Numerical Determination of RVE for Heterogeneous Geomaterials Based on Digital Image Processing Technology
Abstract
1. Introduction
- The pre-processing technique for digital images and the method to generate samples for analysis are introduced briefly.
- A DIP method for geomaterials, based on a connected-component labeling algorithm, is then presented. An implementation of this method to convert a digital image from an original figure to a vectorized drawing is presented.
- An algorithm for generating a 2D finite difference element meshes automatically from vectorized images is applied. The 2D numerical grid is converted to a 3D numerical model through a proposed interface program.
- The scale effect of macro-mechanical properties is investigated by conducting numerical triaxial compressive tests. A method for estimating the REV of an SRM is proposed.
2. Numerical Sample Generation
2.1. Pre-Processing of Digital Image
2.1.1. Noise Removal
2.1.2. Color Space Conversion
2.1.3. Image Binarization
2.1.4. Connected-Component Labeling Algorithm
2.2. Sample Extraction
2.3. Microstructure Detection and Geometry Vectorization of Binary Image
- Set a threshold value T.
- Find two points with the longest distance, mark them, and link them to divide the polyline into two segments.
- For any part, calculate the maximum perpendicular distance among all points in this part. If the maximum distance of this part is longer than the threshold value T, separate this part into two segments. Mark the corresponding point and link it to the former two marked points.
- Repeat step 3 until the perpendicular distance of all the segments is less than T.
- Connect all marked points one by one to form a polygon.
3. Numerical Triaxial Mechanical Tests
3.1. Mesh Generation
3.2. Mechanical Parameters and Boundary Condition
4. Results
4.1. Strength of Samples with Different Sizes
4.2. RVE Estimation
5. Conclusions
6. Patents
Author Contributions
Funding
Conflicts of Interest
References
- Xu, W.-J.; Yue, Z.-Q.; Hu, R.-L. Study on the mesostructure and mesomechanical characteristics of the soil–rock mixture using digital image processing based finite element method. Int. J. Rock Mech. Min. Sci. 2008, 45, 749–762. [Google Scholar] [CrossRef]
- Tsesarsky, M.; Hazan, M.; Gal, E. Estimating the elastic moduli and isotropy of block in matrix (bim) rocks by computational homogenization. Eng. Geol. 2016, 200, 58–65. [Google Scholar] [CrossRef]
- Stroeven, M.; Askes, H.; Sluys, L. Numerical determination of representative volumes for granular materials. Comput. Methods Appl. Mech. Eng. 2004, 193, 3221–3238. [Google Scholar] [CrossRef]
- Gitman, I.; Askes, H.; Sluys, L. Representative volume: Existence and size determination. Eng. Fract. Mech. 2007, 74, 2518–2534. [Google Scholar] [CrossRef]
- Nguyen, V.P.; Lloberas-Valls, O.; Stroeven, M.; Sluys, L.J. On the existence of representative volumes for softening quasi-brittle materials–a failure zone averaging scheme. Comput. Methods Appl. Mech. Eng. 2010, 199, 3028–3038. [Google Scholar] [CrossRef]
- Drugan, W.; Willis, J. A micromechanics-based nonlocal constitutive equation and estimates of representative volume element size for elastic composites. J. Mech. Phys. Solids 1996, 44, 497–524. [Google Scholar] [CrossRef]
- Ostoja-Starzewski, M. Material spatial randomness: From statistical to representative volume element. Probab. Eng. Mech. 2006, 21, 112–132. [Google Scholar] [CrossRef]
- Kouznetsova, V.; Geers, M.G.; Brekelmans, W.M. Multi-scale constitutive modelling of heterogeneous materials with a gradient-enhanced computational homogenization scheme. Int. J. Numer. Methods Eng. 2002, 54, 1235–1260. [Google Scholar] [CrossRef]
- Kwan, A.; Wang, Z.; Chan, H. Mesoscopic study of concrete II: Nonlinear finite element analysis. Comput. Struct. 1999, 70, 545–556. [Google Scholar] [CrossRef]
- Blanco, P.J.; Sánchez, P.J.; de Souza Neto, E.A.; Feijóo, R.A. Variational foundations and generalized unified theory of RVE-based multiscale models. Arch. Comput. Methods Eng. 2016, 23, 191–253. [Google Scholar] [CrossRef]
- Nguyen, V.P.; Lloberas-Valls, O.; Stroeven, M.; Sluys, L.J. Homogenization-based multiscale crack modelling: From micro diffusive damage to macro cracks. Comput. Methods Appl. Mech. Eng. 2011, 200, 1220–1236. [Google Scholar] [CrossRef]
- Bulsara, V.; Talreja, R.; Qu, J. Damage initiation under transverse loading of unidirectional composites with arbitrarily distributed fibers. Compos. Sci. Technol. 1999, 59, 673–682. [Google Scholar] [CrossRef]
- Kulatilake, P.H.S.W.; Wang, S.; Stephansson, O. Effect of finite size joints on the deformability of jointed rock in three dimensions. Int. J. Rock Mech. Min. Sci. Geomech. Abstr. 1993, 30, 479–501. [Google Scholar] [CrossRef]
- Ning, Y.; Xu, W.; Zheng, W.; Meng, G.; Shi, A.; Wu, G. Study of Random Simulation of Columnar Jointed Rock Mass and its Representative Elementary Volume Scale. Chin. J. Rock Mech. Eng. 2008, 27, 1202–1208. [Google Scholar]
- Zhang, G.; Xu, W. Analysis of joint network simulation method and REV scale. Rock Soil Mech. 2008, 29, 1675–1680. [Google Scholar]
- Esmaieli, K.; Hadjigeorgiou, J.; Grenon, M. Estimating geometrical and mechanical REV based on synthetic rock mass models at Brunswick Mine. Int. J. Rock Mech. Min. Sci. 2010, 47, 915–926. [Google Scholar] [CrossRef]
- Ammouche, A.; Breysse, D.; Hornain, H.; Didry, O.; Marchand, J. A new image analysis technique for the quantitative assessment of microcracks in cement-based materials. Cem. Concr. Res. 2000, 30, 25–35. [Google Scholar] [CrossRef]
- Ammouche, A.; Riss, J.; Breysse, D.; Marchand, J. Image analysis for the automated study of microcracks in concrete. Cem. Concr. Res. 2001, 23, 267–278. [Google Scholar] [CrossRef]
- Kwan, A.K.; Mora, C.; Chan, H. Particle shape analysis of coarse aggregate using digital image processing. Cem. Concr. Res. 1999, 29, 1403–1410. [Google Scholar] [CrossRef]
- Obaidat, M.T.; Al-Masaeid, H.R.; Gharaybeh, F.; Khedaywi, T.S. An innovative digital image analysis approach to quantify the percentage of voids in mineral aggregates of bituminous mixtures. Can. J. Civ. Eng. 1998, 25, 1041–1049. [Google Scholar] [CrossRef]
- Xu, J.; Zhao, X.; Liu, B. Digital image analysis of fluid inclusions. Int. J. Rock Mech. Min. Sci. 2007, 44, 942–947. [Google Scholar] [CrossRef]
- Yue, Z.Q.; Bekking, W.; Morin, I. Application of digital image processing to quantitative study of asphalt concrete microstructure. Transp. Res. Rec. 1995, 1492, 53–60. [Google Scholar]
- Yue, Z.Q.; Morin, I. Digital image processing for aggregate orientation in asphalt concrete mixtures. Can. J. Civ. Eng. 1996, 23, 480–489. [Google Scholar] [CrossRef]
- Berryman, J.G.; Blair, S.C. Use of digital image analysis to estimate fluid permeability of porous materials: Application of two-point correlation functions. J. Appl. Phys. 1986, 60, 1930–1938. [Google Scholar] [CrossRef]
- Berryman, J.G.; Blair, S.C. Kozeny–Carman relations and image processing methods for estimating Darcy’s constant. J. Appl. Phys. 1987, 62, 2221–2228. [Google Scholar] [CrossRef]
- Kameda, A. Permeability Evolution in Sandstone: Digital Rock Approach. Master’s Thesis, Stanford University, Stanford, CA, USA, 2004. [Google Scholar]
- Armesto, J.; Lubowiecka, I.; Ordóñez, C.; Rial, F.I. FEM modeling of structures based on close range digital photogrammetry. Autom. Constr. 2009, 18, 559–569. [Google Scholar] [CrossRef]
- Chen, S.; Yue, Z.; Tham, L. Digital image-based numerical modeling method for prediction of inhomogeneous rock failure. Int. J. Rock Mech. Min. Sci. 2004, 41, 939–957. [Google Scholar] [CrossRef]
- Chen, S.; Yue, Z.; Tham, L. Digital image based numerical modeling method for heterogeneous geomaterials. Chin. J. Geotech. Eng. 2005, 27, 956–964. [Google Scholar]
- Chen, S.; Yue, Z.; Tham, L. Digital image based approach for three-dimensional mechanical analysis of heterogeneous rocks. Rock Mech. Rock Eng. 2007, 40, 145. [Google Scholar] [CrossRef]
- Michailidis, N.; Stergioudi, F.; Omar, H.; Tsipas, D. An image-based reconstruction of the 3D geometry of an Al open-cell foam and FEM modeling of the material response. Mech. Mater. 2010, 42, 142–147. [Google Scholar] [CrossRef]
- Xu, W.; Hu, R.; Yue, Z. Meso-structure character of soil-rock mixtures based on digital image. J. Liaoning Tech. Univ. (Nat. Sci.) 2008, 27, 51–53. [Google Scholar]
- Xu, W.-J.; Hu, R.-L.; Wang, Y.-P. PFC2D model for mesostructure of inhomogeneous geomaterial based on digital image processing. J. China Coal Soc. 2007, 4. [Google Scholar]
- Yue, Z.; Chen, S.; Tham, L. Finite element modeling of geomaterials using digital image processing. Comput. Geotech. 2003, 30, 375–397. [Google Scholar] [CrossRef]
- Yue, Z.; Chen, S.; Zheng, H.; Tham, L. Digital image proceeding based on finite element method for geomaterials. Chin. J. Rock Mech. Eng. 2004, 23, 889–897. [Google Scholar]
- Meng, Q.; Wang, H.; Xu, W.; Zhang, Q. A coupling method incorporating digital image processing and discrete element method for modeling of geomaterials. Eng. Comput. 2018, 35, 411–431. [Google Scholar] [CrossRef]
- Zhang, S.; Tang, H.; Zhan, H.; Lei, G.; Cheng, H. Investigation of scale effect of numerical unconfined compression strengths of virtual colluvial–deluvial soil–rock mixture. Int. J. Rock Mech. Min. Sci. 2015, 77, 208–219. [Google Scholar] [CrossRef]
- Xu, W.-J.; Hu, R.-L.; Yue, Z. Development of random mesostructure generating system of soil-rock mixture and study of its mesostructural mechanics based on numerical test. Chin. J. Rock Mech. Eng. 2009, 28, 1652–1665. [Google Scholar]
- Yan, L.; Meng, Q.-X.; Xu, W.-Y.; Wang, H.-L.; Zhang, Q.; Zhang, J.-C.; Wang, R.-B. A numerical method for analyzing the permeability of heterogeneous geomaterials based on digital image processing. J. Zhejiang Univ. Sci. A 2017, 18, 124–137. [Google Scholar] [CrossRef]
- Castleman, K.R. Digital Image Processing, 1st ed.; Prentice Hall Inc.: Upper Saddle River, NJ, USA, 1995. [Google Scholar]
- Bajon, J.; Cattoen, M.; Liang, L. Identification of multicoloured objects using a vision module. In Proceedings of the 6th International Conference on Robot Vision and Sensory Controls, Paris, France, 3–5 June 1986; pp. 21–30. [Google Scholar]
- Foley, J.D.; Feiner, S.K.; Hughes, J.F.; Dam, A.V. Computer Graphics: Principles and Practice, 2nd ed.; Addison-Wesley: Boston, MA, USA, 1990. [Google Scholar]
- Gonzalez, R.C.; Woods, R.E.; Eddins, S.L. Digital Image Processing Using MATLAB, 2nd ed.; Gatesmark Publishing: London, UK, 2009. [Google Scholar]
- Huang, S.; Ding, X.; Zhang, Y.; Cheng, W. Triaxial test and mechanical analysis of rock-soil aggregate sampled from natural sliding mass. Adv. Mater. Sci. Eng. 2015, 2015, 238095. [Google Scholar] [CrossRef][Green Version]
- Lu, T. Soil Mechanics, 2nd ed.; Hohai University Press: Nanjing, China, 2005. [Google Scholar]
- Cao, Y.; Wang, J.; Bai, Z.; Zhou, W.; Zhao, Z.; Ding, X.; Li, Y. Differentiation and mechanisms on physical properties of reconstructed soils on open-cast mine dump of loess area. Environ. Earth Sci. 2015, 74, 6367–6380. [Google Scholar] [CrossRef]



















| Density ρ (kg/m3) | Bulk Modulus K (GPa) | Shear Modulus G (GPa) | Cohesion c (kPa) | Friction Angle φ (°) | Tension Strength | |
|---|---|---|---|---|---|---|
| Soil | 1900 | 0.035 | 0.014 | 30.000 | 16.0 | 0.009 |
| Rock | 2700 | 24.000 | 13.000 | 120.000 | 45.0 | 2.000 |
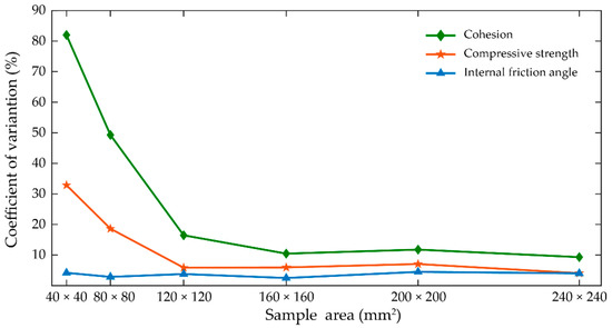
| Sample Size (mm2) | Coefficient of Variation (%) | ||
|---|---|---|---|
| Compressive Strength σc | Cohesion c | Internal Friction Angle φ | |
| 40 × 40 | 32.87 | 82.00 | 4.18 |
| 80 × 80 | 18.62 | 49.29 | 2.85 |
| 120 × 120 | 5.87 | 16.46 | 3.78 |
| 160 × 160 | 5.95 | 10.46 | 2.49 |
| 200 × 200 | 7.06 | 11.77 | 4.49 |
| 240 × 240 | 4.05 | 9.31 | 4.01 |
© 2019 by the authors. Licensee MDPI, Basel, Switzerland. This article is an open access article distributed under the terms and conditions of the Creative Commons Attribution (CC BY) license (http://creativecommons.org/licenses/by/4.0/).
Share and Cite
Yang, L.; Xu, W.; Meng, Q.; Xie, W.-C.; Wang, H.; Sun, M. Numerical Determination of RVE for Heterogeneous Geomaterials Based on Digital Image Processing Technology. Processes 2019, 7, 346. https://doi.org/10.3390/pr7060346
Yang L, Xu W, Meng Q, Xie W-C, Wang H, Sun M. Numerical Determination of RVE for Heterogeneous Geomaterials Based on Digital Image Processing Technology. Processes. 2019; 7(6):346. https://doi.org/10.3390/pr7060346
Chicago/Turabian StyleYang, Lanlan, Weiya Xu, Qingxiang Meng, Wei-Chau Xie, Huanling Wang, and Mengcheng Sun. 2019. "Numerical Determination of RVE for Heterogeneous Geomaterials Based on Digital Image Processing Technology" Processes 7, no. 6: 346. https://doi.org/10.3390/pr7060346
APA StyleYang, L., Xu, W., Meng, Q., Xie, W.-C., Wang, H., & Sun, M. (2019). Numerical Determination of RVE for Heterogeneous Geomaterials Based on Digital Image Processing Technology. Processes, 7(6), 346. https://doi.org/10.3390/pr7060346
