Very High-Power Short-Duration (HPSD) Ablation for Pulmonary Vein Isolation: Short and Long-Term Outcome Data
Abstract
:1. Introduction
2. Methods
2.1. Study Population
2.2. Atrial Fibrillation Ablation Procedure
2.3. Follow-Up/Study Outcomes
2.4. Assessment of Patients’ Health Status
2.5. Statistical Analysis
3. Results
3.1. Study Population
3.2. Atrial Fibrillation Ablation Procedure
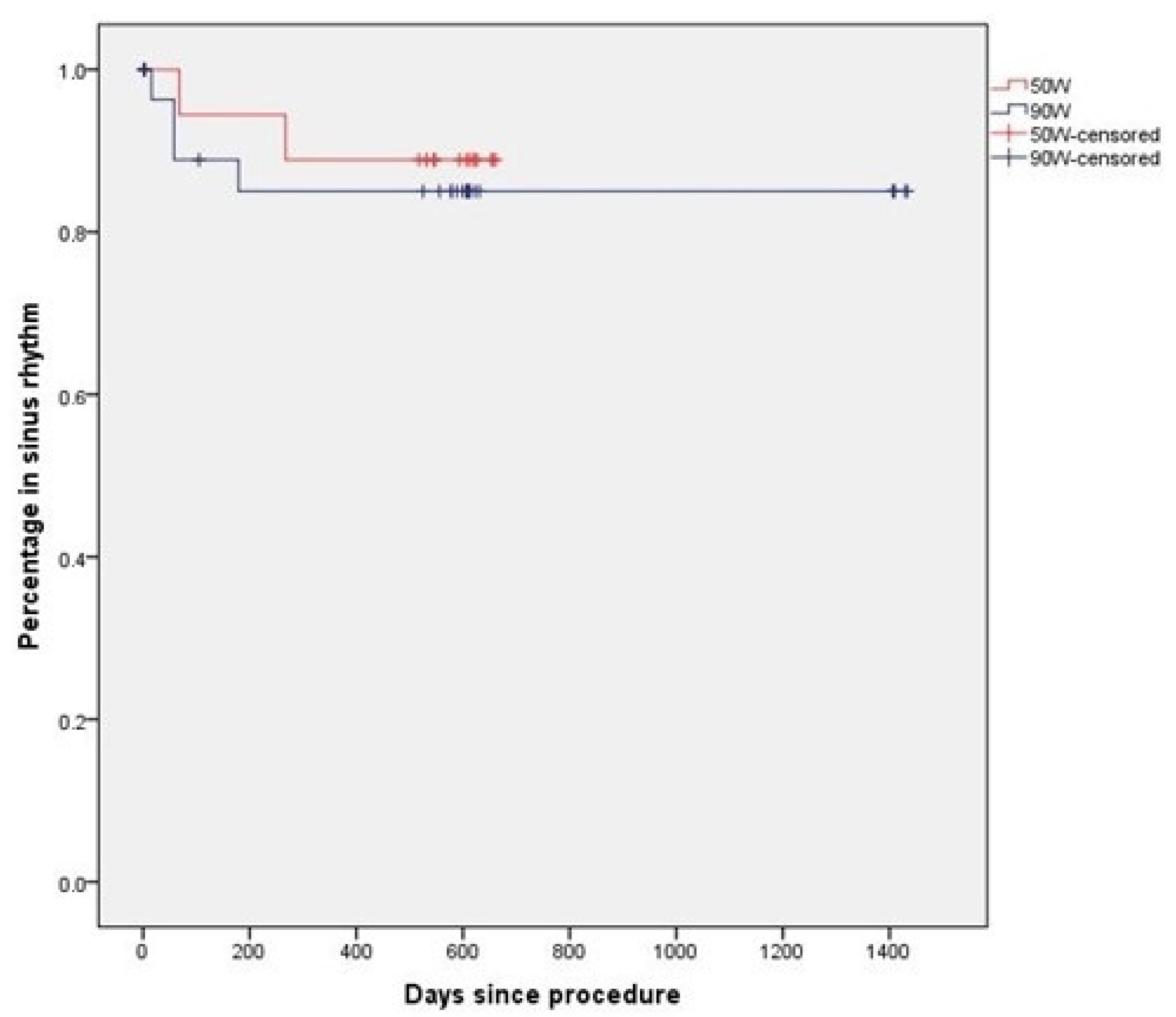
3.3. Short and Long-Term Outcomes
3.4. Health Status Outcomes
4. Discussion
5. Limitations
6. Conclusions
Author Contributions
Funding
Institutional Review Board Statement
Informed Consent Statement
Data Availability Statement
Conflicts of Interest
References
- Gallagher, C.; Hendriks, J.M.; Giles, L.; Karnon, J.; Pham, C.; Elliott, A.D.; Wong, C.X. Increasing trends in hospitalisations due to atrial fibrillation in Australia from 1993 to 2013. Heart 2019, 105, 1358–1363. [Google Scholar] [CrossRef] [PubMed]
- Hindricks, G.; Potpara, T.; Dagres, N.; Arbelo, E.; Bax, J.J.; Blomström-Lundqvist, C.; Watkins, C.L. 2020 ESC Guidelines for the diagnosis and management of atrial fibrillation developed with the European Association of Cardio-Thoracic Surgery (EACTS). Eur. Heart J. 2020, 42, 373–498. [Google Scholar] [CrossRef] [PubMed]
- Calkins, H.; Hindricks, G.; Cappato, R.; Kim, Y.H.; Saad, E.B.; Aguinaga, L.; Willems, S. 2017 HRS/EHRA/ECAS/APHRS/SOLAECE expert consensus statement on catheter and surgical ablation of atrial fibrillation: Executive summary. EP Eur. 2018, 20, 157–208. [Google Scholar] [CrossRef]
- Leshem, E.; Zilberman, I.; Tschabrunn, C.M.; Barkagan, M.; Contreras-Valdes, F.M.; Govari, A.; Anter, E. High-Power and Short-Duration Ablation for Pulmonary Vein Isolation: Biophysical Characterization. JACC Clin. Electrophysiol. 2018, 4, 467–479. [Google Scholar] [CrossRef] [PubMed]
- Barkagan, M.; Contreras-Valdes, F.M.; Leshem, E.; Buxton, A.E.; Nakagawa, H.; Anter, E. High power and short-duration ablation for pulmonary vein isolation: Safety, efficacy, and long-term durability. J. Cardiovasc. Electrophysiol. 2018, 29, 1287–1296. [Google Scholar] [CrossRef] [PubMed]
- Reddy, V.; Grimaldi, M.; De Potter, T.; Vijgen, J.; Bulava, A.; Duytschaever, M.; Martinek, M.; Natale, A.; Knecht, S.; Neuzil, P.; et al. Pulmonary Vein Isolation With Very High Power, Short Duration, Temperature-Controlled Lesions: The QDOT-FAST Trial. JACC Clin. Electrophysiol. 2019, 5, 778–786. [Google Scholar] [CrossRef] [PubMed]
- Phlips, T.; Taghji, P.; El Haddad, M.; Wolf, M.; Knecht, S.; Vandekerckhove, Y.; Tavernier, R.; Duytschaever, M. Improving procedural and one-year outcome after contact force-guided pulmonary vein isolation: The role of interlesion distance, ablation index, and contact force variability in the ‘CLOSE’-protocol. EP Eur. 2018, 20, f419–f427. [Google Scholar] [CrossRef]
- Spertus, J.; Dorian, P.; Bubien, R.; Lewis, S.; Godejohn, D.; Reynolds, M.R.; Lakkireddy, D.R.; Wimmer, A.P.; Bhandari, A.; Burk, C. Development and validation of the Atrial Fibrillation Effect on QualiTy-of-Life (AFEQT) Questionnaire in patients with atrial fibrillation. Circ. Arrhythm. Electrophysiol. 2011, 4, 15–25. [Google Scholar] [CrossRef] [PubMed]
- Wynn, G.J.; Todd, D.M.; Webber, M.; Bonnett, L.; McShane, J.; Kirchhof, P.; Gupta, D. The European Heart Rhythm Association symptom classification for atrial fibrillation: Validation and improvement through a simple modification. Europace 2014, 16, 965–972. [Google Scholar] [CrossRef] [PubMed]
- Bortone, A.; Albenque, J.-P.; Ramirez, D.; Haissaguerre, M.; Combes, S.; Constatin, M.; Laborie, G.; Braut-Noble, G.; Marihon, E.; Jais, P.; et al. 90 vs 50-Watt Radiofrequency Applications for Pulmonary Vein Isolation: Experimental and Clinical Findings. Circ. Arrhythm. Electrophysiol. 2022, 15, e10663. [Google Scholar] [CrossRef] [PubMed]
- Sikorska, A.; Baran, J.; Piotrowski, R.; Krynski, R.; Szymot, J.; Soszynska, M.; Kulakowski, P. Daily ECG transmission versus serial 6-day Holter ECG for the assessment if efficacy of ablation for atrial fibrillation—The AGNES-ECG study. J. Interv. Card. Electrophysiol. 2022, 1–8. [Google Scholar] [CrossRef] [PubMed]
- Hermans, A.; Gawalko, M.; Pluymaekers, N.A.; Dinh, T.; Weijs, B.; van Mourik, M.J.; Vorstermans, B.; den Uijl, D.W.; Opsteyn, L.; Snippe, H.; et al. Long-term intermittent versus short continuous heart rhythm monitoring for the detection of atrial fibrillation recurrences after catheter ablation. Int. J. Cardiol. 2021, 329, 105–112. [Google Scholar] [CrossRef] [PubMed]






Publisher’s Note: MDPI stays neutral with regard to jurisdictional claims in published maps and institutional affiliations. |
© 2022 by the authors. Licensee MDPI, Basel, Switzerland. This article is an open access article distributed under the terms and conditions of the Creative Commons Attribution (CC BY) license (https://creativecommons.org/licenses/by/4.0/).
Share and Cite
Seidl, S.; Mülleder, T.; Kaiblinger, J.; Sieghartsleitner, S.; Alibegovic-Zaborsky, J.; Sigmund, E.; Derndorfer, M.; Kollias, G.; Pürerfellner, H.; Martinek, M. Very High-Power Short-Duration (HPSD) Ablation for Pulmonary Vein Isolation: Short and Long-Term Outcome Data. J. Cardiovasc. Dev. Dis. 2022, 9, 278. https://doi.org/10.3390/jcdd9080278
Seidl S, Mülleder T, Kaiblinger J, Sieghartsleitner S, Alibegovic-Zaborsky J, Sigmund E, Derndorfer M, Kollias G, Pürerfellner H, Martinek M. Very High-Power Short-Duration (HPSD) Ablation for Pulmonary Vein Isolation: Short and Long-Term Outcome Data. Journal of Cardiovascular Development and Disease. 2022; 9(8):278. https://doi.org/10.3390/jcdd9080278
Chicago/Turabian StyleSeidl, Sebastian, Tanja Mülleder, Josef Kaiblinger, Stefan Sieghartsleitner, Jasmina Alibegovic-Zaborsky, Elisabeth Sigmund, Michael Derndorfer, Georg Kollias, Helmut Pürerfellner, and Martin Martinek. 2022. "Very High-Power Short-Duration (HPSD) Ablation for Pulmonary Vein Isolation: Short and Long-Term Outcome Data" Journal of Cardiovascular Development and Disease 9, no. 8: 278. https://doi.org/10.3390/jcdd9080278
APA StyleSeidl, S., Mülleder, T., Kaiblinger, J., Sieghartsleitner, S., Alibegovic-Zaborsky, J., Sigmund, E., Derndorfer, M., Kollias, G., Pürerfellner, H., & Martinek, M. (2022). Very High-Power Short-Duration (HPSD) Ablation for Pulmonary Vein Isolation: Short and Long-Term Outcome Data. Journal of Cardiovascular Development and Disease, 9(8), 278. https://doi.org/10.3390/jcdd9080278

