Synthesis and Characterization of Zirconia–Silica PMMA Nanocomposite for Endodontic Implants
Abstract
1. Introduction
2. Materials and Methods
2.1. Materials
2.2. Synthesis of Fillers
2.2.1. Synthesis SiO2
2.2.2. Synthesis ZrO2
2.2.3. Synthesis of the ZrO2-SiO2 Mixture
2.3. Preparation of Nanocomposite
2.4. Toxicity Test
3. Results and Discussion
3.1. Characteristics of Filler before and after Beads Mill
3.2. Characteristics of Composite with Various Types of Fillers
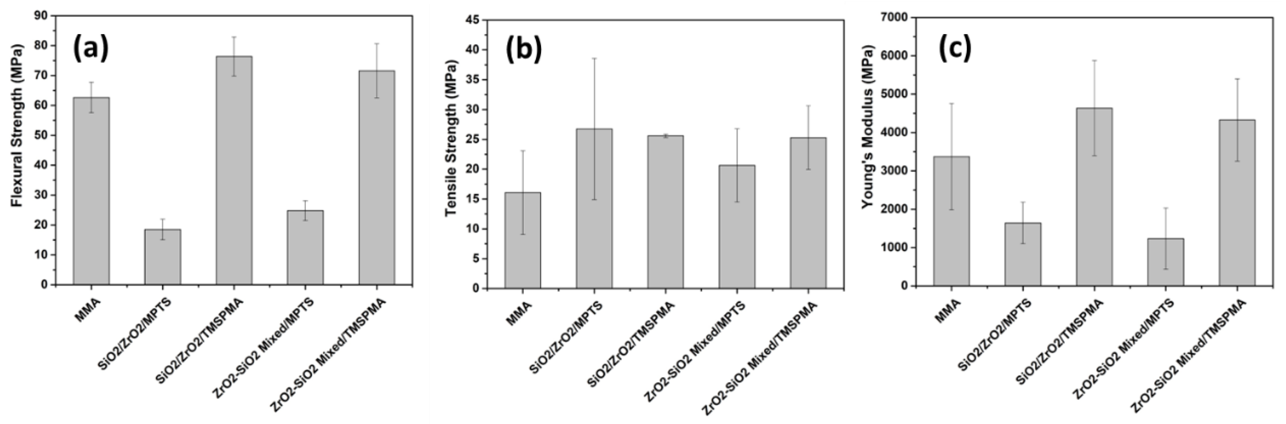
3.3. Mechanical Properties of Composite with Various Types of Fillers
3.4. Toxicity Test of Selected Composite with Enhanced Mechanical Properties
4. Conclusions
Author Contributions
Funding
Conflicts of Interest
References
- Vaishya, R.; Chauhan, M.; Vaish, A. Bone cement. J. Clin. Orthop. Trauma. 2013, 4, 157–163. [Google Scholar] [CrossRef]
- Tanuja, B. A Complete Review of Dental Implant Materials. Int. J. Recent Sci. Res. 2018, 9, 29665–29669. [Google Scholar]
- Frazer, R.Q.; Byron, R.T.; Osborne, P.B.; West, K.P. PMMA: An Essential Material in Medicine and Dentistry. J. Long-Term Eff. Med. Implants 2005, 15, 629–639. [Google Scholar] [CrossRef]
- Punet, X.; Mauchauffe, R.; Rodríguez-Cabello, J.C.; Alonso, M.; Engel, E.; Mateos-Timoneda, M.A. Biomolecular Functionalization for Enhanced Cell–Material Interactions of Poly (Methyl Methacrylate) Surfaces. Regen. Biomater. 2015, 2, 167–175. [Google Scholar] [CrossRef]
- Salehuddin, S.M.F.; Wahit, M.U.; Kadir, M.R.A.; Sulaiman, E.; Kasim, N.H.A. Mechanical and Morphology Properties of Feather Fiber Composite for Dental Post Application. Malays. J. Anal. Sci. 2014, 18, 368–375. [Google Scholar]
- Djustiana, N.; Faza, Y.; Cahyanto, A. Flexural Properties of Electrospun Polymethyl Methacrylate Microfiber-Reinforced BisGMA for Dental Post Prefabrication. Padjadjaran J. Dent. 2021, 33, 264–270. [Google Scholar] [CrossRef]
- Alla, R.K.; Raghavendra, S.K.N.; Vyas, R.; Tiruveedula, N.P.B.; Raju, A.M.K. Physical and Mechanical Properties of Heat activated Acrylic Denture Base Resin Materials. Res. J. Pharm. Technol. 2018, 11, 2258–2262. [Google Scholar] [CrossRef]
- Muneera, R.A.G.; Mattoo, K.A.; Youseef, A.M. A Novel Approach to Determine the Aesthetic Inclination of Cast Post Core–Case Report. J. Int. Dent. Med. Res. 2017, 3, DE14–DE17. [Google Scholar]
- Jain, S.; Jain, P. Fiber Post, Composite Core, All-Ceramic Crown and Resin Cement–An Aesthetic Cocktail. Int. J. Med. Rev. Case Rep. 2020, 4, 23–25. [Google Scholar] [CrossRef]
- Sevimli, G.; Cengiz, S.; Selcukoruc, M. Endocrowns Review. J. Istanb. Univ. Fac. Dent. 2015, 49, 57–63. [Google Scholar] [CrossRef] [PubMed]
- Ferrari, M.; Scotti, R. Fiber Posts. Characteristics and Clinical Applications, 1st ed.; Masson: Milan, Italy, 2002. [Google Scholar]
- Prisco, D.; De Santis, R.; Mollica, F.; Ambrosio, L.; Rengo, S.; Nicolais, L. Fiber Post Adhesion to Resin Luting Cements in The Restoration of Endodontically-Treated Teeth. Oper. Dent. 2003, 28, 515–521. [Google Scholar] [PubMed]
- Plotino, G.; Grande, N.M.; Bedini, R.; Pameijer, C.H.; Somma, F. Flexural Properties of Endodontic Posts and Human Root Dentin. Dent. Mater. 2007, 23, 1129–1135. [Google Scholar] [CrossRef]
- Diatri, N.R. The Effect of Irrigation Solution on Flexural Dentin. J. Dent. Indones. 2009, 16, 133–140. [Google Scholar]
- Goracci, C.; Ferrari, M. Current Perspectives on Post Systems: A Literature Review Department of Dental Materials and Fixed Prosthodontics of Siena. Aust. Dent. J. 2011, 56, 77–83. [Google Scholar] [CrossRef] [PubMed]
- Saruta, J.; Ozawa, R.; Hamajima, K.; Saita, M.; Sato, N.; Ishijima, M.; Kitajima, H.; Ogawa, T. Prolonged Post-Polymerization Biocompatibility of Polymethylmethacrylate-Tri-nButylborane (PMMA-TBB) Bone Cement. Materials 2021, 14, 1289. [Google Scholar] [CrossRef]
- Lamichhane, A.; Xu, C.; Zhang, F.Q. Dental fiber-post resin base material: A review. J. Adv. Prosthodont. 2014, 6, 60–65. [Google Scholar] [CrossRef]
- Lacerda-Santos, R.; Lima, A.B.L.; Penha, E.S.; Santos, A.; Carvalho, F.G.; Pithon, M.M.; Dantas, A.F.M. In Vivo Biocompatibility of Silicon Dioxide Nanofilm Used as Antimicrobial Agent on Acrylic Surface. An. Acad. Bras. Ciências 2020, 92, e20181120. [Google Scholar] [CrossRef]
- Harianawala, H.; Kheur, M.; Kheur, S.; Sethi, T.; Bal, A.; Burhanpurwala, M.; Sayed, F. Biocompatibility of Zirconia. J. Adv. Med. Dent. Sci. Res. 2016, 4, 35–39. [Google Scholar]
- Salih, S.; Oleiwi, J.K.; Hamad, Q.A. Comparative Study the Flexural Properties and Impact Strength for PMMA Reinforced by Particles and Fibers for Prosthetic Complete Denture Base. Iraqi J. Mech. Mater. Eng. 2015, 15, 288–307. [Google Scholar]
- Baltatu, M.S.; Vizureanu, P.; Sandu, A.V. Microstructural Analysis and Tribological Behavior of Ti-Based Alloys with a Ceramic Layer Using the Thermal Spray Method. Coatings 2020, 10, 1216. [Google Scholar] [CrossRef]
- Tan, G.; Zhou, L.; Ning, C.; Tan, Y.; Ni, G.; Liao, J.; Yu, P.; Chen, X. Biomimetically-mineralized composite coatings on titanium functionalized with gelatin methacrylate hydrogels. Appl. Surf. Sci. 2013, 279, 293–299. [Google Scholar] [CrossRef]
- Focsaneanu, S.C.; Vizureanu, P.; Sandu, A.V.; Ciobanu, G. Experimental Study on the Influence of Zirconia Surface Preparation on Deposition of Hydroxyapatite. Rev. Chim. 2019, 70, 2273–2275. [Google Scholar] [CrossRef]
- Honga, G.; Liaoa, M.; Wu, T.; Zhou, Q. Improving osteogenic activity of Y-TZP (Yttria-stabilized tetragonal zirconia polycrystal) surfaces by grafting of silanes with different end groups. Appl. Surf. Sci. 2021, 570, 1–11. [Google Scholar] [CrossRef]
- Nakonieczny, D.; Radco, T.; Drewniak, S. ZrO2-CeO2 ceramic powders obtained from a sol-gel process using acetylacetone as a chelating agent for potential application in prosthetic dentistry. Acta Bioeng. Biomech. 2016, 18, 54–60. [Google Scholar] [CrossRef]
- Nakonieczny, D.S.; Kern, F.; Dufner, L.; Dubiel, A. Effect of Calcination Temperature on the Phase Composition, Morphology, and Thermal Properties of ZrO2 and Al2O3 Modified with APTES (3-aminopropyltriethoxysilane). Materials 2021, 14, 6651. [Google Scholar] [CrossRef] [PubMed]
- Nafsin, N.; Hasan, M.M.; Dey, S.; Castro, R.H.R. Effect of ammonia on the agglomeration of zirconia nanoparticles during synthesis and sintering by spark plasma sintering. Mater. Lett. 2016, 183, 143–146. [Google Scholar] [CrossRef]
- Joni, I.M.; Purwanto, A.; Iskandar, F.; Okuyama, K. Dispersion stability enhancement of titania nanoparticles in organic solvent using a bead mill process. Ind. Eng. Chem. Res. 2009, 48, 6916–6922. [Google Scholar] [CrossRef]
- Chung, J.J.; Fujita, Y.; Li, S.; Stevens, M.M.; Kasuga, T.; Georgiou, T.K.; Jones, J.R. Biodegradable inorganic-organic hybrids of methacrylate star polymers for bone regeneration. Acta Biomater. 2017, 54, 411–418. [Google Scholar] [CrossRef]
- Hirai, K.; Furusho, H.; Hirota, K.; Sasaki, H. Activation of hipoksia-inducible factor 1 attenuates periapical inflammation and bone loss. Int. J. Oral Sci. 2018, 10, 12. [Google Scholar] [CrossRef]
- Sasaki, H.; Furusho, H.; Rider, D.B.; Dobeck, J.M.; Kuo, W.P.; Fujimura, A.; Yoganathan, S.; Hirai, K. Endodontik Infection-induced Inflammation Resembling Osteomyelitis of the Jaws in Toll-like Receptor 2/Interleukin 10 Double-knockout Mice. J. Endod. 2019, 45, 181–188. [Google Scholar] [CrossRef]
- Dubey, R.S.; Rajesh, Y.B.R.D.; More, M.A. Synthesis and Characterization of SiO2 Nanoparticles via Sol-Gel, Method for Industrial Applications. Mater. Today Proc. 2015, 2, 3575–3579. [Google Scholar] [CrossRef]
- Rudzani, A.; Mavundla, S.E.; Moloto, N.; Mokrani, T. Synthesis of Zirconia-Based Solid Acid Nanoparticles for Fuel Cell Application. J. Energy S. Afr. 2016, 27, 60–67. [Google Scholar]
- Elsandika, G.; Putri, A.D.C.; Musyarofah, M.; Pratapa, S. Synthesis of ZrSiO4 Powders by Sol-Gel Method with Varied Calcination Temperatures. IOP Conf. Ser. Mater. Sci. Eng. 2019, 496, 012047. [Google Scholar] [CrossRef]
- Wang, H.; Zhong, W.; Shen, L.; Xu, P.; Du, Q. Transparent Poly (Methyl Methacrylate)/Silica/Zirconia Nanocomposites with Excellent Thermal Stabilities. Polym. Degrad. Stab. 2004, 87, 319–327. [Google Scholar] [CrossRef]
- Strober, W. Trypan Blue Exclusion Test of Cell Viability. Curr. Protoc. Immunol. 2015, 111, A3.B.1–A3.B.3. [Google Scholar] [CrossRef]
- Faza, Y.; Cahyanto, A.; Djustiana, N.; Joni, I.M. Synthesis and Characterization of Mullite-Zirconia Prepared Through Solid Sintering Of 3Al2O3-2SiO2 Xerogel and ZrO2 Xerogel as A Dental Implant Material. AIP Conf. Proc. 2020, 2219, 080005. [Google Scholar]
- Joni, I.M.; Nulhakim, L.; Vanitha, M.; Panatarani, C. Characteristics of Crystalline Silica (SiO2) Particles Prepared by Simple Solution Method Using Sodium Silicate (Na2SiO3) Precursor. J. Phys. Conf. Ser. 2018, 1080, 012006. [Google Scholar] [CrossRef]
- Chun, K.; Choi, K.; Lee, J.Y. Comparison of mechanical property and role between enamel and dentin in the human teeth. J. Dent. Biomech. 2014, 5, 1758736014520809. [Google Scholar] [CrossRef]
- Djustiana, N.; Faza, Y.; Sudiyasari, N.; Firdaus, A.T.; Usri, K.; Cahyanto, A. Performance of Electrospun PMMA-Silica Nanofiber as Reinforced Material. Experimental article. J. Int. Dent. Med. Res. 2020, 13, 975–978. [Google Scholar]
- Karlina, E.; Ramadhani, E.; Veni Takarini, Y.; Djustiana, N. Diametral Tensile Strength on Restorative Dental Composite: Contrasting Results from the Addition of PMMA Fiber Filler. AIP Conf. Proc. 2020, 2219, 080008. [Google Scholar]
- ISO 10993-5:2009; Biological Evaluation of Medical Devices. Part 5: Tests for In Vitro Cytotoxicity. ISO Copyright Office Case Postale 56 • CH-1211 Geneva 20. IHS: Geneva, Switzerland, 2009.












| No | Samples Code | Matrix MMA (wt.%) | Coupling Agent Silane (wt.%) | Initiator BP (wt.%) | Filler (wt.%) | |||
|---|---|---|---|---|---|---|---|---|
| MPTS | TMSPMA | ZrO2 | SiO2 | ZrO2-SiO2 Mixed | ||||
| 1 | MMA | 98.5 | - | - | 1.5 | - | - | - |
| 2 | SiO2/ZrO2/MPTS | 83 | 0.75 | - | 1.25 | 3.75 | 11.25 | - |
| 3 | SiO2/ZrO2/ TMSPMA | 83 | - | 0.75 | 1.25 | 3.75 | 11.25 | - |
| 4 | ZrO2-SiO2 mixed/MPTS | 83 | 0.75 | - | 1.25 | - | - | 15 |
| 5 | ZrO2-SiO2 mixed/TMSPMA | 83 | - | 0.75 | 1.25 | - | - | 15 |
| Component | SiO2 | ZrO2 | ZrO2-SiO2 Mixed |
|---|---|---|---|
| (mass%) | (mass%) | (mass%) | |
| Al | ND | 3.390 | 1.670 |
| Au | 0.001 | ND | ND |
| Bi | 0.010 | 0.012 | ND |
| Ca | 0.028 | 0.012 | 0.038 |
| Co | ND | 0.026 | ND |
| Cr | 0.000 | 0.001 | 0.002 |
| Cu | 0.001 | 0.115 | ND |
| Fe | 0.005 | 0.033 | 0.005 |
| Ga | ND | 0.121 | ND |
| K | 0.028 | ND | 0.018 |
| Mg | 1.820 | 12.600 | 3.830 |
| Pb | ND | 0.012 | ND |
| Pt | 0.001 | 0.018 | ND |
| S | 0.002 | ND | ND |
| Sn | 0.001 | 0.012 | 0.012 |
| Ti | 0.004 | ND | 0.003 |
| Zn | 0.014 | ND | 0.025 |
| SiO2 | 98 | ND | 31.7 |
| ZrO2 | 0.090 | 83.7 | 62.7 |
| Samples Code | Wavenumber (cm−1) | Assignment | Functional Group Name | Samples Code | Wavenumber (cm−1) | Assignment | Functional Group Name |
|---|---|---|---|---|---|---|---|
| MMA | 2982.59 | CH2 | Alkane | SiO2/ZrO2/MPTS | 3530.39 | OH | hydroxyl |
| 2953.85 | CH2 | Alkane | 1722.46 | C = O | Carbonyl | ||
| 1719.98 | C = O | Carbonyl | 1684.25 | C = C | Alkene | ||
| 1637.01 | C = C | Alkene | 1434.77 | C-H | Alkane | ||
| 1437.75 | C-H | Metyl | 1114.06 | Si-O-Si | Siloxane | ||
| 1157.50 | C-O | Ester | 1114.06 | C-O | Ester | ||
| 938.66 | C-C | Alkene | 669.30 | Si-O | Silanol | ||
| 814.86 | C-H | Alkene | 600.88 | Zr-O | Zirconia | ||
| MPTS | 2939.65 | CH2 | Alkane | ZrO2-SiO2 mixed/MPTS | 3530.38 | OH | Hydroxyl |
| 2838.98 | CH2 | Alkane | 1725.70 | C = O | Carbonyl | ||
| 1455.22 | CH2 | Alkane | 1618.71 | C = C | Alkene | ||
| 1257.78 | SiC | Silicon carbide | 1435.17 | C-H | Alkane | ||
| 1188.16 | C-O | Ester | 1103.81 | Si-O-Si | Siloxane | ||
| 1074.31 | Si-O-C | Siloxane | 1103.81 | C-O | Ester | ||
| 800.71 | Si-C | Silicon carbide | 667.32 | Si-O | Silanol | ||
| 753.42 | CH2 | Alkene | 596.10 | Zr-O | Zirconia | ||
| TMSPMA | 2945.83 | CH2 | Alkane | SiO2/ZrO2/ TMSPMA | 2949.29 | CH2 | Alkane |
| 2840.60 | CH2 | Alkane | 1723.03 | C = O | Carbonyl | ||
| 1716.56 | C = O | Carbonyl | 1619.85 | C = C | Alkene | ||
| 1636.83 | C = C | Alkene | 1435.15 | C-H | Alkane | ||
| 1295.44 | Si-O-CH3 | Methoxysilyl | 1138.27 | Si-O-Si | Siloxane | ||
| 1160.59 | C-O | Ester | 1113.74 | C-O | Ester | ||
| 1077.23 | C-O-C | Eter | 750.19 | Si-O | Silanol | ||
| 939.16 | C-C | Alkene | 669.00 | C-H | Alkene | ||
| 813.12 | C-H | Alkene | 601.48 | Zr-O | Zirconia | ||
| ZrO2-SiO2 mixed/TMSPMA | 2949.80 | CH2 | Alkane | ||||
| 1721.10 | C = O | Carbonyl | |||||
| 1619.54 | C = C | Alkene | |||||
| 1435.26 | C-H | Alkane | |||||
| 1139.12 | C-O | Ester | |||||
| 1139.12 | Si-O-Si | Siloxane | |||||
| 668.51 | C-H | Alkene | |||||
| 600.75 | Zr-O | Zirconia |
Disclaimer/Publisher’s Note: The statements, opinions and data contained in all publications are solely those of the individual author(s) and contributor(s) and not of MDPI and/or the editor(s). MDPI and/or the editor(s) disclaim responsibility for any injury to people or property resulting from any ideas, methods, instructions or products referred to in the content. |
© 2023 by the authors. Licensee MDPI, Basel, Switzerland. This article is an open access article distributed under the terms and conditions of the Creative Commons Attribution (CC BY) license (https://creativecommons.org/licenses/by/4.0/).
Share and Cite
Widodo, P.; Mulyawan, W.; Djustiana, N.; Joni, I.M. Synthesis and Characterization of Zirconia–Silica PMMA Nanocomposite for Endodontic Implants. Dent. J. 2023, 11, 57. https://doi.org/10.3390/dj11030057
Widodo P, Mulyawan W, Djustiana N, Joni IM. Synthesis and Characterization of Zirconia–Silica PMMA Nanocomposite for Endodontic Implants. Dentistry Journal. 2023; 11(3):57. https://doi.org/10.3390/dj11030057
Chicago/Turabian StyleWidodo, Puji, Wawan Mulyawan, Nina Djustiana, and I. Made Joni. 2023. "Synthesis and Characterization of Zirconia–Silica PMMA Nanocomposite for Endodontic Implants" Dentistry Journal 11, no. 3: 57. https://doi.org/10.3390/dj11030057
APA StyleWidodo, P., Mulyawan, W., Djustiana, N., & Joni, I. M. (2023). Synthesis and Characterization of Zirconia–Silica PMMA Nanocomposite for Endodontic Implants. Dentistry Journal, 11(3), 57. https://doi.org/10.3390/dj11030057

