Research on the Supercritical CO2 Extraction Process of Hetian Rose Essential Oil
Abstract
1. Introduction
2. Materials and Methods
2.1. Materials and Equipment
2.2. Chemical Reagents
2.3. Statistical Analysis Program
2.4. Hetian Rose Essential Oil Supercritical CO2 Extraction
3. Results and Discussion
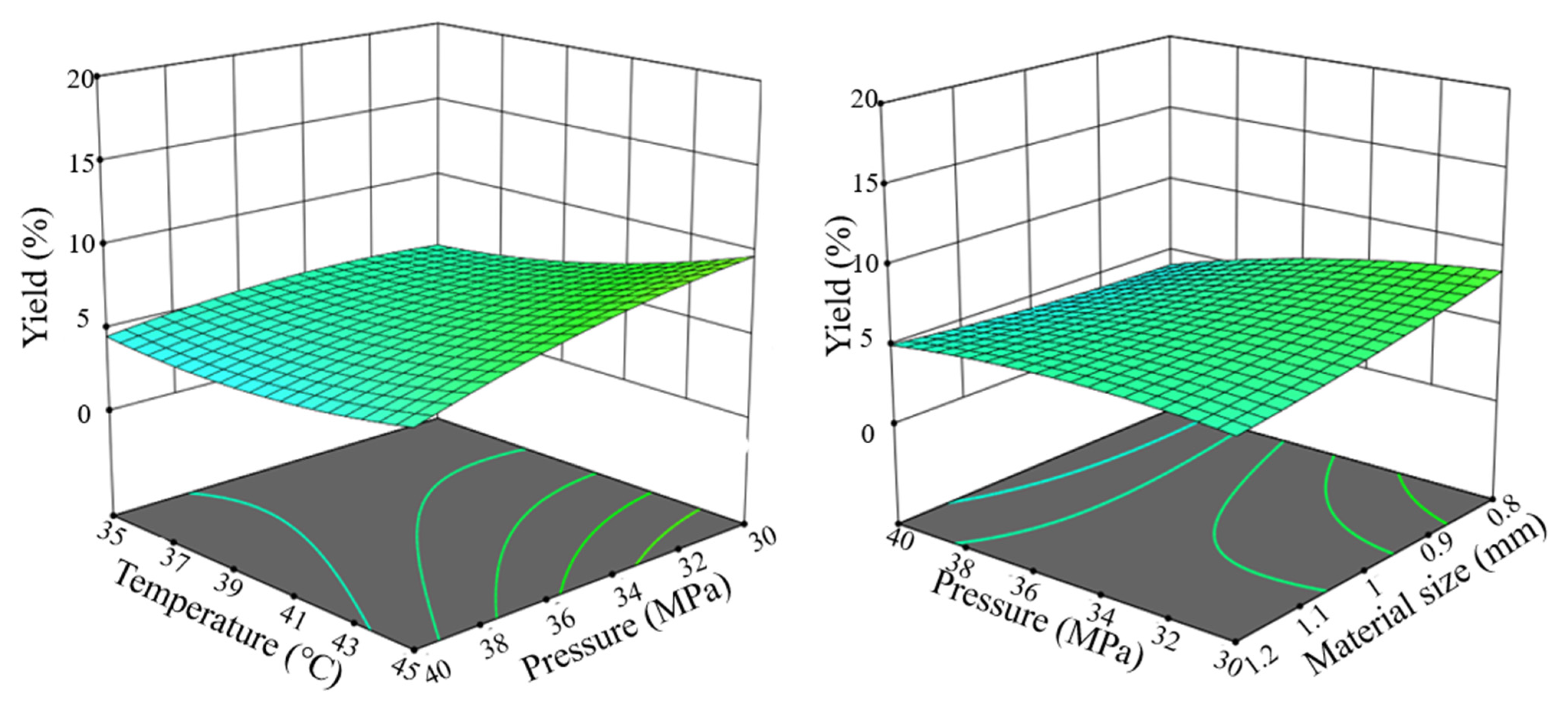
3.1. Extraction Pressure and Temperature Effects
3.2. The Effect of Co-Solvents on Extraction Rate
3.3. Analysis of Variance
3.4. Uncertainty Calculation
3.5. The Effect of CO2 Flow Rate on Extraction Rate
3.6. The Effect of Particle Size on Extraction Rate
4. Central Composite Design (CCD) Optimization
5. Effects of Salt Enzyme Pretreatment
6. Conclusions
- (1)
- Temperature has a more significant impact compared to pressure, and co-solvent content shows great significance. However, due to the relatively low oil content in Hetian rose petals, reducing the particle size only provides limited assistance in improving extraction efficiency. Through CCD optimization techniques, the optimal conditions for extracting Hetian rose essential oil were determined as 35 MPa, 40 °C, 10 L/h, 0.8 mm particle size, and 20% co-solvent.
- (2)
- Preprocessing Hetian rose materials is crucial for releasing essential oil components from plant cells; particularly important is controlling the concentration of salt solution used during this process. Although pectinase and cellulase have catalytic effects on essential oil extraction processes; high concentrations of enzyme solutions can lead to local micro-aggregation within materials, which hinders internal mass transfer processes. The highest extraction rate achieved was observed when using a salt solution concentration of 10%, resulting in an extract yield percentage of approximately 8.99%. Conversely, the lowest yield percentage (4.21%) was obtained when employing a salt solution concentration of 20%.
Author Contributions
Funding
Data Availability Statement
Conflicts of Interest
Abbreviations
| y | [%] | Extraction rate of Hetian rose essential oil | 
| m1 | [g] | Quality of essential oils | 
| m | [g] | Total mass | 
| [kg solute/kg solvent] | Solubility | |
| M* | [kg/s] | Mass flow rate of solutes | 
| MCO2 | [kg/s] | Mass flow rate of solvent | 
| H | [m] | Extraction kettle height | 
| σYield | [-] | uncertainty | 
| σA | [-] | Pressure uncertainty | 
| σB | [-] | Temperature uncertainty | 
| σE | [-] | Co-solvent uncertainty | 
References
- Liu, C.; Abuli, A.; Rahan, R.; Dili, D. A study on the factors affecting the extraction rate of volatile oil in roses. J. Org. Chem. Res. 2023, 11, 165. [Google Scholar]
- Aydeniz-Guneser, B. Cold Pressed Orange (Citrus sinensis) Oil. Cold Pressed Oils; Academic Press: Cambridge, MA, USA, 2020; pp. 129–146. [Google Scholar]
- Liang, J.; Zhang, Y.; Chi, P.; Liu, H.; Jing, Z.; Cao, H.; Du, Y.; Zhao, Y.; Qin, X.; Zhang, W.; et al. Essential oils: Chemical constituents, potential neuropharmacological effects and aromatherapy-A review. Pharmacol. Res.-Mod. Chin. Med. 2023, 6, 100210. [Google Scholar] [CrossRef]
- Akdağ, A.; Öztürk, E. Distillation methods of essential oils. Selçuk Üniv. Fak. Derg. 2019, 45, 22–31. [Google Scholar]
- Da Porto, C.; Decorti, D.; Natolino, A. Application of a supercritical CO2 extraction procedure to recover volatile compounds and polyphenols from Rosa damascena. Sep. Sci. Technol. 2015, 50, 1175–1180. [Google Scholar] [CrossRef]
- Gilani, F.; Raftani Amiri, Z.; Esmaeilzadeh Kenari, R.; Ghaffari Khaligh, N. Investigation of extraction yield, chemical composition, bioactive compounds, antioxidant and antimicrobial characteristics of citron (Citrus medica L.) peel essential oils produced by hydrodistillation and supercritical carbon dioxide. J. Food Meas. Charact. 2023, 17, 4332–4344. [Google Scholar] [CrossRef]
- Toluei, Z.; Hosseini Tafreshi, S.A.; Arefi Torkabadi, M. Comparative chemical composition analysis of essential oils in different populations of Damask rose from Iran. J. Agric. Sci. Technol. 2019, 21, 423–437. [Google Scholar]
- Najem, W.; El Beyrouthy, M.; Wakim, L.H.; Neema, C.; Ouaini, N. Essential oil composition of Rosa damascena Mill. from different localities in Lebanon. Acta Bot. Gall. 2011, 158, 365–373. [Google Scholar] [CrossRef]
- Shen, L.; Pang, S.; Zhong, M.; Sun, Y.; Qayum, A.; Liu, Y.; Rashid, A.; Xu, B.; Liang, Q.; Ma, H.; et al. A comprehensive review of ultrasonic assisted extraction (UAE) for bioactive components: Principles, advantages, equipment, and combined technologies. Ultrason. Sonochem. 2023, 101, 106646. [Google Scholar] [CrossRef]
- Wu, Y.; Han, X.; Yuan, W.; Wang, X.; Meng, D.; Hu, J.; Lv, Z. Salt intervention for the diversities of essential oil composition, aroma and antioxidant activities of Kushui rose (R. setate × R. rugosa). Ind. Crop. Prod. 2020, 150, 112417. [Google Scholar] [CrossRef]
- Shende, D.; Sidhu, G.K. Effect of Enzymatic Aqueous Extraction on Quality Characteristics of Maize Germ Oil During Storage. J. Agric. Eng. 2019, 56, 1–15. [Google Scholar]
- Polmann, G.; Badia, V.; Frena, M.; Teixeira, G.L.; Rigo, E.; Block, J.M.; Feltes, M.M.C. Enzyme-assisted aqueous extraction combined with experimental designs allow the obtaining of a high-quality and yield pecan nut oil. LWT 2019, 113, 108283. [Google Scholar] [CrossRef]
- Yousefi, M.; Rahimi-Nasrabadi, M.; Pourmortazavi, S.M.; Wysokowski, M.; Jesionowski, T.; Ehrlich, H.; Mirsadeghi, S. Supercritical fluid extraction of essential oils. TrAC Trends Anal. Chem. 2019, 118, 182–193. [Google Scholar] [CrossRef]
- Jahongir, H.; Zhang, M.; Amankeldi, I.; Zhang, Y.; Liu, C. The influence of particle size on supercritical extraction of dog rose (Rosa canina) seed oil. J. King Saud Univ.-Eng. Sci. 2019, 31, 140–143. [Google Scholar] [CrossRef]
- Rodrigues, V.M.; Sousa, E.M.; Monteiro, A.R.; Chiavone-Filho, O.; Marques, M.O.; Meireles, M.A.A. Determination of the solubility of extracts from vegetable raw material in pressurized CO2: A pseudo-ternary mixture formed by cellulosic structure + solute + solvent. J. Supercrit. Fluids 2002, 22, 21–36. [Google Scholar] [CrossRef]
- Rahimi-Nasrabadi, M.; Gholivand, M.B.; Vatanara, A. Comparison of essential oil composition of Eucalyptus oleosa obtained by supercritical carbon dioxide and hydrodistillation. J. Herbs Spices Med. Plants 2012, 18, 318–330. [Google Scholar] [CrossRef]
- Labban, L.; Thallaj, N. The medicinal and pharmacological properties of Damascene Rose (Rosa damascena): A review. Int. J. Herb. Med. 2020, 8, 33–37. [Google Scholar]
- Bozorgian, A. Study of the effect operational parameters on the super critical extraction efficient related to sunflower oil seeds. Chem. Rev. Lett. 2020, 3, 94–97. [Google Scholar]
- Uquiche, E.L.; Toro, M.T.; Quevedo, R.A. Supercritical extraction with carbon dioxide and co-solvent from Leptocarpha rivularis. J. Appl. Res. Med. Aromat. Plants 2019, 14, 100210. [Google Scholar] [CrossRef]
- Rajput, S.; Kaur, S.; Panesar, P.S.; Thakur, A. Supercritical fluid extraction of essential oils from Citrus reticulata peels: Optimization and characterization studies. Biomass Convers. Biorefin. 2023, 13, 14605–14614. [Google Scholar] [CrossRef]
- Putra, N.R.; Rizkiyah, D.N.; Aziz, A.H.A.; Mamat, H.; Jusoh, W.M.S.W.; Idham, Z.; Yunus, M.A.C.; Irianto, I. Influence of particle size in supercritical carbon dioxide extraction of roselle (Hibiscus sabdariffa) on bioactive compound recovery, extraction rate, diffusivity, and solubility. Sci. Rep. 2023, 13, 10871. [Google Scholar]
- de Almeida, R.A.; Vicente de Paula Rezende, R.; Reitz Cardoso, F.A.; Cardozo Filho, L. Non-Isothermal Compressible Flow Model for Analyzing the Effect of High CO2 Inlet Flow Rate on Particle Size in a Supercritical Antisolvent Process. J. Energy Power Technol. 2023, 5, 1–29. [Google Scholar] [CrossRef]
- Zhang, H.; Feng, M.; Fang, Y.; Wu, Y.; Liu, Y.; Zhao, Y.; Xu, J. Recent advancements in encapsulation of chitosan-based enzymes and their applications in food industry. Crit. Rev. Food Sci. Nutr. 2023, 63, 11044–11062. [Google Scholar] [CrossRef] [PubMed]
- Lenucci, M.S.; De Caroli, M.; Marrese, P.P.; Iurlaro, A.; Rescio, L.; Böhm, V.; Dalessandro, G.; Piro, G. Enzyme-aided extraction of lycopene from high-pigment tomato cultivars by supercritical carbon dioxide. Food Chem. 2015, 170, 193–202. [Google Scholar] [CrossRef] [PubMed]
- Blake, A.I.; Co, E.D.; Marangoni, A.G. Structure and physical properties of plant wax crystal networks and their relationship to oil binding capacity. J. Am. Oil Chem. Soc. 2014, 91, 885–903. [Google Scholar] [CrossRef]
- Zhao, X.; Teresa, M.; Artur, R.; Carla, S.; Wu, J.; Fu, J. Cutinase promotes dry esterification of cotton cellulose. Biotechnol. Prog. 2016, 32, 60–65. [Google Scholar]
- Sun, R.; Chen, S.; Chen, X.; Liu, X.; Zhang, F.; Wu, J.; Su, L. Enzymatic treatment to improve permeability and quality of cherry tomatoes for production of dried products. J. Sci. Food Agric. 2024, 104, 2718–2727. [Google Scholar] [CrossRef]
- Nadar, S.S.; Rao, P.; Rathod, V.K. Enzyme assisted extraction of biomolecules as an approach to novel extraction technology: A review. Food Res. Int. 2018, 108, 309–330. [Google Scholar] [CrossRef]










| Factor | Name | Units | Subtype | Minimum | Maximum | Median | Coded Low | Coded High | 
|---|---|---|---|---|---|---|---|---|
| A | Pressure | MPa | Continuous | 30.00 | 40.00 | 35 | −1 | +1 | 
| B | Temperature | °C | Continuous | 35.00 | 45.00 | 40 | −1 | +1 | 
| C | CO2 flow | L/h | Continuous | 5.00 | 15.00 | 10 | −1 | +1 | 
| D | Particle size | mm | Continuous | 0.80 | 1.20 | 1.0 | −1 | +1 | 
| E | Co-solvent | % | Continuous | 0.00 | 20.00 | 10 | −1 | +1 | 
| Source | Sum of Squares | df | Mean Square | F-Value | p-Value | 
|---|---|---|---|---|---|
| Model | 545.59 | 9 | 60.62 | 17.4 | <0.0001 | 
| A (Pressure) | 13.3 | 1 | 13.3 | 3.82 | 0.0636 | 
| B (Temperature) | 17.73 | 1 | 17.73 | 5.09 | 0.0344 | 
| E (Co-solvent) | 527.28 | 1 | 527.28 | 151.34 | <0.0001 | 
| AB | 2.8 | 1 | 2.8 | 0.8048 | 0.3794 | 
| AE | 5.16 | 1 | 5.16 | 1.48 | 0.2365 | 
| BE | 2.71 | 1 | 2.71 | 0.7785 | 0.3872 | 
| A2 | 0.0988 | 1 | 0.0988 | 0.0283 | 0.8678 | 
| B2 | 4.16 | 1 | 4.16 | 1.19 | 0.2862 | 
| E2 | 0.0904 | 1 | 0.0904 | 0.0259 | 0.8735 | 
| SD | 4.41 | ||||
| Serial Number | Pressure (MPa) | Temperature (°C) | CO2 Flow (L/h) | Particle Size (mm) | Co-Solvent (%) | Extraction Rate of Essential Oil (%) | 
|---|---|---|---|---|---|---|
| 1 | 35 | 45 | 10 | 1 | 10 | 8.31 | 
| 2 | 40 | 35 | 5 | 1.2 | 20 | 9.57 | 
| 3 | 30 | 35 | 15 | 1.2 | 20 | 11.59 | 
| 4 | 30 | 35 | 15 | 0.8 | 0 | 1.54 | 
| 5 | 30 | 45 | 5 | 0.8 | 0 | 0.982 | 
| 6 | 40 | 35 | 15 | 0.8 | 20 | 11.69 | 
| 7 | 30 | 40 | 10 | 1 | 10 | 5.82 | 
| 8 | 35 | 40 | 10 | 1 | 10 | 6.37 | 
| 9 | 30 | 45 | 15 | 0.8 | 10 | 13.87 | 
| 10 | 30 | 45 | 15 | 1.2 | 0 | 1.287 | 
| 11 | 40 | 35 | 5 | 0.8 | 0 | 0.398 | 
| 12 | 35 | 40 | 10 | 1 | 10 | 5.73 | 
| 13 | 40 | 45 | 15 | 0.8 | 0 | 1.078 | 
| 14 | 35 | 40 | 10 | 1 | 10 | 5.91 | 
| 15 | 35 | 40 | 10 | 1.2 | 10 | 7.15 | 
| 16 | 40 | 45 | 5 | 1.2 | 0 | 2.206 | 
| 17 | 40 | 45 | 5 | 0.8 | 20 | 9.576 | 
| 18 | 35 | 40 | 10 | 0.8 | 10 | 5.85 | 
| 19 | 35 | 40 | 5 | 1 | 10 | 2.18 | 
| 20 | 30 | 35 | 5 | 1.2 | 0 | 1.017 | 
| 21 | 35 | 40 | 10 | 1 | 10 | 7.5 | 
| 22 | 35 | 40 | 15 | 1 | 10 | 6.74 | 
| 23 | 35 | 40 | 10 | 1 | 10 | 4.98 | 
| 24 | 35 | 40 | 10 | 1 | 20 | 15.54 | 
| 25 | 30 | 45 | 5 | 1.2 | 20 | 14.72 | 
| 26 | 40 | 40 | 10 | 1 | 10 | 5.416 | 
| 27 | 40 | 45 | 15 | 1.2 | 20 | 13.63 | 
| 28 | 35 | 40 | 10 | 1 | 10 | 6.12 | 
| 29 | 40 | 35 | 15 | 1.2 | 0 | 0.436 | 
| 30 | 30 | 35 | 5 | 0.8 | 20 | 12.2 | 
| 31 | 35 | 35 | 10 | 1 | 10 | 5.76 | 
| 32 | 35 | 40 | 10 | 1 | 10 | 5.95 | 
| Disclaimer/Publisher’s Note: The statements, opinions and data contained in all publications are solely those of the individual author(s) and contributor(s) and not of MDPI and/or the editor(s). MDPI and/or the editor(s) disclaim responsibility for any injury to people or property resulting from any ideas, methods, instructions or products referred to in the content. | 
© 2024 by the authors. Licensee MDPI, Basel, Switzerland. This article is an open access article distributed under the terms and conditions of the Creative Commons Attribution (CC BY) license (https://creativecommons.org/licenses/by/4.0/).
Share and Cite
Cui, W.; Xu, R.; Li, X.; Yang, J.; Xu, P.; Zhang, Z.; Yu, Z.; Adiges, S. Research on the Supercritical CO2 Extraction Process of Hetian Rose Essential Oil. Processes 2024, 12, 1396. https://doi.org/10.3390/pr12071396
Cui W, Xu R, Li X, Yang J, Xu P, Zhang Z, Yu Z, Adiges S. Research on the Supercritical CO2 Extraction Process of Hetian Rose Essential Oil. Processes. 2024; 12(7):1396. https://doi.org/10.3390/pr12071396
Chicago/Turabian StyleCui, Wei, Rongji Xu, Xiaoqiong Li, Junling Yang, Peng Xu, Zhentao Zhang, Ze Yu, and Saramaiti Adiges. 2024. "Research on the Supercritical CO2 Extraction Process of Hetian Rose Essential Oil" Processes 12, no. 7: 1396. https://doi.org/10.3390/pr12071396
APA StyleCui, W., Xu, R., Li, X., Yang, J., Xu, P., Zhang, Z., Yu, Z., & Adiges, S. (2024). Research on the Supercritical CO2 Extraction Process of Hetian Rose Essential Oil. Processes, 12(7), 1396. https://doi.org/10.3390/pr12071396
 
        



 
       