Abstract
The production of deep-coalbed methane (CBM) wells undergoes four stages sequentially: drainage depressurization, unstable gas production, stable gas production, and gas production decline. Upon entering the stable production stage, the recovery rate of deep CBM wells is constrained by bottom hole flowing pressure (BHFP). Reducing BHFP can further optimize CBM productivity, significantly increasing the production and recovery rate of CBM wells. This paper optimizes the deliquification process for deep CBM in the Linxing Block. By analyzing the production of deep CBM wells, an improved sucker rod pump deliquification process is proposed, and a method considering the flow in the tubing, annulus, and reservoir is established. Using the production data of Well GK-25D in the Linxing CBM field as an example, an optimized design of the improved rod pump deliquification process was undertaken, with design parameters including the depth of the sucker rod pump, the stroke length, and stroke rate. The results show that the improved process significantly lowers the pressure at the coalbed, enhancing CBM well production by 12.24%. The improved sucker rod pump process enriches deliquification technology for deep CBM, offering a new approach for its development and helping to maximize CBM well productivity.
1. Introduction
Coalbed methane (CBM) is a byproduct of coal production and is a relatively clean energy source [1,2]. Typically, it is extracted by deliquification and depressurization, with the tubing used for drainage and the casing for gas production [3]. In China, CBM exploration and development are mainly focused on medium and shallow layers within 1500 m, with limited development of deep CBM beyond 1500 m. Deep CBM only entered large-scale development in 2021 [4]. The resource volume of CBM at depths greater than 1500 m is more than twice that within 1500 m [5,6], making deep CBM a promising area for unconventional natural gas [7].
Characteristics of the coal matrix, such as porosity, permeability, maturity, fracture, and pore distribution, will affect the production of CBM [8,9,10]. Higher porosity and permeability facilitate better storage and migration of CBM within the coalbed [11]. Moderate development of fractures aids in the release of CBM, while excessively dense fractures may lead to rapid gas release and reduced recovery rates [12]. Therefore, in the development of CBM, it is essential to determine the optimal production areas through detailed geological exploration and coal quality evaluation [13], select appropriate deliquification techniques, and implement suitable enhancement measures along with scientific management and monitoring to maximize the recovery rate.
The Linxing block is located in the central–northern section of the Jinxi Fold Belt. The main stratigraphic units are primarily composed of primary structures, with thick and consistently distributed coalbeds [13]. The main coalbeds are the No. 8 and No. 9 coalbeds of the Carboniferous Benxi Formation. The geological resources of CBM cover 3719.9 × 108 m3, accounting for 80.4% of the total CBM resources below 1000 m in this block [14]. The gas saturation of coalbeds deeper than 1500 m in this block generally exceeds 80%, with some areas being supersaturated [15,16].
Practice has shown that the recovery rate of deep CBM is limited by well-bottom flow pressure [17,18]. Reducing the well-bottom flow pressure can effectively extend the stable production phase of CBM wells and increase the production pressure differential, thereby optimizing productivity and effectively improving the recovery rate [19]. Due to the direct connection of the casing annulus in CBM wells to the gathering and transportation pipeline network for external gas export, it becomes difficult to reduce the well-bottom flow pressure further when it drops to around 4 MPa, significantly impacting the development efficiency of deep CBM. Therefore, to minimize the pressure at the coalbed and promote CBM desorption, this study proposes an optimized design method for a rod pump suitable for deliquification in deep CBM. By improving the deliquification technology of the rod pump, the coalbed flow pressure can be further reduced, thereby increasing CBM production and recovery rates. This enhances the production efficiency and economic benefits of deep CBM wells, aiding in the development of the deep CBM industry.
2. Materials and Methods
CBM, formed during the diagenesis of coal, is released during coal mining [20]. As it is primarily composed of methane, its direct emission can negatively impact the surrounding environment and, under poor ventilation conditions, may accumulate underground, leading to gas explosions. Developing CBM not only addresses safety and environmental issues in coal production but also brings significant economic and social benefits. It is crucial to properly manage the large volumes of wastewater generated during CBM extraction to prevent environmental pollution [21]. Internationally, deep CBM wells are rare, with only the Piceance Basin in the U.S. conducting deep CBM experiments [22]. In China, complex CBM reservoir conditions and low permeability primarily result in the employment of vertical wells, supplemented by horizontal wells, with various lifting techniques applied [23,24,25].
This article proposes an improved sucker rod pump deliquification process for CBM wells. By increasing the depth at which the rod pump is inserted, the dynamic liquid level in the oil casing annulus is lowered, thus reducing the pressure at the coalbed and improving recovery rates. To adapt to the improved sucker rod pump deliquification process, an analytical method considering the flow in the tubing, oil casing annulus, and gas reservoir has been established. First, the pressure of the dynamic gas column is calculated using the Cullender–Smith method to obtain the flow pressure at the coalbed. Then, the liquid column pressure in the annulus below the coalbed is calculated to determine the inlet pressure of the rod pump. Finally, the discharge pressure of the rod pump is calculated. The difference between the discharge pressure and the inlet pressure of the rod pump is the required lift for the rod pump. The rod pump parameters are then designed based on the required lift, including the depth of the rod pump insertion, the stroke length, and the stroke frequency of the rod pump.
2.1. Deliquification Processes of Deep CBM Wells
Linxing Block deep CBM wells have production casing diameters of 114.3 mm and depths of about 2000 m. On site, the conventional submersible oil diaphragm pump has an outer diameter of 114 mm, and the submersible oil screw pump has a pump body outer diameter of 89 mm. Both face issues such as flow guide installation difficulties, limited power, and weak passability, making sucker rod pumps the primary lifting method. By the end of 2023, over 200 deep CBM wells had been commissioned in the Linxing block, with more than 90% of vertical wells using the sucker rod pump technique [26,27]. Compared to shallow CBM, deep CBM features higher formation pressure and a higher proportion of free gas, enabling initial self-flow post-fracturing. However, the self-flow time is short, requiring a timely deliquification processes. Due to the constraint of BHFP on deep CBM recovery rates, further reducing BHFP can significantly enhance the production of CBM. By analyzing the production of deep CBM wells in the Linxing block, an improved sucker rod pump deliquification process is proposed, and a method considering the flow in the tubing, annulus, and reservoir is established. The optimization design results for well GK-25D in the Linxing CBM field show that the optimized process greatly reduces the pressure at the coalbed and significantly increases the production of CBM wells. Conventional CBM wells in the Linxing block typically undergo four production stages (Figure 1).
Figure 1.
Production stages of CBM wells.
- (1)
- Drainage depressurization stage
Initially, CBM wells produce a large amount of water, mainly from residual fracturing fluid and coalbed pore water released by fracturing. Measures must be taken to handle the water produced. Deep CBM wells have a greater difference between critical desorption pressure and formation pressure, requiring longer drainage times to reach critical desorption pressure. Due to the slow recharge rate of water in the coalbed, after the residual pressure from fracturing fluid is released, water production naturally declines.
- (2)
- Unstable gas production stage
As CBM desorption occurs, desorbed gas continuously migrates to the wellbore, increasing pressure. When BHFP rises to match near-well formation pressure, the dynamic equilibrium of desorption and adsorption is achieved. The formation channel is dominated by the water phase Darcy flow. Pressure propagates quickly, increasing the pressure drop range and naturally boosting gas production in production wells.
To maintain stability and economic viability, pressure-controlled production is required. By controlling wellhead pressure and production rates, BHFP can be managed to reduce the decline rate of CBM well productivity, extending the productive life. Rapid casing pressure drops may narrow or close coalbed microfractures, reducing permeability.
- (3)
- Stable gas production stage
Over time, as more gas is released and coal matrix shrinkage becomes dominant. CBM wells enter a stable production stage, with stable gas production and gradually decreasing water production. In order to maintain stable production, it is necessary to further control the decrease in BHFP and explore the optimal production scheme for CBM wells.
- (4)
- Gas production decline stage
As CBM well production declines and formation pressure drops to abandonment pressure, most of the coal matrix will desorb and gas production will decrease naturally. BHFP cannot be lowered further, requiring gradual casing pressure reduction to slow the decline rate. Some coal seams continue to desorb, maintaining low production for a long time. During this stage, the production of CBM wells gradually decreases over time, accompanied by an increase in water production.
Due to the constraint of BHFP on deep CBM recovery rates, further reducing BHFP can extend the stable production stage and increase the production pressure differential, releasing production capacity. Methane desorption from coalbed pores significantly boosts CBM yield, improving recovery rates. During late production, the amount of recoverable gas in the coalbed decreases, and the effectiveness of increasing gas production diminishes. Additionally, reducing the BHFP will cause more water to be expelled from the coalbed, resulting in an increase in water production and affecting the production efficiency of the well. Therefore, for specific CBM wells, it is necessary to comprehensively consider the characteristics of the coalbed and wellbore conditions, and achieve efficient CBM extraction by properly matching the BHFP, desorption pressure, and formation pressure.
2.2. Optimization of Sucker Rod Pump
The recovery rate of deep CBM wells is influenced by multiple factors. The abundance of CBM resources, geological factors such as coalbed thickness, burial depth, porosity and permeability, the distribution of underground water, in situ stress conditions, and adsorption characteristics of CBM all play crucial roles. With the continuous advancement of deliquification technology, the selection of appropriate techniques and management measures can effectively improve the recovery rate of CBM wells.
Sucker rod pumps are a special form of reciprocating pump, transmitting power from the surface via sucker rods to drive the downhole pump’s plunger in a reciprocating motion, lifting fluid to the surface. Due to unstable liquid production and low formation pressure in CBM wells, continuous deliquification is challenging [28]. Sucker rod pumps, capable of adjusting stroke length and frequency via variable frequency drives, allow for easy discharge regulation, becoming the primary deliquification method. The tubing–casing annulus directly connects to the gas gathering network for external gas transport, with casing pressure determined by the gathering network’s back pressure (generally lower than BHFP). In order to balance this differential pressure, a free liquid level (dynamic liquid level) will appear at the annulus bottom [29] (Figure 2).
Figure 2.
Diagram of the conventional rod pump (left) and the improved rod pump (right) (1—pump barrel; 2—sucker rod; 3—tubing; 4—free liquid level; 5—casing; Red arrows—Flow direction of CBM; Blue arrows—Flow direction of formation water).
Linxing Block CBM wellhead pressure ranges from 0.5 to 15 MPa, with temperatures between 2.5 and 16 °C and production gas rates of 2300–10,000 m3/d. The main issue is the inability to effectively reduce coalbed pressure, impacting CBM development efficiency. To maximize pressure reduction at the coalbed, promoting CBM desorption and enhancing well recovery rates, we propose an optimized sucker rod pump design for deep CBM deliquification. Assuming that tubing and sucker rod pump insertion are unaffected by well depth, extending the tubing and sucker rod pump below the CBM reservoir can further lower the dynamic liquid level, even below the reservoir, exposing the coal seam (Figure 2). In this scenario, coalbed flow pressure is the sum of casing pressure and the dynamic gas column pressure, theoretically achieving “minimum flow pressure”.
2.3. Annular Flow Mathematical Model
In the process of deliquification from CBM wells, important parameters to record include production gas rate, wellhead pressure, water discharge volume, gas well water level, and temperature. These parameters help us to evaluate the operational status of CBM wells, guide operation and management, and ensure the safe and efficient progress of the deliquification process. For example, changes in production gas rate can reflect the production status of the CBM well, variations in wellhead pressure can indicate reservoir gas migration and CBM release, and monitoring water level and discharge volume can guide the adjustment of deliquification process parameters.
During stable production, deep CBM vertical wells predominantly use sucker rod pumps for tubing deliquification and annulus gas production. The wellbore model can be simplified to tubing for deliquification and annulus for the dynamic gas column. With the improved sucker rod pump process, the dynamic liquid level below the coalbed does not affect coalbed pressure. The coalbed flow pressure is the sum of the casing pressure and dynamic gas column pressure:
Coalbed Flow Pressure = Casing Pressure + Dynamic Gas Column Pressure
The Cullender–Smith method, widely used for calculating dynamic gas column pressure, applies to CBM vertical wells’ annular gas column pressure distribution [30]:
Let
Integrating (1),
Dividing H into n segments,
For any segment,
Letting ,
Simplify to
where is the static gas column pressure, MPa; is the standard pressure, MPa; is the pipeline starting pressure, MPa; is the casing inner diameter, m; is the tubing outer diameter, m; is the gas compressibility factor, dimensionless; is the gas thermodynamic temperature, K; is the depth increment, m; is the gas gravity, dimensionless; is the friction coefficient, dimensionless; is the standard condition gas production rate, 104 m3/d; and is the gas column height, m.
2.4. Improved Sucker Rod Pump Design Method
With the improved sucker rod pump process, extending the casing, tubing, and sucker rod pump below the coalbed lowers the annulus liquid level, exposing the coalbed and promoting desorption. Conventional nodal analysis does not meet the new design requirements; thus, a new method considering tubing, annulus, and reservoir flow is established. The wellbore pressure relationship is
The analysis steps are:
(1) Tubing Pressure Calculation: Calculate BHFP(Pwf) under different water production (Qw) rates and sucker rod pump depths.
① Pump Discharge Pressure
Determined by liquid column height above the pump:
where is the water density, 1000 kg/m3; g is the gravitational acceleration, 9.8 m/s2; and is the pump depth, m.
② Pumpjack head pressure
The pump characteristic curve represents the relationship between the main performance parameters of the electric pump. Due to the special nature of the rod pump system and the complexity of the downhole working environment, it is not possible to obtain the characteristic curve through surface testing, but it can be calculated using the APR RP 11L method [31] (Figure 3).
Figure 3.
Sucker rod pump characteristic curves (stroke length 3 m, stroke rate 5 min−1, pump diameter 44 m).
③ BHFP Calculation
Use (9) to calculate the pump discharge pressure at different depths, and then subtract the pumpjack head pressure to obtain the pump inlet pressure, equal to BHFP. Plot BHFP versus pump depth for different discharge rates (Figure 4). BHFP theoretical values below zero indicate that pump parameters exceed discharge needs, allowing stroke rate reduction.
Figure 4.
BHFP calculation values vs. rod pump depth (different discharge rates).
(2) Annulus Pressure Calculation: Calculate coalbed flow pressure under different discharge rates.
Liquid column pressure determined by annulus liquid column height:
where is the water density, 1000 kg/m3; g is gravitational acceleration, 9.8 m/s2; is the pump depth, m; and is the coalbed bottom depth, m.
Subtracting the liquid column pressure from BHFP yields coalbed pressure at different pump depths and discharge rates (Figure 5). Pressure increases linearly with the discharge rate at a fixed coal seam depth.
Figure 5.
Coalbed depth vs. coalbed pressure under different discharge rates.
(3) Flow Analysis:
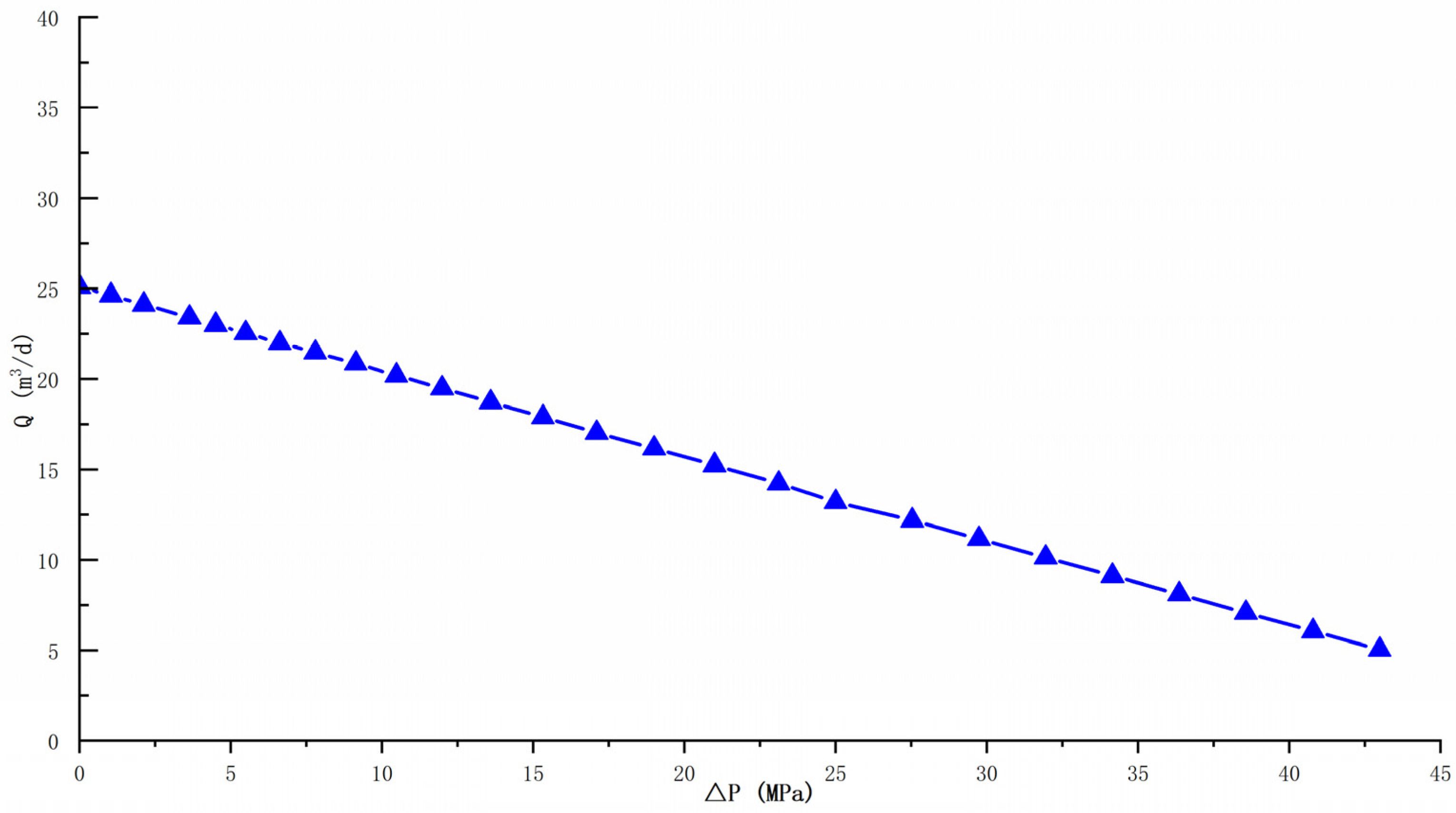
Since the above process only considers the characteristics of the rod pump, Figure 5 also needs to be analyzed in conjunction with the inflow dynamic curve of the CBM well. Combining the above with coalbed gas well inflow dynamic curves, the intersection of the water phase inflow curve and pump analysis curve determines the production coordination point. The coalbed pressure at this point indicates CBM well gas production (Figure 6).
Figure 6.
CBM well inflow dynamics and pump analysis curves.
3. Discussion
3.1. Field Application
The roof of coalbeds No. 8 and No. 9 in the Linxing block consists mainly of fine sandstone, mudstone, and carbonaceous mudstone, while the floor is primarily composed of mudstone, carbonaceous mudstone, and fine sandstone [32]. The No. 9 coalbed is buried at depths ranging from 1700 to 2100 m, with an average depth of 1880 m (Figure 7). The seam is generally quite thick, with a thickness exceeding 14 m [33]. The main coalbed structure is east-high and west-low, with a slight formation dip and undeveloped faults [34,35]. The top depth of the coalbed roof in the area where well GK-25D is located is 2012.9 m, the bottom depth is 2024.7 m, the tubing size is 3½ inches, and the casing size is 5½ inches using tubing deliquification and casing gas production.
Figure 7.
Depth map of No. 9 coalbed.
Well GK-25D’s sucker rod pump depth is 1979.54 m. The production curve for the 90 days before increasing the pump depth is shown in Figure 8. As deliquification progresses, BHFP decreases and gas production increases. The casing annulus pressure balances the gas gathering network back pressure, forming a liquid column at the annulus bottom and limiting further BHFP reduction. At the current pump depth, the minimum BHFP is 4.7 MPa. Based on the liquid level test data, the annulus dynamic liquid level height is about 1610 m, creating a 414.7 m liquid column above the coalbed bottom. Ignoring gas column pressure changes from an increased pump depth, the liquid column height remains constant. To fully expose the coalbed, the pump depth needs to increase by 414.7 m, to 2394.24 m.
Figure 8.
Production situation for 90 days before increasing the pump depth.
Improved sucker rod pump deliquification process pressure relationship:
Pump inlet pressure = Gas export pressure + Gas column pressure + Liquid column pressure
The site gas export pressure is 0.5 MPa, with an average gas production of 2352.43 m3/d over the past seven days. Gas column pressure, determined by production gas rate, export pressure, and gas column height, is 0.07 MPa using the Cullender–Smith method. The 414.7 m liquid column pressure is 0.41 MPa, yielding a pump inlet pressure of 0.98 MPa.
According to formula 9, at a 2395 m pump depth, the discharge pressure is 23.47 MPa. According to “Pump Inlet Pressure = Pump Discharge Pressure − Pumpjack Head Pressure”, the required pumpjack head pressure is 22.4 MPa.
Current water production is stable at 2.9 m3/d. For a 44 mm diameter sucker rod pump with 22.4 MPa head pressure and 85% pump efficiency, the calculated rod pump stroke and stroke times according to formula 11 are shown in Table 1. To minimize stroke loss and improve efficiency, a long stroke and low stroke rate are used. Combining with the production conditions on site, the final production parameters of the rod pump are set as 3 m stroke and 0.52 min−1 stroke rate.
Table 1.
Required stroke length and rate for desired discharge.
3.2. Results and Discussion
The predicted gas rate of the GK-25D well at different minimum flow pressures is shown in Figure 9. It can be seen that reducing the flow pressure at the coalbed can effectively increase gas production, extend stable production time, and increase the recovery rate.
Figure 9.
The production effects of well GK-25D under different minimum coalbed flow pressures.
The inflow dynamics curve of well GK-25D is shown in Figure 10. When the coalbed is fully exposed, the coalbed pressure equals the “gas export pressure” plus the “gas column pressure”, which is 0.56 MPa, corresponding to a production gas rate of 2640.31 m3/d (Figure 10). Compared to the current coalbed pressure of 4.7 MPa and production rate of 2352.43 m3/d, methane production has increased by 12.24%.
Figure 10.
Inflow dynamics curve for well GK-25D.
The improved sucker rod pump technology requires deeper well depths, which increases both the investment and operating costs. However, this can significantly enhance the recovery rate of CBM wells, with potential production increases exceeding 10%. To ensure the economic feasibility of the process, a detailed cost–benefit analysis tailored to specific CBM wells is necessary, including risk management and cost optimization strategies.
4. Conclusions
A novel deliquification process for deep CBM wells using an improved sucker rod pump is proposed, which considers the flow dynamics in the tubing, annulus, and reservoir for a comprehensive design. In the Linxing CBM field, the optimized deliquification design for Well GK-25D, encompassing pump depth, stroke length, and stroke rate, significantly reduced coalbed flow pressure, enhancing well productivity and increasing methane production by up to 12.24%. By increasing the pump depth to further decrease flow pressure at the coalbed, this method represents an innovative approach to improve CBM recovery rates. The enhanced sucker rod pump technology shows significant potential in CBM extraction. However, its practical application depends on a thorough evaluation of technical, economic, environmental, and safety factors to ensure feasibility and profitability. The improved sucker rod pump process enriches the deliquification technology for deep CBM, offering a new approach for its development and helping to maximize CBM well productivity.
Author Contributions
Investigation, H.Z.; Writing—original draft, B.Z.; Writing—review & editing, W.J. and Y.A. All authors have read and agreed to the published version of the manuscript.
Funding
This research received no external funding.
Data Availability Statement
All the data from the study are included in this article.
Conflicts of Interest
Bing Zhang and Haifeng Zhang were employed by the company China United Coalbed Methane Company Limited. The remaining authors declare that the research was conducted in the absence of any commercial or financial relationships that could be construed as a potential conflict of interest. The China United Coalbed Methane Company Limited had no role in the design of the study; in the collection, analyses, or interpretation of data; in the writing of the manuscript, or in the decision to publish the results.
References
- Xu, F.; Hou, W.; Xiong, X.; Xu, B.; Wu, P.; Wang, H.; Feng, K.; Yun, J.; Li, S.; Zhang, L.; et al. The status and development strategy of coalbed methane industry in China. Pet. Explor. Dev. 2023, 50, 765–783. [Google Scholar] [CrossRef]
- Xue, Y.; Liu, J.; Ranjith, P.G.; Liang, X.; Wang, S. Investigation of the influence of gas fracturing on fracturing characteristics of coal mass and gas extraction effciency based on a multi-physical field model. J. Pet. Sci. Eng. 2021, 206, 109018. [Google Scholar] [CrossRef]
- Pant, H. Best Pumping Practices to Optimize Dewatering in CBM wells: Lessons Learned Developing Raniganj East Field, India. In Proceedings of the SPE Unconventional Resources Conference and Exhibition-Asia Pacific, Brisbane, Australia, 11–13 November 2013. [Google Scholar]
- Li, H.; Lau, H.C.; Huang, S. Coalbed methane development in China: Engineering challenges and opportunities. J. Pet. Sci. Eng. 2018, 166, 47. [Google Scholar] [CrossRef]
- Li, X.; Wand, Y.; Jiang, Z.; Chen, Z.; Wang, L.; Wu, Q. Progress and study on exploration and production for deep coalbed methane. J. China Coal Soc. 2016, 41, 24–31. [Google Scholar] [CrossRef]
- Zhu, G.; Li, B.; Li, Z.; Du, J.; Liu, Y.; Wu, L. Practices and development trend of unconventional natural gas exploration in eastern margin of Ordos Basin: Taking Linxing-Shenfu gas field as an example. China Offshore Oil Gas 2022, 3, 16–29+261. [Google Scholar]
- Wu, Y.; Men, X.; Lou, Y. New progress and prospect of coalbed methane exploration and development in China during the 14th Five-Year Plan period. China Pet. Explor. 2024, 29, 1–13. [Google Scholar]
- Zhou, F.; Yao, G.; Wang, J. Effects of variogram characteristics of coal permeability on CBM production: A case study in Southeast Qinshui Basin, China. Energy Explor. Exploit. 2014, 32, 263–279. [Google Scholar] [CrossRef]
- Tao, C.; Li, Y.; Wang, Y.; Ni, X.; Wu, X.; Zhao, S. Characteristics of Deep Coal Reservoir and Key Control Factors of Coalbed Methane Accumulation in Linxing Area. Energies 2023, 16, 6085. [Google Scholar] [CrossRef]
- Jiang, S.; Xia, B.; Peng, J.; Zeng, T. Study on coalbed methane flow characteristics based on fractal bifurcation fracture network model. Front. Earth Sci. 2023, 10, 1108786. [Google Scholar] [CrossRef]
- Hu, B.; Cheng, Y.; Pan, Z. Classification methods of pore structures in coal: A review and new insight. Gas Sci. Eng. 2023, 110, 204876. [Google Scholar] [CrossRef]
- Wang, H.; Yao, Y.; Liu, D.; Cai, Y.; Yang, Y.; Zhou, S. Determination of the degree of coal deformation and its effects on gas production in the southern Qinshui Basin, North China. J. Pet. Sci. Eng. 2022, 216, 110746. [Google Scholar] [CrossRef]
- Xie, Y.; Qin, Y.; Meng, S.; Pan, X.; Gao, L.; Duan, C. Study on Occurrence Characteristics and Controlling Factors of Permian Deep Coalbed Methane in Linxing Block. Fresenius Environ. Bull. 2022, 31, 3408–3414. [Google Scholar]
- Yan, T.; Yang, C.; Zheng, S.; Bai, Y.; Chen, W.; Liu, Y.; Tian, W.; Sun, S.; Jin, S.; Wang, J.; et al. Geochemical characteristics of produced fluids from CBM wells and their indicative significance for gas accumulation in Daning-Jixian block, Ordos Basin. Front. Earth Sci. 2023, 17, 661–678. [Google Scholar] [CrossRef]
- Kang, Y.; Yan, X.; Huangpu, Y.; Zhang, B.; Deng, Z. Concept and main characteristics of deep oversaturated coalbed methane reservoir. Acta Pet. Sin. 2023, 44, 1781–1790. [Google Scholar]
- Ouyang, Z.; Wang, H.; Sun, B.; Liu, Y.; Fu, X.; Dou, W.; Du, L.; Zhang, B.; Luo, B.; Yang, M. Quantitative Prediction of Deep Coalbed Methane Content in Daning-Jixian Block, Ordos Basin, China. Processes 2023, 11, 3093. [Google Scholar] [CrossRef]
- Zhu, J.; Zhao, Y.; Hu, Q.; Zhang, Y.; Shao, T.; Fan, B.; Jiang, Y.; Chen, Z.; Zhao, M. Coalbed Methane Production Model Based on Random Forests Optimized by a Genetic Algorithm. Acs Omega 2022, 7, 13083–13094. [Google Scholar] [CrossRef] [PubMed]
- Jia, Y.; Shi, J.; Zhang, L.; Li, W.; He, Y.; Li, Y.; Cao, J.; Ji, C.; Huang, H. An Analytical Method for Timely Predicting of Coal Seam Pressure during Gas Production for Undersaturated Coalbed Methane Reservoirs. Processes 2024, 12, 777. [Google Scholar] [CrossRef]
- Zhang, X.; Lai, F.; Meng, Y.; Xu, X.; Li, H.; Liu, K. Dynamic Production Characteristics of Deep Coalbed Methane: A Case Study of Daning-Jixian Block. Energy Fuels 2024, 38, 8700–8711. [Google Scholar] [CrossRef]
- Wang, H.; Yao, Y.; Li, Z.; Yang, Y.; Yi, J.; Qiu, Y.; Zhou, S. Multi-stage gas diffusion and its implications for the productivity of coalbed methane in the southern Qinshui Basin, north China. Front. Earth Sci. 2023, 17, 109–120. [Google Scholar] [CrossRef]
- Ge, G.; Guo, Y.; Li, B. Characteristics and utilizations of high salt water that comes from CBM development in western mining. Desalination Water Treat. 2018, 119, 198–205. [Google Scholar] [CrossRef]
- Nelsonc, R. Deep coalbed gas plays in the Us Rocky Mountain Region. In Proceedings of the AAPG Annual Meeting, SaltLake City, UT, USA, 11–14 May 2003; pp. 5–8. [Google Scholar]
- Xu, F.; Yan, X.; Lin, Z.; Li, S.; Xiong, X.; Yan, D.; Wang, H.; Zhang, S.; Xu, B.; Ma, X.; et al. Research progress and development direction of key technologies for efficient coalbed methane development in China. Coal Geol. Explor. 2022, 50, 1–14. [Google Scholar]
- Fadili, Y.E.; Shah, S. A new model for predicting critical gas rate in horizontal and deviated wells. J. Pet. Sci. Eng. 2017, 150, 154–161. [Google Scholar] [CrossRef]
- Luo, S.; Kelkar, M.; Pereyra, E.; Sarica, C. A new comprehensive model for predicting liquid loading in gas wells. SPE Prod. Oper. 2014, 29, 337–349. [Google Scholar] [CrossRef]
- Jiang, Y.; Yang, S. New technology of dewatering gas recovery for CBM wells in southern Yanchuan Block, eastern margin of Ordos Basin. Pet. Reserv. Eval. Dev. 2021, 11, 384–389. [Google Scholar] [CrossRef]
- Zhang, X.; Liu, T.; Wang, X.; Wang, D.; Liu, Z.; Zhang, J.; Li, D. Research on Drainage Technology and Matching Technology of L-Type Horizontal Wells for Coalbed Methane in Gujiao Block. Coal Technol. 2021, 40, 51–54. [Google Scholar] [CrossRef]
- Salmachi, A.; Karacan, C.O. Cross-formational flow of water into coalbed methane reservoirs: Controls on relative permeability curve shape and production profile. Environ. Earth Sci. 2017, 76, 200. [Google Scholar] [CrossRef] [PubMed]
- Li, C.; An, Y.; Yang, Y.; Jiang, W.; Peng, L. Research on the Application of Double-Tube Gas Lift Drainage Recovery in Coalbed Methane Wells: A Case Study of the Hancheng Block, China. Lithosphere 2022, 12, 9886330. [Google Scholar]
- Wang, L.; Peng, C.; Ni, X.; Sun, L. Optimal for Calculating Method about Bottom-Hole Pressure of Gas Well. Well Test. 2011, 4, 25–26+76. [Google Scholar]
- Zhao, R.; Wang, C.; Tao, Z.; Chen, S.; Tao, G.; Lei, Q.; Deng, F.; Shi, J.; Zhang, X.; Liu, J. Some New Research and Application of API Dimensionless Curves for Sucker Rod Pump. In Proceedings of the SPE Middle East Artificial Lift Conference and Exhibition, Manama, Bahrain, 28–29 November 2018. [Google Scholar] [CrossRef]
- Zhu, S. Study on prediction of deep coalbed methane production capacity and dynamic change law of reservoir permeability in Linxing block. China Univ. Geosci. 2020, 09, 18–19. [Google Scholar] [CrossRef]
- Wu, J.; Zhou, L.; An, Q.; Li, J.; Yang, F.; Yang, Q.; Li, Y.; Jiang, Y.; Li, B.; Li, H. Experimental Investigation of Fracture Initiation and Propagation Characteristics in Deep Coal Seams. In Proceedings of the 57th U.S. Rock Mechanics/Geomechanics Symposium, Atlanta, GA, USA, 25–28 June 2023. [Google Scholar] [CrossRef]
- Kang, Y.; Huangfu, Y.; Zhang, B.; He, Z.; Jiang, S.; Ma, Y. Gas oversaturation in deep coals and its implications for coal bed methane development: A case study in Linxing Block, Ordos Basin, China. Front. Earth Sci. 2023, 10, 1031493. [Google Scholar] [CrossRef]
- Yang, Q.; Li, J.; Li, L.; Zhou, L.; Mei, W.; Wu, J.; Jiang, Y.; Lv, W.; Li, B.; Li, H. Deep Coal Seam In-Situ Stress Evaluation Through the Integration of Sonic Logging and Micro-Indentation Methods. In Proceedings of the 57th U.S. Rock Mechanics/Geomechanics Symposium, Atlanta, GA, USA, 25–28 June 2023. [Google Scholar] [CrossRef]
Disclaimer/Publisher’s Note: The statements, opinions and data contained in all publications are solely those of the individual author(s) and contributor(s) and not of MDPI and/or the editor(s). MDPI and/or the editor(s) disclaim responsibility for any injury to people or property resulting from any ideas, methods, instructions or products referred to in the content. |
© 2024 by the authors. Licensee MDPI, Basel, Switzerland. This article is an open access article distributed under the terms and conditions of the Creative Commons Attribution (CC BY) license (https://creativecommons.org/licenses/by/4.0/).









