Next Article in Journal
Wavelet Cross-Correlation Signal Processing for Two-Phase Flow Control System in Oil Well Production
Previous Article in Journal
Optimum Cutting Parameters for Carbon-Fiber-Reinforced Polymer Composites: A Synergistic Approach with Simulated Annealing and Genetic Algorithms in Drilling Processes
 
 
Font Type:
Arial Georgia Verdana
Font Size:
Aa Aa Aa
Line Spacing:
Column Width:
Background:
Article

Development and Application of a Constitutive Equation for 25CrMo4 Steel

1
School of Mechanical Engineering, Ningbo University of Technology, Ningbo 315016, China
2
School of Electrical and Mechanical Engineering, Hebei Normal University of Science & Technology, Qinhuangdao 066000, China
3
YEG Tech (Ningbo) Co., Ltd., Ningbo 315612, China
*
Author to whom correspondence should be addressed.
Processes 2024, 12(7), 1478; https://doi.org/10.3390/pr12071478
Submission received: 7 June 2024 / Revised: 7 July 2024 / Accepted: 10 July 2024 / Published: 15 July 2024
(This article belongs to the Section Materials Processes)

Abstract

The material constitutive equation of 25CrMo4 steel was established through an isothermal compression experiment. First, a thermal compression experiment was carried out with a Gleeble-3500 thermal simulator to study the thermoplastic deformation behaviour of 25CrMo4 steel at various temperatures (850, 950, 1050, and 1150 °C) and strain rates (0.01, 0.1, 1.0, and 10 s−1). The measured true stress–strain curve showed that when the temperature is constant, the flow stress increases with the strain rate, whereas when the strain rate is constant, the flow stress decreases with the temperature. Then, the constitutive model of peak stress of 25CrMo4 was established after analyzing the stress and strain statistics. The model parameters were optimized. The accuracy of the flow stress constitutive model was verified by comparing the flow stress prediction model with the experimental results. The hot forging process of the inner core wheel was numerically simulated based on DEFORM-3D v11 software, and the parameters of this process were formulated by analyzing the metal flow rate and equivalent stress and strain fields.

1. Introduction

The hollow shafts used on a high-speed train are thick-walled and composed of 25CrMo4 steel [1], which is an alloy that can be employed to forge the axle shaft of high-speed and heavy-load railways. Many high-power locomotives and high-speed trains use this standard to select the axle material [2]. To obtain a 25CrMo4 hollow shaft with a fine grain structure, defined as exhibiting a microstructure with a grain size no less than grade six, the authors of this paper investigated the high-temperature deformation behaviour to establish the corresponding constitutive equation. At present, a number of scholars have carried out related research on 25CrMo4. Huo Yuan Ming [3] studied the damage mechanisms of 25CrMo4 steel for high-speed railway axles during hot cross wedge rolling. Luo Jinping [4] conducted a series of experiments on the high-temperature mechanical properties of 25CrMo4. The effects of temperature and strain rate on the plastic deformation of the material at high temperature were analyzed. By observing the grain size of recrystallization and grain uniformity, directional guidance was provided for meeting the hardness uniformity standards of forgings. There is no relevant study on the constitutive equation of 25CrMo4 in the research mentioned above.
Huo et al. [5] used the experimental data of grain size to establish the constitutive equations of 25CrMo4, with an error of less than 15%. Li et al. [6] revealed the plastic flow mechanism of 25CrMo4 steel through quasi-static and impact compression experiments. The Zerilli–Armstrong constitutive model of 25CrMo4 steel and the improved Zerilli–Armstrong constitutive model were obtained. Jiang et al. [7] studied the hot compression deformation behaviour of 25CrMo4 steel at three strain rates (0.1, 1, and 10 s−1) and three deformation temperatures (1050, 1100, and 1150 °C) through hot compression experiments. The constitutive equation of peak flow stress of 25CrMo4 steel was established. The above constitutive model of 25CrMo4 steel only fits the peak stress and strain and cannot accurately reflect the whole process of the change in flow stress with strain. Xu et al. [8] investigated the compression deformation behaviour of 25CrMo4 steel over a temperature range of 950–1150 °C, resulting in improved accuracy of the Arrhenius model. Xu et al. [9] and Bai [10] evaluated the Arrhenius constitutive equation of 25CrMo4 steel under various deformation conditions. To characterize the thermal deformation properties of the material, Huo [11] introduced an incremental elastic–viscoelastic internal model. Furthermore, Zhou et al. [12] examined the static and dynamic recrystallization of 25CrMo4 steel and developed a kinetic model that demonstrated a strong correlation between their experimental and predicted outcomes. Li et al. [13] constructed a high-temperature compression intrinsic structure model of 25CrMo4 steel by using support vector regression optimized by the grid search method, particle swarm optimization algorithm, genetic algorithm, and gray wolf optimization algorithm. Li et al. [14] utilized an intelligent algorithm, IPSO-SVR, in conjunction with the particle swarm algorithm and joint support vector regression, for establishing a high-temperature constitutive relationship model for 25CrMo4 steel. Our study corrects the empirical constitutive model of 25CrMo4 steel and obtains a more accurate constitutive model, which will provide a theoretical basis for subsequent simulation and experimental research.

2. Experimental Materials and Methods

A 25CrMo4 steel bar was utilized in preparing the sample. It was forged from an initial diameter of Φ40 mm to Φ25 mm, eventually resulting in a Φ10 mm × 15 mm cylinder.
To study the deformation behaviour of 25CrMo4 under specific deformation conditions, a single-channel axisymmetric thermal compression experiment was carried out by using a Gleeble-3500 thermal simulator. Each sample was heated to 1200 °C at a heating rate of 10 °C/s and was maintained at this temperature for 180 s, during which the dynamic recrystallization stress–strain curve was determined. After the initial grain size of austenite was homogenized, the deformation temperature was set to five temperatures (1200, 1100, 1050, 1000, and 950 °C) at a rate of 10 °C/s; then, the true strain was changed to 0.6 at four fixed strain rates (0.01, 0.1, 1.0, and 10 s−1). The deformation process curve under different deformation conditions is shown in Figure 1.

3. Measurement Results of Experimental Stress–Strain Curve

The Gleebe-3500 thermal simulator was utilized to collect the experimental data such as the true stress, true strain, pressure, temperature, displacement, and time of 25CrMo4 under different strain rates and deformation temperatures; then, the true stress–true strain curves were obtained by using Origin 2022 software, as shown in Figure 2 and Figure 3.
According to stress–strain curves of 25CrMo4 steel, under the given thermal compression experimental conditions, the true stress–strain curves differ under different deformation conditions. Figure 2 shows a clear peak of stress at low temperatures (950, 1000, and 1050 °C) and strain rates (0.01 and 0.1 s−1), with clear dynamic recrystallization. In the stress–strain curve under high strain rates (1 and 10 s−1), the flow stress increases with the strain. When the strain reaches a certain value, the rate of increase slows down and eventually levels off. The peak stress and steady stress are almost identical, i.e., no peak stress can be seen in the graph, leading to dynamic recovery instead of dynamic recrystallization. It can be concluded from Figure 2 that under the same strain rate and the same corresponding strain value, the higher the deformation temperature, the smaller the corresponding flow stress, and the stress peak moves in the direction of increasing strain with the decrease in deformation temperature.
According to Figure 3, the true stress increases with the increase in the deformation rate provided that the deformation temperature is unchanged; and with the increase in the experimental temperature, the difference between each peak and the corresponding steady flow stress is narrowed. For instance, when the temperature is 950 °C, the peak stress increases gradually as the strain rate increases from 0.01 to 0.1, 1, and 10 s−1. It can be concluded that as the peak flow stress is almost equal to the steady stress given high deformation temperatures and strain rates (for example, when the strain rate reaches 1 or 10 s−1 and the temperature rises to 1100 or 1200 °C), i.e., the peak stress is not clear, this indicates that the material has undergone dynamic recovery but no dynamic recrystallization.

4. Establishment of Material Constitutive Equation for 25CrMo4 Steel at High Temperature

Under the condition of high-temperature ductility, the relation among the flow stress, strain rate, and temperature of conventional thermal deformation can be indicated by the Sellars–Tegart equation [15] (Equation (1)), which involves deformation activation energy Q and temperature T.
ε ˙ = A F σ e x p Q R T
F σ = σ n ( α σ < 0.8 ) exp β σ ( α σ > 1.2 ) sinh α σ n ( f o r   a l l   σ )
where R is the gas constant (8.314 J·mol−1·K−1); α, n, β, and A are the material constants; α = β / n 1 ; Q refers to the thermal activation energy (kJ/mol); T is the thermodynamic temperature (Kelvin); ε ˙ indicates the strain rate; and σ is the flow stress (MPa).
In the thermal processing deformation of metals and alloys, the strain rate is controlled by the thermal activation process of high-temperature ductility deformation. The relation between the strain rate and temperature can be represented by parameter Z [16,17]:
Z = ε ˙ exp Q R T = A sinh α σ n
Z stands for the strain rate factor of temperature compensation. Equation (4) can be deduced when Equation (1) is substituted with the power function of high stress ( α σ > 1.2 ) and the exponential function of low stress ( α σ < 0.8 ), given that Q is independent of T.
ε ˙ = A σ n
ε ˙ = A exp ( β σ )
where A and A′ are constants independent of temperature. Equations (6) and (7) can be deduced according to the logarithmic operation of Equations (4) and (5).
ln σ = 1 n ln ε ˙ 1 n ln A
σ = 1 β ln ε ˙ 1 β ln A
The relation curves of σ ln ε ˙ and ln σ ln ε ˙ under different deformation conditions are shown in Figure 4. According to Figure 4, the average slope of the straight line β is 0.070 MPa−1, n1 = 7.666, and the corresponding material constant α = β / n 1 is 0.009 MPa−1.
Equation (8) can be drawn after substituting F ( σ ) in Equations (1) and (2).
ε ˙ = exp Q R T A sinh α σ n
Equation (9) can be deduced in view of the definition of the hyperbolic sinusoidal function and Equation (3).
σ = 1 α ln Z A 1 / n + Z A 2 / n + 1 1 / 2
Given certain strain rate and strain conditions, Q can be calculated according to Equation (10), which is deduced from the logarithmic and partial differential operation of Equation (8).
Q = R n d { ln [ sin h ( α σ ) ] } d ( 1 / T )
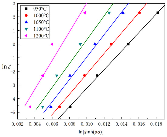
Figure 5 indicates the functional relation of ln [ sin h ( α σ ) ] and 1 / T as a function of the strain rate. By calculating the slope of the relation curve, it can be obtained that Q = 360.305 kJ/mol.
Equations (11) and (12) can be deduced by calculating the logarithms of both sides of Equation (9):
ln [ sin h ( α σ ) ] = ln ε ˙ n + Q n R T ln A n
ln ε ˙ = n ln [ sin h ( α σ ) ] + ln A Q R T
Figure 6 demonstrates the functional relation of ln ε ˙ ln [ sin h ( α σ ) ] when the true strain reaches its peak under different strain rate and temperature conditions. It can be drawn from Figure 6 that the intercept is l n A ( Q / R T ) , and A = 3.069 × 1014 can be deduced after Q, R, and T are substituted with numbers.
After determining that there was a certain nonlinear functional relationship between each material constant and strain, the material constants were expressed as polynomial functions of the strain. The values of the material constant were evaluated at various strains (in the range of 0.05–0.5) at an interval of 0.05. These values were then used to fit the polynomial.
In polynomial fitting, the number of times the variable is fitted has an important effect on the accuracy of the fit. Table 1 shows the results obtained by fitting the material constants with polynomials of different degrees, and it can be seen that fitting the functional relationship between the material constants and the strain variables with a fifth-order polynomial improves the fitting accuracy of each parameter considerably. The R2 of all fifth-order polynomial fits is above 0.970, and the precision of the resulting equation is higher than the those of the other fits.
The constitutive equation of 25CrMo4 can be finalized according to the fitting results of the relevant material constants Q, A, β, n, and α and the strain.
ε ˙ = exp Q R T A sinh α σ n Q = 318.1 + 758.4 ε 3451.2 ε 2 + 7789.4 ε 3 9349.6 ε 4 + 4519.7 ε 5 n = 7.1549 + 5.0521 ε 112.2793 ε 2 + 482.3575 ε 3 858.3136 ε 4 + 554.2485 ε 5 ln A = 24.8 + 60.7 ε 87 ε 2 374.5 ε 3 + 1157.6 ε 4 884.8 ε 5 α = 0.0173 0.1334 ε + 0.8992 ε 2 2.7904 ε 3 + 3.9431 ε 4 2.0445 ε 5
where Q is the deformation activation energy (KJ/mol), σ indicates the flow stress (MPa), ε ˙ stands for the strain rate, R refers to the gas constant, ε is the strain, and T is the absolute temperature (/K).

5. Validation of Material Constitutive Equation at High Temperature

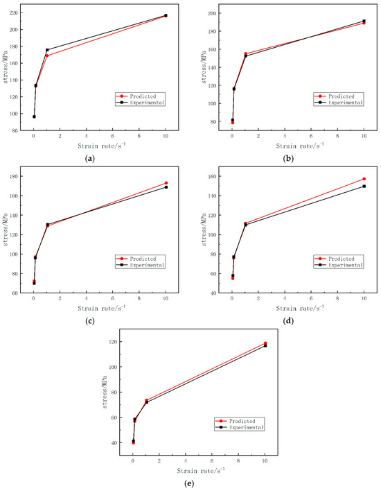
In order to verify the accuracy of the constitutive equation, the authors employed strain assignment to obtain different values of Q, A, β, n, and α. Equation (13) was substituted with the obtained data to deduce different strain rate expressions and stress values predicted under different deformation conditions. As shown in Figure 7, the relative errors between the predicted and experimental values of stress are −0.23% at the minimum and 5.2% at the maximum, which indicates that the constitutive model of strain–strain rate compensation can favourably predict the stress of 25CrMo4 steel at high temperature.

6. Analysis of Simulation Results for Inner Core Wheel of 25CrMo4

Hot forging refers to the process of heating the billet to the recrystallisation temperature above to reduce its deformation resistance and improve its plastic deformation capacity, and the use of forging equipment to apply pressure to it, so that it undergoes plastic deformation to obtain the required shape, size, and mechanical properties of the workpiece processing methods [18].
With the growing maturity of finite element theory and the rapid development of computer technology, numerical simulation technology has been widely used in the analysis of hot forging. Because hot forging has the characteristic of deformation, it is necessary to study the plastic flow behaviour of the metal material and the distribution of the equivalent force and strain field in hot forging, to make the formation state of parts more ideal.

6.1. Finite Element Modelling

The inner core wheel forgings are shown in Figure 8, with a width of 30 mm, a spherical shape of Φ58 mm, eight ball grooves uniformly distributed along the axial direction on the spherical surface, and a diameter of the bottom of the grooves of 49.64 mm.
The forming of the inner core wheel is more complicated, so in this study, the 3D model of the mould was established by CATIA and saved as an .STL file, and the geometry file was imported into the pre-processing module of DEFORM-3D software. The established geometrical model for finite element analysis is shown in Figure 9.

6.2. Setup of DEFORM-3D Pre-Processing Parameters

The material and some process parameters were input into the hot forging process in the DEFORM-3D pre-processing module, and the following steps were followed:
  • According to the principle of constant volume [19], a cylindrical billet with a diameter of 36 mm and height of 45 mm was selected. The billet material was selected as the 25CrMo4 alloy steel investigated in this study, and the mould material was selected as commonly used die steel.
  • The setting of hot forging temperature parameters included ambient temperature, the initial temperature of pre-forging, and the temperature of the mould. In this study, the ambient temperature was set to 20 °C, and the mould temperature was fixed at 200 °C.
  • Meshing was carried out with 60,000 tetrahedral elements.
  • Shear friction was selected as the friction type, and the coefficient of friction was set to 0.3.
  • The heat transfer coefficient between the billet and the individual moulds was set to 5 N/(s mm °C).
  • According to the minimum cell size of meshing, the appropriate step size was selected as 0.1 mm, and the total number of steps was 254.

6.3. The Finite Element Simulation Scheme Design

In this study, we consider the influence of the starting forging temperature of the billet and the speed of the upper die movement on the hot forging of the inner core wheel, and we set different values for these two factors to formulate the experimental scheme to ensure the diversity and reliability of the experiments, as shown in Table 2.

6.4. Analysis of Forming Process

The workstation (CPU: AMD EPYC 7T83 64-Core Processor) was used after 30 min of simulation. Figure 10 shows the 3D simulation mesh diagram during the forming of the inner core wheel. As can be seen from the figure, during the forming process, the blank is simultaneously extruded in both the forward and reverse directions, is continuously punched and deformed, and fills the mould cavity by radial flow. From the 190th step to the end of the 254th step, the deformation increases, which is the main stage of the partial filling and forming of the inner core wheel groove. The more uniform deformation of the grid shows that the overall filling effect of the blank for the cavity is improved with this mould, the forming is more satisfactory, and the forming scheme is reasonable.

6.5. Effect of Upper-Mould Movement Speed on Forming of Inner Core Wheel

After many experiments, the initial temperature of the blank was set to 1050 °C. Then, the upper-mould movement speed was set to 5, 8, 11, and 14 mm·s−1 to analyze the effect of the upper-mould running speed on the forming of the inner core wheel, as shown in Figure 11.
From Figure 11a, it can be seen that during the downward movement of the upper die, the energy of the die increases; as the running speed of the die increases, the energy of the die decreases. As shown in Figure 11b, the metal flows rapidly the moment the die touches the billet; then, the billet metal flow rate region becomes smooth as the die descends at uniform speed. In the later stage of hot forging, the metal flow rate increases and fluctuates as the billet fills the edges. As the running speed of the mould increases, the metal flow rate increases. From Figure 11c, the billet equivalent force increases as the upper die moves downwards. At different mould movement speeds, the higher the speed, the lower the equivalent force. As shown in Figure 11d, the maximum principal stress decreases first after the mould comes into contact with the billet and then shows an upward trend, which is basically the same at different running speeds.

6.6. Effect of Billet Starting Forging Temperature on Forming of Inner Core Wheel

Now, the initial temperature of the blank was changed to 950, 1000, 1050, and 1100 °C, and the running speed of the upper mould was fixed at 11 mm·s−1 to analyze the effect of the initial temperature of the blank on the forming process, as shown in Figure 12.
As shown in Figure 12a, the energy of the mould increases as the upper mould moves downwards; the energy of the mould decreases as the initial temperature of the billet increases. From Figure 12b, the moment the mould touches the billet, the metal flow rate is directly proportional to the initial temperature of the billet, but with the uniform descent of the mould, the metal flow rate of the billet tends to be stable, close to the running speed of the mould. In the late stage of hot forging, the billet deformation is higher, the metal flow rate rises rapidly, and the change trend is consistent at different temperatures. As shown in Figure 12c, the upper mould moves downward, and the equivalent force of the billet increases. It can be clearly seen that the higher the initial temperature of the billet, the lower the equivalent force. From Figure 12d, it can be seen that the maximum principal stress decreases first after the mould touches the blank, and the maximum principal stress decreases with the increase in the initial temperature of the blank.

6.7. Effective Stress Field Analysis

Effective stress is a counterforce formed inside the object due to external force and can be used to evaluate the stress state of the material, and its larger value indicates a destructive tendency of the material. In addition, when the effective stress is too high, fatigue damage to the material structure can easily occur, which leads to cracks and other defects. Therefore, this parameter should be reduced as much as possible by comparing stress conditions to select the appropriate process parameters.
As can be seen in Figure 13, different temperatures do not have much effect on the pattern of effective stress distribution of the inner core wheel, but the overall equivalent force decreases with the increase in temperature. In Figure 13a, at a temperature of 950 °C, the maximum effective stress is more than 910 MPa, and the stress concentration area is above 750 MPa. As shown in Figure 13b, the maximum effective stress is about 836 Mpa, and the stress concentration area is above 704 MPa at 1000 °C. As shown in Figure 13c, the maximum effective stress is about 813 MPa at 1050 °C. As shown in Figure 13d, at 1100 °C, the maximum effective stress is 780 Mpa, and the stress concentration area at the round corner of the lower die contact is reduced to 602 MPa. When the temperature increases, the tissue is softened because of the effect of re-crystallization, which enhances the plastic deformation ability of the material and reduces the deformation resistance during forming. Therefore, increasing the billet temperature within a certain range can reduce the overall equivalent stress and reduce the stress concentration.

6.8. Effective Strain Field Analysis

Effective strain refers to the total amount of strain experienced by the material during processing. During material processing, the material is deformed due to the presence of various stresses. This deformation process can be described by the strain to reflect the magnitude of the total deformation of the material during processing. The magnitude of the effective strain can be used to assess the plasticity of the material and the influence of the parameterization process.
Figure 14 shows the distribution of equivalent strain at different temperatures, and it can be seen that at different temperatures, the distribution of equivalent strain is not too different, and the strain values in the central region are all around 1. From Figure 14a–c, it is easy to see that the maximum equivalent strain is concentrated in the rounded corners of the billet in contact with the upper and lower moulds. As shown in Figure 14d, it can be seen that the distribution of equivalent strain is more uniform. It can be concluded that the equivalent strain increases when the temperature increases.

6.9. Actual Production Verification

From the numerical results, a set of optimal parameters was deduced, and an experimental setup was designed. A 100 t hydraulic press was used for forging. The choice of blank material was 25CrMo4. To improve the comprehensive performance of the forging, the blank was phosphated and then put into the mould cavity for forging. The heating temperature of the blank was 1050 °C, the heating temperature of the mould was 200 °C, and the pressing speed was 11 mm·s−1. Then, one-liquid lubrication equipment was used to control the mould and blank friction at 0.3. The products prepared by the forging, heat treatment, and corrosion washing processes are shown in Figure 15. The forging was filled well; the surface was smooth; there were no cracks, folding, or other defects; and the dimensional accuracy fully met the requirements. The application of this process can improve production problems such as inefficiency, high cost, and inconsistent quality in the manufacture of inner core wheels.

7. Conclusions

(1) The flow behaviour of 25CrMo4 alloy is more sensitive to the effects of temperature than strain rate. The flow stress gradually increases with the decrease in deformation temperature, and the higher the strain rate, the higher the flow stress of the alloy. The peaks in stress are more pronounced at low temperatures (950, 1000, and 1050 °C) and strain rates (0.01 and 0.1 s−1), and dynamic recrystallization occurs. At high strain rates and deformation temperatures (1 and 10 s−1, and 1100 and 1200 °C, respectively), the peak stresses are not clear, and the material undergoes dynamic recovery without dynamic recrystallization.
(2) The constitutive equation of 25CrMo4 was established by fitting the material constants as a function of ε by using a fifth-degree polynomial function. The relative error between the stress values predicted by the intrinsic equation and the experimental values has a minimum of -0.23% and a maximum of 5.2%. The equations have high accuracy and can better predict the thermal compression deformation behaviour of 25CrMo4 steel.
(3) The hot forging forming of the inner core wheel was simulated by using DEFORM-3D software. In the simulation, the process parameters were optimized by analyzing the stroke–energy curve, stroke–metal flow rate curve, stroke–equivalent stress curve, and stroke–equivalent strain curve. An actual inner core wheel was produced by using the optimized parameters.

Author Contributions

Conceptualization, S.Z. (Shuhua Zheng) and G.L.; methodology, S.Z. (Song Zhang); software, X.S.; validation, Z.R., S.Z. (Song Zhang) and J.W.; formal analysis, S.Z. (Shuhua Zheng); investigation, Z.R.; resources, J.W.; data curation, Z.R.; writing—original draft preparation, S.Z. (Shuhua Zheng) and Z.R.; writing—review and editing, S.Z. (Song Zhang); visualization, G.L.; supervision, X.S.; project administration, S.Z. (Shuhua Zheng); funding acquisition, X.S. All authors have read and agreed to the published version of the manuscript.

Funding

This research was supported by Major Project of Science and Technology Innovation 2025 in Ningbo City, China (grant No. 2023Z020); Research on Multi-Wedge Simultaneous Rolling of Hollow Shafts with Unequal Internal Diameters Scientific research project of Ningbo Engineering College (0070011540001); and Startup funding from Ningbo University of Technology (No. 2022KQ28).

Data Availability Statement

The data presented in this study are available on request from the corresponding author.

Conflicts of Interest

Authors X.S. and J.W. were employed by the company YEG Tech (Ningbo) Co., Ltd. The remaining authors declare that the research was conducted in the absence of any commercial or financial relationships that could be construed as a potential conflict of interest.

References

  1. Zhou, R. Briefly discuss the processing technology and equipment of the hollow axle of high-speed rail. Locomot. Roll. Stock Technol. 2008, 3, 8–9. [Google Scholar]
  2. Li, Z.H.; Zhou, P. Transformation of Proeutectoid Ferrite and Its Effect on Mechanical Property of 25CrMo4 Steel. J. Dalian Jiaotong Univ. 2011, 32, 62–66. [Google Scholar]
  3. Huo, Y.M.; Wang, B.Y.; Lin, J.G.; Zhou, J. Damage Mechanisms Research for the High-Speed Railway Axle Steel 25CrMo4 During Hot Cross Wedge Rolling. J. Northeast. Univ. (Nat. Sci.) 2013, 34, 1625–1629. [Google Scholar]
  4. Luo, J.P.; Zhong, Y.X.; Ma, Q.X.; Gao, X. High-temperature mechanical simulation and analysis of 25CrMo4 used for mirror plate. Forg. Stamp. Technol. 2010, 35, 117–120. [Google Scholar]
  5. Huo, Y.M.; Bai, Q.; Wang, B.Y.; Lin, J.; Zhou, J. A new application of unified constitutive equations for cross wedge rolling of a high-speed railway axle steel. J. Mater. Process. Technol. 2015, 22, 274–283. [Google Scholar] [CrossRef]
  6. Li, D.Y.; Zhu, Z.W.; Xiao, S.N.; Zhang, G.; Lu, Y. Plastic flow behavior based on thermal activation and dynamic constitutive equation of 25CrMo4 steel during impact compression. Mater. Sci. Eng. A 2017, 70, 459–465. [Google Scholar] [CrossRef]
  7. Jiang, Y.; Wang, B.Y.; Huo, Y.M. Hot compression deformation behavior and rheological stress constitutive equation of 25crmo4 steel. J. Plast. Eng. 2020, 21, 167–173. [Google Scholar]
  8. Xu, G.; Wang, L.; Li, S.; Wang, L. Hot deformation behavior of EA4T steel. Acta Metall. Sin. (Engl. Lett.) 2012, 25, 374–382. [Google Scholar]
  9. Xu, H.; Tian, T.; Zhang, J.; Niu, L.; Zhu, H.; Wang, X.; Zhang, Q. Hot Deformation Behavior of the 25CrMo4 Steel Using a Modified Arrhenius. Model Mater. 2022, 15, 2820. [Google Scholar] [CrossRef]
  10. Bai, J.; Huo, Y.; He, T.; Bian, Z.; Ren, X.; Du, X. Comparison of five different models predicting the hot deformation behavior of EA4T steel. J. Mater. Eng. Perform. 2022, 31, 8169–8182. [Google Scholar] [CrossRef]
  11. Huo, Y.; Wang, B.; Lin, J.; Bai, Q.; Ji, H.; Tang, X. Hot compression deformation behavior and microstructure evolution rule of a high-speed railway axle steel Indian. J. Eng. Mater. Sci. 2017, 24, 447–454. [Google Scholar]
  12. Peng, Z.; Qing, X. MaStatic recrystallization behavior of 25CrMo4 mirror plate steel during two-pass hot deformation. J. Iron Steel Res. Int. 2017, 24, 222–228. [Google Scholar]
  13. Li, G.F.; Jiang, Y.; Fan, L.F.; Xiao, X.; Zhang, X.K.; Wang, D. Optimization-based parameter search of support vector regression for high-temperature compression constitutive modeling of 25CrMo4 steel. AIP Adv. 2023, 13, 105109. [Google Scholar] [CrossRef]
  14. Li, G.; Jiang, Y.; Fan, L.; Xiao, X.; Wang, D.; Zhang, X. Constitutive model of 25CrMo4 steel based on IPSO-SVR and its application in finite element simulation. Mater. Today Commun. 2023, 35, 106338. [Google Scholar]
  15. Lin, Y.C.; Chen, M.S.; Zhong, J. Constitutive modeling for elevated temperature flow behavior of 42CrMo steel. Comput. Mater. Sci. 2008, 42, 470–477. [Google Scholar] [CrossRef]
  16. Jonas, J.; Sellars, C.M.; Tegart, J.M. Strength and structure under hot-working conditions. Metall. Rev. 1969, 14, 1–24. [Google Scholar] [CrossRef]
  17. Lin, Y.C.; Lin, G. A new mathematical model for predicting flow stress of typical high-strength alloy steel at elevated high temperature. Comput. Mater. Sci. 2010, 48, 54–58. [Google Scholar] [CrossRef]
  18. Hawryluk, M.; Polak, S.; Rychlik, M.; Dudkiewicz; Borowski, J.; Suliga, M. Possibilities of Measuring and Detecting Defects of Forged Parts in Die Hot-Forging Processes. Materials 2023, 17, 213. [Google Scholar] [CrossRef] [PubMed]
  19. Voroshilov, D.S.; Sidelnikov, S.B.; Bespalov, V.M.; Sokolov, R.E.; Bermeshev, T.V.; Berngardt, V.A.; Lezhnev, S.N.; Durnopyanov, A.V.; Kovaleva, A.A.; Konstantinov, I.L.; et al. Combined rolling-extrusion of various billets from the Al–Ce–La alloy for electrical wire production. Int. J. Adv. Manuf. Technol. 2024, 131, 4699–4725. [Google Scholar] [CrossRef]
Figure 1. Hot working process curve during dynamic recrystallization.
Figure 1. Hot working process curve during dynamic recrystallization.
Processes 12 01478 g001
Figure 2. True stress–true strain curves for 25CrMo4 at different temperatures and strain rates: (a) 0.01, (b) 0.1, (c) 1, and (d) 10 s−1.
Figure 2. True stress–true strain curves for 25CrMo4 at different temperatures and strain rates: (a) 0.01, (b) 0.1, (c) 1, and (d) 10 s−1.
Processes 12 01478 g002
Figure 3. True stress–true strain curves for 25CrMo4 at different strain rates and temperatures: (a) 950, (b) 1000, (c) 1050, (d) 1100, and (e) 1200 °C.
Figure 3. True stress–true strain curves for 25CrMo4 at different strain rates and temperatures: (a) 950, (b) 1000, (c) 1050, (d) 1100, and (e) 1200 °C.
Processes 12 01478 g003
Figure 4. The relation between stress σ and strain rate ε ˙ at different deformation temperatures: 950, 1000, 1050, 1100, and 1200 °C: (a) ln ε ˙ σ curves, (b) ln ε ˙ ln σ curves.
Figure 4. The relation between stress σ and strain rate ε ˙ at different deformation temperatures: 950, 1000, 1050, 1100, and 1200 °C: (a) ln ε ˙ σ curves, (b) ln ε ˙ ln σ curves.
Processes 12 01478 g004
Figure 5. Natural logarithm of ln [ sin h ( α σ ) ] as a function of 1 / T .
Figure 5. Natural logarithm of ln [ sin h ( α σ ) ] as a function of 1 / T .
Processes 12 01478 g005
Figure 6. Natural logarithm of strain rate as a function of ln [ sin h ( α σ ) ] .
Figure 6. Natural logarithm of strain rate as a function of ln [ sin h ( α σ ) ] .
Processes 12 01478 g006
Figure 7. Comparison of predicted and experimental stress values as a function of stress rate and temperature: (a) 950, (b) 1000, (c) 1050, (d) 1100, and (e) 1200 °C.
Figure 7. Comparison of predicted and experimental stress values as a function of stress rate and temperature: (a) 950, (b) 1000, (c) 1050, (d) 1100, and (e) 1200 °C.
Processes 12 01478 g007
Figure 8. Inner core wheel forging drawings: (left) top view; (right) left view.
Figure 8. Inner core wheel forging drawings: (left) top view; (right) left view.
Processes 12 01478 g008
Figure 9. Simulation model of star-shaped sleeve.
Figure 9. Simulation model of star-shaped sleeve.
Processes 12 01478 g009
Figure 10. Mesh diagram of inner core wheel forming process: steps (a) −1, (b) 90, (c) 190, and (d) 254.
Figure 10. Mesh diagram of inner core wheel forming process: steps (a) −1, (b) 90, (c) 190, and (d) 254.
Processes 12 01478 g010
Figure 11. Simulation results for different upper-mould motion speeds: (a) energy–stroke curves, (b) maximum metal flow velocity–stroke curves, (c) maximum effective stress–stroke curves, and (d) maximum principal stress–stroke curves.
Figure 11. Simulation results for different upper-mould motion speeds: (a) energy–stroke curves, (b) maximum metal flow velocity–stroke curves, (c) maximum effective stress–stroke curves, and (d) maximum principal stress–stroke curves.
Processes 12 01478 g011
Figure 12. Simulation results for different billet starting forging temperatures: (a) energy–stroke curves, (b) maximum metal flow velocity–stroke curves, (c) maximum effective stress–stroke curves, and (d) maximum principal stress–stroke curves.
Figure 12. Simulation results for different billet starting forging temperatures: (a) energy–stroke curves, (b) maximum metal flow velocity–stroke curves, (c) maximum effective stress–stroke curves, and (d) maximum principal stress–stroke curves.
Processes 12 01478 g012
Figure 13. Effective stress distribution at different temperatures: (a) 950, (b) 1000, (c) 1050, and (d) 1100 °C.
Figure 13. Effective stress distribution at different temperatures: (a) 950, (b) 1000, (c) 1050, and (d) 1100 °C.
Processes 12 01478 g013
Figure 14. Effective strain distribution at different temperatures: (a) 950, (b) 1000, (c) 1050, and (d) 1100 °C.
Figure 14. Effective strain distribution at different temperatures: (a) 950, (b) 1000, (c) 1050, and (d) 1100 °C.
Processes 12 01478 g014
Figure 15. Actual inner core wheel product.
Figure 15. Actual inner core wheel product.
Processes 12 01478 g015
Table 1. Material constant fitting values, R2.
Table 1. Material constant fitting values, R2.
Degree of PolynomialR2
Qn ln A α
20.897310.981610.888020.82687
30.971970.984350.968490.85764
40.982090.984690.975530.95449
50.982940.991750.977440.97034
Table 2. Hot forging test programme.
Table 2. Hot forging test programme.
Experiment No.Blank Initial Forging Temperature (°C)Upper Die Running Speed (mm·s−1)
110505
210508
3105011
4105014
595011
6100011
7105011
8110011
Disclaimer/Publisher’s Note: The statements, opinions and data contained in all publications are solely those of the individual author(s) and contributor(s) and not of MDPI and/or the editor(s). MDPI and/or the editor(s) disclaim responsibility for any injury to people or property resulting from any ideas, methods, instructions or products referred to in the content.

Share and Cite

MDPI and ACS Style

Zheng, S.; Ren, Z.; Sun, X.; Li, G.; Wang, J.; Zhang, S. Development and Application of a Constitutive Equation for 25CrMo4 Steel. Processes 2024, 12, 1478. https://doi.org/10.3390/pr12071478

AMA Style

Zheng S, Ren Z, Sun X, Li G, Wang J, Zhang S. Development and Application of a Constitutive Equation for 25CrMo4 Steel. Processes. 2024; 12(7):1478. https://doi.org/10.3390/pr12071478

Chicago/Turabian Style

Zheng, Shuhua, Zihao Ren, Xiaohui Sun, Guofang Li, Jun Wang, and Song Zhang. 2024. "Development and Application of a Constitutive Equation for 25CrMo4 Steel" Processes 12, no. 7: 1478. https://doi.org/10.3390/pr12071478

APA Style

Zheng, S., Ren, Z., Sun, X., Li, G., Wang, J., & Zhang, S. (2024). Development and Application of a Constitutive Equation for 25CrMo4 Steel. Processes, 12(7), 1478. https://doi.org/10.3390/pr12071478

Note that from the first issue of 2016, this journal uses article numbers instead of page numbers. See further details here.

Article Metrics

Back to TopTop