Effects of a Specialized Oral Nutritional Supplement with Dietary Counseling on Nutritional Outcomes in Community-Dwelling Older Adults at Risk of Malnutrition: A Randomized Controlled Trial
Abstract
1. Introduction
2. Materials and Methods
2.1. Study Design
2.2. Study Population
2.3. Study Treatment
2.4. Study Endpoints and Assessments
2.5. Statistical Analysis
3. Results
3.1. Study Population and Baseline Characteristics
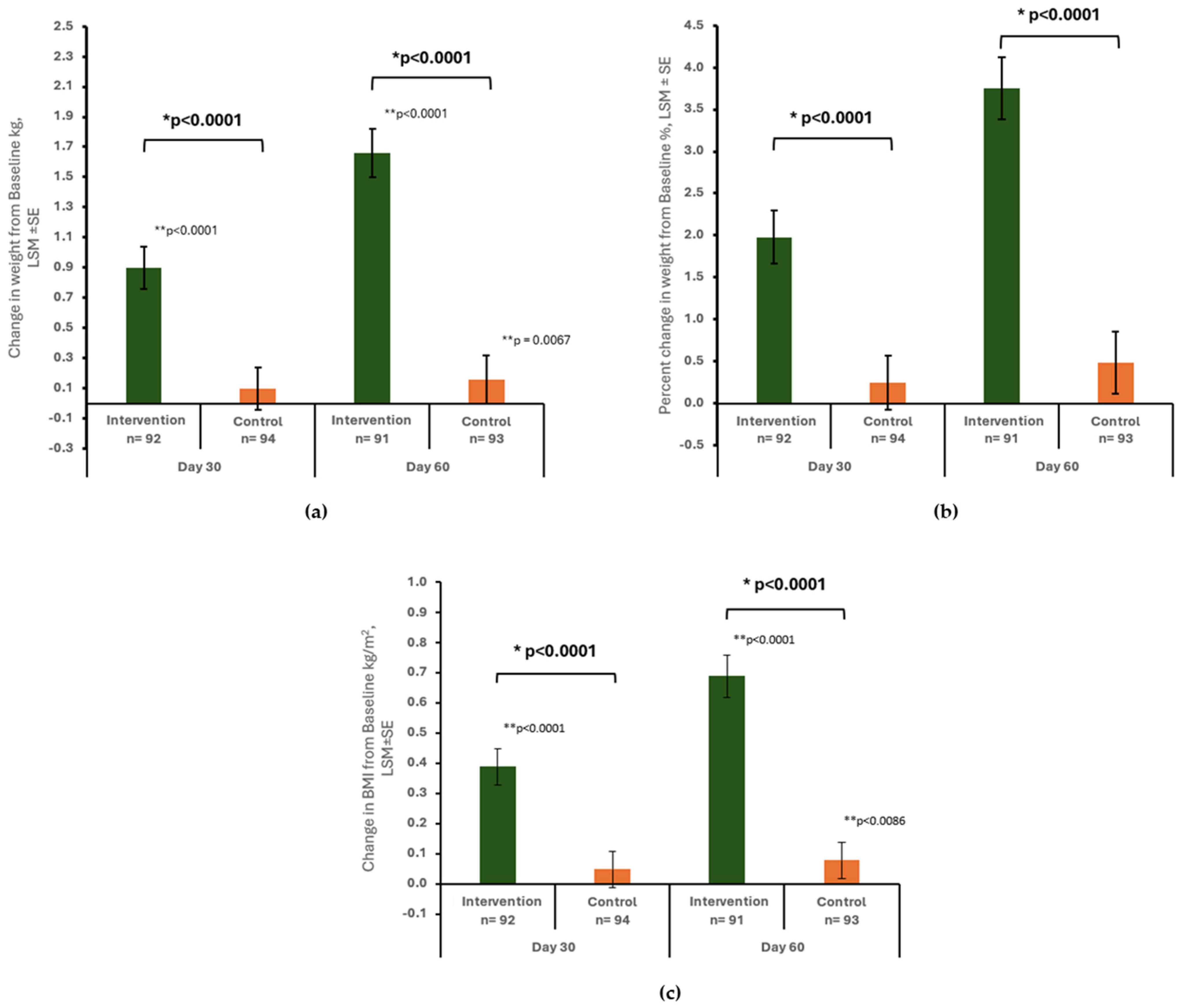
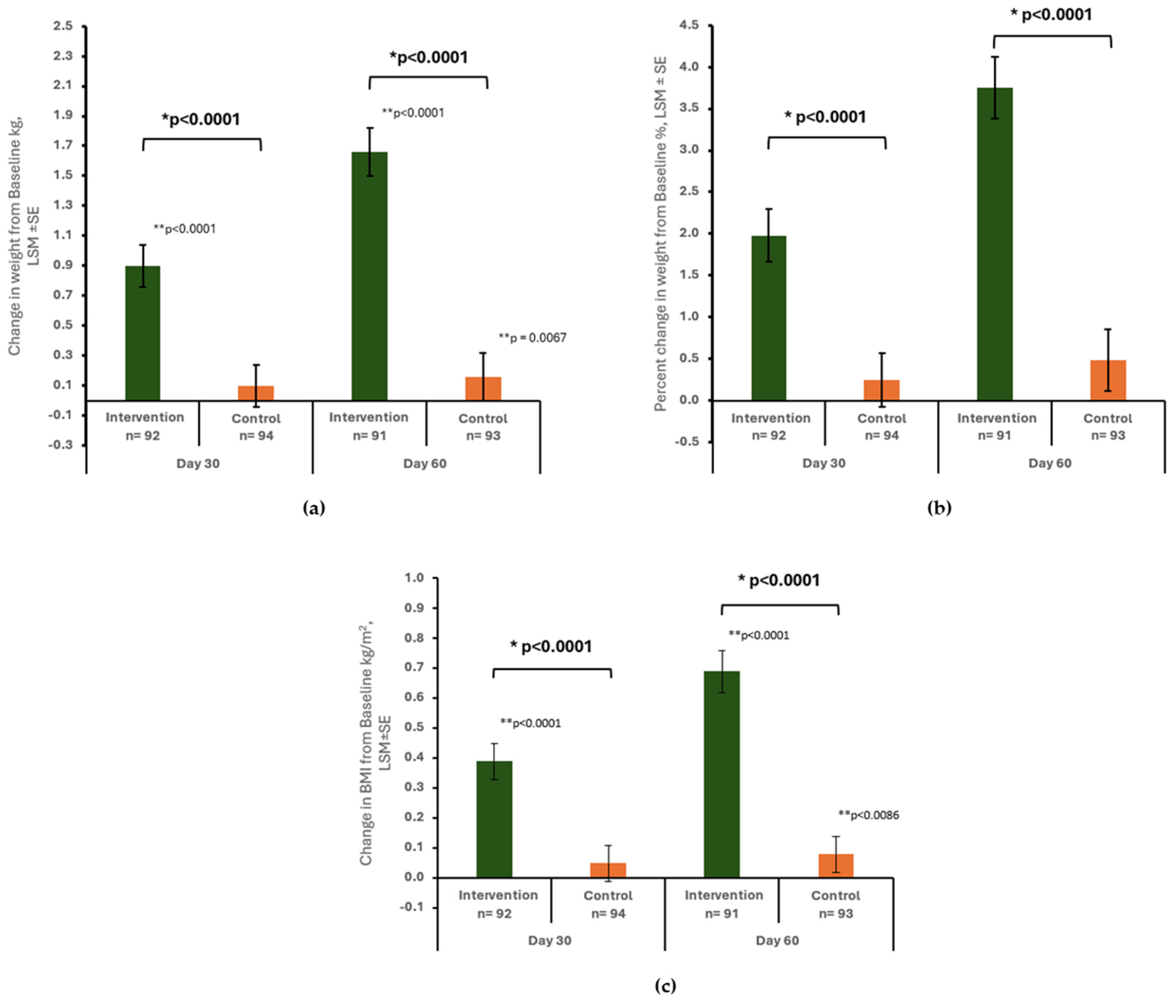
3.2. Change in Body Weight and Percentage of Change in Body Weight
3.3. Change in BMI
3.4. Nutritional Status
3.5. Dietary Intake
3.6. Compliance
3.7. Safety
4. Discussion
5. Conclusions
Supplementary Materials
Author Contributions
Funding
Institutional Review Board Statement
Informed Consent Statement
Data Availability Statement
Acknowledgments
Conflicts of Interest
References
- United Nations Department of Economic and Social Affairs, Population Division. World Social Report 2023: Leaving No One Behind in an Ageing World; United Nations Publication: New York, NY, USA, 2023; pp. 1–12. [Google Scholar]
- Paitoonpong, S. Promotion of Active Aging and Quality of Life in Old Age and Preparation for a Complete Aged Society in Thailand; Thailand Development Research Institute: Bangkok, Thailand, 2023; pp. 1–38. [Google Scholar]
- Population Reference Bureau. 2023 World Population Data Sheet; PRB: Washington DC, USA, 2023; pp. 1–25. [Google Scholar]
- Department of Older Persons. Situation of the Thai Older Persons 2022; Foundation of Thai Gerontology Research and Development Institute: Bangkok, Thailand, 2022; pp. 1–130. [Google Scholar]
- Morley, J.E. Undernutrition in older adults. Fam. Pract. 2012, 29 (Suppl. S1), i89–i93. [Google Scholar] [CrossRef] [PubMed]
- Morley, J.E. Editorial: Defining Undernutrition (Malnutrition) in Older Persons. J. Nutr. Health Aging 2018, 22, 308–310. [Google Scholar] [CrossRef]
- Dent, E.; Wright, O.R.L.; Woo, J.; Hoogendijk, E.O. Malnutrition in older adults. Lancet 2023, 401, 951–966. [Google Scholar] [CrossRef]
- Amarya, S.; Singh, K.; Sabharwal, M. Changes during aging and their association with malnutrition. J. Clin. Gerontol. Geriatr. 2015, 6, 78–84. [Google Scholar] [CrossRef]
- Norman, K.; Haß, U.; Pirlich, M. Malnutrition in Older Adults-Recent Advances and Remaining Challenges. Nutrients 2021, 13, 2764. [Google Scholar] [CrossRef]
- Cereda, E.; Pedrolli, C.; Klersy, C.; Bonardi, C.; Quarleri, L.; Cappello, S.; Turri, A.; Rondanelli, M.; Caccialanza, R. Nutritional status in older persons according to healthcare setting: A systematic review and meta-analysis of prevalence data using MNA®. Clin. Nutr. 2016, 35, 1282–1290. [Google Scholar] [CrossRef] [PubMed]
- Leij-Halfwerk, S.; Verwijs, M.H.; van Houdt, S.; Borkent, J.W.; Guaitoli, P.R.; Pelgrim, T.; Heymans, M.W.; Power, L.; Visser, M.; Corish, C.A.; et al. Prevalence of protein-energy malnutrition risk in European older adults in community, residential and hospital settings, according to 22 malnutrition screening tools validated for use in adults ≥ 65 years: A systematic review and meta-analysis. Maturitas 2019, 126, 80–89. [Google Scholar] [CrossRef]
- Crichton, M.; Craven, D.; Mackay, H.; Marx, W.; de van der Schueren, M.; Marshall, S. A systematic review, meta-analysis and meta-regression of the prevalence of protein-energy malnutrition: Associations with geographical region and sex. Age Ageing 2019, 48, 38–48. [Google Scholar] [CrossRef]
- Chuansangeam, M.; Wuthikraikun, C.; Supapueng, O.; Muangpaisan, W. Prevalence and risk for malnutrition in older Thai people: A systematic review and meta-analysis. Asia. Pac. J. Clin. Nutr. 2022, 31, 128–141. [Google Scholar] [CrossRef]
- Nawai, A.; Phongphanngam, S.; Khumrungsee, M.; Leveille, S.G. Factors associated with nutrition risk among community-dwelling older adults in Thailand. Geriatr. Nurs. 2021, 42, 1048–1055. [Google Scholar] [CrossRef]
- Söderström, L.; Rosenblad, A.; Thors Adolfsson, E.; Bergkvist, L. Malnutrition is associated with increased mortality in older adults regardless of the cause of death. Br. J. Nutr. 2017, 117, 532–540. [Google Scholar] [CrossRef] [PubMed]
- Volkert, D.; Beck, A.M.; Cederholm, T.; Cruz-Jentoft, A.; Hooper, L.; Kiesswetter, E.; Maggio, M.; Raynaud-Simon, A.; Sieber, C.; Sobotka, L.; et al. ESPEN practical guideline: Clinical nutrition and hydration in geriatrics. Clin. Nutr. 2022, 41, 958–989. [Google Scholar] [CrossRef] [PubMed]
- Wei, K.; Nyunt, M.S.Z.; Gao, Q.; Wee, S.L.; Ng, T.P. Long-term changes in nutritional status are associated with functional and mortality outcomes among community-living older adults. Nutrition 2019, 66, 180–186. [Google Scholar] [CrossRef] [PubMed]
- Gao, Q.; Hu, K.; Yan, C.; Zhao, B.; Mei, F.; Chen, F.; Zhao, L.; Shang, Y.; Ma, Y.; Ma, B. Associated Factors of Sarcopenia in Community-Dwelling Older Adults: A Systematic Review and Meta-Analysis. Nutrients 2021, 13, 4291. [Google Scholar] [CrossRef] [PubMed]
- Kiesswetter, E.; Pohlhausen, S.; Uhlig, K.; Diekmann, R.; Lesser, S.; Heseker, H.; Stehle, P.; Sieber, C.C.; Volkert, D. Malnutrition is related to functional impairment in older adults receiving home care. J. Nutr. Health Aging 2013, 17, 345–350. [Google Scholar] [CrossRef] [PubMed]
- Tey, S.L.; Huynh, D.T.T.; Berde, Y.; Baggs, G.; How, C.H.; Low, Y.L.; Cheong, M.; Chow, W.L.; Tan, N.C.; Chew, S.T.H. Prevalence of low muscle mass and associated factors in community-dwelling older adults in Singapore. Sci. Rep. 2021, 11, 23071. [Google Scholar] [CrossRef] [PubMed]
- Martínez-Reig, M.; Aranda-Reneo, I.; Peña-Longobardo, L.M.; Oliva-Moreno, J.; Barcons-Vilardell, N.; Hoogendijk, E.O.; Abizanda, P. Use of health resources and healthcare costs associated with nutritional risk: The FRADEA study. Clin. Nutr. 2018, 37, 1299–1305. [Google Scholar] [CrossRef] [PubMed]
- Abizanda, P.; Sinclair, A.; Barcons, N.; Lizán, L.; Rodríguez-Mañas, L. Costs of Malnutrition in Institutionalized and Community-Dwelling Older Adults: A Systematic Review. J. Am. Med. Dir. Assoc. 2016, 17, 17–23. [Google Scholar] [CrossRef] [PubMed]
- Cederholm, T.; Jensen, G.L.; Correia, M.; Gonzalez, M.C.; Fukushima, R.; Higashiguchi, T.; Baptista, G.; Barazzoni, R.; Blaauw, R.; Coats, A.; et al. GLIM criteria for the diagnosis of malnutrition—A consensus report from the global clinical nutrition community. Clin. Nutr. 2019, 38, 1–9. [Google Scholar] [CrossRef]
- World Health Organisation. Integrated Care for Older People: Guidelines on Community-Level Interventions to Manage Declines in Intrinsic Capacity; World Health Organisation: Geneve, Switzerland, 2007.
- Cederholm, T.; Barazzoni, R.; Austin, P.; Ballmer, P.; Biolo, G.; Bischoff, S.C.; Compher, C.; Correia, I.; Higashiguchi, T.; Holst, M.; et al. ESPEN guidelines on definitions and terminology of clinical nutrition. Clin. Nutr. 2017, 36, 49–64. [Google Scholar] [CrossRef]
- Wu, H.; Xia, Y.; Jiang, J.; Du, H.; Guo, X.; Liu, X.; Li, C.; Huang, G.; Niu, K. Effect of beta-hydroxy-beta-methylbutyrate supplementation on muscle loss in older adults: A systematic review and meta-analysis. Arch. Gerontol. Geriatr. 2015, 61, 168–175. [Google Scholar] [CrossRef]
- Bear, D.E.; Langan, A.; Dimidi, E.; Wandrag, L.; Harridge, S.D.R.; Hart, N.; Connolly, B.; Whelan, K. β-Hydroxy-β-methylbutyrate and its impact on skeletal muscle mass and physical function in clinical practice: A systematic review and meta-analysis. Am. J. Clin. Nutr. 2019, 109, 1119–1132. [Google Scholar] [CrossRef]
- Huynh, D.T.; Devitt, A.A.; Paule, C.L.; Reddy, B.R.; Marathe, P.; Hegazi, R.A.; Rosales, F.J. Effects of oral nutritional supplementation in the management of malnutrition in hospital and post-hospital discharged patients in India: A randomised, open-label, controlled trial. J. Hum. Nutr. Diet. 2015, 28, 331–343. [Google Scholar] [CrossRef]
- Chew, S.T.H.; Tan, N.C.; Cheong, M.; Oliver, J.; Baggs, G.; Choe, Y.; How, C.H.; Chow, W.L.; Tan, C.Y.L.; Kwan, S.C.; et al. Impact of specialized oral nutritional supplement on clinical, nutritional, and functional outcomes: A randomized, placebo-controlled trial in community-dwelling older adults at risk of malnutrition. Clin. Nutr. 2021, 40, 1879–1892. [Google Scholar] [CrossRef]
- Rattanachaiwong, S.; Warodomwichit, D.; Yamwong, P.; Keawtanom, S.; Hiesmayr, M.; Sulz, I.; Singer, P. Characteristics of hospitalized patients prescribed oral nutrition supplements in Thailand: A cross-sectional nutrition day survey. Clin. Nutr. ESPEN 2019, 33, 294–300. [Google Scholar] [CrossRef] [PubMed]
- Limwannata, P.; Satirapoj, B.; Chotsriluecha, S.; Thimachai, P.; Supasyndh, O. Effectiveness of renal-specific oral nutritional supplements compared with diet counseling in malnourished hemodialysis patients. Int. Urol. Nephrol. 2021, 53, 1675–1687. [Google Scholar] [CrossRef]
- Satirapoj, B.; Limwannata, P.; Kleebchaiyaphum, C.; Prapakorn, J.; Yatinan, U.; Chotsriluecha, S.; Supasyndh, O. Nutritional status among peritoneal dialysis patients after oral supplement with ONCE dialyze formula. Int. J. Nephrol. Renovasc. Dis. 2017, 10, 145–151. [Google Scholar] [CrossRef] [PubMed]
- Stratton, R.J.; Hackston, A.; Longmore, D.; Dixon, R.; Price, S.; Stroud, M.; King, C.; Elia, M. Malnutrition in hospital outpatients and inpatients: Prevalence, concurrent validity and ease of use of the ‘malnutrition universal screening tool’ (‘MUST’) for adults. Br. J. Nutr. 2004, 92, 799–808. [Google Scholar] [CrossRef] [PubMed]
- Charlson, M.E.; Pompei, P.; Ales, K.L.; MacKenzie, C.R. A new method of classifying prognostic comorbidity in longitudinal studies: Development and validation. J. Chronic. Dis. 1987, 40, 373–383. [Google Scholar] [CrossRef]
- van Vliet, I.M.Y.; Gomes-Neto, A.W.; de Jong, M.F.C.; Jager-Wittenaar, H.; Navis, G.J. High prevalence of malnutrition both on hospital admission and predischarge. Nutrition 2020, 77, 110814. [Google Scholar] [CrossRef]
- Valmorbida, E.; Trevisan, C.; Imoscopi, A.; Mazzochin, M.; Manzato, E.; Sergi, G. Malnutrition is associated with increased risk of hospital admission and death in the first 18 months of institutionalization. Clin. Nutr. 2020, 39, 3687–3694. [Google Scholar] [CrossRef] [PubMed]
- Baldwin, C.; de van der Schueren, M.A.; Kruizenga, H.M.; Weekes, C.E. Dietary advice with or without oral nutritional supplements for disease-related malnutrition in adults. Cochrane Database Syst. Rev. 2021, 12, Cd002008. [Google Scholar] [CrossRef]
- Serón-Arbeloa, C.; Labarta-Monzón, L.; Puzo-Foncillas, J.; Mallor-Bonet, T.; Lafita-López, A.; Bueno-Vidales, N.; Montoro-Huguet, M. Malnutrition Screening and Assessment. Nutrients 2022, 14, 2392. [Google Scholar] [CrossRef]
- Khor, P.Y.; Vearing, R.M.; Charlton, K.E. The effectiveness of nutrition interventions in improving frailty and its associated constructs related to malnutrition and functional decline among community-dwelling older adults: A systematic review. J. Hum. Nutr. Diet. 2022, 35, 566–582. [Google Scholar] [CrossRef]
- Cawood, A.L.; Burden, S.T.; Smith, T.; Stratton, R.J. A systematic review and meta-analysis of the effects of community use of oral nutritional supplements on clinical outcomes. Ageing Res. Rev. 2023, 88, 101953. [Google Scholar] [CrossRef]
- Kaegi-Braun, N.; Kilchoer, F.; Dragusha, S.; Gressies, C.; Faessli, M.; Gomes, F.; Deutz, N.E.; Stanga, Z.; Mueller, B.; Schuetz, P. Nutritional support after hospital discharge improves long-term mortality in malnourished adult medical patients: Systematic review and meta-analysis. Clin. Nutr. 2022, 41, 2431–2441. [Google Scholar] [CrossRef]
- Scott, A. Screening for malnutrition in the community: The MUST tool. Br. J. Community Nurs. 2008, 13, 406–412. [Google Scholar] [CrossRef] [PubMed]
- Deutz, N.E.; Matheson, E.M.; Matarese, L.E.; Luo, M.; Baggs, G.E.; Nelson, J.L.; Hegazi, R.A.; Tappenden, K.A.; Ziegler, T.R. Readmission and mortality in malnourished, older, hospitalized adults treated with a specialized oral nutritional supplement: A randomized clinical trial. Clin. Nutr. 2016, 35, 18–26. [Google Scholar] [CrossRef] [PubMed]
- Peng, L.N.; Cheng, Y.C.; Yu, P.C.; Lee, W.J.; Lin, M.H.; Chen, L.K. Oral Nutritional Supplement with β-hydroxy-β-methylbutyrate (HMB) Improves Nutrition, Physical Performance and Ameliorates Intramuscular Adiposity in Pre-Frail Older Adults: A Randomized Controlled Trial. J. Nutr. Health Aging 2021, 25, 767–773. [Google Scholar] [CrossRef]
- Chen, L.K.; Arai, H.; Assantachai, P.; Akishita, M.; Chew, S.T.H.; Dumlao, L.C.; Duque, G.; Woo, J. Roles of nutrition in muscle health of community-dwelling older adults: Evidence-based expert consensus from Asian Working Group for Sarcopenia. J. Cachexia Sarcopenia Muscle 2022, 13, 1653–1672. [Google Scholar] [CrossRef]
- Lester, S.; Kleijn, M.; Cornacchia, L.; Hewson, L.; Taylor, M.A.; Fisk, I. Factors Affecting Adherence, Intake, and Perceived Palatability of Oral Nutritional Supplements: A Literature Review. J. Nutr. Health Aging 2022, 26, 663–674. [Google Scholar] [CrossRef] [PubMed]
- Hubbard, G.P.; Elia, M.; Holdoway, A.; Stratton, R.J. A systematic review of compliance to oral nutritional supplements. Clin. Nutr. 2012, 31, 293–312. [Google Scholar] [CrossRef] [PubMed]
- López-Medina, J.A.; López-Rodriguez, C.; Estornell-Gualde, M.A.; Rey-Fernández, L.; Gómez-Senent, S.; Joaquín-Ortiz, C.; Fernández-Soto, M.L.; Hurtado-García, R.; Martín-Martín, M.; Barrera-Martín, A.; et al. Relationship between nutritional treatment compliance and nutritional status improvements in patients with gastrointestinal impairment taking an oral peptide-based supplement. Nutrition 2022, 102, 111734. [Google Scholar] [CrossRef] [PubMed]
- Jobse, I.; Liao, Y.; Bartram, M.; Delantonio, K.; Uter, W.; Stehle, P.; Sieber, C.C.; Volkert, D. Compliance of nursing home residents with a nutrient- and energy-dense oral nutritional supplement determines effects on nutritional status. J. Nutr. Health Aging 2015, 19, 356–364. [Google Scholar] [CrossRef]
- Seguy, D.; Hubert, H.; Robert, J.; Meunier, J.P.; Guérin, O.; Raynaud-Simon, A. Compliance to oral nutritional supplementation decreases the risk of hospitalisation in malnourished older adults without extra health care cost: Prospective observational cohort study. Clin. Nutr. 2020, 39, 1900–1907. [Google Scholar] [CrossRef]



| Overall (n = 194) | Control (n = 97) | Intervention (n = 97) | p Value (Between Groups) | |
|---|---|---|---|---|
| Age (years) * | 67 (63, 72) | 67 (63, 71) | 68 (63, 73) | 0.5168 |
| Gender, n (%) | 0.8485 | |||
| Male | 33 (17.0) | 17 (17.5) | 16 (16.5) | |
| Female | 161 (83.0) | 80 (82.5) | 81 (83.5) | |
| Number of children, n (%) | 0.6005 | |||
| 0 | 107 (55.4) | 55 (57.3) | 52 (53.6) | |
| 1 | 27 (14.0) | 11 (11.5) | 16 (16.5) | |
| 2 | 31 (16.1) | 14 (14.6) | 17 (17.5) | |
| ≥3 | 28 (14.5) | 16 (16.7) | 12 (12.4) | |
| Highest level of education, n (%) | 0.6830 | |||
| Primary/Equivalent | 59 (30.6) | 28 (29.2) | 31 (32.0) | |
| Secondary/Middle/Equivalent | 35 (18.1) | 19 (19.8) | 16 (16.5) | |
| Diploma/High School/Equivalent | 20 (10.4) | 12 (12.5) | 8 (8.2) | |
| University and Above | 79 (40.9) | 37 (38.5) | 42 (43.3) | |
| Main work status over the last 12 months, n (%) | 0.5821 | |||
| Working | 18 (9.3) | 11 (11.5) | 7 (7.2) | |
| Homemaker/Housewife/Househusband | 59 (30.6) | 27 (28.1) | 32 (33.0) | |
| Retired | 101 (52.3) | 49 (51.0) | 52 (53.6) | |
| Unemployed-able to work | 15 (7.8) | 9 (9.4) | 6 (6.2) | |
| Living area, n (%) | 0.8505 | |||
| Urban area | 159 (82.4) | 80 (83.3) | 79 (81.4) | |
| Rural area | 34 (17.6) | 16 (16.7) | 18 (18.6) | |
| Total Charlson Comorbidity Score, n (%) | 0.3294 | |||
| 0 | 182 (94.3) | 93 (96.9) | 89 (91.8) | |
| 1 | 9 (4.7) | 3 (3.1) | 6 (6.2) | |
| 2 | 1 (0.5) | 0 (0.0) | 1 (1.0) | |
| 3 | 1 (0.5) | 0 (0.0) | 1 (1.0) | |
| Body weight (kg) # | 42.96 ± 0.37 | 42.96 ± 0.51 | 42.95 ± 0.53 | 0.9958 |
| Height (cm) # | 153.64 ± 0.52 | 153.53 ± 0.75 | 153.76 ± 0.71 | 0.6824 |
| BMI (kg/m2) * | 18.4 | 18.4 | 18.5 | 0.9219 |
| (17.40, 19.20) | (17.45, 19.20) | (17.40, 19.20) | ||
| MUST Score, n (%) | 0.8340 | |||
| 1 | 95 (49.0) | 45 (46.4) | 50 (51.5) | |
| 2 | 95 (49.0) | 50 (51.4) | 45 (46.4) | |
| 3 | 4 (2.1) | 2 (2.1) | 2 (2.1) |
| Dietary Intake | Day | Control (n = 97) | Intervention (n = 97) | p Value (Between Groups) |
|---|---|---|---|---|
| Energy (kcal) | Baseline | 1171 ± 33 | 1129 ± 33 | 0.3724 |
| 30 | 1207 ± 42 | 1751 ± 42 | <0.0001 | |
| 60 | 1259 ± 40 | 1795 ± 40 | <0.0001 | |
| Protein (g) | Baseline | 45.27 ± 1.84 | 44.70 ± 1.84 | 0.8254 |
| 30 | 48.06 ± 2.60 | 70.56 ± 2.62 | <0.0001 | |
| 60 | 52.61 ± 2.34 | 69.75 ± 2.35 | <0.0001 | |
| Carbohydrate (g) | Baseline | 167.8 ± 5.6 | 154.2 ± 5.6 | 0.0861 |
| 30 | 166.0 ± 6.9 | 240.3 ± 7.0 | <0.0001 | |
| 60 | 171.6 ± 6.9 | 250.7 ± 6.9 | <0.0001 | |
| Fat (g) | Baseline | 35.40 ± 1.77 | 37.00 ± 1.77 | 0.5229 |
| 30 | 40.00 ± 2.58 | 57.87 ± 2.60 | <0.0001 | |
| 60 | 41.37 ± 2.48 | 58.37 ± 2.50 | <0.0001 |
Disclaimer/Publisher’s Note: The statements, opinions and data contained in all publications are solely those of the individual author(s) and contributor(s) and not of MDPI and/or the editor(s). MDPI and/or the editor(s) disclaim responsibility for any injury to people or property resulting from any ideas, methods, instructions or products referred to in the content. |
© 2024 by the authors. Licensee MDPI, Basel, Switzerland. This article is an open access article distributed under the terms and conditions of the Creative Commons Attribution (CC BY) license (https://creativecommons.org/licenses/by/4.0/).
Share and Cite
Muangpaisan, W.; Wichansawakun, S.; Huynh, D.T.T.; Intalapaporn, S.; Chalermsri, C.; Thititagul, O.; Chupisanyarote, K.; Chuansangeam, M.; Laiteerapong, A.; Yalawar, M.; et al. Effects of a Specialized Oral Nutritional Supplement with Dietary Counseling on Nutritional Outcomes in Community-Dwelling Older Adults at Risk of Malnutrition: A Randomized Controlled Trial. Geriatrics 2024, 9, 104. https://doi.org/10.3390/geriatrics9040104
Muangpaisan W, Wichansawakun S, Huynh DTT, Intalapaporn S, Chalermsri C, Thititagul O, Chupisanyarote K, Chuansangeam M, Laiteerapong A, Yalawar M, et al. Effects of a Specialized Oral Nutritional Supplement with Dietary Counseling on Nutritional Outcomes in Community-Dwelling Older Adults at Risk of Malnutrition: A Randomized Controlled Trial. Geriatrics. 2024; 9(4):104. https://doi.org/10.3390/geriatrics9040104
Chicago/Turabian StyleMuangpaisan, Weerasak, Sanit Wichansawakun, Dieu Thi Thu Huynh, Somboon Intalapaporn, Chalobol Chalermsri, Ornicha Thititagul, Kanokkarn Chupisanyarote, Mallika Chuansangeam, Arunee Laiteerapong, Menaka Yalawar, and et al. 2024. "Effects of a Specialized Oral Nutritional Supplement with Dietary Counseling on Nutritional Outcomes in Community-Dwelling Older Adults at Risk of Malnutrition: A Randomized Controlled Trial" Geriatrics 9, no. 4: 104. https://doi.org/10.3390/geriatrics9040104
APA StyleMuangpaisan, W., Wichansawakun, S., Huynh, D. T. T., Intalapaporn, S., Chalermsri, C., Thititagul, O., Chupisanyarote, K., Chuansangeam, M., Laiteerapong, A., Yalawar, M., Huang, C., Tey, S. L., & Liu, Z. (2024). Effects of a Specialized Oral Nutritional Supplement with Dietary Counseling on Nutritional Outcomes in Community-Dwelling Older Adults at Risk of Malnutrition: A Randomized Controlled Trial. Geriatrics, 9(4), 104. https://doi.org/10.3390/geriatrics9040104

