Next Article in Journal
Physical Modeling of a Water Hydraulic Proportional Cartridge Valve for a Digital Twin in a Hydraulic Press Machine
Previous Article in Journal
Anomaly Identification for Photovoltaic Power Stations Using a Dual Classification System and Gramian Angular Field Visualization
 
 
Font Type:
Arial Georgia Verdana
Font Size:
Aa Aa Aa
Line Spacing:
Column Width:
Background:
Article

Experimental Investigation on Oxy-Hydrogen Gas Flame Injecting Coal Powder Gasification and Combustion

Key Laboratory of Liaoning Province for Clean Combustion Power Generation and Heating Technology, Shenyang Institute of Engineering, Shenyang 110136, China
*
Author to whom correspondence should be addressed.
Processes 2024, 12(4), 692; https://doi.org/10.3390/pr12040692
Submission received: 21 February 2024 / Revised: 21 March 2024 / Accepted: 22 March 2024 / Published: 29 March 2024
(This article belongs to the Section Chemical Processes and Systems)

Abstract

Hydrogen energy is an important carrier for energy terminals to achieve green and low-carbon transformation. Hydrogen, as a carbon-free fuel, has great research and development value in the field of thermal power generation. This article proposes a solution for the stable combustion of coal powder using Oxy-hydrogen Gas ignition technology. An Oxy-hydrogen Gas flame injection coal powder combustion testing device was constructed to experimentally study the temperature distribution in the combustion chamber under Oxy-hydrogen Gas ignition technology, with primary air coal powder concentrations of 0.27, 0.32, and 0.36 (kg coal powder/kg air), as well as the concentration changes of volatile CO emissions during the ignition of coal powder using both Oxy-hydrogen Gas and CH4 flames. The sensitivity of the NO generation during coal gasification combustion under the Oxy-hydrogen Gas ignition was simulated and analyzed. The results show that at a coal powder concentration of 0.32 (kg coal/kg air) and an Oxy-hydrogen Gas flow rate of 2.1 L/min, the combustion effect of coal powder is the best, and the highest combustion chamber temperature can reach 1156 K; when the concentration of coal powder varies within a range from 0.32 to 0.27, the combustion chamber temperature can be maintained at around 850K, achieving stable combustion conditions for coal powder. The only product generated by the Oxy-hydrogen Gas combustion is high-temperature water vapor, which helps the rapid gasification of coal powder and releases a large amount of volatile CO, which is beneficial for the ignition and stable combustion of coal powder.

1. Introduction

China’s energy resource endowment determines that coal is the most stable and self-assured energy source for the economy. Although the proportion of coal consumption in the total energy consumption has shown a decreasing trend in recent years, dropping to 56.2% in 2022, with an average annual decrease of 1.24 percentage points over the past decade, coal remains the cornerstone and stabilizer of China’s energy security [1]. With the gradual promotion of the “dual carbon” goal, coal-fired power generation will provide flexible peak shaving services for the large-scale consumption of renewable energy [2].
Coal-fired units remain the largest type of power source installed in China. As of the end of 2020, the installed capacity of coal-fired power in China was 1.08 billion kW, accounting for 49.1%, and the power generation accounted for 60.8%. Peak shaving is generally divided into basic peak shaving and paid peak shaving, with the basic peak shaving range generally around 50%. It is adjusted according to the peak shaving needs of the power grid and compensation funds, and belongs to free services; paid peak shaving includes deep peak shaving and start–stop peak shaving, and can participate in peak shaving auxiliary services or the electricity spot market to obtain profits, which belongs to paid services. At present, multiple regions require coal-fired power units to undergo a flexible transformation, with a minimum output of 40% or even 30% of the rated capacity; this greatly improves the peak shaving capacity of the units. However, it should also be noted that deep peak shaving and start–stop peak shaving will cause an increase in coal consumption for power supply and bring losses to unit equipment. Moreover, due to the fact that the peak shaving price mechanism has not truly reflected the benefits consistent with service levels, the enthusiasm of power generation enterprises to participate in peak shaving is not high, and some power generation enterprises are in a long-term loss-making state, which is not conducive to the long-term healthy development of the market.
The flexible manufacturing of coal-fired units and the main way to participate in peak shaving is through a low-load operation of coal-fired boilers. The cold start and low-load stable combustion of coal-fired boilers mainly adopt micro fuel ignition stable combustion technology [3,4] and plasma ignition stable combustion technology [5]. The two ignition and stable combustion technologies have their own advantages and disadvantages. Micro oil ignition and stable combustion have a certain impact on the dust removal system of the boiler. During the ignition process, in order to prevent electrode fouling, the dust removal system does not work. However, this will not play a role in dust removal and collection, and will create pollution in the atmosphere. Plasma ignition for stable combustion is an oil-free ignition method. During the ignition process, a dust collection system can be put into operation to reduce air pollution. However, due to the short lifespan of the anode and cathode of this technology, which is generally around 30 h, electrode replacement can have an impact on the normal start-up of the boiler. In response to the fact that some units of power plant boilers in China are often in a deep peak shaving state, boilers require a long-term low-load stable combustion, and the disadvantages of conventional ignition technology are more evident.
One of the key technologies for realizing the low-load operation of pulverized coal boilers is to use the principle of pulverized coal gasification to convert coal into gas and coke, which can utilize the energy potential of coal more effectively and conveniently. The research and application of coal gasification technology began a long time ago. Since the 19th century, scientists have carried out research on underground coal gasification [6], including the mechanism of coal gasification reaction, related chemical reactions, temperature dependence, and the effects of various factors on the gas content and composition in gasification products. Lozynskyi [7] summarized the key reaction steps in the coal gasification process. These reactions include water evaporation (R1), pyrolysis (R2), a carbon combustion reaction (R3, R4), steam (R5), carbon dioxide (R6), and a carbon gasification reaction with hydrogen (R7). In addition, gas-phase combustion reactions (R8–R11), water–gas displacement reactions (R12) and steam–methane reforming reactions (R13) also occur. Other reactions include the reforming of higher hydrocarbons (R14) and the cracking/reforming of tar (R15).
Oxy-hydrogen Gas is an active mixed gas produced by the electrolysis of water, in which H2 accounts for about 60.79% and O2 accounts for about 30.39%. In addition, it contains a small amount of water vapor and active components such as O+, OH, and H+. Oxy-hydrogen Gas does not require additional oxygen and can burn solely based on its own composition. The only product after combustion is water vapor, with a flame center temperature of up to 2800 °C. The flame has a strong rigidity and no thermal radiation effect [8]. In recent years, due to its excellent combustion performance, Oxy-hydrogen Gas has been widely recognized as a new alternative fuel for gas turbines and internal combustion engines, as well as a fuel for urban waste incineration and biomass direct combustion, and has received widespread attention in the field of clean combustion [9]. The high-speed steam jet formed by the combustion of Oxy-hydrogen Gas through the burner nozzle generates a strong reflux around the nozzle, and a large amount of entrained high-temperature flue gas increases the temperature of the reflux zone, further enhancing the heating and ignition of coal powder. The only product of the Oxy-hydrogen Gas combustion is water vapor, which plays an important role in the ignition characteristics of coal powder. Riaza et al. studied the effects of adding 5%, 10%, and 20% water vapor on the ignition temperature and burnout rate of coal powder using a reactor [10]. They found that the addition of water vapor increased the ignition temperature and decreased the burnout rate of coal. Zou et al. found that when the mole fraction of O2 is the same, coal powder ignites earlier in the O2/H2O atmosphere than in the O2/N2 atmosphere [11,12]. They believe that the conversion reaction of water vapor with a high-volume fraction is the main reason. Marek et al. observed that when water vapor was added to the O2/CO2 atmosphere, the temperature of pulverized coal particles increased, which they attributed to the lower specific heat and higher gasification reaction rate of H2O compared with CO2 [13].
Oxy-hydrogen Gas can be used as the energy of the thermal machine, or it can be used as an additive fuel application of the boiler of the steam power plant in the boiler. Boulahlib et al. [14] studied the impact of adding Oxy-hydrogen Gas as a fuel additive in the boiler, explored the effects of pollutant emissions and efficiency, created high power, high fuel economy, and low pollutant emissions at the same time. Results: As the hydrogen content increases and the rich fuel is burned, the emissions of NOX and CO2 decreased, the emission values of CO and CXHY increased, and the thermal efficiency value decreased. Gu et al. [15] studied the effect of reduction pollutants in biomass boilers by developing a medium-sized Oxy-hydrogen Gas generator with a high energy conversion rate and adjustable output gas. The Oxy-hydrogen Gas was then introduced into a biomass heat air generator with straw as the fuel for mixing. The experimental results show that the total cost of the preheating process is reduced based on the power consumption of gas production and the price of biomass fuel. In addition, the average concentration of CO, NO and smoke decreased by 93.0%, 22.5%, and 80%, respectively. Results showed that the combination of biomass fuel with Oxy-hydrogen Gas can effectively reduce pollutant emissions and save fuel, especially in areas with rich renewable energy. There are also many applications about Oxy-hydrogen Gas in the field of internal combustion engines: First, Oxy-hydrogen Gas is added to the Shale Gas Engine. Liu et al. [16] studied the burning stability of the rock gas engine to add Oxy-hydrogen Gas, specifically analyzed the impact of Oxy-hydrogen Gas content on the pressure and heat inspiration process of the shale gas engine cylinder, discussed the burning cycle trend, and evaluated the dynamic characteristics of combustion processes. The impact of the Oxy-hydrogen Gas content was demonstrated by the flame spread stability in the cylinder. The results show that: as the Oxy-hydrogen Gas blending ratio increases, the pressure in the cylinder increases, the heat release rate and engine burning stability increases, the average indicator pressure distribution range decreases, and the pressure change coefficient of pressure during the combustion stage decreases. Secondly, in the application of commercial cars, Jaklinski and Czarnigowski [17] added Oxy-hydrogen Gas to five different car engine air intake systems to study its impact on the emission of automotive gas pollutants. In the results, the concentration of HC in the exhaust gas of each car shows that adding Oxy-hydrogen Gases to the original fuel, disregarding the refueling method and technology, can reduce the concentration of unburdated hydrocarbons. The NOX concentration of each car shows that the amount of NOX depends on the refueling method after adding Oxy-hydrogen Gas in the raw fuel. In an indirect SI engine, adding Oxy-hydrogen Gas to the air intake system can reduce the NOX concentration. In Fiat’s non-feedback oil, the concentration of nitrogen oxide is almost unchanged, but if Oxy-hydrogen Gas is added to the intake system of the CI engine, the concentration of nitrogen oxide will be increased. Kenanoğlu and Baltacioğlu [9] used Oxy-hydrogen Gas in the gas turbine, and studied the effects of adding ammonia and Oxy-hydrogen Gas mixed gas to gas turbines. They use the gas turbine standard fuel propane and pure ammonia, and mixed 3 L/min, 5 L/min, and 7 L/min Oxy-hydrogen Gas and 10 L/min ammonia gas fuel. The results show that hydroxyl enrichment leads to improved performance data and emission values due to the absence of any carbon emissions. The results show that the power values of NH3 + 3HHO and NH3 + 5HHO fuels are 10.98% and 3.65% lower than propane, respectively, while the power value of NH3 + 7HHO fuel is 4.12% higher than propane, reaching the expected performance value. In addition to improving the performance and eliminating carbon emissions, nitrogen oxide emissions should also be controlled. Nabil and Khairat Dawood [18] proposed that Oxy-hydrogen Gas can be used to replace LPG, or LPG mixed with Oxy-hydrogen Gas can replace the LPG traditionally used for home cooking. Experimental data calculations show that mixing LPG with Oxy-hydrogen Gas mixed gas for home cooking will reduce the LPG consumption by 40%, on average. At the same time, it was found from experimental tests that after mixing liquefied petroleum gas and Oxy-hydrogen Gas, it can be used as home cooking gas without the need to replace a new burner. Traditional LPG furnaces can be adapted to burn Oxy-hydrogen Gas alone by using new burners with smaller ports to reduce the gas release rate (0.5–0.7 mm).
This article constructs an Oxy-hydrogen Gas flame injection coal powder combustion testing device, uses a thermocouple temperature inspection instrument and a Fourier infrared flue gas analyzer to test and analyze the temperature changes and CO concentration changes during the coal powder ignition under a Oxy-hydrogen Gas ignition mode, and explores the sensitivity of the NO generation during a coal powder gasification combustion under an Oxy-hydrogen Gas ignition.

2. Experiment Research

2.1. Materials and Methods

The coal powder used in this article was purchased from bituminous coal in Fushun City, Liaoning Province, China, with a coal powder particle diameter of 0.085 mm. The Proximate and elemental analysis results of coal powder are shown in Table 1 and Table 2, respectively. The benchmark used in the coal analysis equipment in this article is Air Dried Basis, abbreviated as ad, which refers to coal that reaches an equilibrium with air humidity as the benchmark. A coal quality analysis usually measures the values on an air-dried basis, as using coal samples in an air-dried state can avoid the influence of moisture on the results, making the various indicator values of coal samples measured by different units in different environments comparable. According to the data in Table 1, we can find that the components of fixed carbon and volatile matter in bituminous coal are relatively high. Volatile matter is a gas substance precipitated by the decomposition of organic matter during the heating process of coal powder, where the higher volatile matter can promote the rapid ignition of coal powder. Fixed carbon is a non-volatile organic substance in coal, and the higher its content, the more combustible it is in coal, and the greater the heat it can release. According to the data in Table 2, excluding the content of carbon, we can find that hydrogen and oxygen in bituminous coal powder is relatively high and accounts for more than 10%.
The thermogravimetric analysis of bituminous coal powder is a test and analysis of the quality changes and thermal effects of coal powder under certain atmosphere and heating conditions. Through this analysis, the quality changes and heat generation patterns during the coal powder heating process can be obtained. This article uses the thermogravimetric method to analyze the combustion reaction of coal, and the experimental instrument is a synchronous thermogravimetric/differential thermal analyzer (STA449C comprehensive thermal analyzer, NETZSCH, Selb, Germany). The temperature range is set from 25 °C to 1200 °C, the heating rate is 20 °C/min, and the atmosphere is air. The combustion process of coal is mainly divided into the following stages: as the temperature increases, the coal is first heated and dried. When the temperature continues to rise, volatiles are analyzed, and the temperature continues to rise. The volatiles and fixed carbon are burned until they are completely burned. By conducting the thermogravimetric analysis of coal, parameters such as ignition temperature, maximum weight loss rate temperature, burnout temperature, and combustion time of different coal samples are obtained to determine the difficulty of coal powder combustion.
Through Figure 1, the ignition temperature, maximum weight loss rate temperature, burnout temperature, and combustion time of different coal samples can be analyzed to determine the difficulty of coal powder combustion. The ignition temperature directly reflects the difficulty of coal combustion, and the higher the ignition temperature, the more difficult it is for coal to ignite. The maximum weight loss rate point is another important parameter that characterizes the characteristics of coal. This point corresponds to the fastest combustion rate point in the reaction process, which is the point corresponding to the lowest peak on the DTG curve. The height of the combustion peak corresponds to the magnitude of the weight loss rate, and its corresponding temperature is the maximum weight loss rate temperature. The burnout temperature is the temperature at which 98% of the combustible components of coal are burned. Generally, the lower the burnout temperature, the better its burnout performance. The combustion time of coal powder also directly reflects the difficulty of coal powder combustion. The later the start of coal powder combustion and the longer the interval between the start and end of the combustion, the more difficult it is to burn coal powder. From Figure 1, it can be observed that the weight loss rate of bituminous coal is 83.5%, the ignition temperature is around 440 °C, the burnout temperature is 627 °C, and the fastest weight loss temperature is 508 °C. During a thermogravimetric analysis of coal powder samples, it was found that both TG and DTG curves have maxima at temperatures between 200 and 350 °C. The reason for this phenomenon is that coal powder decomposes and releases a large number of gas-phase products near the weight increasing temperature, leading to a sudden increase in local pressure.
The experimental system mainly consists of four parts: An Oxy-hydrogen Gas generator and combustion gun, coal powder spiral conveying device, combustion chamber, and measurement equipment, as shown in Figure 2. The system workflow is as follows: the positive and negative electrodes of the Oxy-hydrogen Gas generator electrolytic cell are fed with a direct current, and water is electrolyzed into Brown gas, which is then ignited at the outlet of the Oxy-hydrogen Gas burner; coal powder falls uniformly through the screw feeder under the vibration of the electric motor. The primary air carries the falling coal powder into the combustion chamber through the channel, and the coal powder quickly burns under the high-temperature active atmosphere generated by the Oxy-hydrogen Gas flame; when the concentration of coal powder changes, the stable combustion of Oxy-hydrogen Gas with a variable flow rate can be achieved by adjusting the coal powder-conveying motor, Oxy-hydrogen Gas mass flow meter, and primary air mass flow meter.

2.1.1. Oxy-Hydrogen Gas Generator and Combustion Gun

The core principle is to generate Oxy-hydrogen Gas through the electrolysis of water, with a rated power of 300 W, a rated voltage and current of 220 V and 14 A, respectively, and a maximum gas production of 5 L/min. The electrolyte is an NaOH solution; the electric thermal conversion efficiency of the Oxy-hydrogen Gas generator is about 81%, and the gas production remains stable. Oxy-hydrogen Gas has a fast combustion speed and is easy to backfire. To ensure experimental safety, a special burner is used. The structure of the mixed combustion gun mainly consists of a combustion nozzle, needle valve, and fire prevention device. The diameter of the combustion nozzle is 0.8 mm, and porous ceramics are placed between the valve and the outlet as fire prevention devices to achieve the stable combustion of Brown gas.

2.1.2. Coal Powder Spiral Conveying and Primary Air Coal Powder Airflow Optimization Device

The coal powder spiral conveying device mainly consists of a material extraction cylinder, a spiral pumping screw, a coal powder funnel, and a driving motor. The main body is a cylinder with a diameter of 36 mm and a length of 106 mm. The material conveying screw rod is placed inside the material extraction tube and driven by a deceleration motor with a speed of 3 revolutions per minute. This device can control the powder feeding amount of the system and avoid the phenomenon of air leakage in the primary air. The primary air coal powder airflow optimization device is fed by the powder feeder into the system. The coal powder is combined with the primary air airflow in a plastic pipe with a diameter of 25 mm, and then sent into the combustion chamber through a specially designed right angle bend. In order to ensure the smooth transportation of primary coal powder airflow and the formation of concentrated phase coal powder, guide plates, swirl blades, and coal powder concentration rings are arranged inside the bend.

2.1.3. Combustion Chamber

The high-efficiency combustion chamber is made of high-temperature resistant quartz glass and is divided into two combustion chambers. The first combustion chamber is 200 mm long and 28 mm in diameter; the second combustion chamber has a length of 200 mm and a diameter of 60 mm. We install a 6 mm diameter air inlet at the junction of the first and second combustion chambers, and during combustion, a secondary air is formed due to the pressure difference, allowing the remaining coal powder to fully burn. Three probes are installed along the axial direction in the combustion chamber, from bottom to top, to connect a temperature inspection instrument and a Fourier transform infrared flue gas analyzer, respectively, and test the temperature and product concentration inside the chamber.

2.1.4. Measurement Equipment

Gasmet Dx4000 portable Fourier transform infrared flue gas analyzer (Temet Company, Helsinki, Finland) uses a Fourier transform infrared spectroscopy analysis principle to conduct an online real-time analysis of unknown component gases, and measures and analyzes the components and concentrations of gases with spectral absorption in the mid-infrared range (900–4200 cm−1), except for diatomic co-nuclear molecules. The scanning speed is extremely fast, scanning 10 times per second. The 5.0-meter optical path results in a detection limit of less than 1ppm and an analysis accuracy of ±3% of the corresponding calibration range. The analysis chamber automatically maintains a constant temperature of 180 °C, avoiding the influence of condensate on the analysis.
China Yongpeng YP5008G multi-channel temperature tester (Zctek, Changzhou, China): The thermocouple used is a K-type armored thermocouple, with a temperature probe diameter of 1 mm, temperature measurement ranges of −40 °C–1300 °C, and a temperature measurement accuracy of ≤±1.5 °C. In addition, a dual channel thermocouple temperature measurement recorder was used to record the temperature data of the thermocouple. Its model is YET-620, with an accuracy of ±0.1 °C.

2.2. Calculation

The preheating of the coal powder airflow can be divided into two processes. In the first preheating zone, the coal powder airflow is heated by the Oxy-hydrogen Gas combustion flame to reach the usual temperature for a coal powder volatilization analysis. After leaving the first preheating zone, the coal powder airflow enters the reaction zone. At this time, a large amount of combustible gas is filled around the coal powder particles. At the same time, the Oxy-hydrogen Gas flame continues to heat the coal powder, and the volatile combustible gas is burned. The coal powder is further heated in the reaction zone, reaching the ignition temperature of the coal powder airflow and entering the coke combustion zone to mix with the secondary air, achieving a stable combustion of coal powder. During this process, the high-temperature water vapor generated by Oxy-hydrogen Gas combustion can enable the early gasification of coal powder and shorten the ignition delay time of coal powder.
To achieve deep peak shaving and a stable combustion of coal-fired units, there will be poor combustion stability of the boiler, a decrease in the furnace temperature at low loads, difficulty in the ignition of coal powder, poor flame stability, and easy extinguishing. Therefore, the key to achieving coal powder ignition and the stable combustion of Oxy-hydrogen Gas burners is to maintain a stable temperature inside the combustion chamber under the optimal combination of the Oxy-hydrogen Gas flow rate, primary air flow rate, and coal powder mass flow rate. When the primary air volume is constant, we adjust the heat released by the Oxy-hydrogen Gas combustion flame (changing the Oxy-hydrogen Gas flow rate) to compensate for the temperature drop in the combustion chamber caused by the decrease in the coal powder concentration, and avoid the combustion instability or even flameout of the burner. The formula for the ignition heat of the coal powder airflow is shown in Equation (1) [19].
Q z h = B b V 1 c k 100 q 4 100 ( t z h t 0 ) + c g m 100 M t 100 ( t z h t m ) + M t 100 2512 + c q ( t z h 100 ) + 4.186 ( 100 t m )
where, Bb is Coal consumption for Oxy-hydrogen Gas burner, kg/s; V1 is the primary air volume required per unit mass of coal powder, Nm3/kg; ck is air specific heat capacity, J/(kg⋅K); q4 is Incomplete mechanical loss of combustion chamber, %; Mt is The received moisture content of coal, %; cgm is Specific heat capacity of dry coal, KJ/(kg⋅K); cq is Specific heat capacity of water vapor, J/(kg⋅K); tzh is the ignition temperature of coal powder airflow, °C; tm is initial temperature of coal powder, °C; to is Initial temperature of primary air, °C.
Replace the ignition temperature of the coal powder airflow at 447.75 °C with Equation (1), and the relationship between the ignition heat of the middling coal powder in the burner and the coal consumption is finally calculated as Equation (2):
Q zh = 2481.54 × B b
Oxy-hydrogen Gas is composed of hydrogen and oxygen in a ratio of 2:1, and the thermochemical reaction equation is shown in Equations (3) and (4):
2 H 2 + O 2 = 2 H 2 O
Δ H = 489.6 K J m o l 1
The heat released by the Oxy-hydrogen Gas combustion is shown in Equation (5):
Q H H O = q H H O 22.4 × 2 3 × 1 60 × Δ H 2
where Q H H O : Oxy-hydrogen Gas combustion heat release, K W ; q H H O : Oxy-hydrogen Gas flow rate, L / min .
To maintain a stable temperature inside the combustion chamber, assuming that other boundary conditions remain unchanged, it can be concluded that Equations (6) and (7):
Δ Q zh + Δ Q H H O = 0
Δ Q a , p = Q c o n + Q r a d + Q c o m + Q e x
Using a 0.36 coal powder concentration as the standard operating condition, the ignition heat of the coal powder airflow is 0.6303 KW. Substituting Equations (3) and (5) into Equation (6) can obtain Equation (8):
q H H O = 5.7458 0.2523 B b
According to Equation (8), the experimental conditions for determining different coal powder concentrations are shown in Table 3.

3. Results and Analysis

3.1. Temperature Distribution Characteristics of Combustion Chamber under Different Oxy-Hydrogen Gas Flow Rates

Figure 3 shows the average temperature distribution curves of the combustion chamber under the heating of the Oxy-hydrogen Gas combustion flame when the combustion chamber is ignited at 1.6 L/min, 1.9 L/min, and 2.1 L/min without coal powder. By comparing the three curves, it can be found that the trend of the curve changes is similar, with the temperature showing a trend of first increasing and then decreasing, with the increase in height being between 0 m and 0.4 m. The main reason is that the Oxy-hydrogen Gas combustion is a high-speed jet flame, which creates a recirculation zone around the flame, and heat is sucked up. A large amount of heat is concentrated at the top of the Oxy-hydrogen Gas flame, and then the heat dissipation effect of the quartz tube causes the temperature to decrease. The highest temperature in the middle of the combustion chamber can reach around 840 K, meeting the temperature requirements of the coal powder gasification combustion.
At the same time, we are also concerned about the average temperature distribution in the first combustion chamber, as the concentration of the coal powder changes with the oxygen–hydrogen gas flow rate, and the coal powder undergoes an initial gasification combustion in the first combustion chamber. We take an average of 6 values for the flow rate of Oxy-hydrogen Gas within the range of 1.0 L/min to 3.5 L/min; the coal powder concentration has three values, which are: 12.97 g/min, 15.24 g/min, and 16.81 g/min. We set two measurements in the first combustion chamber, arrange thermocouples, and take the average value to represent the temperature in the first combustion chamber. According to the test results shown in Figure 4, as the oxygen–hydrogen gas flow rate increases from 1.0 L/min to 3.5 L/min, the temperature in the combustion chamber of the three coal powder concentrations after the combustion first increases and then shows a downward trend. The reason for the temperature decrease is that the excessive oxygen–hydrogen gas flow rate generates too much water vapor, which can quickly reduce the reaction temperature, and sometimes even cause the oxygen–hydrogen gas combustion gun to stall. Comparing the three curves, the average temperature in the first combustion chamber is higher than other situations when the coal powder concentration is 15.24 g/min.

3.2. Influence of Oxy-Hydrogen Gas Combustion Atmosphere on Coal Powder Gasification

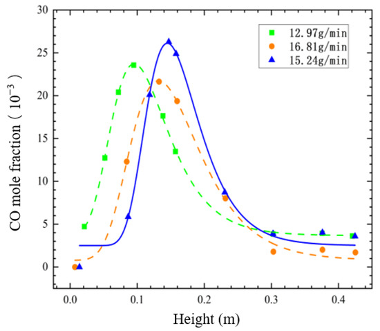
The combustion process of coal powder is quite complex, and it is mainly divided into two stages, which are, first, a volatilization analysis and combustion, and second, a combustion of coke particles. Coal powder enters the combustion chamber, evaporates when heated, and then evaporates. After volatilization, it diffuses outward and burns when it encounters oxygen molecules diffusing towards coal powder particles. The influence of volatile matter on the combustion of coal powder is very significant. Maintaining an appropriate volatile matter content plays an important role in improving the combustion efficiency and stability. Due to CO being a typical representative of coal powder volatiles, only the concentration of CO is compared.
Figure 5 shows the concentration distribution of the CO molar fraction along the axial direction of the combustion chamber, which is from bottom to top under three operating conditions. Through a comparison, it was found that the molar fraction of CO generated in operating condition 1 was consistently higher than that in operating conditions 2 and 3 at a combustion chamber height of H = 0 m–0.15 m. This is because, under this operating condition, the oxygen–hydrogen gas flow rate is the highest, the coal powder is less, and the flame heat rapidly heats up the approaching coal powder, producing more high-temperature water vapor and more CO during coal gasification. At a height of H = 0.15 m–0.2 m in the combustion chamber, the molar fraction of CO generated in operating condition 2 rapidly increases. At 0.2 m, due to the supplement of secondary air, it provides an oxidant for unburned coal powder, resulting in more complete combustion. The measured CO shows a decreasing trend. At the same time, due to the dilution of smoke at the air inlet of the combustion chamber by the supplement of secondary air, the molar fraction of CO also decreases. In the second combustion chamber, the coal powder is fully burned, and the molar fraction of CO is reduced to the lowest value of three operating conditions.
Therefore, the participation of Oxy-hydrogen Gas flame can accelerate the combustion of coal powder and promote the analysis of volatiles. The main reasons for this are believed to be as follows: (1) Oxy-hydrogen Gas flame is lit, producing a large number of free radicals H+ and OH during the combustion process, which can promote the breaking of coal molecular bonds and accelerate the precipitation of volatiles. (2) A high-temperature water vapor generates a water–gas reaction and the following chain reaction with H2 as the activation core, as shown in Equations (9)–(14) [20].
H 2 + M 2 H + M
(M represents other substances that can initiate the reaction).
H 2 O + H O H + H 2
H 2 O + O O H + O H
H 2 + O H + O H
H + O 2 O + O H
C O + O H H + C O 2
The above reactions increase the combustion rate of coal powder, and at higher temperatures, the water gas reaction is stronger, resulting in a higher mole fraction of the CO precipitation. Based on the above analysis, it can be concluded that under the action of the Oxy-hydrogen Gas ignition method, the Oxy-hydrogen Gas flame and the high-temperature water vapor generated after combustion can promote the pyrolysis and gasification of coal powder, effectively reducing the ignition delay time of coal powder. At the same time, under the action of Brown gas, coke cracking increases the amount of CO precipitation, increasing the combustion efficiency of coal powder.

3.3. Effect of Oxy-Hydrogen Gas Ignition on Temperature

We ignite Oxy-hydrogen Gas with a flow rate of 2.1 L/min in the combustion chamber, and after the combustion chamber temperature stabilizes, we introduce coal powder with flow rates of 12.97 g/min, 15.24 g/min, and 16.81 g/min, respectively. The coal powder is instantly ignited in the combustion chamber, and the temperature distribution curves of the combustion chamber under different coal powder concentrations are obtained, as shown in Figure 6. Under three different coal powder flow rates, the temperature change trend in the combustion chamber is basically consistent. The temperature in the first combustion chamber gradually increases, and the highest achievable values are 1075 K, 1156 K, and 918 K, respectively. Subsequently, the temperature in the combustion chamber gradually decreases. When the coal powder flow rate reaches 16.81 g/min, the average temperature inside the combustion chamber is the lowest, indicating that the amount of coal powder is too large, resulting in the inability of the Oxy-hydrogen Gas flame to ignite the coal powder. In the second combustion chamber, although the temperature has decreased, due to the supplement of secondary air, the remaining coal powder in the second combustion chamber can still be burned, and the temperature is maintained above 850 K.
For example, when the coal powder flow rate is 15.24 g/min, the temperature of the combustion chamber rises sharply. At a distance of 0.15 m from the inlet of the combustion chamber, the temperature of the combustion chamber reaches 1156 K; along the axial direction of the combustion chamber, the temperature gradually decreases and stabilizes at around 850 K. This is because at this time, when the coal powder airflow passes through the Oxy-hydrogen Gas flame, the coal powder temperature rises sharply and undergoes instantaneous gasification. The main combustible gas for gasification, CO, burns rapidly, releasing a large amount of heat to increase the combustion temperature. Finally, the secondary air causes all volatile gases to burn, indicating that under the action of the Oxy-hydrogen Gas flame, the coal powder undergoes gasification. The process of volatile combustion ultimately achieves the ignition. Through a comparison, it was found that the ignition flow rate of Oxy-hydrogen Gas is 2.1 L/min, which corresponds to the highest temperature that the combustion chamber can reach when the coal powder flow rate is 15.24 g/min. At this time, the coal powder concentration is the optimal coal powder concentration, achieving a stable combustion at lower coal powder concentrations.
In addition, it is well known that coal is a fossil fuel with a high carbon content. During the coal combustion, carbon dioxide is one of the important emissions, which has a negative impact on climate change. We are also concerned about the final production of CO2 after coal powder combustion under three operating conditions in the Oxy-hydrogen Gas ignition mode. We connect the high-temperature flue gas collection hood to the outlet of the second combustion chamber. The flue gas generated by the coal powder is collected by the collection hood, filtered, and dried, and then sent to the Fourier transform infrared online flow gas analyzer to detect the mass concentration of carbon dioxide. The results are shown in Figure 7. We set a temperature detection probe in the middle position of the second combustion chamber to test the temperature situation in the second combustion chamber under three working conditions. The results are shown in Figure 8. Condition 1 has the lowest coal powder concentration. Under the catalytic combustion of 1.6 L/min Oxy-hydrogen Gas, the percentage of CO2 emissions is the smallest, and the temperature value in the middle of the second combustion chamber is 831K, which meets the requirements for the coke combustion. Working condition 3 has a coal powder concentration 9.3% higher than working condition 2, a CO2 emission 3.1% lower, and a temperature difference of only 21 K. Due to the fact that the calorific value of Oxy-hydrogen Gas is about 4.4 times that of bituminous coal, increasing the amount of Oxy-hydrogen Gas can maintain the temperature inside the combustion chamber, keeping it basically unchanged, and reduce CO2 emissions as the coal powder concentration decreases.

3.4. Effect of Oxy-Hydrogen Gas Ignition Method on NO Generation during Coal Powder Combustion

This article uses the sensitivity analysis module in the Chemkin-Pro software (2023 R1 version) to simulate and study the highly sensitive reaction of the NO generation during coal gasification under the action of water vapor that is under the Oxy-hydrogen Gas ignition mode. Due to the complex composition of the coal powder combustion, which includes volatile matter, coal coke, tar, and fixed carbon during the combustion process, in the CHEMKIN simulation, we input the gas-phase products of the coal powder pyrolysis as reactants into the model settings. The model we adopted is the plug flow reaction in the flow reactor. The residence time of particles in the reactor is 1 s. In this model, the pyrolysis products of the pulverized coal flow into the reactor at a stable flow rate. In the plug flow reactor, the product concentration will not change with the axial height, but will flow along the radial section in one dimension. The mechanism we used in the simulation and the reaction rate constants of each elementary reaction all come from the GRI-Mech 3.0 chemical reaction mechanism. The rate coefficients of each elementary reaction in the combustion are determined by A, n, and E. The equation is as follows:
k = A T n exp ( E R T )
In the formula, k is the reaction rate constant at temperature T; A is the pre exponential factor; T is the reaction temperature; n is the temperature index; E is the activation energy, J/mol; R is the molar gas constant, J/(mol · K).
The results are shown in Figure 9. The sensitivity coefficient of the elementary reaction R179 (N + O2 → NO + O) to NO generation is the highest, occupying a dominant position. The reason for this may be that the combustion of Oxy-hydrogen Gas produces high-temperature water vapor, which expands the surface pores of coal and increases its contact area with O2. O2 has a significant effect on the NO generation. At the same time, the sensitivity coefficient of the elementary reaction R180 (N + OH → NO + H) to NO generation is second, possibly because as the Oxy-hydrogen Gas flow rate increases, the Oxy-hydrogen Gas flame is rich in a large number of OH groups, and the extremely active OH groups react with N, promoting the generation of NO. We found in the experiment that the entry of more air promotes an increase in the NO generation, which also confirms the positive promoting effect of R179 on the NO generation; similarly, with the increase in the hydrogen and oxygen flow rate, the amount of NO generated will also increase. The increase in hydrogen and oxygen is accompanied by higher temperatures and more water vapor. Water vapor will be converted into a large number of OH radicals at high temperatures. OH radicals participate in chain reactions, generating more NO, which is exactly what R180 aims to express.
The possible pathways for NO formation are shown in Figure 10. HCN and NCO are key precursors of NO, both produced by Char-N and reacting with H, OH, and O radicals to generate NO. Both HCN and NCO can be directly converted into NO, and can also react with active free radicals through more complex routes to generate NO. The simulation results show that NCO plays a dominant role in the nitrogen conversion pathway, and many species can be further oxidized to NO when oxidized to NCO. In the reaction pathway diagram, it can be observed that O, H, and OH radicals play an important role in the nitrogen conversion pathway. Combined with a sensitivity analysis, it can be observed that the increase in the concentration of these three active radicals promotes the progress of most reactions. This also explains that besides the R179 (N + O2 <=> NO + O) reaction, the R122 (C + O2 <=> O + CO) reaction has the highest sensitivity coefficient. R239 (C + N2 <=> CN + O) will produce CN. Observing the chemical reaction pathway diagram, it can be observed that CN will react with O radicals to produce NO, thus it also has a high sensitivity coefficient. Although R180 (N + OH <=> NO + H) directly generates NO, OH radicals are consumed in the reactants; thus, the sensitivity coefficient is not as high as R179.

4. Conclusions

  • The innovation of this article lies in providing a design scheme for the Oxy-hydrogen Gas assisted stable and clean combustion of coal powder. Oxygen–hydrogen gas is produced by the electrolysis of water, which is clean and pollution-free. On the one hand, the high-temperature flame and steam generated after the combustion of Oxy-hydrogen Gas promote the gasification and combustion of coal powder. On the other hand, during the low concentration combustion of coal powder, Oxy-hydrogen Gas can also be used as an alternative fuel to supplement the decrease in the combustion chamber temperature caused by the decrease in the coal powder quantity.
  • After calculation and experimentation, it was found that under the 1.6 L/min, 1.9 L/min, and 2.1 L/min Oxy-hydrogen Gas flames, the temperature in the combustion chamber increases with the increase in the Oxy-hydrogen Gas flow rate. The temperature in the first combustion chamber can reach above 750 °C under all three flow rates, which meets the temperature determined by the volatilization analysis during the coal powder gasification, achieving the preheating and ignition process of coal powder.
  • When the concentration of coal powder varies within a range from 0.32 to 0.27, an increase of 4.8% in the Oxy-hydrogen Gas flow rate can maintain the combustion chamber temperature of about 800 °C, achieving stable combustion conditions for the coal powder. At a coal powder concentration of 0.32 (kg coal/kg air) and an Oxy-hydrogen Gas flow rate of 2.1 L/min, with a powder supply of 15.24 g/min, the combustion chamber temperature reaches a maximum of 1156 K, which is the optimal coal powder concentration.
  • The high-temperature water vapor atmosphere generated by the Oxy-hydrogen Gas combustion has a promoting effect on the coal powder combustion, which can promote the volatilization analysis of coal powder, shorten the volatilization analysis time, and improve the combustion efficiency of coal powder.
  • Under the Oxy-hydrogen Gas ignition method, the most sensitive elementary reactions for NO generation during coal gasification combustion are R179 and R180, while the most influential groups are O2 and OH, respectively.

Author Contributions

Conceptualization, H.Z.; Software, Z.X.; Investigation, S.Y.; Data curation, H.P.; Writing—original draft, J.C.; Writing—review & editing, Y.X.; Visualization, W.X.; Supervision, Y.F. All authors have read and agreed to the published version of the manuscript.

Funding

Science and Technology Project of Shenyang Science and Technology Bureau (22-322-3-20); Project of Science and Technology Department of Liaoning Province (2022-MS-304 and 2023021147-JH2/1017); Shenyang Young and middle-aged Science and Technology Innovation Talent Support Project (RC210010).

Data Availability Statement

The datasets generated or analyzed during this study are available from the corresponding author on reasonable request.

Conflicts of Interest

The authors declare no conflict of interest.

References

  1. Duan, W.T. Current situation and sustainable development of coal resource utilization. Min. Equip. 2022, 2, 134–135. [Google Scholar]
  2. Wang, K.; Song, Y.L. Discussion on deep peak shaving and flexibility transformation of coal-fired power units under the “dual carbon” goal and boiler side technology. Spec. Equip. Saf. Technol. 2023, 2, 4–6. [Google Scholar]
  3. Guo, W.; Lin, B.C.; Lv, Z.J. Comparison of micro oil ignition and plasma ignition technologies for coal-fired power plant boilers. China Equip. Eng. 2019, 20, 161–163. [Google Scholar]
  4. Qiang, S.G.; Yu, J.H. Economic analysis of the application of micro oil ignition technology in small coal powder boilers. Sci. Technol. Innov. 2020, 10, 162–163. [Google Scholar]
  5. Li, G.F. Application analysis of plasma ignition technology in power plant boilers. Technol. Innov. Appl. 2015, 14, 94. [Google Scholar]
  6. Takyi, S.A.; Zhang, Y.; Si, M.; Zeng, F.; Li, Y.; Tontiwachwuthikul, P. Current status and technology development in implementing low carbon emission energy on underground coal gasification (UCG). Front. Energy Res. 2023, 10, 1051417. [Google Scholar] [CrossRef]
  7. Lozynskyi, V. Critical review of methods for intensifying the gas generation process in the reaction channel during underground coal gasification (UCG). Min. Miner. Depos. 2023, 17, 67–85. [Google Scholar] [CrossRef]
  8. Jami, P.; Murugan, S. Oxy-hydrogen gas as an alternative fuel for heat and power generation applications—A review. Int. J. Hydrogen Energy 2021, 46, 37705–37735. [Google Scholar]
  9. Raif, K.; Ertugrul, B. An experimental investigation on hydroxy (HHO) enriched ammonia as alternative fuel in gas turbine. Int. J. Hydrogen Energy 2021, 46, 29638–29648. [Google Scholar]
  10. Riaza, J.; Álvarez, L.; Gil, M.V.; Pevida, C.; Pis, J.J.; Rubiera, F. Effect of oxy-fuel combustion with steam addition on coal ignition and burnout in an entrained flow reactor. Energy 2011, 36, 5314–5319. [Google Scholar] [CrossRef]
  11. Cai, L.; Zou, C.; Liu, Y.; Zhou, K.; Han, Q.; Zheng, C. Numerical and experimental studies on the ignition of pulverized coal in O2/H2O atmospheres. Fuel 2015, 139, 198–205. [Google Scholar] [CrossRef]
  12. Zou, C.; Cai, L.; Wu, D.; Liu, Y.; Liu, S.; Zheng, C. Ignition behaviors of pulverized coal particles in O2/N2 and O2/H2O mixtures in a drop tube furnace using flame monitoring techniques. Proc. Combust. Inst. 2015, 35, 3629–3636. [Google Scholar] [CrossRef]
  13. Marek, E.; Świątkowski, B. Experimental studies of single particle combustion in air and different oxy-fuel atmospheres. Appl. Therm. Eng. 2014, 66, 35–42. [Google Scholar] [CrossRef]
  14. Boulahlib, M.S.; Medaerts, F.; Boukhalfa, M.A. Experimental study of a domestic boiler using hydrogen methane blend and fuel-rich staged combustion. Int. J. Hydrogen Energy 2021, 46, 37628–37640. [Google Scholar] [CrossRef]
  15. Gu, X.; Cheng, M.; Zhang, X.; Zeng, Y. The pollutant discharge improvement by introducing HHO gas into biomass boiler. Int. J. Hydrogen Energy 2021, 46, 23292–23300. [Google Scholar] [CrossRef]
  16. Liu, S.; Zhang, L.; Wang, Z.; Hua, L.; Zhang, Q. Investigating the combustion stability of shale gas engines under, H.H.O. Fuel 2021, 291, 120098. [Google Scholar] [CrossRef]
  17. Jaklinski, P.; Czarnigowski, J. An experimental investigation of the impact of added HHO gas on automotive emissions under idle conditions. Int. J. Hydrogen Energy 2020, 45, 13119–13128. [Google Scholar] [CrossRef]
  18. Nabil, T.; Khairat Dawood, M.M. Enabling efficient use of oxyhydrogen gas (HHO) in selected engineering applications; transportation and sustainable power generation. J. Clean Prod. 2019, 237, 117798. [Google Scholar] [CrossRef]
  19. Wei, X.L. Analysis of ignition mechanism of coal powder airflow and optimal coal powder concentration. Combust. Sci. Technol. 2022, 28, 639–651. [Google Scholar]
  20. Ma, X.Q. Discussion on fuel water mixing and furnace spray combustion technology. China Energy 1997, 6, 23–25. [Google Scholar]
Figure 1. Thermogravimetric analysis of bituminous coal powder.
Figure 1. Thermogravimetric analysis of bituminous coal powder.
Processes 12 00692 g001
Figure 2. Oxy-hydrogen Gas coal powder ignition and stable combustion system diagram. (a) Experimental Process Diagram; (b) Experimental site diagram.
Figure 2. Oxy-hydrogen Gas coal powder ignition and stable combustion system diagram. (a) Experimental Process Diagram; (b) Experimental site diagram.
Processes 12 00692 g002
Figure 3. Average temperature distribution curve of combustion chamber under different Oxy-hydrogen Gas flow rates.
Figure 3. Average temperature distribution curve of combustion chamber under different Oxy-hydrogen Gas flow rates.
Processes 12 00692 g003
Figure 4. As the oxygen–hydrogen gas flow rate changes, the average temperature distribution changes in the first combustion chamber.
Figure 4. As the oxygen–hydrogen gas flow rate changes, the average temperature distribution changes in the first combustion chamber.
Processes 12 00692 g004
Figure 5. Distribution of CO precipitation concentration under different conditions.
Figure 5. Distribution of CO precipitation concentration under different conditions.
Processes 12 00692 g005
Figure 6. Temperature distribution curve of combustion chamber under different coal powder concentrations.
Figure 6. Temperature distribution curve of combustion chamber under different coal powder concentrations.
Processes 12 00692 g006
Figure 7. The concentration of CO2 emitted from the combustion chamber outlet under three conditions.
Figure 7. The concentration of CO2 emitted from the combustion chamber outlet under three conditions.
Processes 12 00692 g007
Figure 8. Maximum temperature of the second combustion chamber under three conditions.
Figure 8. Maximum temperature of the second combustion chamber under three conditions.
Processes 12 00692 g008
Figure 9. Sensitivity analysis of NO generation.
Figure 9. Sensitivity analysis of NO generation.
Processes 12 00692 g009
Figure 10. The possible pathways for NO formation.
Figure 10. The possible pathways for NO formation.
Processes 12 00692 g010
Table 1. Proximate analysis of coal powder.
Table 1. Proximate analysis of coal powder.
Proximate Analysis/(%)
Moisture, MVolatile Fraction, VAsh, AFixed Carbon, FC
1.1031.6911.7755.44
Table 2. Elemental analysis of coal powder.
Table 2. Elemental analysis of coal powder.
Elemental Analysis/(%)
Carbon, CHydrogen, HNitrogen, NOxygen, OSulfur, S
85.775.421.385.222.21
Table 3. Test conditions.
Table 3. Test conditions.
ConditionsPulverized Coal Concentration (kg/kg)Minimum Primary Air (L/min)Coal Powder Mass Flow Rate (g/min)Oxy-Hydrogen Gas Volume Flow Rate (L/min)
10.273612.972.1
20.323615.241.9
30.363616.811.6
Disclaimer/Publisher’s Note: The statements, opinions and data contained in all publications are solely those of the individual author(s) and contributor(s) and not of MDPI and/or the editor(s). MDPI and/or the editor(s) disclaim responsibility for any injury to people or property resulting from any ideas, methods, instructions or products referred to in the content.

Share and Cite

MDPI and ACS Style

Cui, J.; Zhao, H.; Xu, Y.; Yang, S.; Pan, H.; Xiao, W.; Fu, Y.; Xue, Z. Experimental Investigation on Oxy-Hydrogen Gas Flame Injecting Coal Powder Gasification and Combustion. Processes 2024, 12, 692. https://doi.org/10.3390/pr12040692

AMA Style

Cui J, Zhao H, Xu Y, Yang S, Pan H, Xiao W, Fu Y, Xue Z. Experimental Investigation on Oxy-Hydrogen Gas Flame Injecting Coal Powder Gasification and Combustion. Processes. 2024; 12(4):692. https://doi.org/10.3390/pr12040692

Chicago/Turabian Style

Cui, Jie, Honglei Zhao, Youning Xu, Shuo Yang, Honggang Pan, Wenke Xiao, Yudong Fu, and Zhijia Xue. 2024. "Experimental Investigation on Oxy-Hydrogen Gas Flame Injecting Coal Powder Gasification and Combustion" Processes 12, no. 4: 692. https://doi.org/10.3390/pr12040692

APA Style

Cui, J., Zhao, H., Xu, Y., Yang, S., Pan, H., Xiao, W., Fu, Y., & Xue, Z. (2024). Experimental Investigation on Oxy-Hydrogen Gas Flame Injecting Coal Powder Gasification and Combustion. Processes, 12(4), 692. https://doi.org/10.3390/pr12040692

Note that from the first issue of 2016, this journal uses article numbers instead of page numbers. See further details here.

Article Metrics

Back to TopTop