The Association of Socioeconomic Status (SES) with Procedural Management and Mortality After Percutaneous Coronary Intervention (PCI): An Observational Study from the Pan-London PCI (BCIS) Registry
Abstract
1. Introduction
Aims
2. Methods
2.1. Pan-London PCI Registry
2.2. Study Population and Procedures
2.3. Socio-Economic Status
2.4. Clinical Outcomes
2.5. Ethics
2.6. Statistical Analysis
3. Results
3.1. Baseline Characteristics
3.2. Procedural Characteristics
3.3. Procedural Outcomes
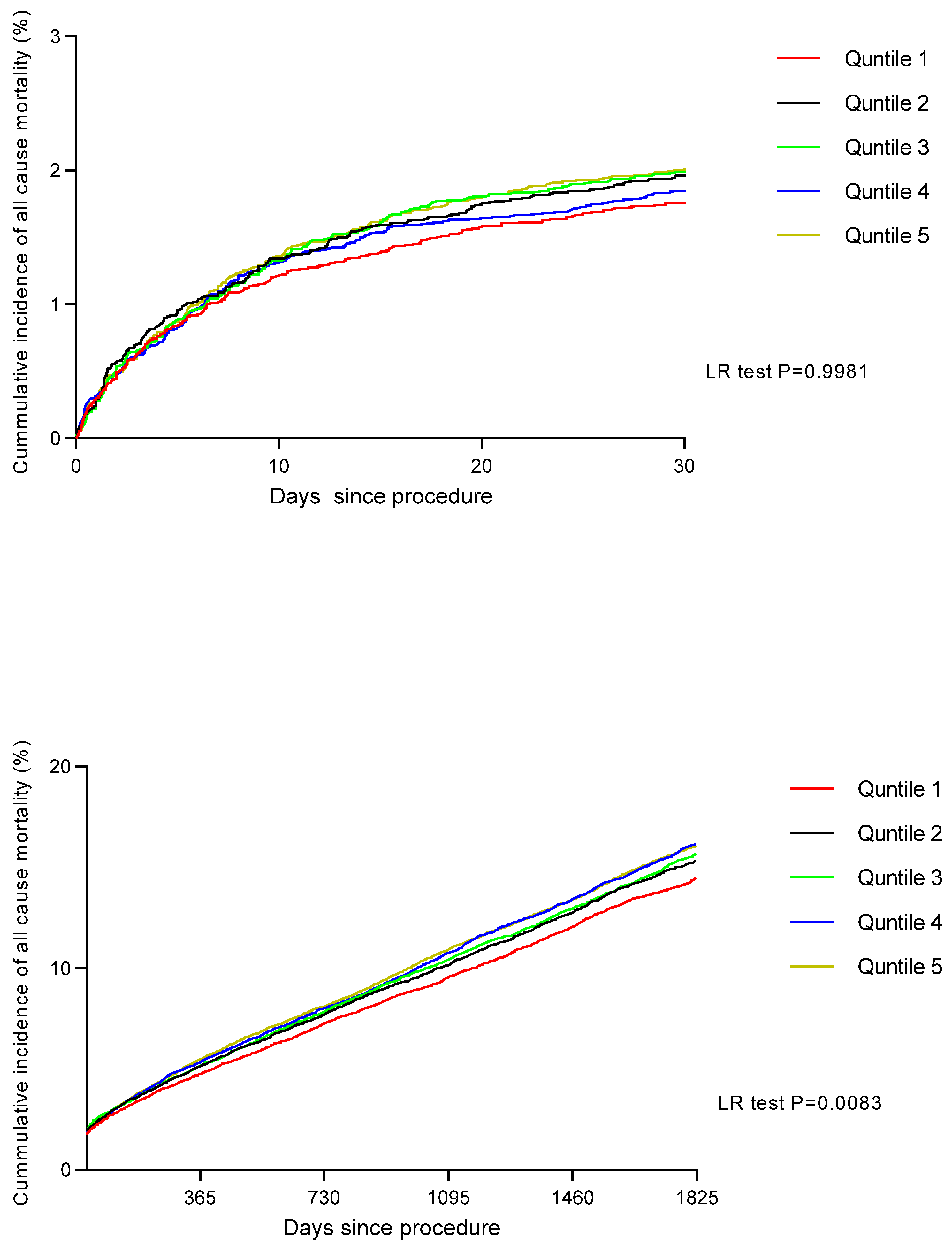
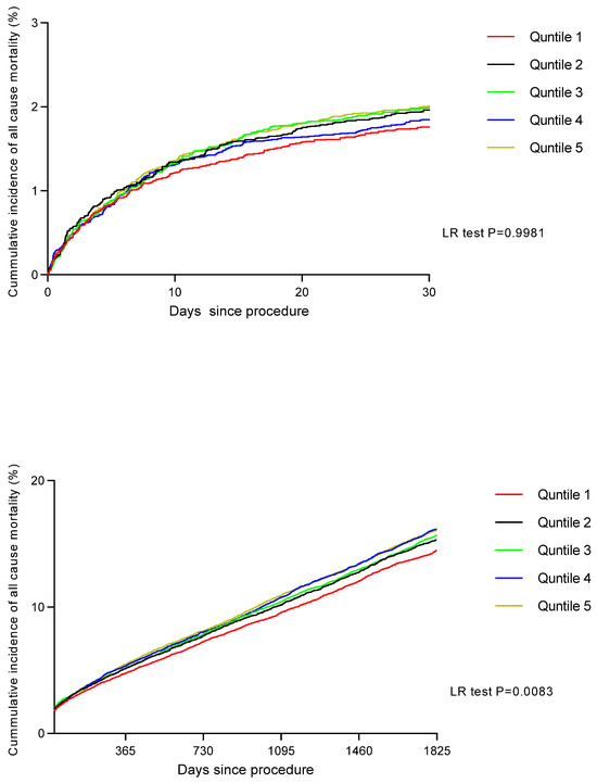
3.4. Long-Term Outcomes
4. Discussion
5. Limitations
6. Future Perspectives
7. Conclusions
Author Contributions
Funding
Institutional Review Board Statement
Informed Consent Statement
Data Availability Statement
Conflicts of Interest
References
- Davey-Smith, G.; Dorling, D.; Mitchell, R.; Shaw, M. Health inequalities in Britain: Continuing increases up to the end of the 20th century. J. Epidemiol. Community Health 2002, 56, 434–435. [Google Scholar] [CrossRef] [PubMed]
- Suadicani, P.; Hein, H.O.; Gyntelberg, F. Socioeconomic status and ischaemic heart disease mortality in middle-aged men: Importance of the duration of follow-up. The Copenhagen Male Study. Int. J. Epidemiol. 2001, 30, 248–255. [Google Scholar] [CrossRef] [PubMed]
- Jakobsen, L.; Niemann, T.; Thorsgaard, N.; Thuesen, L.; Lassen, J.F.; Jensen, L.O.; Thayssen, P.; Ravkilde, J.; Tilsted, H.H.; Mehnert, F.; et al. Dimensions of socioeconomic status and clinical outcome after primary percutaneous coronary intervention. Circ. Cardiovasc. Interv. 2012, 5, 641–648. [Google Scholar] [CrossRef] [PubMed]
- Moledina, A.; Tang, K.L. Socioeconomic Status, Mortality, and Access to Cardiac Services After Acute Myocardial Infarction in Canada: A Systematic Review and Meta-analysis. CJC Open 2021, 3, 950–964. [Google Scholar] [CrossRef]
- Biswas, S.; Andrianopoulos, N.; Duffy, S.J.; Lefkovits, J.; Brennan, A.; Walton, A.; Chan, W.; Noaman, S.; Shaw, J.A.; Ajani, A.; et al. Impact of Socioeconomic Status on Clinical Outcomes in Patients With ST-Segment-Elevation Myocardial Infarction. Circ. Cardiovasc. Qual. Outcomes 2019, 12, e004979. [Google Scholar] [CrossRef]
- Morris, R.W.; Whincup, P.H.; Lampe, F.C.; Walker, M.; Wannamethee, S.G.; Shaper, A.G. Geographic variation in incidence of coronary heart disease in Britain: The contribution of established risk factors. Heart 2001, 86, 277–283. [Google Scholar] [CrossRef]
- Alter, D.A.; Naylor, C.D.; Austin, P.; Tu, J.V. Effects of socioeconomic status on access to invasive cardiac procedures and on mortality after acute myocardial infarction. N. Engl. J. Med. 1999, 341, 1359–1367. [Google Scholar] [CrossRef]
- MacLeod, M.C.; Finlayson, A.R.; Pell, J.P.; Findlay, I.N. Geographic, demographic, and socioeconomic variations in the investigation and management of coronary heart disease in Scotland. Heart 1999, 81, 252–256. [Google Scholar] [CrossRef]
- Philbin, E.F.; McCullough, P.A.; DiSalvo, T.G.; Dec, G.W.; Jenkins, P.L.; Weaver, W.D. Socioeconomic status is an important determinant of the use of invasive procedures after acute myocardial infarction in New York State. Circulation 2000, 102, Iii107–Iii115. [Google Scholar] [CrossRef]
- Pell, J.P.; Pell, A.C.; Norrie, J.; Ford, I.; Cobbe, S.M. Effect of socioeconomic deprivation on waiting time for cardiac surgery: Retrospective cohort study. BMJ 2000, 320, 15–18. [Google Scholar] [CrossRef]
- Avorn, J.; Monette, J.; Lacour, A.; Bohn, R.L.; Monane, M.; Mogun, H.; LeLorier, J. Persistence of use of lipid-lowering medications: A cross-national study. JAMA 1998, 279, 1458–1462. [Google Scholar] [CrossRef] [PubMed]
- Ward, P.R.; Noyce, P.R.; St Leger, A.S. Are GP practice prescribing rates for coronary heart disease drugs equitable? A cross sectional analysis in four primary care trusts in England. J. Epidemiol. Community Health 2004, 58, 89–96. [Google Scholar] [CrossRef] [PubMed]
- Gasevic, D.; Khan, N.A.; Qian, H.; Karim, S.; Simkus, G.; Quan, H.; Mackay, M.H.; O’Neill, B.J.; Ayyobi, A.F. Outcomes following percutaneous coronary intervention and coronary artery bypass grafting surgery in Chinese, South Asian and White patients with acute myocardial infarction: Administrative data analysis. BMC Cardiovasc. Disord. 2013, 13, 121. [Google Scholar] [CrossRef] [PubMed]
- Roth, C.; Berger, R.; Kuhn, M. The role of the socio-economic environment on medical outcomes after ST-segment elevation myocardial infarction. BMC Public Health 2019, 19, 630. [Google Scholar] [CrossRef]
- Ludman, P.F. British Cardiovascular Intervention Society Registry for audit and quality assessment of percutaneous coronary interventions in the United Kingdom. Heart 2011, 97, 1293–1297. [Google Scholar] [CrossRef]
- Deprivation Department for Communities and Local Government. Department for Communities and Local Government. Indices of Deprivation. 2010. Available online: https://www.gov.uk/government/statistics/english-indices-of-deprivation-2010 (accessed on 12 March 2024).
- Bello, A.K.; Peters, J.; Rigby, J.; Rahman, A.A.; El Nahas, M. Socioeconomic status and chronic kidney disease at presentation to a renal service in the United Kingdom. Clin. J. Am. Soc. Nephrol. 2008, 3, 1316–1323. [Google Scholar] [CrossRef]
- Leigh, Y.; Seagroatt, V.; Goldacre, M.; McCulloch, P. Impact of socio-economic deprivation on death rates after surgery for upper gastrointestinal tract cancer. Br. J. Cancer 2006, 95, 940–943. [Google Scholar] [CrossRef]
- Kareem, H.; Shetty, P.N.; Devasia, T.; Karkala, Y.R.; Paramasivam, G.; Guddattu, V.; Singh, A.; Chauhan, S. Impact of socioeconomic status on adverse cardiac events after coronary angioplasty: A cohort study. Heart Asia 2018, 10, e010960. [Google Scholar] [CrossRef]
- Rosvall, M.; Chaix, B.; Lynch, J.; Lindström, M.; Merlo, J. The association between socioeconomic position, use of revascularization procedures and five-year survival after recovery from acute myocardial infarction. BMC Public Health 2008, 8, 44. [Google Scholar] [CrossRef]
- Rao, S.V.; Schulman, K.A.; Curtis, L.H.; Gersh, B.J.; Jollis, J.G. Socioeconomic status and outcome following acute myocardial infarction in elderly patients. Arch. Intern. Med. 2004, 164, 1128–1133. [Google Scholar] [CrossRef]
- Mehta, R.H.; O’Shea, J.C.; Stebbins, A.L.; Granger, C.B.; Armstrong, P.W.; White, H.D.; Topol, E.J.; Califf, R.M.; Ohman, E.M. Association of mortality with years of education in patients with ST-segment elevation myocardial infarction treated with fibrinolysis. J. Am. Coll. Cardiol. 2011, 57, 138–146. [Google Scholar] [CrossRef] [PubMed]
- Pilote, L.; Tu, J.V.; Humphries, K.; Behouli, H.; Belisle, P.; Austin, P.C.; Joseph, L. Socioeconomic status, access to health care, and outcomes after acute myocardial infarction in Canada’s universal health care system. Med. Care 2007, 45, 638–646. [Google Scholar] [CrossRef] [PubMed]
- Agarwal, S.; Garg, A.; Parashar, A.; Jaber, W.A.; Menon, V. Outcomes and resource utilization in ST-elevation myocardial infarction in the United States: Evidence for socioeconomic disparities. J. Am. Heart Assoc. 2014, 3, e001057. [Google Scholar] [CrossRef] [PubMed]
- Bonow, R.O.; Grant, A.O.; Jacobs, A.K. The cardiovascular state of the union: Confronting healthcare disparities. Circulation 2005, 111, 1205–1207. [Google Scholar] [CrossRef]
- Mensah, G.A.; Mokdad, A.H.; Ford, E.S.; Greenlund, K.J.; Croft, J.B. State of disparities in cardiovascular health in the United States. Circulation 2005, 111, 1233–1241. [Google Scholar] [CrossRef]
- Shimony, A.; Zahger, D.; Ilia, R.; Shalev, A.; Cafri, C. Impact of the community’s socioeconomic status on characteristics and outcomes of patients undergoing percutaneous coronary intervention. Int. J. Cardiol. 2010, 144, 379–382. [Google Scholar] [CrossRef]
- Damiani, G.; Federico, B.; Bianchi, C.B.; Ronconi, A.; Basso, D.; Fiorenza, S.; Sassi, F. Socio-economic status and prevention of cardiovascular disease in Italy: Evidence from a national health survey. Eur. J. Public Health 2011, 21, 591–596. [Google Scholar] [CrossRef]
- Lang, S.J.; Abel, G.A.; Mant, J.; Mullis, R. Impact of socioeconomic deprivation on screening for cardiovascular disease risk in a primary prevention population: A cross-sectional study. BMJ Open 2016, 6, e009984. [Google Scholar] [CrossRef]
- Shishehbor, M.H.; Gordon-Larsen, P.; Kiefe, C.I.; Litaker, D. Association of neighborhood socioeconomic status with physical fitness in healthy young adults: The Coronary Artery Risk Development in Young Adults (CARDIA) study. Am. Heart J. 2008, 155, 699–705. [Google Scholar] [CrossRef][Green Version]
- Franks, A.L.; May, D.S.; Wenger, N.K.; Blount, S.B.; Eaker, E.D. Racial differences in the use of invasive coronary procedures after acute myocardial infarction in Medicare beneficiaries. Ethn. Dis. 1993, 3, 213–220. [Google Scholar]
- Kahn, K.L.; Pearson, M.L.; Harrison, E.R.; Desmond, K.A.; Rogers, W.H.; Rubenstein, L.V.; Brook, R.H.; Keeler, E.B. Health care for black and poor hospitalized Medicare patients. JAMA 1994, 271, 1169–1174. [Google Scholar] [CrossRef] [PubMed]
- Rathore, S.S.; Berger, A.K.; Weinfurt, K.P.; Feinleib, M.; Oetgen, W.J.; Gersh, B.J.; Schulman, K.A. Race, sex, poverty, and the medical treatment of acute myocardial infarction in the elderly. Circulation 2000, 102, 642–648. [Google Scholar] [CrossRef] [PubMed]
- Ohlsson, H.; Rosvall, M.; Hansen, O.; Chaix, B.; Merlo, J. Socioeconomic position and secondary preventive therapy after an AMI. Pharmacoepidemiol. Drug Saf. 2010, 19, 358–366. [Google Scholar] [CrossRef]
- Ho, P.M.; Spertus, J.A.; Masoudi, F.A.; Reid, K.J.; Peterson, E.D.; Magid, D.J.; Krumholz, H.M.; Rumsfeld, J.S. Impact of medication therapy discontinuation on mortality after myocardial infarction. Arch. Intern. Med. 2006, 166, 1842–1847. [Google Scholar] [CrossRef] [PubMed]
- Bajekal, M.; Scholes, S.; O’Flaherty, M.; Raine, R.; Norman, P.; Capewell, S. Unequal trends in coronary heart disease mortality by socioeconomic circumstances, England 1982-2006: An analytical study. PLoS ONE 2013, 8, e59608. [Google Scholar] [CrossRef]
- Kolden, M.; Nymo, S.H.; Øie, E. Impact of neighbourhood-level socioeconomic status, traditional coronary risk factors, and ancestry on age at myocardial infarction onset: A population-based register study. BMC Cardiovasc. Disord. 2022, 22, 447. [Google Scholar] [CrossRef]
- Jones, D.A.; Howard, J.P.; Rathod, K.S.; Gallagher, S.M.; Knight, C.J.; Jain, A.K.; Mathur, A.; Mohiddin, S.A.; Mills, P.G.; Timmis, A.D.; et al. The impact of socio-economic status on all-cause mortality after percutaneous coronary intervention: An observational cohort study of 13,770 patients. EuroIntervention 2015, 10, e1–e8. [Google Scholar] [CrossRef]
- Smith, M.L.; Towne, S.D., Jr.; Herrera-Venson, A.; Cameron, K.; Horel, S.A.; Ory, M.G.; Gilchrist, C.L.; Schneider, E.C.; DiCocco, C.; Skowronski, S. Delivery of fall prevention interventions for at-risk older adults in rural areas: Findings from a national dissemination. Int. J. Environ. Res. Public Health 2018, 15, 2798. [Google Scholar] [CrossRef]
- Smith, M.L.; Towne, S.D., Jr.; Herrera-Venson, A.; Cameron, K.; Kulinski, K.P.; Lorig, K.; Horel, S.A.; Ory, M.G. Dissemination of chronic disease self-management education (CDSME) programs in the United States: Intervention delivery by rurality. Int. J. Environ. Res. Public Health 2017, 14, 638. [Google Scholar] [CrossRef]
- Ory, M.G.; Smith, M.L. Research, practice, and policy perspectives on evidence-based programing for older adults. Front. Public Health 2015, 3, 136. [Google Scholar] [CrossRef]
- Vanassche, T.; Connolly, S.J.; Eikelboom, J.W.; Healey, J.S.; Lauw, M.N.; Masiero, S.; Wang, J.; Yusuf, S. Abstract 18936: Can Biomarkers Improve Risk Stratification of Atrial Fibrillation Patients? Analysis of 3578 Aspirin-treated Patients in ACTIVE and AVERROES. Circulation 2014, 130, A18936. [Google Scholar]



| Quintile 1 | Quintile 2 | Quintile 3 | Quintile 4 | Quintile 5 | p Value | |
|---|---|---|---|---|---|---|
| (n = 18,727) | (n = 18,724) | (n = 18,708) | (n = 18,684) | (n = 18,717) | ||
| Age (yrs) | 66.70 ± 11.45 | 65.55 ± 11.86 | 64.46 ± 12.17 | 63.14 ± 12.24 | 64.32 ± 12.15 | <0.0001 |
| Ethnicity (Caucasian) | 11,817 (63.1%) | 10,598 (56.6%) | 9092 (48.6%) | 7997 (42.8%) | 6420 (34.3%) | <0.0001 |
| Gender (male) | 14,008 (74.8%) | 14,024 (74.9%) | 13,975 (74.7%) | 13,452 (74.2%) | 13,925 (74.4%) | 0.358 |
| Previous MI | 3521 (18.8%) | 3876 (20.7%) | 3779 (20.2%) | 3774 (20.2%) | 3762 (20.1%) | 0.218 |
| Previous CABG | 4232 (22.6%) | 4101 (21.9%) | 3816 (20.4%) | 3606 (19.3%) | 3332 (17.8%) | <0.0001 |
| Previous PCI | 5262 (28.1%) | 5149 (27.5%) | 4958 (26.5%) | 4914 (26.3%) | 4567 (24.4%) | <0.0001 |
| Hypercholesterolaemia | 10,993 (58.7%) | 10,879 (58.1%) | 10,757 (57.7%) | 10,818 (57.9%) | 10,294 (55.0%) | <0.0001 |
| Diabetes mellitus | 3071 (16.4%) | 3782 (20.2%) | 4434 (23.7%) | 5007 (26.8%) | 5615 (30.0%) | <0.0001 |
| Hypertension | 10,487 (56.0%) | 10,617 (56.7%) | 10,907 (58.3%) | 11,080 (59.3%) | 11,062 (59.1%) | <0.0001 |
| Smoking history | 10,244 (54.7%) | 10,785 (57.6%) | 10,982 (58.7%) | 11,715 (62.7%) | 12,072 (64.5%) | <0.0001 |
| PVD | 543 (2.9%) | 618 (3.3%) | 617 (3.3%) | 654 (3.5%) | 674 (3.6%) | 0.002 |
| CKD (Creat > 200) | 581 (3.1%) | 749 (4.0%) | 842 (4.5%) | 916 (4.9%) | 880 (4.7%) | <0.0001 |
| Previous CVA | 450 (2.4%) | 487 (2.6%) | 468 (2.5%) | 467 (2.5%) | 487 (2.6%) | 0.894 |
| Poor LV function | 974 (5.2%) | 1723 (9.2%) | 2077 (11.1%) | 1756 (9.4%) | 2059 (11.0%) | <0.0001 |
| Cardiogenic shock | 412 (2.2%) | 431 (2.3%) | 468 (2.5%) | 486 (2.6%) | 468 (2.5%) | 0.120 |
| Quintile 1 | Quintile 2 | Quintile 3 | Quintile 4 | Quintile 5 | p Value | |
|---|---|---|---|---|---|---|
| (n = 18,727) | (n = 18,724) | (n = 18,708) | (n = 18,684) | (n = 18,717) | ||
| Access for PCI | ||||||
| Radial | 9832 (25.2%) | 4831 (25.8%) | 5126 (27.4%) | 5400 (28.9%) | 5933 (31.7%) | <0.0001 |
| Acute coronary syndrome | ||||||
| Primary PCI for STEMI | 4345 (23.2%) | 4494 (24.0%) | 4602 (24.6%) | 4652 (24.9%) | 4773 (25.5%) | <0.0001 |
| PCI for NSTEMI/UA | 4700 (25.1%) | 5224 (27.9%) | 5519 (29.5%) | 6035 (32.3%) | 6382 (34.1%) | <0.0001 |
| Elective | 9289 (49.6%) | 8688 (46.4%) | 8213 (43.9%) | 7623 (40.8%) | 7637 (40.8%) | <0.0001 |
| CTOs | 1891 (10.1%) | 1741 (9.3%) | 1702 (9.1%) | 1682 (9.0%) | 1479 (7.9%) | <0.0001 |
| Left main coronary artery | 787 (4.2%) | 730 (3.9%) | 655 (3.5%) | 673 (3.6%) | 543 (2.9%) | <0.0001 |
| Right coronary artery | 6798 (36.3%) | 6853 (36.6%) | 7053 (37.7%) | 7119 (38.1%) | 6963 (37.2%) | 0.003 |
| Left anterior descending artery | 9326 (49.8%) | 9175 (49.0%) | 8999 (48.1%) | 9024 (48.3%) | 9096 (48.6%) | 0.020 |
| Left circumflex artery | 4607 (24.6%) | 4775 (25.5%) | 4752 (25.4%) | 4820 (25.8%) | 4923 (26.3%) | 0.004 |
| Vein graft | ||||||
| Multi-vessel PCI | 3521 (18.8%) | 3632 (19.4%) | 3891 (20.8%) | 4017 (21.5%) | 4080 (21.8%) | 0.042 |
| IVUS use | 1854 (9.9%) | 1760 (9.4%) | 1721 (9.2%) | 1607 (8.6%) | 1348 (7.2%) | <0.0001 |
| DES use | 17,060 (91.1%) | 17,001 (90.8%) | 16,912 (90.4%) | 16,760 (89.7%) | 16,827 (89.9%) | <0.0001 |
| GP IIb/IIIa inhibitor | 4700 (25.1%) | 4999 (26.7%) | 5145 (27.5%) | 5213 (27.9%) | 5634 (30.1%) | <0.0001 |
| Procedural success | 18,259 (97.5%) | 18,237 (97.4%) | 18,259 (97.6%) | 18,217 (97.5%) | 18,237 (97.4%) | 0.215 |
| Quintile 1 | Quintile 2 | Quintile 3 | Quintile 4 | Quintile 5 | p Value | |
|---|---|---|---|---|---|---|
| (n = 18,727) | (n = 18,724) | (n = 18,708) | (n = 18,684) | (n = 18,717) | ||
| MACE | ||||||
| Death | 206 (1.1%) | 243 (1.3%) | 243 (1.3%) | 280 (1.5%) | 299 (1.6%) | 0.048 |
| Q wave MI | 75 (0.4%) | 56 (0.3%) | 94 (0.5%) | 75 (0.4%) | 94 (0.5%) | 0.105 |
| Re-Intervention PCI | 97 (0.5%) | 94 (0.5%) | 75 (0.4%) | 56 (0.3%) | 75 (0.4%) | 0.089 |
| CVA | 19 (0.1%) | 19 (0.1%) | 0 (0.0%) | 19 (0.1%) | 19 (0.1%) | 0.125 |
| Elective CABG | 37 (0.2%) | 19 (0.1%) | 19 (0.1%) | 19 (0.1%) | 19 (0.1%) | 0.101 |
| Emergency CABG | 19 (0.1%) | 19 (0.1%) | 19 (0.1%) | 19 (0.1%) | 19 (0.1%) | 0.201 |
| Bleeding | 150 (0.8%) | 169 (0.9%) | 150 (0.8%) | 131 (0.7%) | 112 (0.6%) | 0.027 |
| Variable | Comparator | Age-Adjusted HR | 95%CI |
|---|---|---|---|
| Age | Age | 1.076 | 1.074–1.078 |
| Female | Male | 0.770 | 0.644–1.197 |
| Ethnicity (Asian) | Caucasian | 1.182 | 0.945–1.220 |
| Cardiogenic shock | No cardiogenic shock | 4.643 | 4.329–4.981 |
| Smoking history | No smoking history | 1.036 | 0.997–1.076 |
| Diabetic | Non-diabetic | 1.528 | 1.473–1.586 |
| Previous MI | No previous MI | 1.492 | 0.839–1.546 |
| Previous PCI | No previous PCI | 1.106 | 0.765–1.149 |
| Previous CABG | No previous CABG | 1.666 | 0.992–1.744 |
| Hypertension | No hypertension | 1.403 | 1.354–1.453 |
| Hypercholesterolaemia | No hypercholesterolaemia | 1.013 | 0.957–1.049 |
| Previous CVA | No previous CVA | 2.887 | 1.935–4.309 |
| Peripheral vascular disease | No peripheral vascular disease | 2.934 | 2.750–3.131 |
| eGFR < 60 mL/min/1.73 m2 | eGFR > 60 | 2.605 | 2.215–3.064 |
| EF < 35% | EF > 35% | 2.179 | 2.042–2.325 |
| GP IIb/IIIa inhibitor use | No GP IIb/IIIa inhibitor use | 0.905 | 0872–0.940 |
| Procedural success | Procedural failure | 0.626 | 0.583–0.673 |
| Access route (radial) | Femoral | 0.880 | 0.844–0.917 |
| Acute coronary syndrome | Elective procedure | 1.209 | 1.164–1.255 |
| Chronic total occlusions | No chronic total occlusions | 1.043 | 0.987–1.103 |
| Drug-eluting stent use | Bare metal stent use | 0.773 | 0.735–0.812 |
| Multivessel disease | Single vessel disease | 1.428 | 1.380–1.478 |
| Socio-economic status | 1.001 | 1.000–1.012 | |
| Socio-economic quintile 2 | Socio-economic quintile 1 | 1.315 | 1.135–1.523 |
| Socio-economic quintile 3 | Socio-economic quintile 1 | 1.236 | 1.017–1.502 |
| Socio-economic quintile 4 | Socio-economic quintile 1 | 1.260 | 1.054–1.664 |
| Socio-economic quintile 5 | Socio-economic quintile 1 | 1.367 | 1.177–2.130 |
| Variable | Comparator | Age-Adjusted HR | 95%CI |
| Socio-economic status | 1.001 | 1.000–1.002 | |
| Socio-economic quintile 2 | Socio-economic quintile 1 | 1.080 | 1.023–1.140 |
| Socio-economic quintile 3 | Socio-economic quintile 1 | 1.089 | 1.017–1.167 |
| Socio-economic quintile 4 | Socio-economic quintile 1 | 1.124 | 1.021–1.237 |
| Socio-economic quintile 5 | Socio-economic quintile 1 | 1.130 | 1.070–1.316 |
Disclaimer/Publisher’s Note: The statements, opinions and data contained in all publications are solely those of the individual author(s) and contributor(s) and not of MDPI and/or the editor(s). MDPI and/or the editor(s) disclaim responsibility for any injury to people or property resulting from any ideas, methods, instructions or products referred to in the content. |
© 2025 by the authors. Licensee MDPI, Basel, Switzerland. This article is an open access article distributed under the terms and conditions of the Creative Commons Attribution (CC BY) license (https://creativecommons.org/licenses/by/4.0/).
Share and Cite
Rathod, K.S.; Lim, P.; Firoozi, S.; Bogle, R.; Jain, A.K.; MacCarthy, P.A.; Dalby, M.C.; Malik, I.S.; Mathur, A.; Spratt, J.; et al. The Association of Socioeconomic Status (SES) with Procedural Management and Mortality After Percutaneous Coronary Intervention (PCI): An Observational Study from the Pan-London PCI (BCIS) Registry. J. Cardiovasc. Dev. Dis. 2025, 12, 96. https://doi.org/10.3390/jcdd12030096
Rathod KS, Lim P, Firoozi S, Bogle R, Jain AK, MacCarthy PA, Dalby MC, Malik IS, Mathur A, Spratt J, et al. The Association of Socioeconomic Status (SES) with Procedural Management and Mortality After Percutaneous Coronary Intervention (PCI): An Observational Study from the Pan-London PCI (BCIS) Registry. Journal of Cardiovascular Development and Disease. 2025; 12(3):96. https://doi.org/10.3390/jcdd12030096
Chicago/Turabian StyleRathod, Krishnaraj S., Pitt Lim, Sam Firoozi, Richard Bogle, Ajay K. Jain, Philip A. MacCarthy, Miles C. Dalby, Iqbal S. Malik, Anthony Mathur, James Spratt, and et al. 2025. "The Association of Socioeconomic Status (SES) with Procedural Management and Mortality After Percutaneous Coronary Intervention (PCI): An Observational Study from the Pan-London PCI (BCIS) Registry" Journal of Cardiovascular Development and Disease 12, no. 3: 96. https://doi.org/10.3390/jcdd12030096
APA StyleRathod, K. S., Lim, P., Firoozi, S., Bogle, R., Jain, A. K., MacCarthy, P. A., Dalby, M. C., Malik, I. S., Mathur, A., Spratt, J., De Silva, R., Rakhit, R., Hill, J., Kalra, S. S., Redwood, S., Archbold, R. A., Wragg, A., & Jones, D. A. (2025). The Association of Socioeconomic Status (SES) with Procedural Management and Mortality After Percutaneous Coronary Intervention (PCI): An Observational Study from the Pan-London PCI (BCIS) Registry. Journal of Cardiovascular Development and Disease, 12(3), 96. https://doi.org/10.3390/jcdd12030096

