Enhancing Post-Harvest Storability of Kale Using Plasma-Sonic Treatment
Abstract
1. Introduction
2. Materials and Methods
2.1. Materials
2.2. Sample Preparation
2.3. PAW Treatment, US Treatment, Plasma-Sonic Treatment
2.4. Microbial Analysis
2.5. Moisture Content, pH, and Color
2.6. Texture
2.7. Chlorophyll Content
2.8. Statistical Analysis
3. Results and Discussion
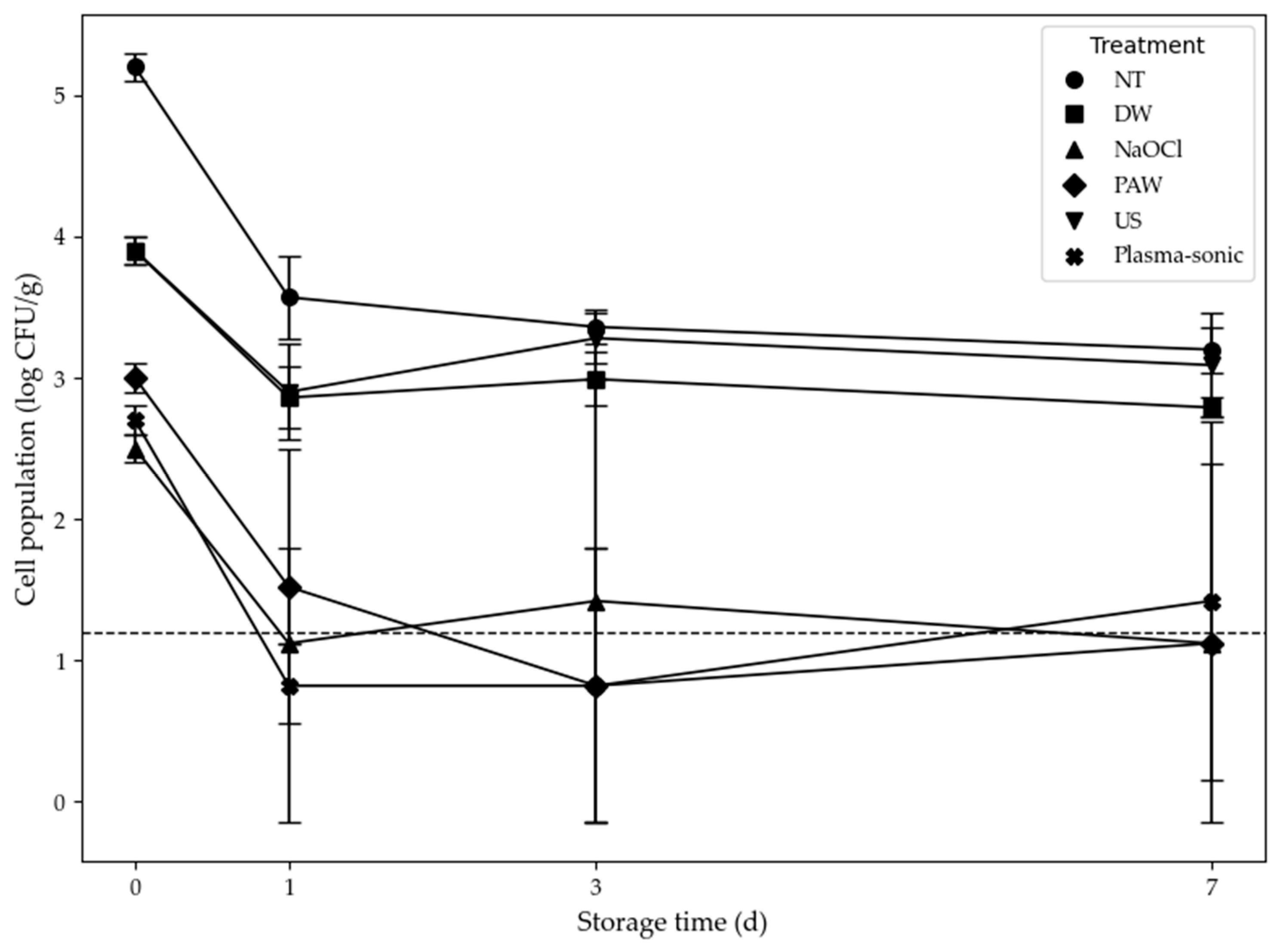
3.1. Microbial Analysis of Indigenous Bacteria in Kale During Storage
3.2. Color of Kale After Treatment
3.3. Quality Attributes of Kale After Treatment and During Storage
4. Conclusions
Author Contributions
Funding
Institutional Review Board Statement
Informed Consent Statement
Data Availability Statement
Conflicts of Interest
References
- de Moraes Motta Machado, M.C.; Lepaus, B.M.; Bernardes, P.C.; de São José, J.F.B. Ultrasound, acetic acid, and peracetic acid as alternatives sanitizers to chlorine compounds for fresh-cut kale decontamination. Molecules 2022, 27, 7019. [Google Scholar] [CrossRef]
- Gao, W.; Lai, S.; Liu, G.; Liu, Y.; Han, F.; Zhang, S.; Li, Z. Metabolome insights into nutrients and glucosinolates in broccoli and lacinato kale. Food Chem. 2025, 480, 143924. [Google Scholar] [CrossRef] [PubMed]
- Wang, H.; Li, Y.; Xi, Q.; Han, R.; Cullen, P.J.; Du, Q.; Wang, J. Application of plasma-activated water for Escherichia coli decontamination and shelf-life extension of kale. Food Qual. Saf. 2022, 6, fyac041. [Google Scholar] [CrossRef]
- de São José, J.F.B.; Vanetti, M.C.D. Application of ultrasound and chemical sanitizers to watercress, parsley and strawberry: Microbiological and physicochemical quality. LWT-Food Sci. Technol. 2015, 63, 946–952. [Google Scholar] [CrossRef]
- Zhou, R.; Zhou, R.; Wang, P.; Xian, Y.; Mai-Prochnow, A.; Lu, X.; Bazaka, K. Plasma-activated water: Generation, origin of reactive species and biological applications. J. Phys. D Appl. Phys. 2020, 53, 303001. [Google Scholar] [CrossRef]
- Thirumdas, R.; Kothakota, A.; Annapure, U.; Siliveru, K.; Blundell, R.; Gatt, R.; Valdramidis, V.P. Plasma activated water (PAW): Chemistry, physico-chemical properties, applications in food and agriculture. Trends Food Sci. Technol. 2018, 77, 21–31. [Google Scholar] [CrossRef]
- Zhao, Y.M.; Oliveira, M.; Burgess, C.M.; Cropotova, J.; Rustad, T.; Sun, D.W.; Tiwari, B.K. Combined effects of ultrasound, plasma-activated water, and peracetic acid on decontamination of mackerel fillets. LWT 2021, 150, 111957. [Google Scholar] [CrossRef]
- Nakonechny, F.; Nisnevitch, M. Different aspects of using ultrasound to combat microorganisms. Adv. Funct. Mater. 2021, 31, 2011042. [Google Scholar] [CrossRef]
- Ali, M.; Cheng, J.H.; Tazeddinova, D.; Aadil, R.M.; Zeng, X.A.; Goksen, G.; Manzoor, M.F. Effect of plasma-activated water and buffer solution combined with ultrasound on fungicide degradation and quality of cherry tomato during storage. Ultrason. Sonochem. 2023, 97, 106461. [Google Scholar] [CrossRef]
- Yu, H.; Liu, Y.; Li, L.; Guo, Y.; Xie, Y.; Cheng, Y.; Yao, W. Ultrasound-involved emerging strategies for controlling foodborne microbial biofilms. Trends Food Sci. Technol. 2020, 96, 91–101. [Google Scholar] [CrossRef]
- Sun, R.; Xu, W.; Xiong, L.; Jiang, N.; Xia, J.; Zhu, Y.; Luo, H. The combined effects of ultrasound and plasma-activated water on microbial inactivation and quality attributes of crayfish during refrigerated storage. Ultrason. Sonochem. 2023, 98, 106517. [Google Scholar] [CrossRef]
- Royintarat, T.; Choi, E.H.; Boonyawan, D.; Seesuriyachan, P.; Wattanutchariya, W. Chemical-free and synergistic interaction of ultrasound combined with plasma-activated water (PAW) to enhance microbial inactivation in chicken meat and skin. Sci. Rep. 2020, 10, 1559. [Google Scholar] [CrossRef]
- Berardinelli, A.; Pasquali, F.; Cevoli, C.; Trevisani, M.; Ragni, L.; Mancusi, R.; Manfreda, G. Sanitisation of fresh-cut celery and radicchio by gas plasma treatments in water medium. Postharvest Biol. Technol. 2016, 111, 297–304. [Google Scholar] [CrossRef]
- Lee, H.W.; Bak, J.Y.J.; Min, S.C. Effects of ultrasound-assisted plasma-activated water washing on the inhibition of natural microorganisms on fresh-cut celery and celery quality properties. Food Sci. Biotechnol. 2024, 33, 3639–3650. [Google Scholar] [CrossRef] [PubMed]
- Kordatzaki, G.; Katsenios, N.; Giannoglou, M.; Andreou, V.; Chanioti, S.; Katsaros, G.; Efthimiadou, A. Effect of foliar and soil application of plant growth promoting bacteria on kale production and quality characteristics. Sci. Hortic. 2022, 301, 111094. [Google Scholar] [CrossRef]
- Lu, F.; Bu, Z.; Lu, S. Estimating chlorophyll content of leafy green vegetables from adaxial and abaxial reflectance. Sensors 2019, 19, 4059. [Google Scholar] [CrossRef] [PubMed]
- Tang, W.; Sun, R.; Jiang, N.; Om, A.S. Effects of ultrasonication coupled with plasma-activated water cleaning on the sterilization and preservation of fresh crucian carp fillets. LWT 2025, 215, 117246. [Google Scholar] [CrossRef]
- Laurita, R.; Gozzi, G.; Tappi, S.; Capelli, F.; Bisag, A.; Laghi, G.; Vannini, L. Effect of plasma activated water (PAW) on rocket leaves decontamination and nutritional value. Innov. Food Sci. Emerg. Technol. 2021, 73, 102805. [Google Scholar] [CrossRef]
- Razavizadeh, B.M.; Ziaratnia, S.M. Ultrasound treatment on saffron (Crocus sativus L.) corm: Impact on textural, morphological, and microbial properties and stigma-derived metabolite compositions. Heliyon 2024, 10, e26077. [Google Scholar] [CrossRef]
- Rotondo, P.R.; Aceto, D.; Ambrico, M.; Stellacci, A.M.; Faretra, F.; De Miccolis Angelini, R.M.; Ambrico, P.F. Physicochemical properties of plasma-activated water and associated antimicrobial activity against fungi and bacteria. Sci. Rep. 2025, 15, 5536. [Google Scholar] [CrossRef]
- Im, S.; Min, S.C. Development and optimization of an ultrasonic plasma-activated water mist system for the inactivation of Escherichia coli O157:H7 on grape tomatoes. Food Control 2025, 159, 111573. [Google Scholar] [CrossRef]
- de São José, J.F.B.; de Andrade, N.J.; Ramos, A.M.; Vanetti, M.C.D.; Stringheta, P.C.; Chaves, J.B.P. Decontamination by ultrasound application in fresh fruits and vegetables. Food Control 2014, 45, 36–50. [Google Scholar] [CrossRef]
- Zhou, B.; de Frias, J.A.; Luo, Y.; Fonseca, J.M.; Feng, H. Impact of power ultrasound on the quality of leafy green produce through a multifrequency, multimode, modulated system. Ultrason. Sonochem. 2025, 113, 107221. [Google Scholar] [CrossRef] [PubMed]
- Ramazzina, I.; Berardinelli, A.; Rizzi, F.; Tappi, S.; Ragni, L.; Sacchetti, G.; Rocculi, P. Effect of cold plasma treatment on physico-chemical parameters and antioxidant activity of minimally processed kiwifruit. Postharvest Biol. Technol. 2015, 107, 55–65. [Google Scholar] [CrossRef]
- Li, X.; Farid, M.M.; Chen, X.D. The effect of ultrasound on water distribution and textural properties of mushrooms during storage. J. Food Eng. 2017, 196, 1–9. [Google Scholar]
- Fan, K.; Zhang, M.; Jiang, F. Ultrasound treatment enhances water retention and storage quality of fruits and vegetables: Mechanisms and applications. Trends Food Sci. Technol. 2021, 109, 1–12. [Google Scholar]
- Cao, S.; Hu, Z.; Pang, B.; Wang, H.; Xie, H. Effects of ultrasound treatment on the storage quality of strawberry. Food Chem. 2002, 79, 231–236. [Google Scholar]
- Jang, J.H.; Moon, K.D. Inhibition of polyphenol oxidase and peroxidase activities on fresh-cut apple by simultaneous ultrasound and ascorbic acid treatment. Food Chem. 2011, 124, 444–449. [Google Scholar] [CrossRef]
- Shanker, M.A.; Khanashyam, A.C.; Pandiselvam, R.; Joshi, T.J.; Thomas, P.E.; Zhang, Y.; Kothakota, A. Implications of cold plasma and plasma activated water on food texture-a review. Food Control 2023, 151, 109793. [Google Scholar] [CrossRef]
- Aihaiti, A.; Maimaitiyiming, R.; Wang, L.; Wang, J. Processing of Fresh-Cut Potato Using Plasma-Activated Water Prepared by Decreasing Discharge Frequency. Foods 2023, 12, 114727. [Google Scholar]
- Queiroz, C.; Lopes, M.L.M.; Fialho, E.; Valente-Mesquita, V.L. Polyphenol oxidase: Characteristics and mechanisms of browning control. Food Rev. Int. 2008, 24, 361–375. [Google Scholar] [CrossRef]
- Perinban, S.; Pankaj, S.K.; Cullen, P.J. Effect of plasma-activated water on microbial inactivation and quality attributes of fresh produce: A review. Innov. Food Sci. Emerg. Technol. 2022, 77, 102947. [Google Scholar]
- Misra, N.N.; Jo, C.; Maity, T. The multifaceted role of plasma-activated water in food preservation and safety: Mechanisms, applications, and challenges. Food Rev. Int. 2019, 35, 763–790. [Google Scholar]
- Zou, Y.; Hou, X.; Gong, L. Ultrasound inactivation of food enzymes: Mechanisms and applications. Crit. Rev. Food Sci. Nutr. 2020, 60, 1951–1967. [Google Scholar]
- Lu, X.; Ye, X.; Ding, T. Effects of ultrasound on enzymes and food quality: A review. Ultrason. Sonochem. 2017, 37, 144–154. [Google Scholar]
- Pan, Y.; Chen, L.; Pang, L.; Chen, X.; Jia, X.; Li, X. Ultrasound treatment inhibits browning and improves antioxidant capacity of fresh-cut sweet potato during cold storage. RSC Adv. 2020, 10, 9193–9202. [Google Scholar] [CrossRef]
- Martín-del-Campo, A.; Fermín-Jiménez, J.A.; Fernández-Escamilla, V.V.; Escalante-García, Z.Y.; Macías-Rodríguez, M.E.; Estrada-Girón, Y. Improved extraction of carrageenan from red seaweed (Chondracantus canaliculatus) using ultrasound-assisted methods and evaluation of the yield, physicochemical properties and functional groups. Food Sci. Biotechnol. 2021, 30, 901–910. [Google Scholar] [CrossRef]




| Treatment | Viable Cell Count 2) (log CFU/g) | Log Reduction (log CFU/g) | Viable Cell Counts in Rinse Water (log CFU/g) |
|---|---|---|---|
| NT 1) | 7.2 ± 0.1 a | - | - |
| DW | 5.4 ± 0.1 b | 1.8 ± 0.1 d | 5.1 ± 0.4 a |
| NaOCl | 4.2 ± 0.3 d | 3.0 ± 0.3 b | 3.0 ± 0.3 c |
| PAW | 5.3 ± 0.0 b | 2.0 ± 0.0 d | 3.2 ± 0.1 bc |
| US | 4.9 ± 0.0 c | 2.3 ± 0.0 c | 4.8 ± 0.1 a |
| Plasma-sonic | 4.0 ± 0.1 e | 3.2 ± 0.1 a | 3.6 ± 0.2 b |
| Treatment | Color | Greenness Index | ||||||
|---|---|---|---|---|---|---|---|---|
| L* 2) | a* | b* | ΔE | OD665 | OD649 | Chlorophyll a | Chlorophyll b | |
| NT 1) | 38.52 ± 1.26 a 3) | −10.16 ± 0.99 d | 13.02 ± 1.89 a | 2.25 ± 1.03 b | 0.39 ± 0.03 c | 0.34± 0.03 a | 4.07 ± 0.12 d | 5.95 ± 0.10 a |
| DW | 36.38 ± 0.11 bc | −7.80 ± 0.71 b | 7.49 ± 1.05 c | 6.40 ± 1.19 a | 0.42 ± 0.01 c | 0.23± 0.01 c | 4.74 ± 0.09 c | 3.29 ± 0.08 c |
| NaOCl | 35.78 ± 0.92 c | −6.86 ± 0.07 a | 7.44 ± 0.65 c | 7.13 ± 0.13 a | 0.39 ± 0.00 c | 0.20 ± 0.00 d | 4.43 ± 0.10 cd | 2.75 ± 0.01 d |
| PAW | 37.29 ± 0.30 b | −8.72 ± 0.19 c | 10.76 ± 0.25 b | 2.98 ± 0.19 b | 0.42 ± 0.01 c | 0.25 ± 0.01 bc | 4.69 ± 0.07 c | 3.75 ± 0.09 c |
| US | 36.81 ± 0.21 bc | −11.07 ± 0.48 e | 13.35 ± 0.92 a | 2.18 ± 0.45 b | 0.61 ± 0.01 b | 0.33 ± 0.01 ab | 6.89 ± 0.11 b | 4.69 ± 0.10 b |
| Plasma-sonic | 38.16 ± 0.30 a | −12.24 ± 0.24 f | 13.69 ± 0.51 a | 2.27 ± 0.37 b | 0.74 ± 0.01 a | 0.43± 0.01 a | 8.28 ± 0.13 a | 6.37 ± 0.12 a |
| Treatment | Wet Weight (g) 2) | Dry Weight (g) | Moisture Content (%) | Dry Residue (%) | A (%) 2) |
|---|---|---|---|---|---|
| NT 1) | 2.0 ± 0.0 NS 3) | 0.3 ± 0.0 NS | 85.6 ± 0.4 bc 4) | 14.4 ± 0.4 ab | 694.5 ± 20.8 bc |
| DW | 2.0 ± 0.0 NS | 0.3 ± 0.0 NS | 85.2 ± 0.7 bc | 14.8 ± 0.7 ab | 678.6 ± 30.7 bc |
| NaOCl | 2.0 ± 0.0 NS | 0.2 ± 0.0 NS | 87.3 ± 0.8 ab | 12.7 ± 0.8 bc | 789.2 ± 50.4 ab |
| Plasma-sonic | 2.0 ± 0.0 NS | 0.2 ± 0.0 NS | 89.4 ± 0.3 a | 10.6 ± 0.3 c | 945.9 ± 30.2 a |
| Treatment | Storage (d) | Firmness (N) | Color | pH | |||
|---|---|---|---|---|---|---|---|
| L* 2) | a* | b* | ΔE | ||||
| NT 1) | 0 | 744.20 ± 158.40 c | 40.51 ± 1.17 a | −12.50 ± 1.27 b | 7.53 ± 0.02 a 3) | 2.54 ± 1.51 c | 4.11 ± 0.24 |
| 1 | 645.68 ± 160.85 c | 39.70 ± 1.74 NS 4) | −12.29 ± 1.77 NS | 6.37 ± 0.01 b | 3.62 ± 1.62 NS | 3.17 ± 0.44 | |
| 3 | 610.60 ± 135.71 c | 41.60 ± 1.57 NS | −14.26 ± 1.07 b | 6.24 ± 0.01 a | 4.08 ± 1.99 NS | 3.31 ± 0.17 | |
| 7 | 623.54 ± 134.41 c | 36.88 ± 0.82 NS | −7.85 ± 0.56 a | 6.60 ± 0.04 b | 9.71 ± 1.01 NS | 3.76 ± 0.41 | |
| NaOCl | 0 | 1589.65 ± 200.23 b | 34.70 ± 0.51 b | −7.30 ± 0.52 a | 6.07 ± 0.01 c | 10.94 ± 0.63 a | 1.36 ± 1.10 |
| 1 | 973.69 ± 174.73 b | 38.93 ± 2.32 NS | −12.61 ± 1.38 NS | 6.49 ± 0.02 a | 3.34 ± 2.10 NS | 2.96 ± 1.43 | |
| 3 | 722.63 ± 116.43 b | 35.35 ± 6.98 NS | −9.51 ± 1.14 a | 6.16 ± 0.00 b | 8.10 ± 6.73 NS | 5.69 ± 0.19 | |
| 7 | 682.79 ± 169.04 b | 41.78 ± 1.57 NS | −14.43 ± 0.88 c | 6.70 ± 0.00 a | 5.40 ± 2.27 NS | 5.84 ± 0.07 | |
| Plasma-sonic | 0 | 3357.85 ± 713.48 a | 36.45 ± 1.35 b | −10.40 ± 0.89 b | 6.13 ± 0.00 b | 6.18 ± 1.24 b | 3.85 ± 0.51 |
| 1 | 1753.80 ± 289.10 a | 35.67 ± 1.79 NS | −11.40 ± 0.73 NS | 6.00 ± 0.01 c | 5.57 ± 1.69 NS | 3.31 ± 0.12 | |
| 3 | 810.62 ± 138.65 a | 34.77 ± 1.57 NS | −11.42 ± 1.07 a | 6.08 ± 0.02 c | 6.63 ± 1.99 NS | 3.27 ± 0.21 | |
| 7 | 716.05 ± 117.67 a | 36.44 ± 5.16 NS | −11.65 ± 1.34 b | 6.33 ± 0.01 c | 5.55 ± 5.07 NS | 2.65 ± 0.40 | |
Disclaimer/Publisher’s Note: The statements, opinions and data contained in all publications are solely those of the individual author(s) and contributor(s) and not of MDPI and/or the editor(s). MDPI and/or the editor(s) disclaim responsibility for any injury to people or property resulting from any ideas, methods, instructions or products referred to in the content. |
© 2025 by the authors. Licensee MDPI, Basel, Switzerland. This article is an open access article distributed under the terms and conditions of the Creative Commons Attribution (CC BY) license (https://creativecommons.org/licenses/by/4.0/).
Share and Cite
Bak, J.-y.J.; Kim, S.-Y.; Min, S.C. Enhancing Post-Harvest Storability of Kale Using Plasma-Sonic Treatment. Foods 2025, 14, 4014. https://doi.org/10.3390/foods14234014
Bak J-yJ, Kim S-Y, Min SC. Enhancing Post-Harvest Storability of Kale Using Plasma-Sonic Treatment. Foods. 2025; 14(23):4014. https://doi.org/10.3390/foods14234014
Chicago/Turabian StyleBak, Ji-yeong Jessica, Si-Yeon Kim, and Sea C. Min. 2025. "Enhancing Post-Harvest Storability of Kale Using Plasma-Sonic Treatment" Foods 14, no. 23: 4014. https://doi.org/10.3390/foods14234014
APA StyleBak, J.-y. J., Kim, S.-Y., & Min, S. C. (2025). Enhancing Post-Harvest Storability of Kale Using Plasma-Sonic Treatment. Foods, 14(23), 4014. https://doi.org/10.3390/foods14234014

