Is There Variation in the Morphology of the Frontal Sinus in Individuals with Different Craniofacial Patterns? A Systematic Review with Meta-Analysis
Abstract
1. Introduction
2. Materials and Methods
2.1. Eligibility Criteria
- Population (P): Adolescents and adults (over 12 years old). Non-clinical studies were not included.
- Exposure (E): Craniofacial patterns compatible with malocclusion (i.e., distobasal jaw relation, i.e., Class II relation, mesiobasal jaw relation, i.e., Class III relation, hyperdivergent vertical pattern, long face, etc.).
- Comparator (C): “Normal” craniofacial patterns (i.e., neutral basal sagittal relation, i.e., Class I relation, normodivergent vertical pattern, etc.).
- Outcome (O): Morphology of the frontal sinus, including two- and three-dimensional measurements (i.e., area, perimeter, width, height, shape, etc.).
- Study design (S): Observational studies. Baseline data from intervention studies were also considered of interest. Case reports, case series, reviews, letters to the editor, or expert opinion were not included.
2.2. Information Sources and Search Strategy
2.3. Study Selection and Data Extraction
2.4. Assessment of Study Quality (Risk of Bias)
2.5. Methods for Synthesis and Evaluation of the Certainty of Evidence
3. Results
3.1. Selection and Characteristics of the Studies
3.2. Quality of Studies
3.3. Results of Individual Studies and Synthesis
3.4. Relationship between Sagittal Craniofacial Patterns and Frontal Sinus Morphology
3.5. Relationship between Vertical Craniofacial Patterns and Frontal Sinus Morphology
3.6. Certainty of the Evidence
4. Discussion
5. Conclusions
Supplementary Materials
Author Contributions
Funding
Institutional Review Board Statement
Informed Consent Statement
Data Availability Statement
Acknowledgments
Conflicts of Interest
References
- Wanzeler, A.M.V.; Alves-Júnior, S.M.; Ayres, L.; da Costa Prestes, M.C.; Gomes, J.T.; Tuji, F.M. Sex estimation using paranasal sinus discriminant analysis: A new approach via cone beam computerized tomography volume analysis. Int. J. Leg. Med. 2019, 133, 1977–1984. [Google Scholar] [CrossRef] [PubMed]
- Standring, S. Gray’s Anatomy: The Anatomical Basis of Clinical Practice, 39th ed.; Churchill Livingstone Elsevier: London, UK, 2005; pp. 575–576. [Google Scholar]
- Kiran, C.S.; Ramaswamy, P.; Khaitan, T. Frontal sinus index: New tool for sex determination. J. Forensic Radiol. Imaging 2014, 2, 77–79. [Google Scholar] [CrossRef]
- Buyuk, S.K.; Karaman, A.; Yasa, Y. Association between frontal sinus morphology and craniofacial parameters: A forensic view. J. Forensic Leg. Med. 2017, 49, 20–23. [Google Scholar] [CrossRef]
- Hacl, A.; Costa, A.L.F.; Oliveira, J.M.; Tucunduva, M.J.; Girondi, J.R.; Nahas-Scocate, A.C.R. Three-dimensional volumetric analysis of frontal sinus using medical software. J. Forensic Radiol. Imaging 2017, 11, 1–5. [Google Scholar] [CrossRef]
- Prashar, A.; Sharma, V.P.; Singh, G.K.; Singh, G.P.; Sharma, N.; Singh, H. A cephalometric study of frontal sinus and its relation with craniofacial patterns. Indian J. Dent. Sci. 2012, 4, 4–8. [Google Scholar]
- Gadekar, N.B.; Kotrashettiet, V.S.; Hosmani, J.; Nayak, R. Forensic application of frontal sinus measurement among the Indian population. J. Oral. Maxillofac. Pathol. 2019, 23, 147–151. [Google Scholar]
- Greenberg, B.L. Etiology of skeletal malocclusion. In Craniomaxillofacial Reconstructive and Corrective Bone Surgery; Greenberg, A., Schmelzeisen, R., Eds.; Springer: New York, NY, USA, 2019; pp. 39–43. [Google Scholar]
- Serafim, I.M.; Vilani, G.N.; Siqueira, V.C.V. Relationship between mandibular growth and skeletal maturation in young melanodermic Brazilian women. Dent. Press J. Orthod. 2010, 15, 58–70. [Google Scholar] [CrossRef]
- Said, O.T.; Rossouw, P.E.; Fishman, L.S.; Feng, C. Relationship between anterior occlusion and frontal sinus size. Angle Orthod. 2017, 87, 752–758. [Google Scholar] [CrossRef]
- Tehranchi, A.; Motamedian, S.R.; Saedi, S.; Kabiri, S.; Shidfar, S. Correlation between frontal sinus dimensions and cephalometric indices: A cross-sectional study. Eur. J. Dent. 2017, 11, 64–70. [Google Scholar] [CrossRef]
- Sabharwal, A.; Patil, A.S.; Shinde, S.; Swami, V. Analysis of frontal sinus in various malocclusions. Int. J. Orthod. Rehabil. 2019, 10, 116–120. [Google Scholar] [CrossRef]
- Yassaei, S.; Emami, A.; Mirbeigi, S. Cephalometric association of mandibular size/length to the surface area and dimensions of the frontal and maxillary sinuses. Eur. J. Dent. 2018, 12, 253–261. [Google Scholar] [CrossRef] [PubMed]
- Gupta, A.; Giri, A.; Shrestha, R.M. Dimensional analysis of frontal sinus in various skeletal malocclusions. J. Nepal. Dent. Assoc. 2021, 21, 7–13. [Google Scholar]
- Metin-Gürsoy, G.; Akay, G.; Tuncer, B.B. Frontal sinus: Is it a predictor for vertical malocclusions? Anat. Sci. Int. 2021, 96, 62–69. [Google Scholar] [CrossRef] [PubMed]
- Algahefi, A.L.; Alhammadi, M.S.; Zheng, B.; Almashraqi, A.A.; Zhao, Y.; Liu, Y. Morphological and dimensional variations of the frontal air sinuses in a group of adolescent Caucasians and Chinese in different skeletal malocclusions: A cross-sectional cephalometric study. Clin. Oral. Investig. 2022, 26, 5711–5719. [Google Scholar] [CrossRef] [PubMed]
- Tunca, M.; Kaplan, V.; Kaya, Y.; Tunca, Y. The relationship between frontal sinus dimensions and skeletal malocclusion. Eur. Oral. Res. 2022, 56, 130–135. [Google Scholar] [CrossRef] [PubMed]
- Abate, A.; Gaffuri, F.; Lanteri, V.; Fama, A.; Ugolini, A.; Mannina, L.; Maspero, C. A CBCT based analysis of the correlation between volumetric morphology of the frontal sinuses and the facial growth pattern in caucasian subjects. A cross-sectional study. Head Face Med. 2022, 18, 4. [Google Scholar] [CrossRef]
- Sawada, M.; Yamada, H.; Higashino, M.; Abe, S.; Tanaka, E. Volumetric Assessment of the Frontal Sinus in Female Adolescents and Its Relationship with Craniofacial Morphology and Orthodontic Treatment: A Pilot Study. Int. J. Environ. Res. Public Health 2022, 19, 7287. [Google Scholar] [CrossRef] [PubMed]
- Denny, C.; Bhoraskar, M.; Shaikh, S.A.A.; Bastian, T.S.; Sujir, N.; Natarajan, S. Investigating the link between frontal sinus morphology and craniofacial characteristics with sex: A 3D CBCT study on the South Indian population. F1000Research 2023, 12, 811. [Google Scholar] [CrossRef] [PubMed]
- Kumar, A.A.; Muthuswamy Pandian, S. Assessment of Frontal Sinus Volume and Cranial Base Length Based on Different Vertical Skeletal Patterns: A Cone Beam Computed Tomographic Study. Cureus 2024, 16, e55099. [Google Scholar] [CrossRef]
- Zheng, X.; Ding, S.; Mei, Q.; Wu, C.; Zhang, Q.; Fu, C.; Han, Q.; Jin, S.; Yu, R.; Yu, M.; et al. A cross-sectional study: Correlation of forehead morphology and dentoskeletal malocclusion in Chinese people. BMC Oral. Health 2024, 24, 50. [Google Scholar] [CrossRef]
- Algahefi, A.L.; Alak’hali, M.S.; Halboub, E.; Tong, F.; Almashraqi, A.A.; Ghaleb, L.H.; Zhihua, L.; Alhammadi, M.S. The relationship between the dimensions of frontal air sinus and skeletal malocclusions: A systematic review and meta-analysis. Heliyon 2024, 10, e24200. [Google Scholar] [CrossRef] [PubMed]
- Page, M.J.; McKenzie, J.E.; Bossuyt, P.M.; Boutron, I.; Hoffmann, T.C.; Mulrow, C.D.; Shamseer, L.; Tetzlaff, J.M.; Akl, L.A.; Brennan, S.E.; et al. The PRISMA 2020 statement: An updated guideline for reporting systematic reviews. BMJ 2021, 372, n71. [Google Scholar] [CrossRef] [PubMed]
- Wells, G.A.; Shea, B.; O’Connell, D.; Peterson, J.; Welch, V.; Losos, M.; Tugwell, P. The Newcastle-Ottawa Scale (NOS) for Assessing the Quality of Nonrandomised Studies in Metaanalyses. Available online: https://www.ohri.ca/programs/clinical_epidemiology/oxford.asp (accessed on 1 March 2024).
- Modesti, P.A.; Reboldi, G.; Cappuccio, F.P.; Agyemang, C.; Remuzzi, G.; Rapi, S.; Perruolo, E.; Parati, G. ESH Working Group on CV Risk in Low Resource Settings. Panethnic differences in blood pressure in Europe: A systematic review and meta-analysis. PLoS ONE 2016, 11, e0147601. [Google Scholar] [CrossRef] [PubMed]
- Balshem, H.; Helfand, M.; Schünemann, H.J.; Oxman, A.D.; Kunz, R.; Brozek, J.; Vist, G.E.; Falck-Ytter, Y.; Meerpohl, J.; Norris, S.; et al. GRADE guidelines: 3. Rating the quality of evidence. J. Clin. Epidemiol. 2011, 64, 401–406. [Google Scholar] [CrossRef] [PubMed]
- Ahn, E.; Kang, H. Introduction to systematic review and meta-analysis. Korean J. Anesthesiol. 2018, 71, 103–112. [Google Scholar] [CrossRef] [PubMed]
- Rossouw, P.E.; Lombard, C.J.; Harris, A.M. The frontal sinus and mandibular growth prediction. Am. J. Orthod. Dentofacial Orthop. 1991, 100, 542–546. [Google Scholar] [CrossRef]
- Alhammadi, M.S.; Halboub, E.; Fayed, M.S.; Labib, A.; El-Saaidi, C. Global distribution of malocclusion traits: A systematic review. Dent. Press J. Orthod. 2018, 23, e1–e40. [Google Scholar] [CrossRef] [PubMed]
- Lombardo, G.; Vena, F.; Negri, P.; Pagano, S.; Barilotti, C.; Paglia, L.; Colombo, S.; Orso, M.; Cianetti, S. Worldwide prevalence of malocclusion in the different stages of dentition: A systematic review and meta-analysis. Eur. J. Paediatr. Dent. 2020, 21, 115–122. [Google Scholar]
- De Ridder, L.; Aleksieva, A.; Willems, G.; Declerck, D.; Cadenas de Llano-Pérula, M. Prevalence of orthodontic malocclusions in healthy children and adolescents: A systematic review. Int. J. Environ. Res. Public Health 2022, 19, 7446. [Google Scholar] [CrossRef] [PubMed]
- Kawamura, A.; Kasai, K.; Aboshi, H.; Matsuno, M.; Kanazawa, E. Morphological variation of the frontal sinus in Melanesian (Fiji) and Polynesian (Western Samoa) populations. J. Oral. Sci. 1998, 40, 25–30. [Google Scholar] [CrossRef]
- Guevara, Y.V.; Watanabe, N.; Yamaki, M.; Saito, I. The frontal sinus enlargement as an indicator of growth maturity in class III patients: A pilot study. Int. J. Med. Sci. Public Health 2013, 2, 451–455. [Google Scholar] [CrossRef]
- Delgado-Rodríguez, M.; Llorca, J. Bias. J. Epidemiol. Community Health 2004, 58, 635–641. [Google Scholar] [CrossRef] [PubMed]









| Reference | Selection | Comparability | Outcome | Score | ||||
|---|---|---|---|---|---|---|---|---|
| Representativeness of the Sample | Sample Size Justified | Non-Respondents | Ascertainment of Exposure (max **) | Confounding Controlled (max **) | Outcome Assessment (max **) | Statistics | Total | |
| Serafim et al. [9] | * | ** | ** | * | 6/10 | |||
| Said et al. [10] | * | * | ** | ** | * | 7/10 | ||
| Tehranchi et al. [11] | * | ** | * | ** | * | 7/10 | ||
| Sabharwal et al. [12] | * | ** | * | 4/10 | ||||
| Yassaei et al. [13] | * | * | ** | * | 5/10 | |||
| Gupta et al. [14] | * | * | * | * | ** | * | 7/10 | |
| Metin-Gürsoy et al. [15] | * | * | ** | * | 5/10 | |||
| Abate et al. [18] | * | * | ** | * | ** | * | 8/10 | |
| Algahefi et al. [16] | * | ** | ** | * | 6/10 | |||
| Sawada et al. [19] | * | * | ** | ** | * | 7/10 | ||
| Tunca et al. [17] | * | * | ** | ** | * | 7/10 | ||
| Denny et al. [20] | * | * | ** | * | 5/10 | |||
| Kumar and Pandian [21] | ** | ** | * | 5/10 | ||||
| Zheng et al. [22] | * | * | ** | * | ** | * | 8/10 | |
| Author | Sample Age (Years) and Ethnicity | Image Exam | Exposure (Craniofacial Measurements) | Outcome(s) (Frontal Sinus Measurements) | Sample Size/Distribution | Authors’ Results and Conclusions |
|---|---|---|---|---|---|---|
| Serafim et al. [9] | 8–14 (Brazilian women) | Lateral cephalogram | Co-Gn, Co-Go, Go-Gn, and Fg-Pg | Width Height | Total: 140 | There was a low correlation between frontal sinus dimension and cephalometric measurements. |
| Said et al. [10] | Males older than 15 years; Females older than 13 years (North American) | Lateral cephalogram Posterior–anterior cephalogram | SN, SNA, SNB, ANB, Wits, MP-SN, PP-MP, ODI, U1-L1, Overbite, Overjet, U1-SN, U1-PP, and IMPA | Area | Total: 171 Class I (n = 20) Bimaxillary protrusion (n = 19) Open bite (n = 19) Class III with positive overjet (n = 19) Class III with anterior crossbite (n = 19) Class III with edge-to-edge (n = 5) Class II division 2 (n = 17) Class II division 1 with anterior contact (n = 19) Class II division 1 with no anterior contact (n = 19) | The measurements SN, MP-SN, and U1-PP were significantly associated with frontal sinus area. |
| Tehranchi et al. [11] | ≥12 years (Iranian) | Lateral cephalogram Posterior–anterior cephalogram | SN-FH, Saddle, Articular, Gonial, Sum of posterior, Facial angle, Occ-SN, Pal-SN, Man-SN, SNA, SNB, ANB, Wits, Y-axis, and Jarabak index | Width Height Area | Total: 144 | Greater dimensions of the frontal sinus were associated with decreased inclination of the anterior cranial base. There was also a correlation between frontal sinus dimensions and increased anterior facial height (sum of posterior angles, Pal-SN, and Jarabak index) in males and increased gonial angle in females. |
| Sabharwal et al. [12] | 16–30 (Indian) | Lateral cephalogram | ANB was used to determine skeletal malocclusion Co-Gn (not related to sinus measurements) | Width Height Area | Total: 120 Class I (n = 18) Class II (n = 90) Class III (n = 12) | The width and area of frontal sinus are statistically significantly greater in Class III patients. |
| Yassaei et al. [13] | 15–20 (Iranian) | Lateral cephalogram | ANB was used to determine skeletal malocclusion SN, AR-S, Go-Gn, SN-GoGn, Jarabak index, Sum of posterior angles, Gonial angle, Wits, and Occlusal plane | Width Height Area Ratio height/ width | Total: 116 Class I (n = 38) Class II with mandibular deficiency (n = 40) Class III with mandibular excess (n = 40) | Dimensions and surface area of the frontal sinus were greater in Class III patients. Dimensions and surface area of the frontal sinuses (except for the width) had a correlation with the mandibular body length, and the anterior and posterior cranial bases. Frontal sinus width had a correlation with the mandibular body length and the anterior cranial base. |
| Gupta et al. [14] | 16–30 (Nepalese) | Lateral cephalogram | ANB was used to determine skeletal malocclusion Co-Gn (not related to sinus measurements) | Width Height Area | Total: 195 Class I (n = 65) Class II (n = 65) Class III (n = 65) | The frontal sinus area and width were statistically significant greater in Class III and smaller in Class II patients. |
| Metin-Gürsoy et al. [15] | 17–38 (Turkish) | Cone-beam computed tomography (CBCT) | Jarabak’s ratio, SN/GoGn, N-Me, N-ANS, SNA, SN/PP, and Post. SUM | Height and width in the coronal plane; depth in the axial plane | Total: 87 Hypodivergent (n = 27) Normodivergent (n = 31) Hyperdivergent (n = 19) | The anterior–posterior dimension of the frontal sinus decreased according to the vertical growth pattern and was statistically correlated with vertical craniofacial structures. |
| Abate et al. [18] | 12–40 (Italian) | Cone-beam computed tomography (CBCT) | SNA, SNB, ANB, SN, Total anterior height (AH), Upper AH, Lower AH, and ANS.PNS-Go.Me | Volume, total surface, linear maximum width, height, and depth | Total: 80 | An increase in the depth, surface area, and volume of the frontal sinus was correlated with increasing SNB. The volume of the frontal sinus was increased in subjects with greater anterior skeletal dimension and with a greater SN. A decrease in ANB was correlated with an increase in frontal sinus volume. |
| Algahefi et al. [16] | Mean: 17.86 ± 3.49 (Caucasian); 17.32 ± 3.36 (Chinese) (Yemeni and Chinese) | Lateral cephalogram | ANB was used to determine skeletal malocclusion S-N, S-G, S-N/G-M, and Sg-N-G | Width Height Area Ratio height/width (index) | Total: 290 Caucasian: Class I (n = 65) Class II (n = 50) Class III (n = 30) Chinese: Class I (n = 65) Class II (n = 50) Class III (n = 30) | The frontal sinus area was statistically significant greater in Class III patients. The surface area and dimensions of the frontal sinus correlated with the S-N, S-G, S-N/G-M, and Sg-N-G. |
| Sawada et al. [19] | 13.9 ± 1.3 (Japanese females) | Computed tomography | SNA, SNB, ANB, Facial angle, Y-axis, Gonial angle, FMA, PP-FH, SN, Wits, N-Me, Ar-Go, Ar-Me, and Go-Me | Breadth Height Depth Volume | Total: 53 Class I (n = 20) Class II (n = 20) Class III (n = 13) | No differences were observed in breadth, height, depth, or volume of the frontal sinus according to skeletal malocclusion. |
| Tunca et al. [17] | 17–25 (Turkish) | Lateral cephalogram | ANB was used to determine skeletal malocclusion S-N, Co-A, and Co-Gn. | Width Height | Total: 60 Class I (n = 20) Class II (n = 20) Class III (n = 20) | The increase in frontal sinus height and width was correlated with the decrease in ANB and the increase in SN and Co-Gn. Frontal sinus dimensions are statistically significant greater in Class III patients. |
| Denny et al. [20] | 20–54 (South Indians) | Cone-beam computed tomography (CBCT) | Cranial, nasal, maxillary, and mandibular width | Mesiodistal, anteroposterior, and superior–inferior measurements | Total: 142 | Frontal sinus measurements correlated with nasal, cranial, maxillary, and mandibular width. |
| Kumar and Pandian [21] | 20–35 (Indians) | Cone-beam computed tomography (CBCT) | Ar-Go, Ar-Go-Gn, and OP-HO | Volume | Total: 90 Normal overbite (n = 30) Skeletal open bite (n = 30) Skeletal deep bite (n = 30) | Frontal sinus volume was similar in subjects with a skeletal open bite and a deep bite. |
| Zheng et al. [22] | Males 17.15 ± 7.68; Females 18.35 ± 8.06 (Chinese) | Lateral cephalogram | ANB | Ratio heigth/width (index) | Total: 405 Class I (n = 204) Class II (n = 127) Class III (n = 74) | There was no statistically significant difference in bone classification, indicating that the frontal sinus depth had little relationship with dentoskeletal malocclusion. |
| # of Participants | Absolute Effect | Overall Certainty | |||||||
|---|---|---|---|---|---|---|---|---|---|
| # of Datasets | Design of the Studies | Risk of Bias | Inconsistency | Indirectness | Imprecision | Other Considerations | MD (95% CI) | ||
| Height (Class I vs. Class II) | |||||||||
| 7 | Observational | Serious a | Very serious b,c | Serious d | Serious e | None | 606 | MD: 1.04 (−0.42, 2.50) | ⨁◯◯◯ VERY LOW |
| Width (Class I vs. Class II) | |||||||||
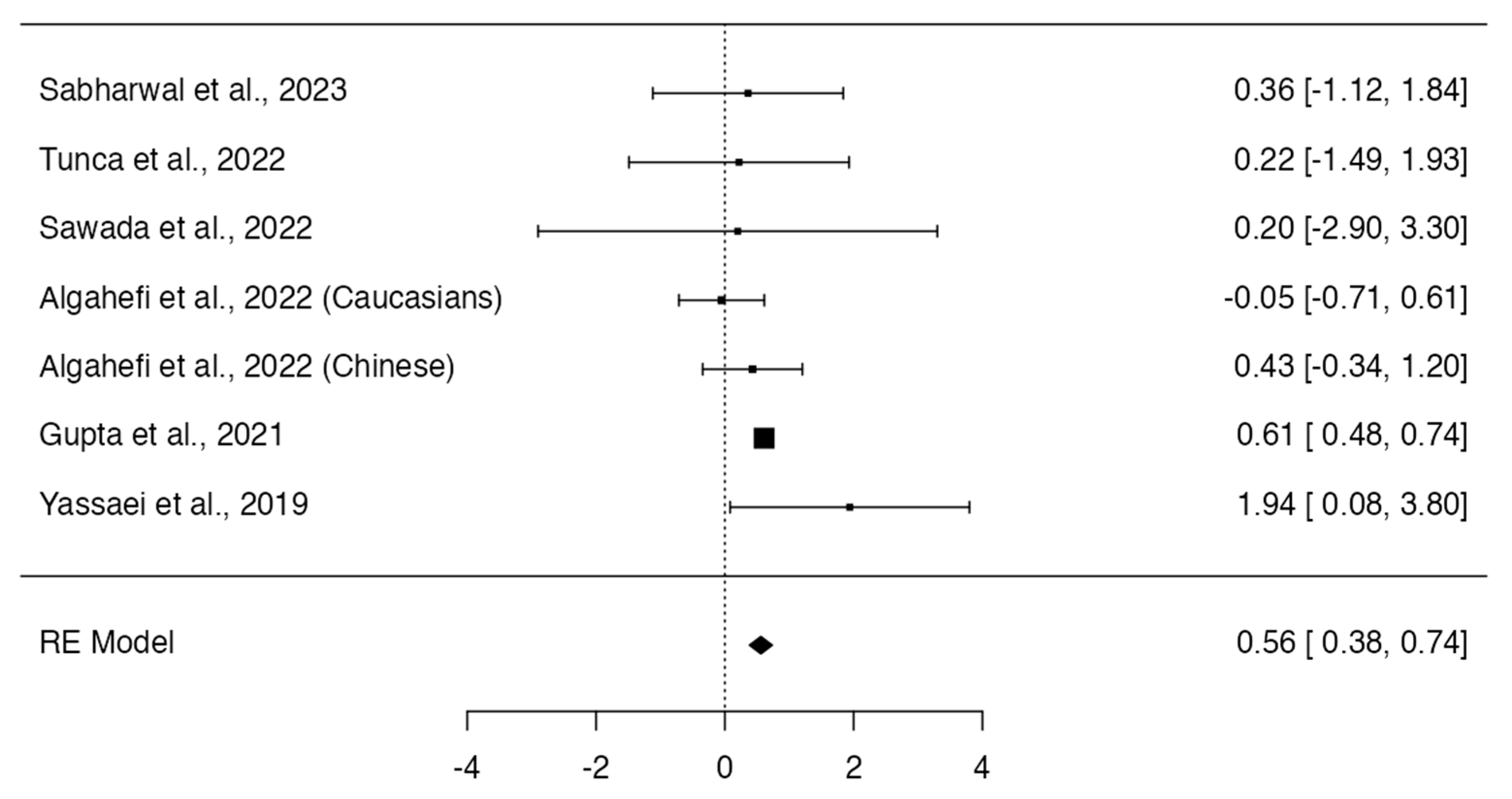
| 7 | Observational | Serious a | Not serious | Serious d | Not serious | None | 606 | MD: 0.56 (0.38, 0.74) | ⨁◯◯◯ VERY LOW |
| Area (Class I vs. Class II) | |||||||||
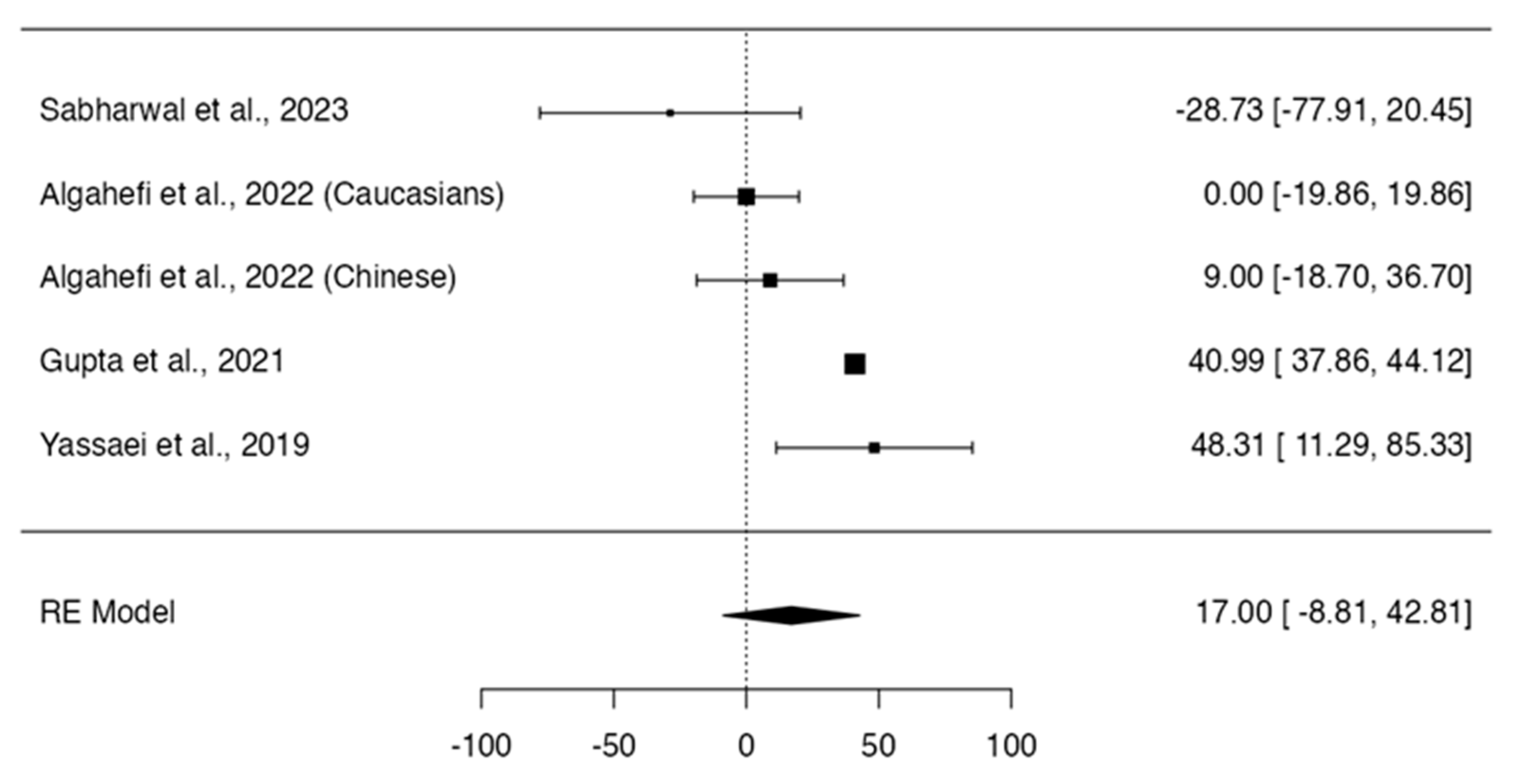
| 5 | Observational | Serious a | Very Serious b,c | Not serious | Serious e | None | 546 | MD: 10.0 (−8.8, 42.8) | ⨁◯◯◯ VERY LOW |
| Frontal sinus index (Class I vs. Class II) | |||||||||
| 4 | Observational | Serious a | Not serious | Serious d | Not serious | None | 639 | MD: −0.01 (−0.05, 0.08) | ⨁◯◯◯ VERY LOW |
| Height (Class I vs. Class III) | |||||||||
| 7 | Observational | Serious a | Very serious b,c | Serious d | Serious e | None | 501 | MD: −1.08 (−3.21, 1.04) | ⨁◯◯◯ VERY LOW |
| Width (Class I vs. Class III) | |||||||||
| 7 | Observational | Serious a | Serious b | Serious d | Not serious | None | 501 | MD: −0.91 (−1.35, −0.47) | ⨁◯◯◯ VERY LOW |
| Area (Class I vs. Class III) | |||||||||
| 5 | Observational | Serious a | Very serious b,c | Not serious | Not serious | None | 428 | MD: −28.1 (−49.0, −7.23) | ⨁◯◯◯ VERY LOW |
| Frontal sinus index (Class I vs. Class III) | |||||||||
| 3 | Observational | Serious a | Not serious | Serious d | Serious e | None | 544 | MD: 0.06 (−0.03, 0.14) | ⨁◯◯◯ VERY LOW |
Disclaimer/Publisher’s Note: The statements, opinions and data contained in all publications are solely those of the individual author(s) and contributor(s) and not of MDPI and/or the editor(s). MDPI and/or the editor(s) disclaim responsibility for any injury to people or property resulting from any ideas, methods, instructions or products referred to in the content. |
© 2024 by the authors. Licensee MDPI, Basel, Switzerland. This article is an open access article distributed under the terms and conditions of the Creative Commons Attribution (CC BY) license (https://creativecommons.org/licenses/by/4.0/).
Share and Cite
Küchler, E.C.; Oliveira, M.B.C.R.d.; Madalena, I.R.; Kirschneck, C.; Beisel-Memmert, S.; de Oliveira, D.S.B.; Schroder, Â.G.D.; Lepri, C.P.; de Menezes-Oliveira, M.A.H.; Marañón-Vásquez, G.A. Is There Variation in the Morphology of the Frontal Sinus in Individuals with Different Craniofacial Patterns? A Systematic Review with Meta-Analysis. Dent. J. 2024, 12, 143. https://doi.org/10.3390/dj12050143
Küchler EC, Oliveira MBCRd, Madalena IR, Kirschneck C, Beisel-Memmert S, de Oliveira DSB, Schroder ÂGD, Lepri CP, de Menezes-Oliveira MAH, Marañón-Vásquez GA. Is There Variation in the Morphology of the Frontal Sinus in Individuals with Different Craniofacial Patterns? A Systematic Review with Meta-Analysis. Dentistry Journal. 2024; 12(5):143. https://doi.org/10.3390/dj12050143
Chicago/Turabian StyleKüchler, Erika Calvano, Maria Beatriz Carvalho Ribeiro de Oliveira, Isabela Ribeiro Madalena, Christian Kirschneck, Svenja Beisel-Memmert, Daniela Silva Barroso de Oliveira, Ângela Graciela Deliga Schroder, César Penazzo Lepri, Maria Angélica Hueb de Menezes-Oliveira, and Guido Artemio Marañón-Vásquez. 2024. "Is There Variation in the Morphology of the Frontal Sinus in Individuals with Different Craniofacial Patterns? A Systematic Review with Meta-Analysis" Dentistry Journal 12, no. 5: 143. https://doi.org/10.3390/dj12050143
APA StyleKüchler, E. C., Oliveira, M. B. C. R. d., Madalena, I. R., Kirschneck, C., Beisel-Memmert, S., de Oliveira, D. S. B., Schroder, Â. G. D., Lepri, C. P., de Menezes-Oliveira, M. A. H., & Marañón-Vásquez, G. A. (2024). Is There Variation in the Morphology of the Frontal Sinus in Individuals with Different Craniofacial Patterns? A Systematic Review with Meta-Analysis. Dentistry Journal, 12(5), 143. https://doi.org/10.3390/dj12050143

