2024, 10, 594. https://doi.org/10.3390/horticulturae10060594
Freidenreich A, Pelegrina G, Victores S, Maltais-Landry G. Poultry-Based Amendments and Cover Crop Residues Enhance Nutrient Cycling and Soil Health in Greenhouse Conditions. Horticulturae. 2024; 10(6):594. https://doi.org/10.3390/horticulturae10060594
Chicago/Turabian StyleFreidenreich, Ariel, Gabriel Pelegrina, Samantha Victores, and Gabriel Maltais-Landry. 2024. "Poultry-Based Amendments and Cover Crop Residues Enhance Nutrient Cycling and Soil Health in Greenhouse Conditions" Horticulturae 10, no. 6: 594. https://doi.org/10.3390/horticulturae10060594
APA StyleFreidenreich, A., Pelegrina, G., Victores, S., & Maltais-Landry, G. (2024). Poultry-Based Amendments and Cover Crop Residues Enhance Nutrient Cycling and Soil Health in Greenhouse Conditions. Horticulturae, 10(6), 594. https://doi.org/10.3390/horticulturae10060594

