Next Article in Journal
Numerical Modelling of Corrugated Paperboard Boxes
Previous Article in Journal
Estimation of Anthocyanins in Heterogeneous and Homogeneous Bean Landraces Using Probabilistic Colorimetric Representation with a Neuroevolutionary Approach
Previous Article in Special Issue
Data-Driven Framework for Uncovering Hidden Control Strategies in Evolutionary Analysis
 
 
Font Type:
Arial Georgia Verdana
Font Size:
Aa Aa Aa
Line Spacing:
Column Width:
Background:
Article

Analyzing Bifurcations and Optimal Control Strategies in SIRS Epidemic Models: Insights from Theory and COVID-19 Data

by
Mohamed Cherif Belili
1,
Mohamed Lamine Sahari
2,
Omar Kebiri
3 and
Halim Zeghdoudi
1,*
1
LaPS Laboratory, Department of Mathematics, Faculty of Sciences, Badji Mokhtar-Annaba University, Annaba 23000, Algeria
2
LANOS Laboratory, Department of Mathematics, Faculty of Sciences, Badji Mokhtar-Annaba University, Annaba 23000, Algeria
3
Department of Stochastics and Its Applications, Brandenburg University of Technology (BTU) Cottbus-Senftenberg, 03046 Cottbus, Germany
*
Author to whom correspondence should be addressed.
Math. Comput. Appl. 2024, 29(4), 69; https://doi.org/10.3390/mca29040069
Submission received: 1 April 2024 / Revised: 10 August 2024 / Accepted: 16 August 2024 / Published: 21 August 2024
(This article belongs to the Collection Mathematical Modelling of COVID-19)

Abstract

This study investigates the dynamic behavior of an SIRS epidemic model in discrete time, focusing primarily on mathematical analysis. We identify two equilibrium points, disease-free and endemic, with our main focus on the stability of the endemic state. Using data from the US Department of Health and optimizing the SIRS model, we estimate model parameters and analyze two types of bifurcations: Flip and Transcritical. Bifurcation diagrams and curves are presented, employing the Carcasses method. for the Flip bifurcation and an implicit function approach for the Transcritical bifurcation. Finally, we apply constrained optimal control to the infection and recruitment rates in the discrete SIRS model. Pontryagin’s maximum principle is employed to determine the optimal controls. Utilizing COVID-19 data from the USA, we showcase the effectiveness of the proposed control strategy in mitigating the pandemic’s spread.

1. Introduction

The COVID-19 pandemic, caused by the SARS-CoV-2 virus, originated in Wuhan, China, in December 2019. It quickly spread globally, reaching North America, where the first case was reported in Canada on 23 January 2020. Since then, three countries in North America (Canada, the USA, and Mexico) have reported cases and deaths.
As of 27 January 2023, the total number of cases in North America stands at 114,196,623, with the USA being the most severely impacted nation. Figure 1 and Figure 2 show the cumulative infected and newly infected COVID-19 cases from January 2020 to January 2023 of these North American countries.
The pandemic took a devastating toll on the United States, with the CDC confirming the first case of person-to-person transmission on 30 January 2020, and the HHS declaring it a Public Health Emergency on 31 January 2020. With 1,138,309 deaths overall, the USA has the highest death toll globally and ranks 20th highest per capita. It is the deadliest disaster in US history, ranking third in causes of death in 2020, after cancer and heart disease. Despite constituting 67% of North America’s population, the USA accounted for approximately 90% of the total cumulative COVID-19 cases in the region as of 27 January 2023 [1].
Similarly, in Africa, the first case of COVID-19 was reported in north Africa, specifically in Egypt, on 14 February 2020. Since then, five countries in north Africa (Algeria, Egypt, Libya, Morocco, and Tunisia) have reported cases and deaths. As of 27 January 2023, the total number of cases in north Africa stands at 3,716,668, with Tunisia and Morocco being the most severely impacted nations. Figure 3 and Figure 4 show the cumulative infected and newly infected COVID-19 cases from January 2020 to January 2023 of these north African countries.
The largest country in Africa, Algeria, managed to protect itself from the virus through swift government responses, including the closure of borders and travel restrictions between provinces. Despite constituting 21.40% of north Africa’s population, Algeria accounted for approximately 10% of the total cumulative COVID-19 cases in the region as of 27 January 2023.
The parameters used in our study are estimated by optimization using Python. In this study, all simulations and graphics were performed using Python, Matlab, and Fortran.
In this paper, we use the COVID-19 pandemic model to illustrate bifurcation in an SIRS model. In the early stages of the pandemic, the disease-free equilibrium was stable, meaning that the virus could not spread widely. However, as the virus mutated and became more transmissible, the basic reproduction number, R 0 , passed 1 and the disease-free equilibrium became unstable. This led to a Transcritical bifurcation, which resulted in a rapid and widespread outbreak of COVID-19.
Furthermore, this contribution emphasizes the application of optimal control theory to devise strategies that effectively mitigate virus transmission within an SIRS model. This involves selecting appropriate values for control variables to minimize specific objective functions, such as the total number of infected individuals or the peak number of infected individuals.
The paper is structured as follows: Section 2 introduces a biological model described by discrete-time equations. Section 3 estimates the model parameters for Algeria and the USA. Section 4 examines the stability and existence of fixed points and their stability analysis. Section 5 conducts a bifurcation analysis, while Section 6 delves into the study of an optimal control problem. Section 7 presents numerical simulations to validate the obtained results. Finally, these results are discussed and conclusions are made in Section 8.

2. The Model

Numerous scientists are attempting to investigate COVID-19’s behavior from a mathematical perspective. Authors have applied modified SIR (susceptible, infected, and recovered) and SIRS (susceptible, infected, recovered, and susceptible) models to estimate the current COVID-19 infection rate based on several methods for controlling the virus’s rapid spread. Many mathematicians talk about COVID-19 in various dynamic models [2] in both continuous [3,4] and discreet [5,6] time, and also with stochastic modeling [7,8].
Numerous studies have already looked into the discrete-time epidemic models. Lee and Wong [9] spoke about the bifurcation analysis and other dynamical phenomena of the SIRS epidemic model, which is essentially a differential equations epidemic model [10] and is described as follows:
d S d t = A μ S λ S I + β R , d I d t = λ S I ( μ + r ) I , d R d t = r I ( μ + β ) R , N ( t ) = S ( t ) + I ( t ) + R ( t ) .
where S ( t ) , I ( t ) , R ( t ) , and N ( t ) denote the numbers of susceptible, infective, recovered individuals, and total numbers of the individuals at time t, respectively. A is the recruitment rate of the population, μ is the natural death rate of the population, r is the recovery rate of the infective individuals, λ is the bilinear incidence rate, and β is the rate of loss of immunity. We have drawn up a flow transmission diagram between the three different classes (see Figure 5).
Remark 1.
The parameter A typically includes births and immigration/emigration; however, we assume that the net effect of births minus emigration is negligible. Therefore, A mainly reflects the immigration rate. This assumption simplifies our analysis and focuses on the most significant component of population change in the context of our study (see [11]).
Applying the forward Euler scheme to model (1), we obtain the following discrete-time SIRS epidemic model:
S n + 1 = F ( S n , I n , R n , ) : = S n + h ( A μ S n λ S n I n + β R n ) , I n + 1 = G ( S n , I n , R n , ) : = I n + h ( λ S n I n ( μ + r ) I n ) , R n + 1 = H ( S n , I n , R n , ) : = R n + h ( r I n ( μ + β ) R n ) , N n + 1 = ( 1 h μ ) N n + h A ,
where h is the step size. It is assumed that S 0 0 , I 0 0 , R 0 0 , and all the parameters A , h , r , β , λ , and μ are positive constants (see Table 1 and Table 2). The dynamical behaviors of model (2) are equivalent to the dynamical behaviors of the map T : R 3 R 3 , written in the recurrence form:
( S n + 1 , I n + 1 , R n + 1 ) = T ( S n , I n , R n ) : = F ( S n , I n , R n ) , G ( S n , I n , R n ) , H ( S n , I n , R n )

3. Data and Parameter Identification (Materials and Methods)

The COVID-19 data used in this study were obtained from [1]. It covers the period from 10 May 2021 to 5 September 2021, for Algeria, and from 24 October 2021 to 10 March 2022, for the United States. The available data include active cases (Infected I ( t ) ), cumulative deaths (fatal cases), and cumulative recoveries (recovery cases). These data are preprocessed, including calculating new infected cases and new recovered cases from the raw data and applying a smoothing filter (savgol_filter) and adjusting demographics data.

Model Fitting

To optimize the parameters ( r , λ , and β ) of the model, we developed a code that uses the minimization method to adjust the parameters of the SIRS model to the observed epidemiological data. The objective function used to minimize is defined as the sum of the squared deviations between the observed data and the model predictions.
For the optimization of the model parameters, let S ^ n , I ^ n , R ^ n n = 0 , 1 , 2 , , N be the set of the reported data points. To obtain the model parameters, we solve the following minimizing problem:
min ( r , β , λ ) R + 3 Φ ( r , β , λ ) ,
where Φ is the objective function, given by
Φ ( r , β , λ ) : = Σ k = 0 N S k S ^ k 2 + I k I ^ k 2 + R k R ^ k 2 ,
when ( S 0 , I 0 , R 0 ) = ( S ^ 0 , I ^ 0 , R ^ 0 ) , and the two parameters A and μ are estimated parameters. On the other hand, the sequences { S k : = S k ( S 0 , r , β , λ ) } k = 0 , 1 , 2 , , N , { I k : = I k ( I 0 , r , β , λ ) } k = 0 , 1 , 2 , , N , { R k : = R k ( S 0 , r , β , λ ) } k = 0 , 1 , 2 , , N are generated from the model. Figure 6 and Figure 7 show data for new infected and new recovered, as well as comparisons between observed data and model predictions for both countries, Algeria and the USA.
Numerical simulations were conducted to provide a clearer understanding of the stability region in the ( A , λ ) -parameter plane, with the parameters fixed at h = 0.1 , β , and r, as specified in Table 3 for the USA, and μ = 0.0082 . Next, we explore the existence, stability, and types of equilibria for system (2).

4. Analysis of Equilibria

Applying a next-generation matrix approach [12], we compute the basic reproduction number as:
R 0 = ( λ S I ) I × ( μ + r ) I I 1 ( S , I , R ) = ( A μ , 0 , 0 ) = A λ μ ( μ + r ) ,
which represents the average amount of subsequent infections produced by an initial group of infected individuals over their lifetime. Concerning the existence of non-negative equilibrium points for system (2), we present the following results:
Theorem 1.
System (2) always has a disease-free equilibrium E 0 = ( A μ , 0 , 0 ) . Moreover,
  • if R 0 < 1 , then model (2) has only disease-free equilibrium E 0 ,
  • if R 0 > 1 , then model (2) also has an endemic equilibrium, given by
    E 1 = μ + r λ , ( A λ μ ( μ + r ) ) ( β + μ ) μ λ ( β + μ + r ) , r ( A λ μ ( μ + r ) ) μ λ ( β + μ + r ) .
Proof. 
The equilibrium E = ( S , I , R ) of system (2) satisfies
A ( μ + λ I ) S + β R = 0 , λ S ( μ + r ) I = 0 , r I ( μ + β ) R = 0 .
From the second equation of system (2), we obtain I = 0 or λ S ( μ + r ) = 0 , so E 0 = ( A μ , 0 , 0 ) . On the other hand, λ S ( μ + r ) = 0 and the condition on I and R ( I n 0 , R n 0 , for all n), we have E 1 = μ + r λ , ( A λ μ ( μ + r ) ) ( β + μ ) μ λ ( β + μ + r ) , r ( A λ μ ( μ + r ) ) μ λ ( β + μ + r ) if A λ μ ( μ + r ) > 1 .    □
In the context of the discrete system (2), the stability analysis involves linearizing the system around an equilibrium point ( S * , I * , R * ) by calculating the Jacobian matrix,
J ( S * , I * , R * ) = 1 h ( I * λ + μ ) h λ S * h β h λ I * 1 + h ( λ S * ( μ + r ) ) 0 0 h r 1 h ( β + μ ) .
and evaluating it at the equilibrium point. The eigenvalues of this Jacobian matrix are crucial in determining stability. If all eigenvalues of J ( S * , I * , R * ) have absolute values of less than 1, the equilibrium point is asymptotically stable. If at least one eigenvalue has an absolute value greater than 1, the equilibrium point is unstable. The specific values of the parameters ( A , μ , λ , β , r ) and the equilibrium values ( S * , I * , R * ) will determine the stability of the system. This analysis is typically carried out numerically, as finding analytical solutions might be challenging for nonlinear systems. Nevertheless, we can sometimes establish some analytical results as follows.
Theorem 2.
(1) 
If the basic reproduction rate R 0 < 1 , then
(a) 
E 0 is a stable node (sink) if
0 < h < h * = 2 min 1 μ + β , 1 ( μ + r ) 1 R 0 ,
(b) 
E 0 is a unstable node (source) if
h > h * = 2 max 1 μ , 1 ( μ + r ) 1 R 0 ,
(c) 
E 0 is non-hyperbolic if
h 2 μ , 2 μ + β , 2 ( μ + r ) 1 R 0 ,
(d) 
E 0 is a saddle if
h * < h < h * and h 2 μ , 2 μ + β , 2 ( μ + r ) 1 R 0 .
(2) 
If the basic reproduction rate R 0 > 1 , then
(a) 
E 0 is a unstable node (source) if
h > 2 μ ,
(b) 
E 0 is non-hyperbolic if
h 2 μ , 2 μ + β ,
(c) 
E 0 is a saddle if
h < 2 μ and h 2 μ + β .
Proof. 
The Jacobian matrix of model (2) at E 0 is
J ( E 0 ) = μ h + 1 h λ A μ h β 0 1 + h λ A μ μ r 0 0 h r 1 h ( β + μ ) .
The result follows from the calculation of the eigenvalues of the matrix J ( E 0 ) , i.e., ω 1 = 1 h μ , ω 2 = 1 + h A λ μ μ + r μ and ω 3 = 1 h ( β + μ ) .
(1)
If the basic reproduction rate R 0 < 1 , then
(a)
E 0 is a stable node (sink) if
ω 1 < 1 , ω 2 < 1 and ω 3 < 1 0 < h < 2 μ , 0 < h < 2 μ μ ( μ + r ) A λ and 0 < h < 2 μ + β 0 < h < h * = 2 min 1 μ + β , 1 ( μ + r ) 1 R 0
(b)
E 0 is a unstable node (source) if
ω 1 > 1 , ω 2 > 1 and ω 3 > 1 h > 2 μ , h > 2 μ μ ( μ + r ) A λ and h > 2 μ + β h > h * = 2 max 1 μ , 1 ( μ + r ) 1 R 0
(c)
E 0 is non-hyperbolic if
ω 1 = 1 or ω 2 = 1 or ω 3 = 1 h = 2 μ or h = 2 μ μ ( μ + r ) A λ or h = 2 μ + β h 2 μ , 2 μ + β , 2 ( μ + r ) 1 R 0 ,
(d)
E 0 is a saddle if
ω 1 < 1 ω 2 < 1 ω 3 > 1 or ω 1 < 1 ω 2 > 1 ω 3 > 1
or ω 1 < 1 ω 2 > 1 ω 3 < 1 or ω 1 > 1 ω 2 < 1 ω 3 < 1
or ω 1 > 1 ω 2 < 1 ω 3 > 1 or ω 1 > 1 ω 2 > 1 ω 3 < 1 h * < h < h * and h H = 2 μ , 2 μ + β , 2 ( μ + r ) 1 R 0 .
(2)
If the basic reproduction rate R 0 > 1 , then
(a)
E 0 is a stable node (sink) if
h < h * = 2 min 1 μ + β , 1 ( μ + r ) 1 R 0 h < 1 ( μ + r ) 1 R 0 < 0 impossible
(b)
E 0 is a unstable node (source) if
ω 1 > 1 , ω 2 > 1 and ω 3 > 1 h > 2 μ , h > 2 μ μ ( μ + r ) A λ and h > 2 μ + β h > h * = 2 μ ,
(c)
E 0 is non-hyperbolic if
ω 1 = 1 or ω 2 = 1 or ω 3 = 1 h = 2 μ or h = 2 μ μ ( μ + r ) A λ or h = 2 μ + β h 2 μ , 2 μ + β ,
(d)
E 0 is a saddle if
ω 1 < 1 ω 2 < 1 ω 3 > 1 or ω 1 < 1 ω 2 > 1 ω 3 > 1
or ω 1 < 1 ω 2 > 1 ω 3 < 1 or ω 1 > 1 ω 2 < 1 ω 3 < 1
or ω 1 > 1 ω 2 < 1 ω 3 > 1 or ω 1 > 1 ω 2 > 1 ω 3 < 1 h < 2 μ and h 2 μ + β .
   □
The following result on the local stability of disease-free equilibrium E 0 = ( A μ , 0 , 0 ) can be obtained simply from Theorem 2.
Corollary 1.
(1) 
When R 0 < 1 , if 0 < h < h * then disease-free equilibrium E 0 = ( A μ , 0 , 0 ) is locally asymptotically stable and if h > h * then disease-free equilibrium E 0 = ( A μ , 0 , 0 ) is unstable.
(2) 
When R 0 > 1 , we have that disease-free equilibrium E 0 = ( A μ , 0 , 0 ) is always unstable.
Remark 2.
In the context of our numerical simulations, the parameter h represents the step size of the Euler scheme used for discretization of the differential Equation (1). The step size h significantly impacts the stability and accuracy of the numerical solution rather than biological or epidemiological factors.
  • When R 0 < 1 , the theoretical analysis indicates that the disease-free equilibrium E 0 should be stable, meaning the disease would die out. However, if the step size h exceeds a critical threshold h * , the numerical solution can introduce instability. This numerical instability does not reflect the true dynamics of the system but is rather an artifact of using a large step size in the Euler method.
  • Therefore, to ensure accurate and stable numerical results, it is essential to choose a step size h that is smaller than h * . This will guarantee that the numerical solution aligns with the theoretical expectation of stability for R 0 < 1 .
Now, we study the local stability of the endemic equilibrium E 1 . The Jacobian matrix of model (2) at E 1 is
J ( E 1 ) = 1 + h μ + β A λ μ 2 μ r μ β + μ + r μ h ( r + μ ) h β h μ + β A λ μ 2 μ r μ β + μ + r 1 0 0 h r 1 h ( β + μ ) .
We obtain three eigenvalues of J ( E 1 ) , which are ω 1 , ω 2 , and ω 3 , given by
ω 1 = 1 h μ , ω 2 = 1 2 μ ( β + μ + r ) a + Δ , ω 3 = 1 2 μ ( β + μ + r ) a Δ .
where
a = A h λ β + μ + μ bh β + μ 2 β + μ + r b 1 = λ 2 A 2 ( β + μ ) b 2 = 2 λ A β ( β + ( 3 μ + 4 r ) ) + 2 μ ( μ + 2 r ) + 2 r 2 b 3 = μ 2 β β β + 5 μ + 4 r + 8 μ μ + 2 r + r 2 b 4 = 4 μ μ μ + 3 r + 3 r 2 + r 3 Δ = h 2 ( β + μ ) b 1 b 2 + b 3 + b 4
Theorem 3.
Let R 0 > 1 ; the endemic equilibrium E 1 is a sink if one of the following conditions holds:
(a) 
Δ 0 and the eigenvalues w 2 and w 3 satisfy 1 w 2 , 3 1 .
(b) 
Δ 0 and the conjugate complex eigenvalues w 2 and w 3 satisfy w 2 , 3 < 1 .
Proof. 
Given that 1 h μ < 1 , the proof follows from the fact that E 1 is a sink if and only if ω 2 , 3 < 1 .    □
For the discrete-time dynamical system x k + 1 = T ( x k ) , k N ; the equilibrium points mentioned earlier represent a particular case of k-periodic points when k = 1 .
Definition 1.
x * R m is a periodic point of period k, k-cycle, or k-periodic point of the map T, if
(1) 
T k ( x * ) = x * ,
(2) 
T r ( x * ) x * , for all r < k .
The set x * , T ( x * ) , , T k 1 ( x * ) is called a k-periodic orbit.

5. Bifurcation Analysis

Bifurcation is a qualitative or quantitative change in the dynamics that occurs when a parameter of the model crosses a critical threshold. This can lead to major shifts in the course of an epidemic, such as the transition from a controlled outbreak to a major pandemic. By understanding the conditions that lead to bifurcations, and the biological implications of these events, it is possible to develop more effective control strategies for infectious diseases. In this section, we investigate in detail the bifurcation structures of the SIRS system (2) in the ( A , λ ) two-dimensional parameters space.
The ( A , λ ) -plane was selected for bifurcation analysis because the parameters A and λ play pivotal roles in epidemic dynamics. A influences the recruitment rate of individuals into the population, which can be controlled by immigration policies. λ , representing the bilinear incidence rate, can be influenced by health interventions such as vaccination and improved medical care. Measures like lockdowns can also affect both parameters. Analyzing bifurcations in this plane helps us understand how changes in these parameters impact the stability and behavior of disease spread. We will make use of the classical Fold and Flip bifurcations. We study the behavior of such bifurcations related to some cycles of order k N . For more details about bifurcation theory, see, for example, [13,14].

5.1. Bifurcation Curve

Analytical methods can be used to derive bifurcation curves for fixed points and periodic cycles in dynamical systems based on the concept of the reduced multiplier introduced in [15,16]. Let X * = ( S * , I * , R * ) R 3 be a k-cycle, and the three determinants M S , M I , and M R , built up from the minors of the Jacobian matrix
J T ( X * ) = F k ( S , I , R ) S F k ( S , I , R ) I F k ( S , I , R ) R G k ( S , I , R ) S G k ( S , I , R ) I G k ( S , I , R ) R H k ( S , I , R ) S H k ( S , I , R ) I H k ( S , I , R ) R ( S , I , R ) = ( S * , I * , R * )
are
M S = det G k ( S , I , R ) I G k ( S , I , R ) R H k ( S , I , R ) I H k ( S , I , R ) R ( S , I , R ) = ( S * , I * , R * ) ,
M I = det F k ( S , I , R ) S F k ( S , I , R ) R H k ( S , I , R ) S H k ( S , I , R ) R ( S , I , R ) = ( S * , I * , R * )
and
M R = det F k ( S , I , R ) S F k ( S , I , R ) I G k ( S , I , R ) S G k ( S , I , R ) I ( S , I , R ) = ( S * , I * , R * ) .
The characteristic equation (written for T k ) associated with this cycle can be expressed as follows: The reduced multiplier linked to X * is the real number σ that satisfies the equation
Σ ( σ , S * , I * , R * ) : = tr ( J T k ( X * ) ) + det ( J T k ( X * ) ) σ 1 + M S + M I + M R = 0 ,
where det and tr denote the determinant and the trace of a matrix, respectively. The bifurcations are studied in the ( A , λ ) -parameter plane in the case of k-cycles, then the evolution of the bifurcation structure in this plane will be studied by varying the parameters A and λ .
Theorem 4.
For map (2), a Fold bifurcation curve of order k (i.e., related to the k-cycle of T) denoted as Λ ( k ) 0 in the ( A , λ ) -plane is the solution of the system
F k ( S , I , R ; A , λ ) = S , G k ( S , I , R ; A , λ ) = I , H k ( S , I , R ; A , λ ) = R , Σ ( 1 , S , I , R ; A , λ ) = 0 .
Theorem 5.
For map (2), a Flip bifurcation curve of order k (i.e., related to the k-cycle of T) denoted as Λ k in the ( A , λ ) -plane is the solution of the system
F k ( S , I , R ; A , λ ) = S , G k ( S , I , R ; A , λ ) = I , H k ( S , I , R ; A , λ ) = R , Σ ( 1 , S , I , R ; A , λ ) = 0 .

5.1.1. Flip Bifurcation Curves

A period doubling bifurcation in discrete dynamical systems is a type of bifurcation in which the period of the model’s oscillations doubles. This can happen when a parameter of the model, such as the transmission rate, is gradually increased. At a certain critical value of the parameter, the model will transition from a state in which it oscillates with a period of k = 1 to a state in which it oscillates with a period of k = 2 . This can continue to happen, with the period doubling each time, until the model reaches a chaotic state. Period doubling bifurcations are important in SIRS models because they can lead to unpredictable and erratic behavior in the spread of the disease. For example, a period of doubling bifurcation could lead to a sudden and unexpected increase in the number of infected individuals, even if the transmission rate of the disease has not changed significantly.
When a stable cycle of order k has an eigenvalue that passes through the value 1 , a bifurcation of this type occurs. After that, this cycle destabilizes and gives rise to a stable cycle of order 2 k . In the ( A , λ ) parameter plane, a locus of this bifurcation is a Flip bifurcation curve denoted as Λ j k . Hence, it is not possible to find the analytical conditions for a Flip bifurcation curve on the equilibrium E 1 . However, using Maple (a symbolic computation tool), the equation for λ is obtained by solving system (7), and the equation of a Flip bifurcation curve for a fixed point E 1 is
λ = μ ( ( μ + β ) ( μ + r ) ( μ + r + β ) h 2 + 2 β ( μ + β ) h 4 d 4 r 4 β ) A ( μ + β ) h ( 2 + ( μ + r + β ) h )

5.1.2. Transcritical Bifurcation Curves

This bifurcation is a particular case of Fold bifurcation and occurs when the two fixed points E 0 and E 1 , with opposing stability, merge to form a saddle fixed point before separating once more by exchanging their stability. In the ( A , λ ) parameter plane, a locus of this bifurcation is a Transcritical bifurcation curve denoted as Λ ( 1 ) 0 . Solving system (6) with respect to map (2) gives the following Transcritical curve equation R 0 = 1 , i.e.,
A λ μ ( μ + r ) = 0

5.2. Numerical Simulation

To illustrate the results presented above, we provide numerical simulations in this section.
Figure 8 illustrates the stability domains obtained from numerical simulations for map (2) in the parameter ( A , λ ) -plane with parameters set to h = 0.1 , β = 1.16743084 , μ = 0.0082 , and r = 0.45314086 . Each colored region indicates the existence of a stable cycle (periodic point), with the period k denoted by the gradient color square to the right. Black regions represent either k 17 or chaotic behavior, while white regions indicate the absence of an attracting set, leading to chaotic transients towards infinity. The horizontal axis represents A and the vertical axis represents λ .
To obtain this diagram, one simply needs to track the iterations of map (2) initialized with various initial points ( S 0 , I 0 , R 0 ) , chosen uniformly at random in the space ( S , I , R ) , for uniformly distributed values of the parameters ( A , λ ) . After a sufficiently large number of iterations, and assuming the generated sequence converges, one checks the period k of the obtained point. A color proportional to the value of k is then assigned to the point ( A , λ ) in the ( A , λ ) -plane.

5.2.1. Flip Bifurcation (or Period Doubling Bifurcation)

A Period-doubling bifurcation in discrete dynamical systems is a type of bifurcation in which the period of the model’s oscillations doubles. This can happen when a parameter of the model, such as the transmission rate, is gradually increased. At a certain critical value of the parameter h 2.9 , the model will transition from a state in which it oscillates with a period of k = 1 to a state in which it oscillates with a period of k = 2 (see Figure 9, Figure 10 and Figure 11). This can continue to happen, with the period doubling each time, until the model reaches a chaotic state (see Figure 12 and Figure 13). Period doubling bifurcations are important in SIRS models because they can lead to unpredictable and erratic behavior in the spread of the disease. For example, a period of doubling-bifurcation could lead to a sudden and unexpected increase in the number of infected individuals, even if the transmission rate of the disease has not changed significantly [17].

5.2.2. Transcritical Bifurcation

In a Transcritical bifurcation, our two fixed points, E 0 and E 1 , have opposite stabilities and exchange their stabilities at the Transcritical bifurcation curve given by Equation (9).
Figure 14 shows the stability domains obtained by numerical simulations for map (2) in the parameter plane ( A , λ ) . We can see that the Fold bifurcation curve (the dashed cyan line) separates the stability regions of the two fixed points E 0 and E 1 .

6. The Optimal Control Problem

To reduce the number of vulnerable and infectious people with the least amount of expenditure on disease control, we apply the best control measures, such as confinement, vaccination, and border control [11]. The primary goal of this section is to propose a way to handle this particular type of optimization issue. Two control variables are used to formulate this problem as an optimal control problem (which represents border control and the implementation of non-pharmaceutical intervention (NPI) strategies). In our study, we have concentrated on the values of the control variables ( u , v ) that lie within the stability domain of fixed points (1-cycles) to promote convergence towards a disease-free equilibrium. Investigating values of ( u , v ) within the stability domain of higher-periodic points (e.g., 2-cycles) necessitates the analytical computation of bifurcation curves at these points. Currently, such calculations are complex and infeasible, which limits our ability to explore these scenarios in detail. Future research could address these challenges and provide a more comprehensive analysis of the optimal control scenarios involving double phenomenon bifurcations. We now present two controls, u and v, which control new immigrants arriving from abroad and infected people receiving treatment, respectively, per unit of time, so that (1) becomes:
d S d t = u A μ S v λ S I + β R , d I d t = v λ S I ( μ + r ) I , d R d t = r I ( μ + β ) R , N ( t ) = S ( t ) + I ( t ) + R ( t ) .
The problem is to minimize the cost functional given by:
J ( u , v ) = 0 T ( 1 2 u ( s ) 2 + 1 2 v ( s ) 2 + I ( s ) ) d s .
Most real−world control issues focus on both constraint fulfillment and optimality. We want to locate 0.10 u 0.472 , 0.5 v min ( 1 , f ( u ) ) , with f ( u ) = 0.2366 u being the bifurcation curve, for t [ 0 , T ] , as a region included in the stability zone, as shown in Figure 15, to minimize J ( u , v ) with S ( 0 ) = S 0 , I ( 0 ) = I 0 , R ( 0 ) = R 0 .
Our goal is to use the optimal control variables ( u , v ) to reduce the cost functional specified in (11) by reducing the number of immigrants and sick people. Alternatively, the control variable ( u , v ) U a d reflects the proportion of immigrant and infected people that are controlled and treated, respectively, per unit of time, and U a d is the control set specified by
U a d = { ( u , v ) : 0.1 u 0.472 , 0.5 v min ( 1 , f ( u ) ) , f ( u ) = 0.2366 u } .

6.1. Existence of an Optimal Control

Theorem 6.
There exists control variables u * and v * , so that
J ( u * , v * ) = min ( u , v ) U a d J ( u , v ) .
Proof. 
Drawing upon the seminal works of Fleming and Rishel [18] and Lukes [19], the substantiation of the existence of an optimal control necessitates, firstly, the nonemptiness of the controls set and their associated state variables, secondly, the validation of the convexity and closure properties of the admissible set U a d , and, lastly, ensuring that the right-hand side of the state system (10) is bounded by a linear function in the state and control variables.    □

6.2. Uniquness of an Optimal Control

The optimization problem addressed in this study does not guarantee a unique solution, which means that multiple optimal control strategies may exist. This non-uniqueness can introduce variability in the recommendations derived from the model. Future research should explore methods to address this issue, such as regularization techniques and additional constraints.

6.3. Characterization of the Optimal Control

We will now establish the initial conditions for optimal control’s existence by formulating the Hamiltonian H and employing Pontryagin’s maximum principle. To simplify the notations, we write X ( t ) = [ S ( t ) , I ( t ) , R ( t ) ] T , W ( t ) = [ u ( t ) , v ( t ) ] T and ξ ( t ) = [ p 1 ( t ) , p 2 ( t ) , p 3 ( t ) ] ( p i , i = 1 , 2 , 3 are the adjoint functions). First describe the Lagrangian for the optimal control issue (10) and (11) before describing the optimal control pair
L ( W , X ) = 1 2 u 2 ( t ) + 1 2 v 2 ( t ) + I ( t ) .
With these notations and terminologies, the Hamiltonian H for the control problem is given by:
H = H ( W ( t ) , X ( t ) , ξ ( t ) ) , = L ( W ( t ) , X ( t ) ) + ξ T ( t ) X t ( t ) , = 1 2 u 2 + 1 2 v 2 + I + p 1 u A μ S v λ S I + β R ,
+ p 2 v λ S I ( μ + r ) I + p 3 r I ( μ + β ) R .
Then, the first order necessary conditions for the existence of optimal control are given by the equations
H W ( t ) = 0 ,
d X d t ( t ) = H ξ ,
d ξ d t ( t ) = H X ,
with the optimality conditions
H u u ( t ) = u * ( t ) = 0 , H v v ( t ) = v * ( t ) = 0 .
Simplifying (17), we obtain
u * + p 1 A = 0 , v * + ( p 2 p 1 ) ( λ S I ) = 0 .
Taking into account the control set U a d , we have
u * = min { 0.472 , max 0.1 , p 1 A } , v * = min { min 1 , f ( u * ) , max 0.5 , ( p 1 p 2 ) ( λ S ( t ) I ( t ) } .
Then, from (16), we obtain the co-state equations
d p 1 t = H S , d p 2 t = H I , d p 3 t = H R ,
and after simplifying (20), we get
d p 1 d t = p 1 μ + v λ I ( t ) p 2 v λ I ( t ) , d p 2 d t = 1 + p 1 v λ S ( t ) p 2 v λ S ( t ) + ( μ + r ) p 3 r , d p 3 d t = p 1 β + p 3 ( μ + β ) ,
with the transversality conditions:
p 1 ( T ) = 0 , p 2 ( T ) = 0 , p 3 ( T ) = 0 .

6.4. Numerical Simulation

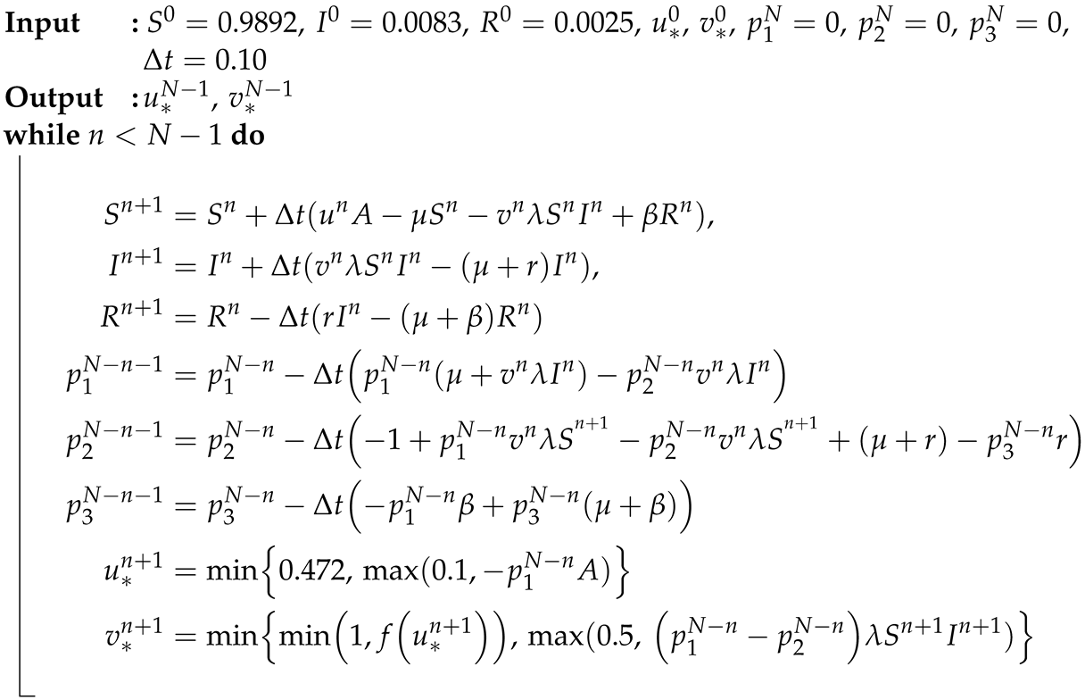
Our primary goal in utilizing the optimal control tool is to minimize the number of infected individuals while maximizing the number of non-infected ones. These objectives are distinctly evident in the numerical outcomes. The following algorithm, which was inspired by Hattaf and Yousfi [20], describes the approximation method for each optimal control. Here, a numerical variant of the forward Euler method with a step size of Δ t is employed.
The numerical experimentation performed using Algorithm 1 allow us to affirm the possibility of reducing the density of infected individuals (see Figure 16).
Algorithm 1: Approximation method to obtain the optimal control
Mca 29 00069 i001

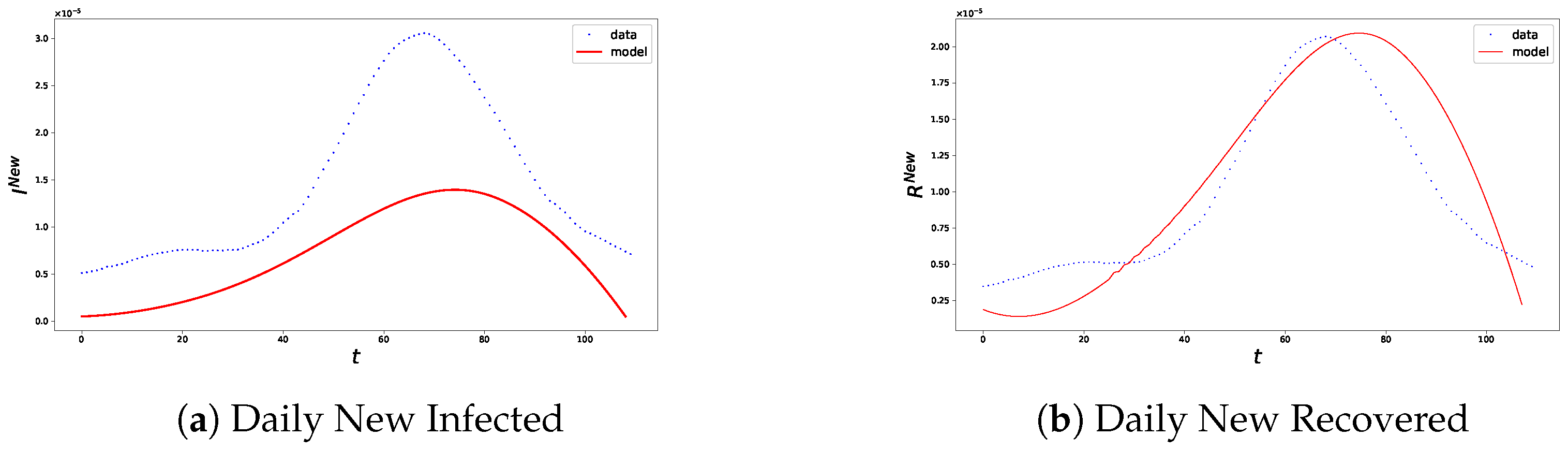
7. Comments

Figure 16 displays the various dynamics of the newly infected population, including several aspects. The green color represents the real data in the USA for the wave of COVID-19 between 6 November 2021 and 10 March 2022 [1], the red color represents the deterministic dynamic without control, and the blue color represents the deterministic dynamic with constrained control. Figure 17 shows the control variables u and v together. The USA could have better controlled the disease by referring to the graph of the deterministic model with constrained control. This may be due to several factors, including the government not being as strict, people not respecting barrier gestures, many individuals not adhering to containment measures, and reluctance to get tested to avoid quarantine. Additionally, the basic reproduction number, calculated as R 0 = A λ μ ( μ + r ) = 0.1604060 , being less than 1, indicates that the disease would tend to decline under these conditions.

8. Discussion

In this study, we conducted an investigation into the behavior of a discrete SIR epidemic model with loss of immunity. Our analysis revealed the presence of two significant types of bifurcations, Transcritical bifurcations and Period-doubling bifurcations, and observe that the parameters λ and A have a significant impact on the model’s equilibrium points. Doubling bifurcations, or Period-doubling bifurcations, are indicative of a route to chaos in dynamical systems and are prominently observed in discrete-time models due to their iterative structure. While these bifurcations are inherent to discrete models, they also reflect realistic scenarios in epidemic dynamics where parameter changes can lead to shifts between regular and chaotic disease patterns. In our model, the bifurcation parameter A impacts the recruitment rate, leading to complex behaviors that mirror potential real-world dynamics. Therefore, the observed Period-doubling bifurcations are not solely artifacts of discretization but represent meaningful transitions in the epidemic process.
Additionally, our model exhibits Transcritical bifurcations, where the disease-free equilibrium and the endemic equilibrium exchange stability as parameters vary. This transition is critical for understanding the thresholds at which a disease can spread or be controlled, highlighting the importance of managing parameters such as the recruitment rate A to maintain public health. Notably, the value of the bifurcation parameter in Transcritical bifurcations coincides with the basic reproduction number R 0 passing through the value 1. This indicates a critical threshold where the disease can either invade the population or die out, emphasizing the significance of maintaining R 0 below 1 to control the epidemic.
In addition, we introduced a constrained optimal control for an SIRS model that incorporates two control variables, u and v. These variables govern the recruitment rate and infection rate, respectively. The control variable u represents border control measures aimed at regulating the influx of travelers from outside, thereby limiting recruitment. Meanwhile, the variable v encompasses the implementation of non-pharmaceutical intervention (NPI) strategies to minimize infection rates. These NPIs include adherence to treatment protocols and the enforcement of safety and hygiene guidelines, particularly in the context of COVID-19. A novel aspect of our constrained optimal control approach is the introduction of a set of constraints representing the stability zone of cycle 1. We also formulated the objective function for the constrained optimal control problem, enabling us to gain a more comprehensive understanding of epidemic control strategies. In our study, we have concentrated on the values of the control variables ( u , v ) that lie within the stability domain of equilibrium points (fixed points) to promote convergence towards a disease-free equilibrium. Investigating values of ( u , v ) within the stability domain of higher-periodic points (e.g., Period-doubling points) necessitates the analytical computation of bifurcation curves at these points. Currently, such calculations are complex and infeasible, which limits our ability to explore these scenarios in detail. Future research could address these challenges and provide a more comprehensive analysis of the optimal control scenarios involving double phenomenon bifurcations.
To accomplish this work, we constructed the Hamiltonian and applied Pontryagin’s maximum principle to resolve these problems of constrained optimal control. For the numerical simulation, we used an algorithm inspired by Hattaf and Yousfi [20], founded on the forward and backward difference approximation. Our simulation results indicate that controlling both the recruitment and the infection simultaneously improves the effectiveness of the optimal strategy. It is possible to expand on this work by adding noise and introducing stochastic or partial differential equations.
On the other hand, in our model we have not explicitly accounted for unreported cases. This simplification was made to focus on the dynamics of reported cases and the impact of control strategies on these cases. However, we acknowledge that unreported cases, including asymptomatic individuals, play a significant role in the spread of infectious diseases. Asymptomatic carriers can transmit the virus without being detected, leading to a potentially large number of unreported cases that influence the true dynamics of the epidemic.
Future work should aim to incorporate unreported cases into the model to provide a more comprehensive understanding of the epidemic’s spread. This could involve the introduction of additional compartments for asymptomatic and unreported cases, along with parameter estimation techniques that can infer the prevalence of these hidden cases from available data. By doing so, we can develop more robust control strategies that account for the full spectrum of disease transmission dynamics.
Another significant limitation of our study is the biologically unrealistic loss of immunity period produced by the optimization process. For COVID-19, the model suggested a loss of immunity of less than 7 days, and for Algeria it changed to almost one day. This is inconsistent with current biological understanding, where post-infection immunity can last several months to a year (see [21,22]). These results should be interpreted with caution, and the limitations of the model in accurately capturing the duration of immunity must be acknowledged. Future models should incorporate more biologically realistic parameters to improve the validity of the results.
Despite the insights provided by this study, it is important to acknowledge several limitations inherent to our approach. Firstly, the accuracy and applicability of our results are constrained by the quality and availability of real-world data, which may contain inconsistencies and gaps. Additionally, the SIR model and its derivatives, while valuable for understanding epidemic dynamics, inherently simplify the complexities of disease transmission and progression. These simplifications can lead to limitations in capturing the full spectrum of epidemic behaviors and the impacts of various control measures. Future research should aim to incorporate more detailed and comprehensive data, as well as explore extensions and modifications of the SIR model to better account for real-world complexities. Addressing these challenges requires ongoing efforts in data collection, model refinement, and interdisciplinary collaboration to enhance our understanding and management of epidemic outbreaks.

Author Contributions

All authors contributed equally to the remaining work. All authors have read and agreed to the published version of the manuscript.

Funding

This research was partially funded by Erasmus-D COTTBUS03 collaborative program.

Data Availability Statement

Data are contained within the article.

Conflicts of Interest

The authors declare no conflicts of interest.

References

  1. World Bank Group. World Bank Open Data. 2024. Available online: https://data.worldbank.org/ (accessed on 27 January 2023).
  2. Paeng, S.H.; Lee, J. Continuous and discrete SIR-models with spatial distributions. J. Math. Biol. 2017, 74, 1709–1727. [Google Scholar] [CrossRef] [PubMed]
  3. Zhou, L.; Fan, M. Dynamics of an SIR epidemic model with limited medical resources revisited. Nonlinear Anal. Real World Appl. 2012, 13, 312–324. [Google Scholar] [CrossRef]
  4. Muroya, Y.; Enatsu, Y.; Nakata, Y. Monotone iterative techniques to SIRS epidemic models with nonlinear incidence rates and distributed delays. Nonlinear Anal. Real World Appl. 2011, 12, 1897–1910. [Google Scholar] [CrossRef]
  5. Hu, Z.Y.; Teng, Z.; Zhang, L. Stability and bifurcation analysis in a discrete SIR epidemic model. Math. Comput. Simul. 2014, 97, 80–93. [Google Scholar] [CrossRef]
  6. Eskandari, Z.; Alidousti, J. Stability and codimension 2 bifurcations of a discrete time SIR model. J. Frankl. Inst. 2020, 357, 10937–10959. [Google Scholar]
  7. Zhang, Z.; Zeb, A.; Hussain, S.; Alzahrani, E. Dynamics of COVID-19 mathematical model with stochastic perturbation. Adv. Differ. Equ. 2020, 2020, 451. [Google Scholar] [CrossRef] [PubMed]
  8. Pájaro, M.; Fajar, N.M.; Alonso, A.A.; Otero-Muras, I. Stochastic SIR model predicts the evolution of COVID-19 epidemics from public health and wastewater data in small and medium-sized municipalities: A one year study. Chaos Solitons Fractals 2022, 164, 112671. [Google Scholar] [CrossRef] [PubMed]
  9. Li, X.; Wang, W. A discrete epidemic model with stage structure. Chaos Solitons Fractals 2005, 26, 947–958. [Google Scholar] [CrossRef]
  10. Brauer, F.; Van den Driessche, P.; Wu, J.; Allen, L.J. Mathematical Epidemiology; Springer: Berlin/Heidelberg, Germany, 2008; Volume 1945. [Google Scholar]
  11. Cherif, S.; Balatif, O.; Kebiri, O. Analysis and Optimal Control of a Vaccinated Pandemic COVID-19 Model. J. Math. Sci. 2024, 280, 582–604. [Google Scholar] [CrossRef]
  12. Van den Driessche, P. Reproduction numbers of infectious disease models. Infect. Dis. Model. 2017, 2, 288–303. [Google Scholar] [PubMed]
  13. Kuznetsov, Y.A.; Kuznetsov, I.A.; Kuznetsov, Y. Elements of Applied Bifurcation Theory; Springer: Berlin/Heidelberg, Germany, 1998; Volume 112. [Google Scholar]
  14. Mira, C. Chaotic Dynamics in Two-Dimensional Noninvertible Maps; World Scientific: Singapore, 1996; Volume 20. [Google Scholar]
  15. Carcasses, J.P. Determination of different configurations of Fold and Flip bifurcation curves of a one or two-dimensional map. Int. J. Bifurc. Chaos 1993, 3, 869–902. [Google Scholar]
  16. Carcasses, J.P. Singularities of the parametric plane of an n-dimensional map. Determination of different configurations of Fold and Flip bifurcation curves. Int. J. Bifurc. Chaos 1995, 5, 419–447. [Google Scholar]
  17. Gai, C.; Kolokolnikov, T.; Schrader, J.; Sharma, V. Recurrent and chaotic outbreaks in SIR model. Eur. J. Appl. Math. 2024, 1–13. [Google Scholar] [CrossRef]
  18. Fleming, W.H.; Rishel, R.W. Deterministic and Stochastic Optimal Control; Springer Science & Business Media: Berlin/Heidelberg, Germany, 2012; Volume 1. [Google Scholar]
  19. Lukes, D.L. Differential Equations: Classical to Controlled; Mathematics in science and engineering; Elsevier: Amsterdam, The Netherlands, 1982; Volume 162. [Google Scholar]
  20. Hattaf, K.; Yousfi, N. Optimal control of a delayed HIV infection model with immune response using an efficient numerical method. Int. Sch. Res. Not. 2012, 2012, 215124. [Google Scholar]
  21. Sette, A.; Crotty, S. Adaptive immunity to SARS-CoV-2 and COVID-19. Cell 2021, 184, 861–880. [Google Scholar] [PubMed]
  22. Tarke, A.; Coelho, C.H.; Zhang, Z.; Dan, J.M.; Yu, E.D.; Methot, N.; Bloom, N.I.; Goodwin, B.; Phillips, E.; Mallal, S.; et al. SARS-CoV-2 vaccination induces immunological T cell memory able to cross-recognize variants from Alpha to Omicron. Cell 2022, 185, 847–859. [Google Scholar] [PubMed]
Figure 1. COVID-19 cases in North America.
Figure 1. COVID-19 cases in North America.
Mca 29 00069 g001
Figure 2. Newly infected COVID-19 cases in North America.
Figure 2. Newly infected COVID-19 cases in North America.
Mca 29 00069 g002
Figure 3. COVID-19 cases in north Africa.
Figure 3. COVID-19 cases in north Africa.
Mca 29 00069 g003
Figure 4. Newly infected COVID-19 cases in north Africa.
Figure 4. Newly infected COVID-19 cases in north Africa.
Mca 29 00069 g004
Figure 5. Transfer diagram for an SIR model with loss of immunity.
Figure 5. Transfer diagram for an SIR model with loss of immunity.
Mca 29 00069 g005
Figure 6. Comparison of data values and model predictions for new infections and new recoveries in Algeria.
Figure 6. Comparison of data values and model predictions for new infections and new recoveries in Algeria.
Mca 29 00069 g006
Figure 7. Comparison of data values and model predictions for new infections and new recoveries in USA.
Figure 7. Comparison of data values and model predictions for new infections and new recoveries in USA.
Mca 29 00069 g007
Figure 8. The ( A , λ ) -parameter plane of model (2), with μ = 0.0082 , r = 0.45314086 , h = 0.10 , and β = 1.16743084 , depicts the two-dimensional bifurcation diagram. The blue area represents the stability region of the non-zero fixed points (with k = 1 ). The subsequent regions, indicated in yellow (for k = 2 ), cyan (for k = 4 ), and so on, correspond to the Period-doubling phenomenon, eventually leading to the chaotic region.
Figure 8. The ( A , λ ) -parameter plane of model (2), with μ = 0.0082 , r = 0.45314086 , h = 0.10 , and β = 1.16743084 , depicts the two-dimensional bifurcation diagram. The blue area represents the stability region of the non-zero fixed points (with k = 1 ). The subsequent regions, indicated in yellow (for k = 2 ), cyan (for k = 4 ), and so on, correspond to the Period-doubling phenomenon, eventually leading to the chaotic region.
Mca 29 00069 g008
Figure 9. Flip bifurcation diagram of model (2) with parameter values of λ = 0.86687879 , μ = 0.0082 , r = 0.45314086 , h = 0.10 , β = 1.16743084 , and A [ 0.2 , 0.5 ] , using the initial conditions ( S 0 , I 0 , R 0 ) = ( 0.99 , 0.01 , 0.0 ) .
Figure 9. Flip bifurcation diagram of model (2) with parameter values of λ = 0.86687879 , μ = 0.0082 , r = 0.45314086 , h = 0.10 , β = 1.16743084 , and A [ 0.2 , 0.5 ] , using the initial conditions ( S 0 , I 0 , R 0 ) = ( 0.99 , 0.01 , 0.0 ) .
Mca 29 00069 g009
Figure 10. Time−series graph of system (2), exhibiting a stable endemic equilibrium E 1 with parameter values A = 0.26 , λ = 0.86687879 , μ = 0.0082 , r = 0.45314086 , h = 0.10 , and β = 1.16743084 .
Figure 10. Time−series graph of system (2), exhibiting a stable endemic equilibrium E 1 with parameter values A = 0.26 , λ = 0.86687879 , μ = 0.0082 , r = 0.45314086 , h = 0.10 , and β = 1.16743084 .
Mca 29 00069 g010
Figure 11. Time−series graph of system (2) exhibiting a stable 2-cycle with parameter values of A = 0.3 , λ = 0.86687879 , μ = 0.0082 , r = 0.45314086 , h = 0.10 , and β = 1.16743084 .
Figure 11. Time−series graph of system (2) exhibiting a stable 2-cycle with parameter values of A = 0.3 , λ = 0.86687879 , μ = 0.0082 , r = 0.45314086 , h = 0.10 , and β = 1.16743084 .
Mca 29 00069 g011
Figure 12. Time−series graph of system (2) exhibiting a stable 4-cycle with parameter values of A = 0.33 , λ = 0.86687879 , μ = 0.0082 , r = 0.45314086 , h = 0.10 , and β = 1.16743084 .
Figure 12. Time−series graph of system (2) exhibiting a stable 4-cycle with parameter values of A = 0.33 , λ = 0.86687879 , μ = 0.0082 , r = 0.45314086 , h = 0.10 , and β = 1.16743084 .
Mca 29 00069 g012
Figure 13. A chaotic trajectory of model (2) resulting from a Period-doubling bifurcation (Flip bifurcation) with parameter values of A = 0.34 , λ = 0.86687879 , μ = 0.0082 , r = 0.45314086 , h = 0.10 , and β = 1.16743084 .
Figure 13. A chaotic trajectory of model (2) resulting from a Period-doubling bifurcation (Flip bifurcation) with parameter values of A = 0.34 , λ = 0.86687879 , μ = 0.0082 , r = 0.45314086 , h = 0.10 , and β = 1.16743084 .
Mca 29 00069 g013
Figure 14. A two-dimensional bifurcation diagram of model (2) in the ( A , λ ) -parameter plane for μ = 0.0082 , r = 0.45314086 , h = 0.10 , and β = 1.16743084 . The dashed cyan line represents the Fold bifurcation curves, delineating the boundaries of the stability zones for fixed point E 0 (shown in blue) and fixed point E 1 (shown in red). (a) Stability regions and fold bifurcation curves for fixed points E 0 and E 1 . (b) Magnification of a specific region in (a) showing detailed stability regions and fold bifurcation curves for fixed points E 0 and E 1 .
Figure 14. A two-dimensional bifurcation diagram of model (2) in the ( A , λ ) -parameter plane for μ = 0.0082 , r = 0.45314086 , h = 0.10 , and β = 1.16743084 . The dashed cyan line represents the Fold bifurcation curves, delineating the boundaries of the stability zones for fixed point E 0 (shown in blue) and fixed point E 1 (shown in red). (a) Stability regions and fold bifurcation curves for fixed points E 0 and E 1 . (b) Magnification of a specific region in (a) showing detailed stability regions and fold bifurcation curves for fixed points E 0 and E 1 .
Mca 29 00069 g014
Figure 15. A two-dimensional bifurcation diagram of model (2) in the ( A , λ ) -parameter plane for μ = 0.0082 , r = 0.45314086 , h = 0.10 , and β = 1.16743084 . The blue region bounded by the bifurcation curve represents the control set, within which we study the optimal control included in the stability zone.
Figure 15. A two-dimensional bifurcation diagram of model (2) in the ( A , λ ) -parameter plane for μ = 0.0082 , r = 0.45314086 , h = 0.10 , and β = 1.16743084 . The blue region bounded by the bifurcation curve represents the control set, within which we study the optimal control included in the stability zone.
Mca 29 00069 g015
Figure 16. Dynamics of the newly infected population with constrained control, without control, and real data in the USA with parameter values A = 0.0007 , λ = 0.86687879 , β = 1.16743084 , and μ = 0.0082 .
Figure 16. Dynamics of the newly infected population with constrained control, without control, and real data in the USA with parameter values A = 0.0007 , λ = 0.86687879 , β = 1.16743084 , and μ = 0.0082 .
Mca 29 00069 g016
Figure 17. Controls variables u and v given by Algorithm 1 with parameter values A = 0.0007 , λ = 0.86687879 , β = 1.16743084 , and μ = 0.0082 .
Figure 17. Controls variables u and v given by Algorithm 1 with parameter values A = 0.0007 , λ = 0.86687879 , β = 1.16743084 , and μ = 0.0082 .
Mca 29 00069 g017
Table 1. State variable and dimensions for discrete SIRS model (2).
Table 1. State variable and dimensions for discrete SIRS model (2).
VariablesDefinitionsDimension
S n The density of susceptible individuals at time n 0 S n 1
I n The density of infective individuals at time n 0 I n 1
R n The density of recovered individuals at time n 0 R n 1
Table 2. Numerical values and description for the estimated and fitted parameters.
Table 2. Numerical values and description for the estimated and fitted parameters.
ParameterDescriptionValue (per Day)Source
Ais the recruitment rate of the population 0.0007 Estimated
λ is the bilinear incidence rate 0.86687879 Fitted
β is the rate of loss of immunity 1.16743084 Fitted
ris the recovery rate of the infective individuals 0.45314086 Fitted
μ is the natural death rate of the population 0.0082 Estimated
his the step size h = 0.1 Fixed
Table 3. Values of parameters estimated by optimization.
Table 3. Values of parameters estimated by optimization.
ParameterUSAAlgeria
    λ 0.86687879 4.79491051
    β 1.16743084 6.27806231
   r 0.45314086 4.36485748
Disclaimer/Publisher’s Note: The statements, opinions and data contained in all publications are solely those of the individual author(s) and contributor(s) and not of MDPI and/or the editor(s). MDPI and/or the editor(s) disclaim responsibility for any injury to people or property resulting from any ideas, methods, instructions or products referred to in the content.

Share and Cite

MDPI and ACS Style

Belili, M.C.; Sahari, M.L.; Kebiri, O.; Zeghdoudi, H. Analyzing Bifurcations and Optimal Control Strategies in SIRS Epidemic Models: Insights from Theory and COVID-19 Data. Math. Comput. Appl. 2024, 29, 69. https://doi.org/10.3390/mca29040069

AMA Style

Belili MC, Sahari ML, Kebiri O, Zeghdoudi H. Analyzing Bifurcations and Optimal Control Strategies in SIRS Epidemic Models: Insights from Theory and COVID-19 Data. Mathematical and Computational Applications. 2024; 29(4):69. https://doi.org/10.3390/mca29040069

Chicago/Turabian Style

Belili, Mohamed Cherif, Mohamed Lamine Sahari, Omar Kebiri, and Halim Zeghdoudi. 2024. "Analyzing Bifurcations and Optimal Control Strategies in SIRS Epidemic Models: Insights from Theory and COVID-19 Data" Mathematical and Computational Applications 29, no. 4: 69. https://doi.org/10.3390/mca29040069

APA Style

Belili, M. C., Sahari, M. L., Kebiri, O., & Zeghdoudi, H. (2024). Analyzing Bifurcations and Optimal Control Strategies in SIRS Epidemic Models: Insights from Theory and COVID-19 Data. Mathematical and Computational Applications, 29(4), 69. https://doi.org/10.3390/mca29040069

Article Metrics

Back to TopTop