Effect of Ba Addition on the Catalytic Performance of NiO/CeO2 Catalysts for Methane Combustion
Abstract
1. Introduction
2. Experimental
2.1. Catalysts Preparation
2.2. Characterization
2.3. Catalytic Activity Tests
3. Results and Discussion
3.1. Thermal Stability of the NiO/CeO2 Catalysts
3.2. Effects of Different Metal Ion Doping on the Activity of NiO/CeO2
3.3. Effect of Ba Impregnation Sequence on the Activity of NiO–Ba/CeO2
Catalytic Activity
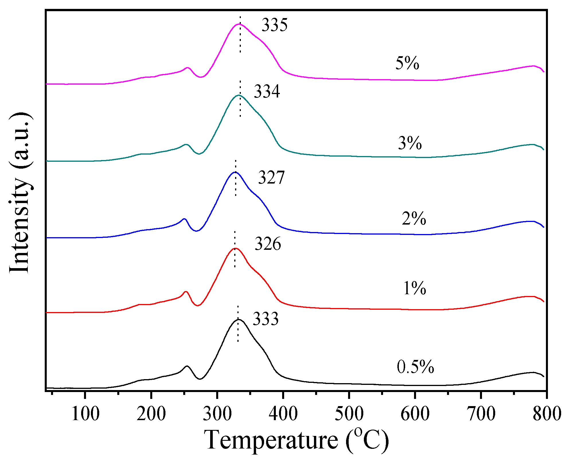
3.4. Effect of Ba Loading Amount on the Activity of NiO–Ba/CeO2
3.4.1. Catalytic Activity
3.4.2. XRD
3.4.3. H2–TPR
3.4.4. FT–IR
3.5. Effect of Ba Introduction on the Lattice Oxygen of the Catalysts
3.5.1. CH4–TPSR
3.5.2. O2–TPO
3.6. Effect of Different Calcination Temperatures on the Activity of NiO–Ba/CeO2
3.6.1. XRD
3.6.2. H2–TPR
3.6.3. FT–IR
3.6.4. Catalytic Activity
4. Conclusions
- (1)
- The development of catalysts with high activity and stability is crucial for achieving efficient methane catalytic combustion and enhancing methane resource utilization. In this study, a series of catalysts were synthesized and evaluated, and the conclusions are presented as follows: we examined the thermal stability of 10 wt.% NiO/CeO2 catalysts in methane catalytic combustion reactions and discovered that the NiO/CeO2 catalysts were likely to develop sintering at high temperatures, thus declining the catalyst activity.
- (2)
- Therefore, metal ions were introduced to modify the catalysts. Based on our observation, the introduction of Ba ion (NiO/CeO2 catalyst) delays the sintering of catalysts, and improves the catalyst activity at high temperatures; Ba has the most obvious influence on the catalyst at the content of 1 wt.%.
- (3)
- The activities of NiO/CeO2 catalysts slightly decline after high-temperature sintering, among which the NiO/CeO2 calcinated at 650 °C has the T10, T50, and T90 of 346 °C, 431 °C, and 505 °C, respectively, which are reduced by 25 °C, 21 °C, and 26 °C compared with those of the NiO/CeO2–650 catalyst.
- (4)
- The H₂-TPR characterization results indicate that the introduction of Ba enhances the reducibility of the NiO/CeO₂ catalyst and increases the activity of surface oxygen. Additionally, the CH4–TPSR and O2–TPO results indicate that the introduction of Ba in the catalysts enhances the mobility of bulk-phase oxygen and promotes the migration of bulk-phase oxygen to the catalyst surface. This in turn leads to an increase in the number of surface oxygen species in the catalysts.
Author Contributions
Funding
Data Availability Statement
Conflicts of Interest
References
- Gao, Y.; Jiang, M.; Yang, L.; Li, Z.; Tian, F.X.; He, Y. Recent progress of catalytic methane combustion over transition metal oxide catalysts. Front. Chem. 2022, 10, 959422. [Google Scholar] [CrossRef] [PubMed]
- Lin, J.; Xu, Y.; Chen, X.; Huang, J.; Xu, H.; Zheng, Y. Electron promoted palladium-cobalt active sites for efficient catalytic combustion of methane. J. Clean. Prod. 2023, 385, 135744. [Google Scholar] [CrossRef]
- Shafaei, A.; Irankhah, A. Evaluation of Co-Fe, Cu-Fe, Ni-Al and Ni-Fe mixed oxides in catalytic combustion of methane: Comparison study and investigating the effect of preparation method. Mol. Catal. 2023, 538, 112989. [Google Scholar] [CrossRef]
- Xiong, W.; Wang, J.; Wang, Y.; Wang, J.; Wang, C.; Shen, G.; Shen, M. Effects of Phosphorus Addition on the Hydrophobicity and Catalytic Performance in Methane Combustion of θ-Al2O3 Supported Pd Catalysts. Catalysts 2023, 13, 709. [Google Scholar] [CrossRef]
- Chen, J.; Wu, Y.; Hu, W.; Qu, P.; Liu, X.; Yuan, R.; Zhong, L.; Chen, Y. Insights into the role of Pt on Pd catalyst stabilized by magnesia-alumina spinel on gama-alumina for lean methane combustion: Enhancement of hydrothermal stability. Mol. Catal. 2020, 496, 111185. [Google Scholar] [CrossRef]
- Akbari, E.; Alavi, S.M.; Rezaei, M.; Larimi, A. Preparation and evaluation of A/BaO-MnOx catalysts (A: Rh, Pt, Pd, Ru) in lean methane catalytic combustion at low temperature. Int. J. Energy Res. 2022, 46, 6292–6313. [Google Scholar] [CrossRef]
- Wang, Y.; Arandiyan, H.; Scott, J.; Akia, M.; Dai, H.; Deng, J.; Aguey-Zinsou, K.-F.; Amal, R. High performance Au–Pd supported on 3D hybrid strontium-substituted lanthanum manganite perovskite catalyst for methane combustion. Acs Catal. 2016, 6, 6935–6947. [Google Scholar] [CrossRef]
- Sadokhina, N.; Smedler, G.; Nylén, U.; Olofsson, M.; Olsson, L. Deceleration of SO2 poisoning on PtPd/Al2O3 catalyst during complete methane oxidation. Appl. Catal. B Environ. 2018, 236, 384–395. [Google Scholar] [CrossRef]
- Wang, Z.; Lin, J.; Xu, H.; Zheng, Y.; Xiao, Y.; Zheng, Y. Zr-Doped NiO Nanoparticles for Low-Temperature Methane Combustion. ACS Appl. Nano Mater. 2021, 4, 11920–11930. [Google Scholar] [CrossRef]
- Yu, Q.; Wang, C.; Li, X.; Li, Z.; Wang, L.; Zhang, Q.; Wu, G.; Li, Z. Engineering an effective MnO2 catalyst from LaMnO3 for catalytic methane combustion. Fuel 2019, 239, 1240–1245. [Google Scholar] [CrossRef]
- Zhang, K.; Peng, X.; Cao, Y.; Yang, H.; Wang, X.; Zhang, Y.; Zheng, Y.; Xiao, Y.; Jiang, L. Effect of MnO2 morphology on its catalytic performance in lean methane combustion. Mater. Res. Bull. 2019, 111, 338–341. [Google Scholar] [CrossRef]
- Zhang, Y.; Qin, Z.; Wang, G.; Zhu, H.; Dong, M.; Li, S.; Wu, Z.; Li, Z.; Wu, Z.; Zhang, J.; et al. Catalytic performance of MnOx–NiO composite oxide in lean methane combustion at low temperature. Appl. Catal. B Environ. 2013, 129, 172–181. [Google Scholar] [CrossRef]
- Ye, Y.; Zhao, Y.; Ni, L.; Jiang, K.; Tong, G.; Zhao, Y.; Teng, B. Facile synthesis of unique NiO nanostructures for efficiently catalytic conversion of CH4 at low temperature. Appl. Surf. Sci. 2016, 362, 20–27. [Google Scholar] [CrossRef]
- Shan, W.; Luo, M.; Ying, P.; Shen, W.; Li, C. Reduction property and catalytic activity of Ce1−XNiXO2 mixed oxide catalysts for CH4 oxidation. Appl. Catal. A Gen. 2003, 246, 1–9. [Google Scholar] [CrossRef]
- Huang, X.; Li, J.; Wang, J.; Li, Z.; Xu, J. Catalytic combustion of methane over a highly active and stable NiO/CeO2 catalyst. Front. Chem. Sci. Eng. 2019, 14, 534–545. [Google Scholar] [CrossRef]
- Kleinlogel, C.; Gauckler, L.J. Sintering of nanocrystalline CeO2 ceramics. Adv. Mater. 2001, 13, 1081–1085. [Google Scholar] [CrossRef]
- Li, H.F.; Lu, G.Z.; Wang, Y.Q.; Guo, Y.; Guo, Y.L. Synthesis of flower-like La or Pr-doped mesoporous ceria microspheres and their catalytic activities for methane combustion. Catal. Commun. 2010, 11, 946–950. [Google Scholar] [CrossRef]
- Dai, Q.; Wu, J.; Deng, W.; Hu, J.; Wu, Q.; Guo, L.; Sun, W.; Zhan, W.; Wang, X. Comparative studies of P/CeO2 and Ru/CeO2 catalysts for catalytic combustion of dichloromethane: From effects of H2O to distribution of chlorinated by-products. Appl. Catal. B Environ. 2019, 249, 9–18. [Google Scholar] [CrossRef]
- Li, W.; Liu, D.; Feng, X.; Zhang, Z.; Jin, X.; Zhang, Y. High-performance ultrathin Co3O4 nanosheet supported PdO/CeO2 catalysts for methane combustion. Adv. Energy Mater. 2019, 9, 1803583. [Google Scholar] [CrossRef]
- Chen, J.; Carlson, B.D.; Toops, T.J.; Li, Z.; Lance, M.J.; Karakalos, S.G.; Choi, J.S.; Kyriakidou, E.A. Methane Combustion Over Ni/CexZr1–xO2 Catalysts: Impact of Ceria/Zirconia Ratio. ChemCatChem 2020, 12, 5558–5568. [Google Scholar] [CrossRef]
- Su, Y.Q.; Liu, J.X.; Filot, I.A.W.; Zhang, L.; Hensen, E.J.M. Highly Active and Stable CH4 Oxidation by Substitution of Ce4+ by Two Pd2+ Ions in CeO2(111). ACS Catal. 2018, 8, 6552–6559. [Google Scholar] [CrossRef] [PubMed]
- Zhu, W.; Jin, J.; Chen, X.; Li, C.; Wang, T.; Tsang, C.W.; Liang, C. Enhanced activity and stability of La-doped CeO2 monolithic catalysts for lean-oxygen methane combustion. Environ. Sci. Pollut. Res. Int. 2018, 25, 5643–5654. [Google Scholar] [CrossRef] [PubMed]
- Rubtsov, N.M.; Chernysh, V.I.; Tsvetkov, G.I.; Troshin, K.Y.; Kalinin, A.P. Catalytic activity of Pt and Pd in gaseous reactions of H2 and CH4 oxidation at low pressures. Mendeleev Commun. 2020, 30, 121–123. [Google Scholar] [CrossRef]
- Qiao, D.; Lu, G.; Mao, D.; Guo, Y.; Guo, Y. Effect of Ca doping on the performance of CeO2–NiO catalysts for CH4 catalytic combustion. J. Mater. Sci. 2011, 46, 641–647. [Google Scholar] [CrossRef]
- Zhao, M.; Shen, M.; Wen, X.; Wang, J. Ce–Zr–Sr ternary mixed oxides structural characteristics and oxygen storage capacity. J. Alloys Compd. 2008, 457, 578–586. [Google Scholar] [CrossRef]
- Du, J.; Guo, M.; Zhang, A.; Zhao, H.; Zhao, D.; Wang, C.; Zheng, T.; Zhao, Y.; Luo, Y. Performance, structure and kinetics of Pd catalyst supported in Ba modified γ-Al2O3 for low temperature wet methane oxidation. Chem. Eng. J. 2022, 430, 133113. [Google Scholar] [CrossRef]
- Friberg, I.; Sadokhina, N.; Olsson, L. Complete methane oxidation over Ba modified Pd/Al2O3: The effect of water vapor. Appl. Catal. B Environ. 2018, 231, 242–250. [Google Scholar] [CrossRef]
- Li, F.; Lei, L.; Yi, J.; Dou, C.; Meng, Z.; Wang, P. Performance, Structure and Mechanisms of Pd Catalyst Supported on M-Doped (M = La, Ba and K) CeO2 for Methane Oxidation. Catal. Lett. 2023, 153, 1847–1858. [Google Scholar] [CrossRef]
- Taira, K. Dry reforming reactions of CH4 over CeO2/MgO catalysts at high concentrations of H2S, and behavior of CO2 at the CeO2-MgO interface. J. Catal. 2022, 407, 29–43. [Google Scholar] [CrossRef]
- Dai, Q.; Wang, X.; Lu, G. Low-temperature catalytic combustion of trichloroethylene over cerium oxide and catalyst deactivation. Appl. Catal. B Environ. 2008, 81, 192–202. [Google Scholar] [CrossRef]
- Casapu, M.; Grunwaldt, J.D.; Maciejewski, M.; Baiker, A.; Eckhoff, S.; Gobel, U.; Wittrock, M. The fate of platinum in Pt/Ba/CeO2 and Pt/Ba/Al2O3 catalysts during thermal aging. J. Catal. 2007, 251, 28–38. [Google Scholar] [CrossRef]
- Chuang, C.C.; Chen, M.J.; Hsiang, H.I.; Yen, F.S.; Chen, C.G. Effect of Ba2+ Addition on Phase Separation and Oxygen Storage Capacity of Ce0.5Zr0.5O2 Powder. J. Am. Ceram. Soc. 2011, 94, 895–901. [Google Scholar] [CrossRef]
- Iwamoto, S.; Takahashi, R.; Inoue, M. Direct decomposition of nitric oxide over Ba catalysts supported on CeO2-based mixed oxides. Appl. Catal. B-Environ. 2007, 70, 146–150. [Google Scholar] [CrossRef]
- Choudhary, T.V.; Banerjee, S.; Choudhary, V.R. Catalysts for combustion of methane and lower alkanes. Appl. Catal. A-Gen. 2002, 234, 1–23. [Google Scholar] [CrossRef]
- Radovic, M.; Dohcevic-Mitrovic, Z.; Scepanovic, M.; Grujic-Brojcin, M.; Matovic, B.; Boskovic, S.; Popvic, Z.V. Raman study of Ba-doped ceria nanopowders. Sci. Sinter. 2007, 39, 281–286. [Google Scholar] [CrossRef]
- Fernandez-Garcia, M.; Martinez-Arias, A.; Guerrero-Ruiz, A.; Conesa, J.C.; Soria, J. Ce-Zr-Ca ternary mixed oxides: Structural characteristics and oxygen handling properties. J. Catal. 2002, 211, 326–334. [Google Scholar] [CrossRef]
- Wu, X.D.; Liu, S.A.; Lin, F.; Weng, D.A. Nitrate storage behavior of Ba/MnOx-CeO2 catalyst and its activity for soot oxidation with heat transfer limitations. J. Hazard. Mater. 2010, 181, 722–728. [Google Scholar] [CrossRef] [PubMed]
- Biswas, P.; Kunzru, D. Steam reforming of ethanol on Ni-CeO2-ZrO2 catalysts: Effect of doping with copper, cobalt and calcium. Catal. Lett. 2007, 118, 36–49. [Google Scholar] [CrossRef]
- Fan, J.; Weng, D.; Wu, X.D.; Wu, X.D.; Ran, R. Modification of CeO2-ZrO2 mixed oxides by coprecipitated/impregnated Sr: Effect on the microstructure and oxygen storage capacity. J. Catal. 2008, 258, 177–186. [Google Scholar] [CrossRef]
- Milt, V.G.; Pissarello, M.L.; Miro, E.E.; Querini, C.A. Abatement of diesel-exhaust pollutants: NOx storage and soot combustion on K/La2O3 catalysts. Appl. Catal. B-Environ. 2003, 41, 397–414. [Google Scholar] [CrossRef]
- Milt, V.G.; Peralta, M.A.; Ulla, M.A.; Miro, E.E. Soot oxidation on a catalytic NOx trap: Beneficial effect of the Ba-K interaction on the sulfated Ba,K/CeO2 catalyst. Catal. Commun. 2007, 8, 765–769. [Google Scholar] [CrossRef]
- Yue, B.H.; Zhou, R.X.; Wang, Y.J.; Zheng, X.M. Study of the methane combustion and TPR/TPO properties of Pd/Ce-Zr-M/Al2O3 catalysts with M = Mg, Ca, Sr, Ba. J. Mol. Catal. A-Chem. 2005, 238, 241–249. [Google Scholar] [CrossRef]













| Sample | Crystallite Size of CeO2 (nm) a | Crystallite Size of NiO (nm) b | BET Surface Area (m2·g–1) | Catalytic Activity (°C) | ||
|---|---|---|---|---|---|---|
| T10 | T50 | T90 | ||||
| NiO/CeO2–450 | 8.9 | - | 58.1 | 333 | 415 | 467 |
| NiO/CeO2–550 | 9.4 | - | 52.2 | 337 | 408 | 463 |
| NiO/CeO2–650 | 13.1 | - | 49.9 | 371 | 452 | 531 |
| NiO/CeO2–800 | 20 | - | 25.4 | 376 | 483 | 561 |
| NiO/CeO2–1000 | 38 | 22.7 | 3 | 442 | 545 | 611 |
| Sample | Crystallite Size of CeO2 (nm) a | BET Surface Area (m2·g–1) | Catalytic Activity (°C) | ||
|---|---|---|---|---|---|
| T10 | T50 | T90 | |||
| NiO/CeO2–450 | 8.9 | 58.1 | 333 | 415 | 467 |
| NiO–Ba/CeO2–450 | 8.9 | 65.3 | 337 | 408 | 463 |
| NiO/CeO2–650 | 13.1 | 49.9 | 371 | 452 | 531 |
| NiO–Ba/CeO2–650 | 12.9 | 56.2 | 346 | 431 | 504 |
| NiO/CeO2–800 | 20 | 25.4 | 376 | 483 | 561 |
| NiO–Ba/CeO2–800 | 17 | 30 | 378 | 459 | 530 |
Disclaimer/Publisher’s Note: The statements, opinions and data contained in all publications are solely those of the individual author(s) and contributor(s) and not of MDPI and/or the editor(s). MDPI and/or the editor(s) disclaim responsibility for any injury to people or property resulting from any ideas, methods, instructions or products referred to in the content. |
© 2024 by the authors. Licensee MDPI, Basel, Switzerland. This article is an open access article distributed under the terms and conditions of the Creative Commons Attribution (CC BY) license (https://creativecommons.org/licenses/by/4.0/).
Share and Cite
Huang, X.; Yang, W.; Li, J. Effect of Ba Addition on the Catalytic Performance of NiO/CeO2 Catalysts for Methane Combustion. Processes 2024, 12, 1630. https://doi.org/10.3390/pr12081630
Huang X, Yang W, Li J. Effect of Ba Addition on the Catalytic Performance of NiO/CeO2 Catalysts for Methane Combustion. Processes. 2024; 12(8):1630. https://doi.org/10.3390/pr12081630
Chicago/Turabian StyleHuang, Xiuhui, Wenkai Yang, and Junfeng Li. 2024. "Effect of Ba Addition on the Catalytic Performance of NiO/CeO2 Catalysts for Methane Combustion" Processes 12, no. 8: 1630. https://doi.org/10.3390/pr12081630
APA StyleHuang, X., Yang, W., & Li, J. (2024). Effect of Ba Addition on the Catalytic Performance of NiO/CeO2 Catalysts for Methane Combustion. Processes, 12(8), 1630. https://doi.org/10.3390/pr12081630
