Prediction and Application of Drilling-Induced Fracture Occurrences under Different Stress Regimes
Abstract
1. Introduction
2. Induced Fractures Prediction Model
2.1. Coordinate Transformation
2.2. Wellbore Stress Distribution
2.3. Solution of Induced Fracture Occurrence
3. Effect of In Situ Stress Mechanism on Induced Fracture Morphology
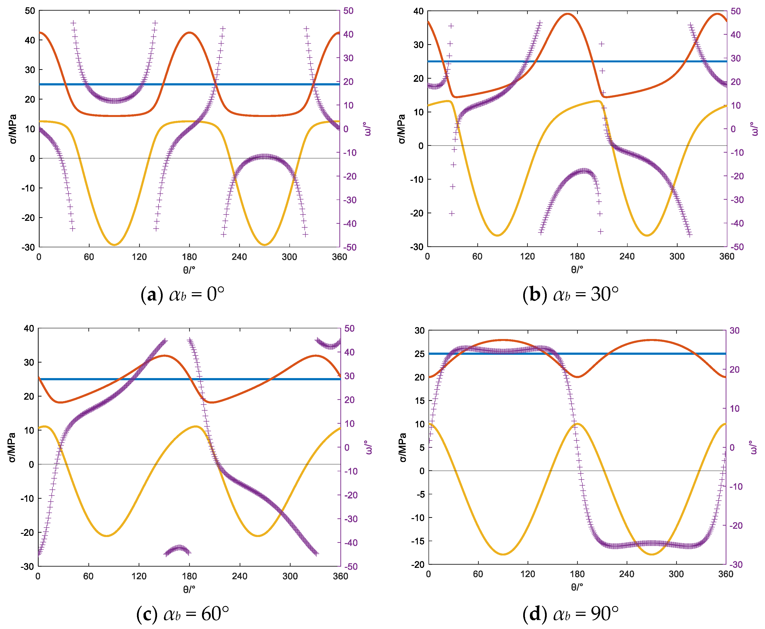
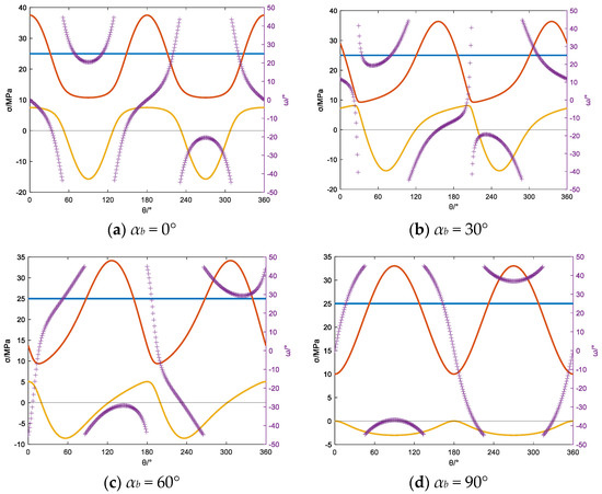
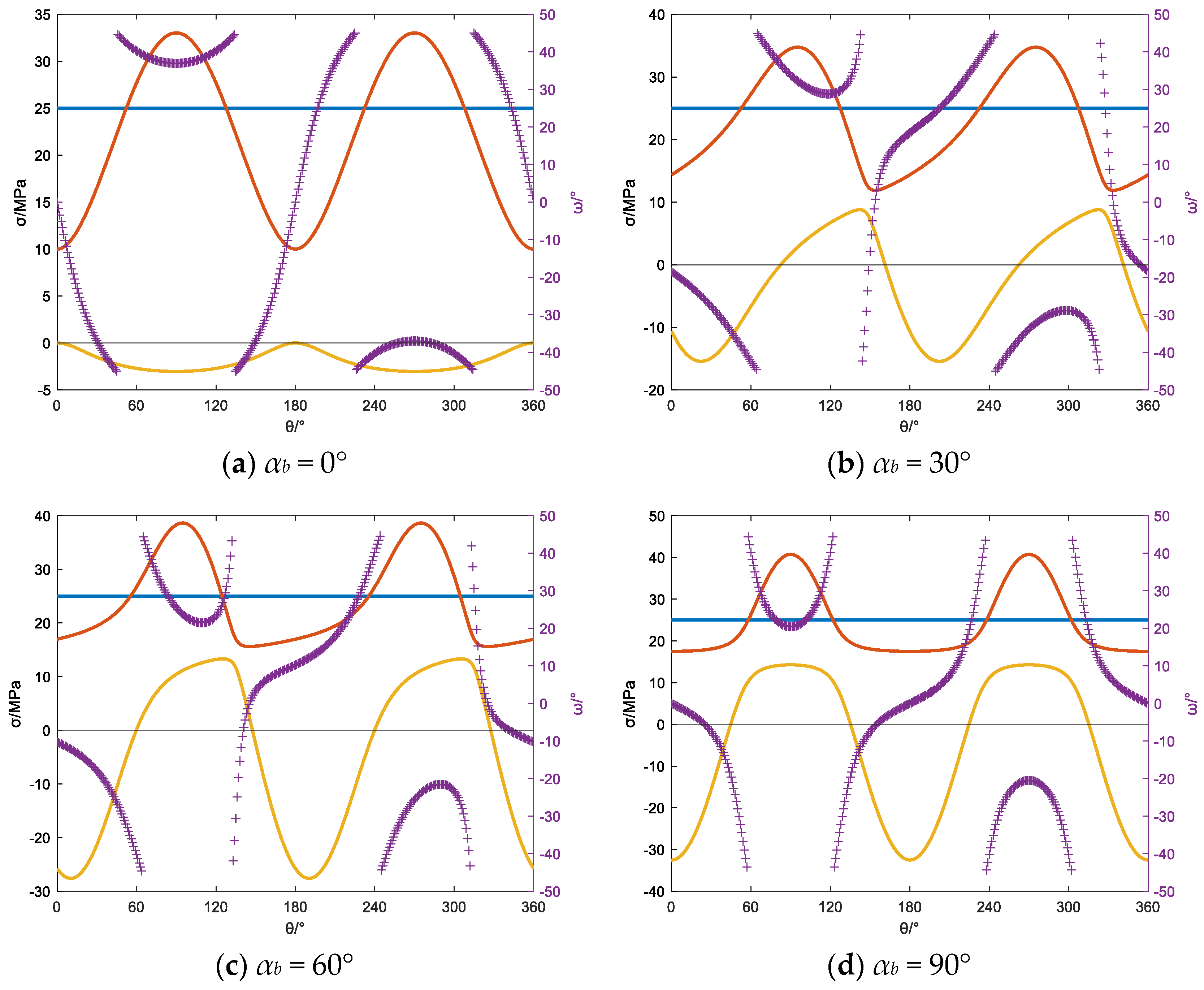
3.1. Normal Fault
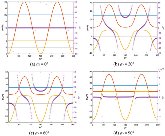
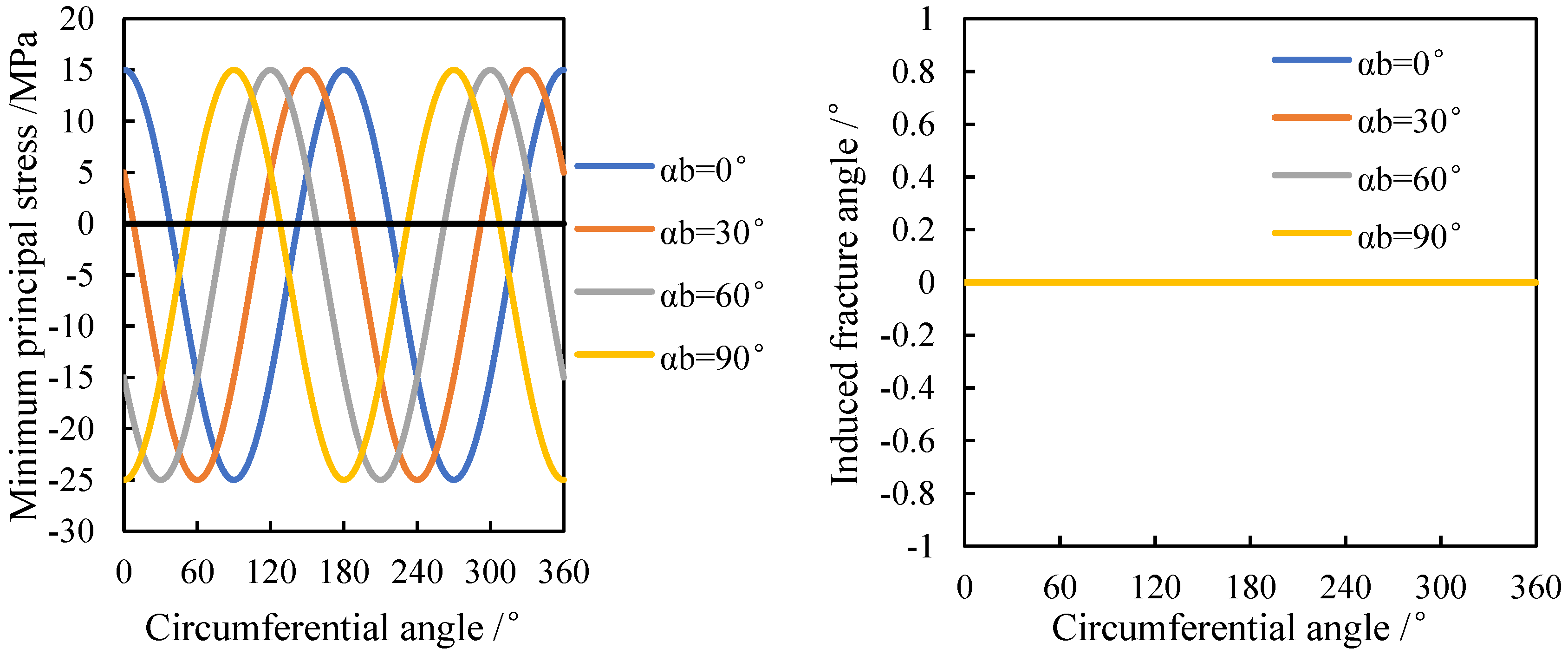
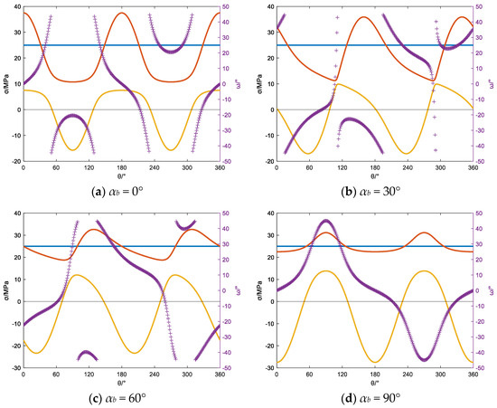
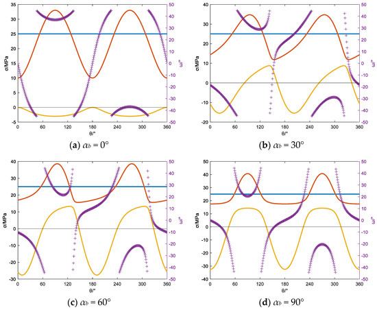
3.2. Strike-Slip Fault
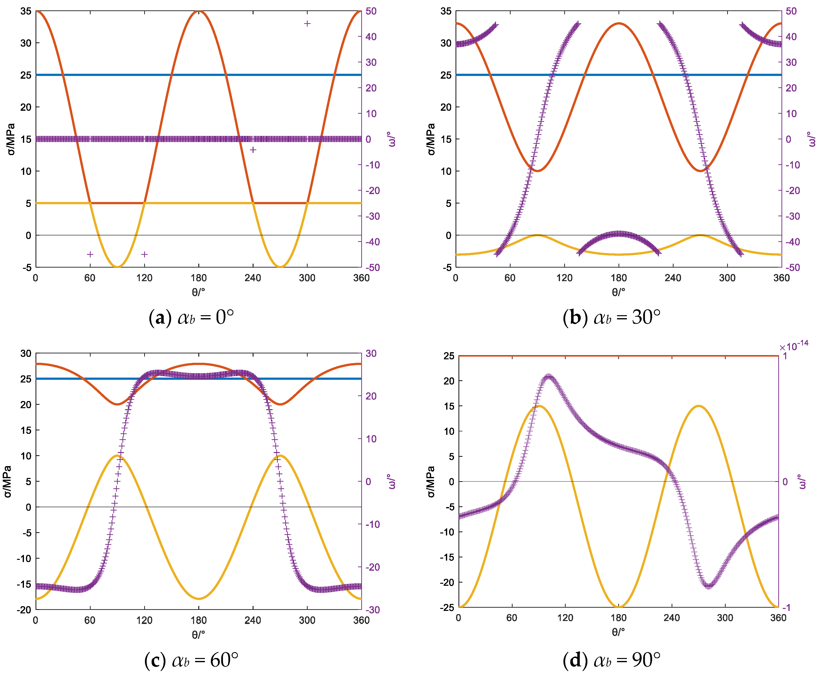
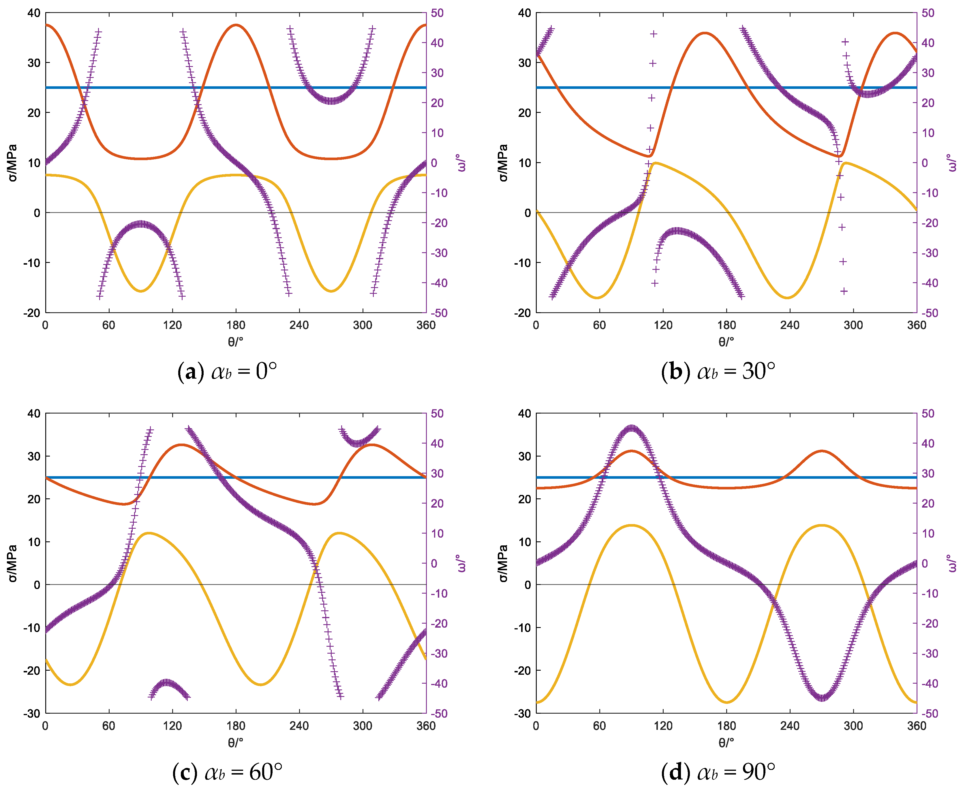
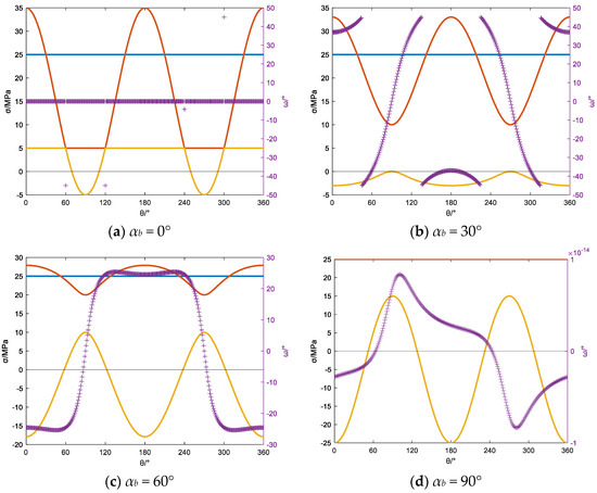
3.3. Reverse Fault
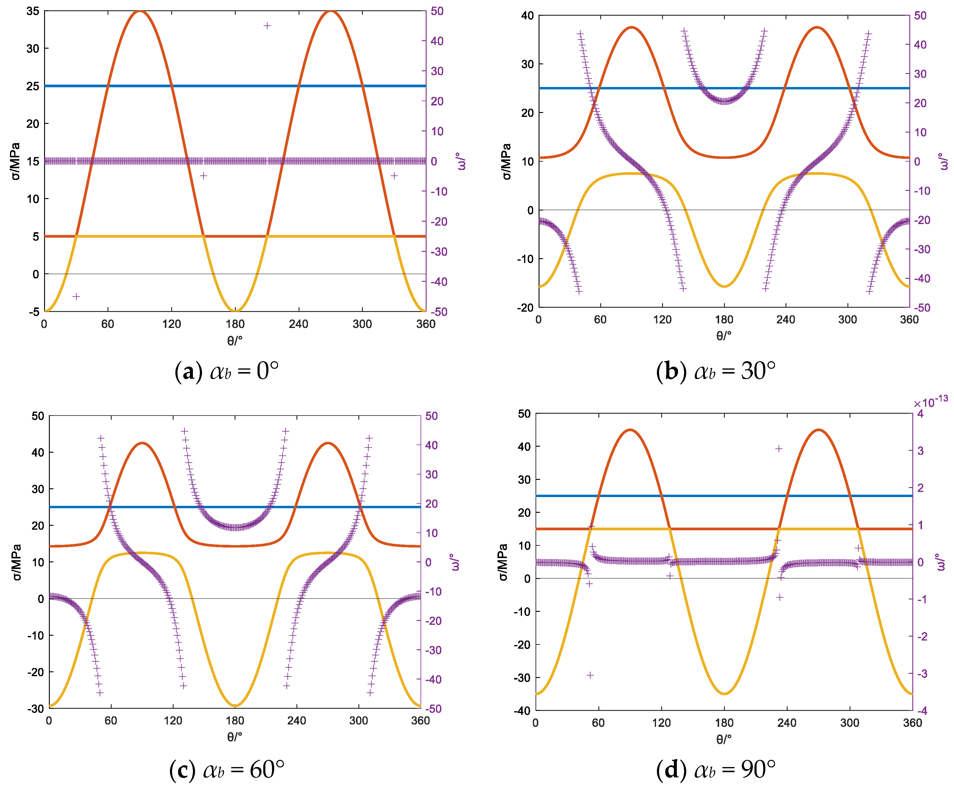
4. Field Application
5. Conclusions
Author Contributions
Funding
Institutional Review Board Statement
Informed Consent Statement
Data Availability Statement
Conflicts of Interest
References
- Rahimi, R.; Alsaba, M.; Nygaard, R. Analysis of analytical fracture models for wellbore strengthening applications: An experimental approach. J. Nat. Gas Sci. Eng. 2016, 36, 865–874. [Google Scholar] [CrossRef]
- Morita, N.; Fuh, G.F. Parametric Analysis of Wellbore-Strengthening Methods from Basic Rock Mechanics. SPE Drill. Complet. 2012, 27, 315–327. [Google Scholar] [CrossRef]
- Wang, H.; Sweatman, R.; Engelman, B.; Deeg, W.; Whitfill, D.; Soliman, M.; Towler, B.F. Best Practice in Understanding and Managing Lost Circulation Challenges. SPE Drill. Complet. 2008, 23, 168–175. [Google Scholar] [CrossRef]
- Hillerborg, A.; Modeer, M.; Petersson, P.E. Analysis of Crack Formation and Crack Growth in Concrete by Means of Fracture Mechanics and Finite Elements; Division of Building Materials Lund Institute of Technology: Pergamon, Sweden, 1976; Volume 6, pp. 773–782. [Google Scholar]
- Alberty, M.W.; McLean, M.R. A Physical Model for Stress Cages. In Proceedings of the SPE Annual Technical Conference and Exhibition, Houston, TX, USA, 26–29 September 2004. SPE-90493. [Google Scholar]
- Carbonell, R.J.K.; Detournay, E.J.K. Modeling Fracture Initiation and Propagation from a Pressurized Hole: A Dislocation-Based Approach. In Proceedings of the 35th U.S. Symposium on Rock Mechanics (USRMS), Reno, NV, USA, 5–7 June 1995. [Google Scholar]
- Zhang, J.; Yin, S.X. Fracture gradient prediction: An overview and an improved method. Pet. Sci. 2017, 14, 720–730. [Google Scholar] [CrossRef]
- Aadnøy, B.S.; Belayneh, M. Elasto-plastic fracturing model for wellbore stability using non-penetrating fluids. J. Pet. Sci. Eng. 2004, 45, 179–192. [Google Scholar] [CrossRef]
- McLean, M.R.; Addis, M.A. Wellbore stability analysis: A review of current methods of analysis and their field application. In Proceedings of the IADC/SPE drilling conference, OnePetro, Houston, TX, USA, 27 February–2 March 1990. [Google Scholar]
- Kadyrov, T.; Tutuncu, A.N. Integrated wellbore stability analysis for well trajectory optimization and field development in the West Kazakhstan Field. In Proceedings of the 46th US Rock Mechanics/Geomechanics Symposium, OnePetro, Chicago, IL, USA, 24–27 June 2012. [Google Scholar]
- Mirahmadizoghi, A. Analysis of Rock Performance under Three-Dimensional Stress to Predict Instability in Deep Boreholes. Ph.D. Thesis, University of Adelaide, Adelaide, Australia, 2012. [Google Scholar]
- Dokhani, V. The Effects of Chemical Adsorption on Wellbore Stability in Transversely Isotropic Shale Formations; University of Tulsa: Tulsa, OK, USA, 2014. [Google Scholar]
- Maleki, S.; Gholami, R.; Rasouli, V.; Moradzadeh, A.; Riabi, R.G.; Sadaghzadeh, F. Comparison of different failure criteria in prediction of safe mud weigh window in drilling practice. Earth-Sci. Rev. 2014, 136, 36–58. [Google Scholar] [CrossRef]
- Ibrahim, A. A review of mathematical modelling approaches to tackling wellbore instability in shale formations. J. Nat. Gas Sci. Eng. 2021, 89, 103870. [Google Scholar] [CrossRef]
- Lee, H.; Ong, S.H.; Azeemuddin, M.; Goodman, H. A wellbore stability model for formations with anisotropic rock strengths. J. Pet. Sci. Eng. 2012, 96, 109–119. [Google Scholar] [CrossRef]
- Wang, Y.; Li, Q.; Dong, W.; Li, Q.; Wang, F.; Bai, H.; Zhanga, R.; Owusu, A.B. Effect of different factors on the yield of epoxy-terminated polydimethylsiloxane and evaluation of CO2 thickening. RSC Adv. 2018, 8, 39787–39796. [Google Scholar] [CrossRef]
- Li, Q.; Liu, J.; Wang, S.; Guo, Y.; Han, X.; Li, Q.; Zhang, X. Numerical insights into factors affecting collapse behavior of horizontal wellbore in clayey silt hydrate-bearing sediments and the accompanying control strategy. Ocean Eng. 2024, 297, 117029. [Google Scholar] [CrossRef]
- Meng, M.; Chen, P.; Ren, R. Statistic evaluation of failure criteria in wellbore stability with temperature effects. Fuel 2019, 252, 730–752. [Google Scholar] [CrossRef]
- Gao, J.; Odunlami, T.; Osayande, N. Shale bedding impact on wellbore stability and drilling optimization. In Proceedings of the SPE/CSUR Unconventional Resources Conference–Canada, Society of Petroleum Engineers, Calgary, AB, Canada, 30 September–2 October 2014. [Google Scholar]
- He, S.; Wei, W.; Zhou, J.; Zhen, H.; Ming, T. A model for analysis of wellbore stability considering the effects of weak bedding planes. J. Nat. Gas Sci. Eng. 2015, 27, 1050–1062. [Google Scholar] [CrossRef]
- Vahid, S.; Ahmad, G. Hydraulic fracture initiation from a wellbore in transversely isotropic rock. In Proceedings of the 45th US Rock Mechanics/Geomechanics Symposium, American Rock Mechanics Association, San Francisco, CA, USA, 26–29 June 2011. [Google Scholar]
- Setiawan, N.B.; Zimmerman, R.W. Wellbore breakout prediction in transversely isotropic rocks using true-triaxial failure criteria. Int. J. Rock Mech. Min. Sci. 2018, 112, 313–322. [Google Scholar] [CrossRef]
- Chen, P.; Ma, T.; Xia, H. A collapse pressure prediction model for horizontal shale gas wells with multiple weak planes. Nat. Gas Ind. B 2015, 2, 101–107. [Google Scholar] [CrossRef]
- Liu, M.; Jin, Y.; Lu, Y.; Chen, M.; Hou, B.; Chen, W.; Wen, X.; Yu, X. A wellbore stability model for a deviated well in a transversely isotropic formation considering poroelastic effects. Rock Mech. Rock Eng. 2016, 49, 3671–3686. [Google Scholar] [CrossRef]
- Zhou, J.; He, S.; Tang, M.; Huang, Z.; Chen, Y.; Chi, J.; Yuan, P. Analysis of wellbore stability considering the effects of bedding planes and anisotropic seepage during drilling horizontal wells in the laminated formation. J. Pet. Sci. Eng. 2018, 170, 507–524. [Google Scholar] [CrossRef]
- Ottesen, S. Wellbore stability in fractured rock. In Proceedings of the IADC/SPE Drilling Conference and Exhibition, Society of Petroleum Engineers, New Orleans, LA, USA, 2–4 February 2010. [Google Scholar]
- Liu, X.; Yan, R.; Zhou, X.; Wang, R. Application of Bayesian network method in optimal selection of completion methods for gas wells. In Proceedings of the 2018 National Gas Academic Conference (04 Engineering Technology), Fuzhou, China, 15–16 November 2018. [Google Scholar]
- Li, W. Wellbore Stability Analysis and Risk Assessment Based on Uncertainty of Lithological Parameters. Ph.D. Thesis, University of Petroleum (East China), Qingdao, China, 2020. [Google Scholar]
- Al-Ajmi, A.M.; Al-Harthy, M.H. Probabilistic wellbore collapse analysis. J. Pet. Sci. Eng. 2010, 74, 171–177. [Google Scholar] [CrossRef]
- Ebrahimi, M.A.; Ahmadi, M.; Ameri, M.J. Application of unconditional simulation methods for quantifying the uncertainties in mud window design of gas reservoirs based on 3-dimensional mechanical earth modeling. J. Nat. Gas Sci. Eng. 2020, 76, 103186. [Google Scholar] [CrossRef]
- Xia, P. Impact Fracture Law and Safety Analysis of Open-Hole Wellbore in Shale Gas Wells. Master’s Thesis, China University of Petroleum (East China), Qingdao, China, 2018. [Google Scholar]
- Wen, Q. Research on Risk Assessment of Deep Well Drilling System in Complex Formation Based on Soft Computing Theory. Ph.D. Thesis, China University of Petroleum (East China), Qingdao, China, 2012. [Google Scholar]
- Udegbunam, J.E.; Fjelde, K.K.; Arild, Ø.; Ford, E.; Lohne, H.P. Uncertainty-Based Approach for Predicting the Operating Window in UBO Well Design. SPE Drill. Complet. 2013, 28, 326–337. [Google Scholar] [CrossRef]
- Hilgedick, S.A. Investigation of Wellbore Stability in a North Sea Field Development. Ph.D. Thesis, Missouri University of Science and Technology, Rolla, MO, USA, 2012. [Google Scholar]
- Adams, A.J.; Parfitt, S.H.L.; Reeves, T.B.; Thorogood, J.L. Casing System Risk Analysis Using Structural Reliability. In Proceedings of the SPE/IADC Drilling Conference, Amsterdam, The Netherlands, 22–25 February 1993. [Google Scholar]
- Nilsen, T.; Sandoy, M.; Rommetveit, R.; Guarneri, A. Risk-Based Well Control Planning: The Integration of Random and Known Quantities in a Computerized Risk Management Tool. In Proceedings of the SPE/ICoTA Coiled Tubing Roundtable, Society of Petroleum Engineers, Houston, TX, USA, 7–8 March 2001. [Google Scholar]
- Payne, M.L.; Swanson, J.D. Application of Probabilistic Reliability Methods to Tubular Designs. SPE Drill. Eng. 1990, 5, 299–305. [Google Scholar] [CrossRef]
- Tabatabaee, M.S.S.; Nikolaev, N.; Khormali, A. A comprehensive uncertainty assessment of wellbore stability models. Innov. Geosci. Time Breakthr. 2018, 2018, 44298. [Google Scholar]
- Sheng, Y.; Reddish, D.; Lu, Z. Assessment of Uncertainties in Wellbore Stability Analysis. Modern Trends in Geomechanics; Springer: Berlin, Germany, 2006; pp. 541–557. [Google Scholar]
- Moos, D.; Peska, P.; Finkbeiner, T.; Zoback, M. Comprehensive wellbore stability analysis utilizing quantitative risk assessment. J. Pet. Sci. Eng. 2003, 38, 97–109. [Google Scholar] [CrossRef]
- Fontoura, S.A.B.; Holzberg, B.B.; Teixeira, É.C.; Frydman, M. Probabilistic analysis of wellbore stability during drilling. In Proceedings of the SPE/ISRM Rock Mechanics Conference, OnePetro, Irving, TX, USA, 20–23 October 2002. [Google Scholar]
- Guan, Z.C.; Sheng, Y.N. Study on evaluation method for wellbore stability based on uncertainty analysis. J. Appl. Sci. Eng. 2017, 20, 453–457. [Google Scholar]
- Sheng, Y.; Guan, Z.; Luo, M. Sensitivity analysis of random variables for wellbore stability reliability based on Monte Carlo method. Pet. Drill. Tech. 2018, 40, 14–19. [Google Scholar]
- Qiu, K.; Chen, M.; Jin, Y. Collapse pressure model of wellbore based on statistical damage. Rock Soil Mech. 2011, 32, 2029–2033. [Google Scholar]
- Bai, G. Optimization method of drilling fluid density for Wei 202,204 shale gas wells. Drill. Fluids Complet. Fluids 2020, 37, 196–201. [Google Scholar]
- Lu, Y.; Xiao, X.; Zhao, L.; Jin, Y.; Chen, M. Influence of temperature on wellbore stability of ultra-deep fractured formations. Drill. Fluids Complet. Fluids 2020, 37, 160–167. [Google Scholar]
- Huang, Y.; Sheng, Y.; Guan, Z. Quantitative risk assessment of wellbore stability in Yingqiong Basin. Fault-Block Oil Gas Field 2019, 26, 380–384. [Google Scholar]
- Noohnejad, A.; Ahangari, K.; Goshtasbi, K. Integrated mechanical earth model and quantitative risk assessment to successful drilling. J. Pet. Explor. Prod. 2021, 11, 219–231. [Google Scholar] [CrossRef]
- Peška, P.; Zoback, M.D. Compressive and tensile failure of inclined well bores and determination of in situ stress and rock strength. J. Geophys. Res. Solid Earth 1995, 100, 12791–12811. [Google Scholar] [CrossRef]
- Brudy, M.; Zoback, M.D. Compressive and tensile failure of boreholes arbitrarily-inclined to principal stress axes: Application to the KTB boreholes, Germany. Int. J. Rock Mech. Min. Sci. Geomech. Abstr. 1993, 30, 1035–1038. [Google Scholar] [CrossRef]
- Zoback, M.D. Reservoir Geomechanics; Cambridge University Press: Cambridge, UK, 2010. [Google Scholar]
- Zhang, B.; Pan, Z.; Cao, L.; Xie, J.; Chu, S.; Jing, Y.; Lu, N.; Sun, T.; Li, C.; Xu, Y. Measurement of wellbore leakage in high-pressure gas well based on the multiple physical signals and history data: Method, technology, and application. Energy Sci. Eng. 2024, 12, 4–21. [Google Scholar] [CrossRef]
- Wang, F.; Xu, H.; Liu, Y.; Meng, X.; Liu, L. Mechanism of Low Chemical Agent Adsorption by High Pressure for Hydraulic Fracturing-Assisted Oil Displacement Technology: A Study of Molecular Dynamics Combined with Laboratory Experiments. Langmuir 2023, 39, 16628–16636. [Google Scholar] [CrossRef] [PubMed]
- Jiang, W.; Li, X.; Wen, M.; Liu, X.; Wang, K.; Wang, Q.; Li, Y.; Zhou, M.; Liu, M.; Hu, B. Increased percentage of PD-L1+ natural killer cells predicts poor prognosis in sepsis patients: A prospective observational cohort study. Crit. Care 2020, 24, 617. [Google Scholar] [CrossRef]
- Zhang, J.; Lin, C.; Tang, H.; Wen, T.; Tannant, D.D.; Zhang, B. Input-parameter optimization using a SVR based ensemble model to predict landslide displacements in a reservoir area–A comparative study. Appl. Soft Comput. 2024, 150, 111107. [Google Scholar] [CrossRef]
- Lin, J.; Dong, C.; Lin, C.; Duan, D.; Ma, P.; Zhao, Z.; Liu, B.; Zhang, X.; Huang, X. The impact of tectonic inversion on diagenesis and reservoir quality of the Oligocene fluvial sandstones: The Upper Huagang Formation, Xihu Depression, East China Sea Shelf Basin. Mar. Pet. Geol. 2024, 165, 106860. [Google Scholar] [CrossRef]
- Zhang, J.; Tang, H.; Li, C.; Gong, W.; Zhou, B.; Zhang, Y. Deformation stage division and early warning of landslides based on the statistical characteristics of landslide kinematic features. Landslides 2024, 21, 717–735. [Google Scholar] [CrossRef]
- Ding, L.; Lv, J.; Wang, Z.; Liu, B. Borehole stability analysis: Considering the upper limit of shear failure criteria to determine the safe borehole pressure window. J. Pet. Sci. Eng. 2022, 212, 110219. [Google Scholar] [CrossRef]































| Depth h/m | Maximum In Situ Stress σ1/MPa | Intermediate In Situ Stress σ2/MPa | Minimum In Situ Stress σ3/MPa | Pore Pressure Pp/MPa | Bottom Hole Pressure Pw/MPa | Tensile Strength σ1/MPa |
|---|---|---|---|---|---|---|
| 1808.86 | 50 | 40 | 30 | 25 | 50 | 0 |
Disclaimer/Publisher’s Note: The statements, opinions and data contained in all publications are solely those of the individual author(s) and contributor(s) and not of MDPI and/or the editor(s). MDPI and/or the editor(s) disclaim responsibility for any injury to people or property resulting from any ideas, methods, instructions or products referred to in the content. |
© 2024 by the authors. Licensee MDPI, Basel, Switzerland. This article is an open access article distributed under the terms and conditions of the Creative Commons Attribution (CC BY) license (https://creativecommons.org/licenses/by/4.0/).
Share and Cite
Song, H.; Cheng, H.; Yuan, F.; Cheng, L.; Yue, P. Prediction and Application of Drilling-Induced Fracture Occurrences under Different Stress Regimes. Processes 2024, 12, 1874. https://doi.org/10.3390/pr12091874
Song H, Cheng H, Yuan F, Cheng L, Yue P. Prediction and Application of Drilling-Induced Fracture Occurrences under Different Stress Regimes. Processes. 2024; 12(9):1874. https://doi.org/10.3390/pr12091874
Chicago/Turabian StyleSong, Hongwei, Hong Cheng, Feiyu Yuan, Lin Cheng, and Ping Yue. 2024. "Prediction and Application of Drilling-Induced Fracture Occurrences under Different Stress Regimes" Processes 12, no. 9: 1874. https://doi.org/10.3390/pr12091874
APA StyleSong, H., Cheng, H., Yuan, F., Cheng, L., & Yue, P. (2024). Prediction and Application of Drilling-Induced Fracture Occurrences under Different Stress Regimes. Processes, 12(9), 1874. https://doi.org/10.3390/pr12091874
