Adaptive Visual Servoing for Obstacle Avoidance of Micro Unmanned Aerial Vehicle with Optical Flow and Switched System Model
Abstract
:1. Introduction
2. Optical Flow Estimation for Detecting Obstacle
2.1. The Construction of Uniform Point Distribution
2.2. Multi-Thread Processing
3. Visual Servoing with Adaptive Control of Switched Systems
3.1. System Description and Problem Formulation
3.2. Adaptive Control for Switched System
- (A1)
- The relative degree of the transfer function is and the order is n.
- (A2)
- The first time derivatives of the signal are all known and bounded.
- (A3)
- The transfer functions are completely controllable and observable.
- (A4)
- The signs of are known and are the same for all .
- (A5)
- The unknown parameters are bounded in a compact set which is known.
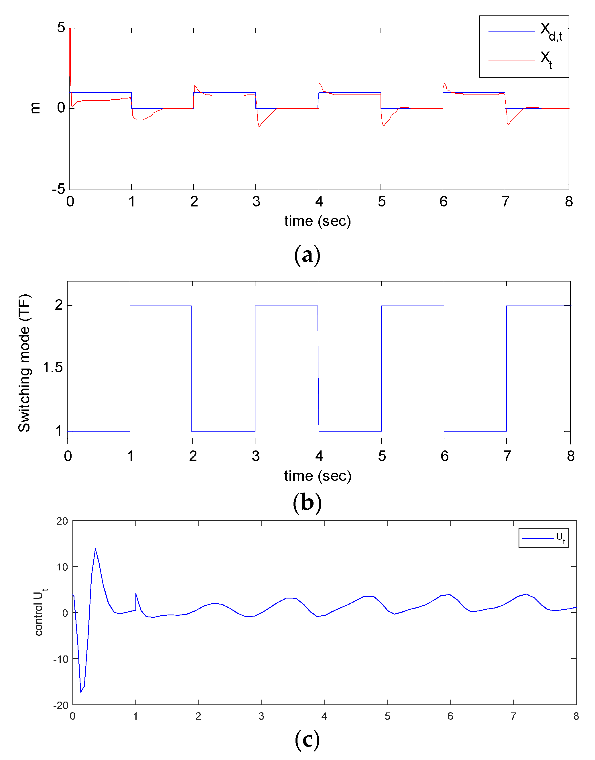
4. Simulation Analysis and Experimental Results
4.1. Simulation Analysis
4.2. Experimental Results with Visual Servoing
5. Conclusions
Author Contributions
Funding
Acknowledgments
Conflicts of Interest
References
- Yu, H.; Beard, R.W.; Byrne, J. Vision-based local multi-resolution mapping and path planning for miniature air vehicles. In Proceedings of the 2009 American Control Conference, St. Louis, MO, USA, 10–12 June 2009; pp. 5247–5252. [Google Scholar]
- Fraundorfer, F.; Heng, L.; Honegger, D.; Lee, G.H.; Tanskanen, P.; Pollefeys, M. Vision-based autonomous mapping and exploration using a quadrotor MAV. In Proceedings of the 2012 IEEE/RSJ International Conference on Intelligent Robots and Systems, Vilamoura-Algarve, Portugal, 7–12 October 2012; pp. 4557–4564. [Google Scholar]
- Baraian, A.; Nedevschi, S. Improved 3D Perception based on Color Monocular Camera for MAV exploiting Image Semantic Segmentation. In Proceedings of the 2019 IEEE 15th International Conference on Intelligent Computer Communication and Processing (ICCP), Cluj-Napoca, Romania, 5–7 September 2019; pp. 295–301. [Google Scholar]
- Hsu, C.M.; Lian, F.L.; Huang, C.M.; Chang, Y.S. Detecting drivable space in traffic scene understanding. In Proceedings of the 2012 International Conference on System Science and Engineering, Dalian, China, 30 June–2 July 2012; pp. 79–84. [Google Scholar]
- Zingg, S.; Scaramuzza, D.; Weiss, S.; Siegwart, R. MAV navigation through indoor corridors using optical flow. In Proceedings of the IEEE International Conference on Robotics and Automation (ICRA), Anchorage, AK, USA, 3–7 May 2010; pp. 3361–3368. [Google Scholar]
- Brox, T.; Rosenhahn, B.; Gall, J.; Cremers, D. Combined region and motion-based 3D tracking of rigid and articulated objects. IEEE Trans. Pattern Anal. Mach. Intell. 2010, 32, 402–415. [Google Scholar] [CrossRef]
- Chmielewski, P.; Sibilski, K. Ground Speed Optical Estimator for Miniature UAV. Sensors 2021, 21, 2754. [Google Scholar] [CrossRef]
- Irfan, M.; Dalai, S.; Kishore, K.; Singh, S.; Akbar, S.A. Vision-based Guidance and Navigation for Autonomous MAV in Indoor Environment. In Proceedings of the 2020 11th International Conference on Computing, Communication and Networking Technologies (ICCCNT), Kharagpur, India, 1–3 July 2020; pp. 1–5. [Google Scholar]
- Pauwels, K.; Tomasi, M.; Alonso, J.D.; Ros, E.; van Hulle, M.M. A comparison of FPGA and GPU for real-time phase-based optical flow, stereo, and local image features. IEEE Trans. Comput. 2012, 61, 999–1012. [Google Scholar] [CrossRef]
- Chaumette, F.; Hutchinson, S. Visual servo control. I. Basic approaches. IEEE Robot. Autom. Mag. 2006, 13, 82–90. [Google Scholar] [CrossRef]
- Tsai, D.; Dansereau, D.G.; Peynot, T.; Corke, P. Image-Based Visual Servoing With Light Field Cameras. IEEE Robot. Autom. Lett. 2017, 2, 912–919. [Google Scholar] [CrossRef] [Green Version]
- Popescu, D.; Mihai, V.; Cojocaru, J.-I.-R.; Drăgana, C.; Ichim, L. Visual Servoing System for Local Robot Control in a Flexible Assembly Line. In Proceedings of the 2020 28th Mediterranean Conference on Control and Automation (MED), Saint-Raphaël, France, 15–18 September 2020; pp. 927–932. [Google Scholar] [CrossRef]
- Keshmiri, M.; Xie, W.; Mohebbi, A. Augmented Image-Based Visual Servoing of a Manipulator Using Acceleration Command. IEEE Trans. Ind. Electron. 2014, 61, 5444–5452. [Google Scholar] [CrossRef]
- Schreier, M. Modeling and adaptive control of a Quadrotor. In Proceedings of the IEEE International Conference on Mechronics and Automation (ICRA), Chengdu, China, 5–8 August 2012; pp. 383–388. [Google Scholar]
- Outeiro, P.; Cardeira, C.; Oliveira, P. Multiple-model control architecture for a quadrotor with constant unknown mass and inertia. Mechatronics 2021, 73, 102455. [Google Scholar] [CrossRef]
- Diao, C.; Xian, B.; Gu, X.; Zhao, B.; Guo, J. Nonlinear Control for an underactuated quadrotor unmanned aerial vehicle with parametric uncertainties. In Proceedings of the 31st Chinese Control Conference, Hefei, China, 25–27 July 2012; pp. 998–1003. [Google Scholar]
- Zhou, X.; Dai, X.; Li, Y. Nonlinear Dynamics Decoupling Control for a Light and Small Inertially Stabilized Platform. In Proceedings of the 2021 6th IEEE International Conference on Advanced Robotics and Mechatronics (ICARM), Chongqing, China, 3–5 July 2021; pp. 663–666. [Google Scholar]
- Palunko, I.; Fierro, R. Adaptive control of a quadrotor with dynamic changes in the center of gravity. IFAC Proc. Vol. 2011, 44, 2626–2631. [Google Scholar] [CrossRef] [Green Version]
- Nicol, C.; Macnab, C.J.B.; Ramirez-Serrano, A. Robust adaptive control of a quadrotor helicopter. Mechatronics 2011, 21, 927–938. [Google Scholar] [CrossRef]
- Hamela, T.; Mahony, R. Image based visual servo control for a class of aerial robotic systems. Automatica 2007, 43, 1975–1983. [Google Scholar] [CrossRef] [Green Version]
- Dong, G.; Cao, L.; Yao, D.; Li, H.; Lu, R. Adaptive Attitude Control for Multi-MUAV Systems with Output Dead-Zone and Actuator Fault. IEEE/CAA J. Autom. Sin. 2021, 8, 1567–1575. [Google Scholar] [CrossRef]
- Lee, D.; Nataraj, C.; Burg, T.C.; Dawson, D.M. Adaptive tracking control of an underactuated aerial vehicle. In Proceedings of the Proceedings of the 2011 American Control Conference, San Francisco, CA, USA, 29 June–1 July 2011. [Google Scholar]
- Li, J.; Xie, H.; Low, K.H.; Yong, J.; Li, B. Image-Based Visual Servoing of Rotorcrafts to Planar Visual Targets of Arbitrary Orientation. IEEE Robot. Autom. Lett. 2021, 6, 7861–7868. [Google Scholar] [CrossRef]
- Ali, Z.A.; Pandey, S. Variable Structure-Model Reference Adaptive Control for Stabilization the Attitude of UAV. Int. J. Control. Autom. 2017, 10, 37–48. [Google Scholar] [CrossRef]
- Kashkul, M.; Saberi, F.F.; Kasiri, A. Variable structure control of quadrotor based on position input. In Proceedings of the 2021 7th International Conference on Control, Instrumentation and Automation (ICCIA), Tabriz, Iran, 23–24 February 2021; pp. 1–6. [Google Scholar]
- Derrouaoui, S.H.; Bouzid, Y.; Guiatni, M. Nonlinear Robust Control of a New Reconfigurable Unmanned Aerial Vehicle. Robotics 2021, 10, 76. [Google Scholar] [CrossRef]
- Rafique, M.A.; Lynch, A.F. Output-Feedback Image-Based Visual Servoing for Multirotor Unmanned Aerial Vehicle Line Following. IEEE Trans. Aerosp. Electron. Syst. 2020, 56, 3182–3196. [Google Scholar] [CrossRef]
- Shi, J.; Tomasi, C. Good features to track. In Proceedings of the IEEE Conference on Computer Vision and Pattern Recognition, Seattle, WA, USA, 21–23 June 1994; pp. 593–600. [Google Scholar]
- Joseph, H.; Rajan, B.K. Real Time Drowsiness Detection using Viola Jones & KLT. In Proceedings of the 2020 International Conference on Smart Electronics and Communication (ICOSEC), Trichy, India, 10–12 September 2020; pp. 583–588. [Google Scholar]
- Scaramuzza, D.; Fraundorfer, F. Visual odometry: Part I—The first 30 years and fundamentals. IEEE Robot. Autom. Mag. 2011, 18, 80–92. [Google Scholar] [CrossRef]
- Tomasi, C. Shape and motion from image streams under orthography: A factorization method. Int. J. Comput. Vis. 1992, 9, 137–154. [Google Scholar] [CrossRef]
- Bouguet, J.Y. Pyramidal Implementation of the Lucas Kanade Feature Tracker Description of the Algorithm; Intel Corporation Microprocessor Research Labs: Santa Clara, CA, USA, 2000. [Google Scholar]
- Krstic, M.; Kanellakopoulos, I.; Kokotovic, P. Nonlinear and Adaptive Control Design; John Wiley & Sons: Hoboken, NJ, USA, 1995. [Google Scholar]
- Ahmed, A.H.; Ouda, A.N.; Kamel, A.M.; Elhalwagy, Y.Z. Design and Analysis of Quadcopter Classical Controller. In Proceedings of the 16th International Conference on Aerospace Sciences & Aviation Technology, Cairo, Egypt, 26–28 May 2015. [Google Scholar]












Publisher’s Note: MDPI stays neutral with regard to jurisdictional claims in published maps and institutional affiliations. |
© 2021 by the authors. Licensee MDPI, Basel, Switzerland. This article is an open access article distributed under the terms and conditions of the Creative Commons Attribution (CC BY) license (https://creativecommons.org/licenses/by/4.0/).
Share and Cite
Chiang, M.-L.; Tsai, S.-H.; Huang, C.-M.; Tao, K.-T. Adaptive Visual Servoing for Obstacle Avoidance of Micro Unmanned Aerial Vehicle with Optical Flow and Switched System Model. Processes 2021, 9, 2126. https://doi.org/10.3390/pr9122126
Chiang M-L, Tsai S-H, Huang C-M, Tao K-T. Adaptive Visual Servoing for Obstacle Avoidance of Micro Unmanned Aerial Vehicle with Optical Flow and Switched System Model. Processes. 2021; 9(12):2126. https://doi.org/10.3390/pr9122126
Chicago/Turabian StyleChiang, Ming-Li, Shun-Hung Tsai, Cheng-Ming Huang, and Kuang-Tin Tao. 2021. "Adaptive Visual Servoing for Obstacle Avoidance of Micro Unmanned Aerial Vehicle with Optical Flow and Switched System Model" Processes 9, no. 12: 2126. https://doi.org/10.3390/pr9122126
APA StyleChiang, M.-L., Tsai, S.-H., Huang, C.-M., & Tao, K.-T. (2021). Adaptive Visual Servoing for Obstacle Avoidance of Micro Unmanned Aerial Vehicle with Optical Flow and Switched System Model. Processes, 9(12), 2126. https://doi.org/10.3390/pr9122126
