A Simple Way to Incorporate Carbon Nanotubes in Polymers: Nanostructured Road Marking Paint
Abstract
1. Introduction
2. Experimental
2.1. Procedures and Equipment
- Morphological analyses by scanning electron microscopy (SEM) were performed using a Vega3-TESCAN microscope equipped with an integrated X-ray dispersive energy spectrometer (EDS), TESCAN headquartered in Brno, Czech Republic. The working distance and acceleration voltage during EDS analysis were set at 15 mm and 20 kV, respectively. Voltage range of 2–5 kV, and magnifications ranging from 5000× to 100,000× were employed.
- Transmission electron microscopy (TEM) was carried out on CNTs using a FEI-Tecnai G2-20 SuperTwin microscope, produced by FEI Company, Hillsboro, Oregon (USA), operating at a voltage of 200 kV.
- The structural quality of the carbon nanotubes was analyzed by Raman spectroscopy, at 25 °C with λ excitation at 532 nm, using a Horiba iHR320 spectrometer, equipped with a CCD detector, manufactured by HORIBA, Monpellier, France.
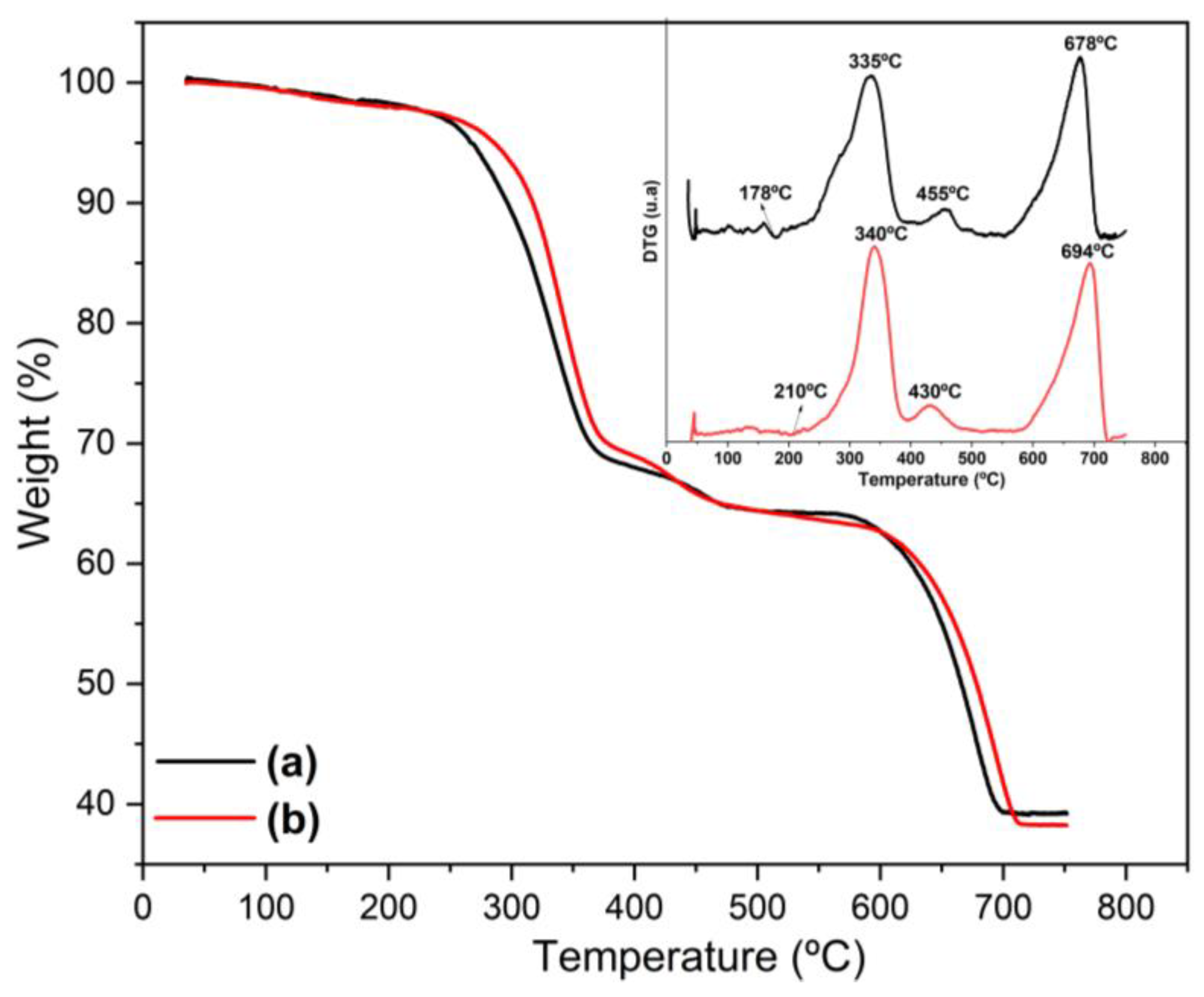
- Thermal stability of the carbon nanotubes and paint samples was analyzed by thermogravimetry (TGA) using a TGA apparatus (60 Shimadzu), produced by Shimadzu Corporation, Kyoto (Japan). The measurements were taken between 25 °C and 800 °C with a ramp rate of 5 °C/min.
- FTIR measurements were performed in paint using a Fourier transform infrared spectrophotometer (Frontier—Perkin Elmer) in transmittance mode, manufactured by PerkinElmer, Inc.940 Winter Street Waltham, MA 02451 USA. The average spectrum obtained was 32 scans in a frequency range of 4000–400 cm−1 with a resolution of 4 cm−1.
- Electrical characterization of the paint using a Keithley Sourcemeter, manufactured by Tektronix and Keithley (USA), model 2400 was conducted at room temperature.
- Skid resistance of surface tests were performed using British Pendulum Tester, manufactured by Controls, Milan (Italy).
- Viscosity measurements were conducted using a Brookfield Rheometer, produced by by AMETEK Brookfield (USA).
- Macrotexture measurements were conducted using the Sand Patch Test.
2.2. Catalyst Preparation and Carbon Nanotube Synthesis
2.3. Preparation of Nanostructured Road Marking Paints
3. Results and Discussion
3.1. Characterization of the CNT from Fe:Co:MgO
3.2. Characterization of the Road Marking Paint
Viscosity and Quality of Asphalt Pavement with Nanostructured Paints
3.3. Influence of CNT on Road Paint Impermeability—Wettability
3.4. Morphology, Electrical, and Thermal Properties of Road Paint with Higher CNT Concentration (2.0%)
4. Conclusions
- (1)
- The use of cavitation energy through ultrasonication allows for the natural dispersion of CNTs in paint, free from additives, surfactants, or functionalization, thus not adding any additional cost to the process beyond the cost of synthesizing the CNTs themselves;
- (2)
- CNTs are uniformly dispersed even at high concentrations (2.0% CNT by total mass), making their dispersion easy for use in the polymer industry without requiring a specialized workforce and
- (3)
- The presence of CNTs in road marking paint produces a conductive paint, more thermally stable, rougher and a promising impermeable layer, expanding its applications in road maintenance, both in icy conditions and under exposure to environmental elements.
Author Contributions
Funding
Data Availability Statement
Conflicts of Interest
References
- Omanović-Mikličanin, E.; Badnjević, A.; Kazlagić, A.; Hajlovac, M. Nanocomposites: A brief review. Health Technol. 2020, 10, 51–59. [Google Scholar] [CrossRef]
- Jang, S.-H.; Park, Y.-L. Carbon nanotube-reinforced smart composites for sensing freezing temperature and deicing by self-heating. Nanomater. Nanotechnol. 2018, 8, 1847980418776473. [Google Scholar] [CrossRef]
- Yum, S.-G.; Yin, H.; Jang, S.-H. Toward Multi-Functional Road Surface Design with the Nanocomposite Coating of Carbon Nanotube Modified Polyurethane: Lab-Scale Experiments. Nanomaterials 2020, 10, 1905. [Google Scholar] [CrossRef]
- Ansón-Casaos, A.; Mis-Fernández, R.; López-Alled, C.M.; Almendro-López, E.; Hernández-Ferrer, J.; González-Domínguez, J.M.; Martínez, M.T. Transparent conducting films made of different carbon nanotubes, processed carbon nanotubes, and graphene nanoribbons. Chem. Eng. Sci. 2015, 138, 566–574. [Google Scholar] [CrossRef]
- Tao, J.-R.; Luo, C.-L.; Huang, M.-L.; Weng, Y.-X.; Wang, M. Construction of unique conductive networks in carbon nanotubes/polymer composites via poly(ε-caprolactone) inducing partial aggregation of carbon nanotubes for microwave shielding enhancement. Compos. Part. A Appl. Sci. Manuf. 2023, 164, 107304. [Google Scholar] [CrossRef]
- Wang, Y.; Wang, X.; Cao, X.; Gong, S.; Xie, Z.; Li, T.; Wu, C.; Zhu, Z.; Li, Z. Effect of nano-scale Cu particles on the electrical property of CNT/polymer nanocomposites. Compos. Part. A Appl. Sci. Manuf. 2021, 143, 106325. [Google Scholar] [CrossRef]
- Xu, Y.-T.; Wang, Y.; Zhou, C.-G.; Sun, W.-J.; Dai, K.; Tang, J.-H.; Lei, J.; Yan, D.-X.; Li, Z.-M. An electrically conductive polymer composite with a co-continuous segregated structure for enhanced mechanical performance. J. Mater. Chem. C Mater. 2020, 8, 11546–11554. [Google Scholar] [CrossRef]
- Carvalho, J.D.C.L.; do Amaral, G.G.M.; Soares, D.C.F.; Maia, M.V.; de Souza Oliveira, C.A.; Oliveira, C.E.M.; da Silva, E.E.; de Morais, E.A.; Silva, G.J.B.; Geraldo, V. Synthesis of carbon nanotube-based nanocement: Application in biocompatible mortar with reduced environmental impact. Carbon 2025, 234, 119932. [Google Scholar] [CrossRef]
- Feng, P.; Kong, Y.; Liu, M.; Peng, S.; Shuai, C. Dispersion strategies for low-dimensional nanomaterials and their application in biopolymer implants. Mater. Today Nano 2021, 15, 100127. [Google Scholar] [CrossRef]
- Oliveira, C.E.M.; da Silva, E.E.; de Morais, E.A.; Geraldo, V. Carbon Nanotube Research Developments: Published Scientific Documents and Patents, Synthesis, and Production. In Handbook of Carbon Nanotubes; Springer International Publishing: Cham, Switzerland, 2021; pp. 1–38. [Google Scholar] [CrossRef]
- Huang, Y.Y.; Ahir, S.V.; Terentjev, E.M. Dispersion rheology of carbon nanotubes in a polymer matrix. Phys. Rev. B 2006, 73, 125422. [Google Scholar] [CrossRef]
- Huang, X.; Mo, Y.; Wu, W.; Ye, M.; Hu, C. Preparation and Properties of Waterborne Polyurethane/Carbon Nanotube/Graphene/Cellulose Nanofiber Composites. Processes 2024, 12, 1913. [Google Scholar] [CrossRef]
- Zhang, J.; Chen, J.; Zhu, A. The novel hyperdispersant for CNT in waterborne paint and its metal corrosion protection behavior. J. Mater. Sci. 2023, 58, 10986–10999. [Google Scholar] [CrossRef]
- Gojny, F.; Wichmann, M.; Fiedler, B.; Schulte, K. Influence of different carbon nanotubes on the mechanical properties of epoxy matrix composites—A comparative study. Compos. Sci. Technol. 2005, 65, 2300–2313. [Google Scholar] [CrossRef]
- Ma, P.-C.; Siddiqui, N.A.; Marom, G.; Kim, J.-K. Dispersion and functionalization of carbon nanotubes for polymer-based nanocomposites: A review. Compos. Part. A Appl. Sci. Manuf. 2010, 41, 1345–1367. [Google Scholar] [CrossRef]
- Song, Y.S.; Youn, J.R. Influence of dispersion states of carbon nanotubes on physical properties of epoxy nanocomposites. Carbon 2005, 43, 1378–1385. [Google Scholar] [CrossRef]
- Lee, S.-J.; Jung, Y.-J.; Cho, C.; Jang, S.-H. Effect of Atmospheric Temperature on Epoxy Coating Reinforced with Carbon Nanotubes for De-Icing on Road Systems. Nanomaterials 2023, 13, 2248. [Google Scholar] [CrossRef]
- Chien, A.-T.; Cho, S.; Joshi, Y.; Kumar, S. Electrical conductivity and Joule heating of polyacrylonitrile/carbon nanotube composite fibers. Polymer 2014, 55, 6896–6905. [Google Scholar] [CrossRef]
- Lee, S.-J.; Jung, Y.-J.; Park, J.; Jang, S.-H. Temperature Detectable Surface Coating with Carbon Nanotube/Epoxy Composites. Nanomaterials 2022, 12, 2369. [Google Scholar] [CrossRef]
- Liu, J.Q.; Xiao, T.; Liao, K.; Wu, P. Interfacial design of carbon nanotube polymer composites: A hybrid system of noncovalent and covalent functionalizations. Nanotechnology 2007, 18, 165701. [Google Scholar] [CrossRef]
- Pras, M.; Gérard, J.-F.; Golanski, L.; Quintard, G.; Duchet-Rumeau, J. Key Role of the Dispersion of Carbon Nanotubes (CNTs) within Epoxy Networks on their Ability to Release. Polymers 2020, 12, 2530. [Google Scholar] [CrossRef] [PubMed]
- Chen, S.J.; Zou, B.; Collins, F.; Zhao, X.L.; Majumber, M.; Duan, W.H. Predicting the influence of ultrasonication energy on the reinforcing efficiency of carbon nanotubes. Carbon 2014, 77, 1–10. [Google Scholar] [CrossRef]
- Hiremath, N.; Mays, J.; Bhat, G. Recent Developments in Carbon Fibers and Carbon Nanotube-Based Fibers: A Review. Polym. Rev. 2017, 57, 339–368. [Google Scholar] [CrossRef]
- do Carmo Lima Carvalho, J.; Zerbini Costal, G.; de Morais, E.A.; Martins Oliveira, C.E.; Siqueira, J.S.; da Silva, E.E.; de Souza Oliveira, C.A.; Filho, F.M.; Brigolini Silva, G.J.; Geraldo, V. Synthesis and application of carbon nanotubes grown directly on pozzolanic clay. J. Nanopart. Res. 2023, 25, 186. [Google Scholar] [CrossRef]
- Geraldo, V.; de Oliveira, S.; da Silva, E.E.; de Souza Oliveira, C.A.; de Almeida Cunha, R.M.; de Oliveira, R.F.P.; Oliveira, C.E.M.; de Morais, E.A. Synthesis of carbon nanotubes on sand grains for mortar reinforcement. Constr. Build. Mater. 2020, 252, 119044. [Google Scholar] [CrossRef]
- Costal, G.Z.; Oliveira, C.E.M.; de Morais, E.A.; de Souza Oliveira, C.A.; da Silva, E.E.; Moura Filho, F.; Geraldo, V. High-yield synthesis of carbon nanotubes in-situ on iron ore tailing. Carbon Trends 2021, 5, 100098. [Google Scholar] [CrossRef]
- De Souza, I.A.M.; de Morais, E.A.; Geraldo, V. Waterproofing materials by incorporating as grown carbon nanotubes into paint. J. Polym. Sci. Eng. 2024, 7, 6758. [Google Scholar] [CrossRef]
- Wang, J.; Shen, B.; Lan, M.; Kang, D.; Wu, C. Carbon nanotubes (CNTs) production from catalytic pyrolysis of waste plastics: The influence of catalyst and reaction pressure. Catal. Today 2020, 351, 50–57. [Google Scholar] [CrossRef]
- Thonganantakul, O.; Srinives, S.; Chaiwat, W.; Kerdnawee, K.; Suttiponparnit, K.; Charinpanitkul, T. Temperature dependence of iron oxide-graphene oxide properties for synthesis of carbon nanotube/graphene hybrid material. Catal. Today 2021, 375, 79–86. [Google Scholar] [CrossRef]
- Montanheiro, T.L.D.A.; Cristóvan, F.H.; Machado, J.P.B.; Tada, D.B.; Durán, N.; Lemes, A.P. Effect of MWCNT functionalization on thermal and electrical properties of PHBV/MWCNT nanocomposites. J. Mater. Res. 2015, 30, 55–65. [Google Scholar] [CrossRef]
- Ji, X.; Hao, H.; Wu, Q.; Zhou, B.; Sun, F. Surface modification of silicon carbide powders with aminoorganosilanes. J. Wuhan Univ. Technol. Mater. Sci. Ed. 2007, 22, 754–756. [Google Scholar] [CrossRef]
- Rêgo, J.K.M.A.D.; Nascimento, J.H.O.D.; Agrawal, P.; Mélo, T.J.A.; Costa, M.C.B.; Ito, E.N. Influence of amine groups in the chemical structure of photochromic dyes on the rheological and mechanical properties of poly(methyl methacrylate) (PMMA). Dye. Pigment. 2017, 142, 350–357. [Google Scholar] [CrossRef]
- Liu, D.; Li, W.; Zhang, N.; Huang, T.; Yang, J.; Wang, Y. Graphite oxide-driven miscibility in PVDF/PMMA blends: Assessment through dynamic rheology method. Eur. Polym. J. 2017, 96, 232–247. [Google Scholar] [CrossRef]
- Nguyen, M.B.; Le, G.H.; Pham, T.T.T.; Pham, G.T.T.; Quan, T.T.T.; Nguyen, T.D.; Vu, T.A. Novel Nano-Fe2O3-Co3O4 Modified Dolomite and Its Use as Highly Efficient Catalyst in the Ozonation of Ammonium Solution. J. Nanomater. 2020, 2020, 4593054. [Google Scholar] [CrossRef]
- Osman, A.F.; Siah, L.; Alrashdi, A.A.; Ul-Hamid, A.; Ibrahim, I. Improving the Tensile and Tear Properties of Thermoplastic Starch/Dolomite Biocomposite Film through Sonication Process. Polymers 2021, 13, 274. [Google Scholar] [CrossRef] [PubMed]
- Khoswan, I.; Abusafa, A.; Odeh, S. The Effect of Carbon Nanotubes on the Viscosity and Surface Tension of Heat Transfer Fluids—A Review Paper. Energies 2024, 17, 5584. [Google Scholar] [CrossRef]
- Kharlamova, M.V.; Paukov, M.; Burdanova, M.G.; Functionalization, N. Methods and Demonstrated Applications. Materials 2022, 15, 5386. [Google Scholar] [CrossRef]
- Salah, L.S.; Ouslimani, N.; Bousba, D.; Huynen, I.; Danlée, Y.; Aksas, H. Carbon Nanotubes (CNTs) from Synthesis to Functionalized (CNTs) Using Conventional and New Chemical Approaches. J. Nanomater. 2021, 2021, 4972770. [Google Scholar] [CrossRef]
- Taher, M.N.M.; Aman, M.Y.; Bujang, H. The effect of aggregate micro and macro texture on pavement skid resistance of Malaysia road network. IOP Conf. Ser. Earth Environ. Sci. 2024, 1347, 012054. [Google Scholar] [CrossRef]
- Hodgson, G.; Passmore, M.; Skarysz, M.; Garmory, A.; Paolillo, F. Contact angle measurements for automotive exterior water management. Exp. Fluids 2021, 62, 119. [Google Scholar] [CrossRef]
- Pogorzelski, S.; Boniewicz-Szmyt, K.; Grzegorczyk, M.; Rochowski, P. Wettability of Metal Surfaces Affected by Paint Layer Covering. Materials 2022, 15, 1830. [Google Scholar] [CrossRef]
- Tavana, H.; Lam, C.N.C.; Grundke, K.; Friedel, P.; Kwok, D.Y.; Hair, M.L.; Neumann, A.W. Contact angle measurements with liquids consisting of bulky molecules. J. Colloid. Interface Sci. 2004, 279, 493–502. [Google Scholar] [CrossRef] [PubMed]
- Mantilaka, M.M.M.G.P.G.; Karunaratne, D.G.G.P.; Rajapakse, R.M.G.; Pitawala, H.M.T.G.A. Precipitated calcium carbonate/poly(methyl methacrylate) nanocomposite using dolomite: Synthesis, characterization and properties. Powder Technol. 2013, 235, 628–632. [Google Scholar] [CrossRef]
- Deep, N.; Mishra, P. Fabrication and characterization of thermally conductive PMMA/MWCNT nanocomposites. Mater. Today Proc. 2018, 5, 28328–28336. [Google Scholar] [CrossRef]














| Measurement | Samples | |||
|---|---|---|---|---|
| REF | 0.1% CNT | 0.5% CNT | 2.0% CNT | |
| Viscosity (cP) | 28.0 | 26.0 | 33.0 | 53.0 |
| Gain * | ----- | −7.1% | +17.9% | +89.3% |
| Shear Stress (N/m2) | 2.6 | 2.4 | 3.0 | 4.9 |
| Gain * | ----- | −7.7% | +15.4% | +88.5% |
| Measurement | Samples | |||
|---|---|---|---|---|
| REF | 0.1% CNT | 0.5% CNT | 2.0% CNT | |
| Sand patch test (MTD) | 0.37 | 0.36 | 0.54 | 0.59 |
| Gain * | ----- | −2.7% | +45.9 | +59.5 |
| British pendulum tester (BPT) | 53.73 | 53.73 | 67.60 | 89.13 |
| Gain * | ----- | --- | +25.8 | +65.9 |
| Liquids | Angle—Road Marking Paint | |||
|---|---|---|---|---|
| REF | 0.1% CNT | 0.5% CNT | 2.0% CNT | |
| Water | 60.74° | 66.23° | 69.51° | 74.15° |
| Gain * | ----- | +9.0% | +14.0% | +22.0% |
| Glycerin | 65.06° | 70.87° | 72.22° | 75.22° |
| Gain * | ----- | +9.0% | +11.0% | +16.0% |
| Automotive OIL | 34.45° | 34.59° | 35.19° | 35.56° |
| Gain * | ----- | +0.4% | +2.1% | +3.2% |
Disclaimer/Publisher’s Note: The statements, opinions and data contained in all publications are solely those of the individual author(s) and contributor(s) and not of MDPI and/or the editor(s). MDPI and/or the editor(s) disclaim responsibility for any injury to people or property resulting from any ideas, methods, instructions or products referred to in the content. |
© 2025 by the authors. Licensee MDPI, Basel, Switzerland. This article is an open access article distributed under the terms and conditions of the Creative Commons Attribution (CC BY) license (https://creativecommons.org/licenses/by/4.0/).
Share and Cite
de Souza, I.A.M.; Almeida, M.O.d.; Soncim, S.P.; da Silva, M.C.; de Morais, E.A.; Carvalho, J.d.C.L.; Filho, F.M.; Geraldo, V. A Simple Way to Incorporate Carbon Nanotubes in Polymers: Nanostructured Road Marking Paint. Processes 2025, 13, 111. https://doi.org/10.3390/pr13010111
de Souza IAM, Almeida MOd, Soncim SP, da Silva MC, de Morais EA, Carvalho JdCL, Filho FM, Geraldo V. A Simple Way to Incorporate Carbon Nanotubes in Polymers: Nanostructured Road Marking Paint. Processes. 2025; 13(1):111. https://doi.org/10.3390/pr13010111
Chicago/Turabian Stylede Souza, Iara Alves Martins, Marconi Oliveira de Almeida, Sérgio Pacífico Soncim, Mercês Coelho da Silva, Evandro Augusto de Morais, Jaqueline do Carmo Lima Carvalho, Francisco Moura Filho, and Viviany Geraldo. 2025. "A Simple Way to Incorporate Carbon Nanotubes in Polymers: Nanostructured Road Marking Paint" Processes 13, no. 1: 111. https://doi.org/10.3390/pr13010111
APA Stylede Souza, I. A. M., Almeida, M. O. d., Soncim, S. P., da Silva, M. C., de Morais, E. A., Carvalho, J. d. C. L., Filho, F. M., & Geraldo, V. (2025). A Simple Way to Incorporate Carbon Nanotubes in Polymers: Nanostructured Road Marking Paint. Processes, 13(1), 111. https://doi.org/10.3390/pr13010111
