Next Article in Journal
Characterizing Novel Acetogens for Production of C2–C6 Alcohols from Syngas
Previous Article in Journal
Assessment of Antioxidant and Antibacterial Potential of Phenolic Extracts from Post-Distillation Solid Residues of Oregano, Rosemary, Sage, Lemon Balm, and Spearmint
 
 
Due to scheduled maintenance work on our servers, there may be short service disruptions on this website between 11:00 and 12:00 CEST on March 28th.
Font Type:
Arial Georgia Verdana
Font Size:
Aa Aa Aa
Line Spacing:
Column Width:
Background:
Article

Effect of the Curvature Radius on Single-Droplet Dynamic Characteristics within a Concave-Wall Jet

1
School of Mechanical and Power Engineering, Shenyang University of Chemical Technology, Shenyang 110142, China
2
School of Chemical Engineering & Technology, Tianjin University, Tianjin 300350, China
*
Author to whom correspondence should be addressed.
Processes 2024, 12(1), 141; https://doi.org/10.3390/pr12010141
Submission received: 15 December 2023 / Revised: 27 December 2023 / Accepted: 4 January 2024 / Published: 6 January 2024
(This article belongs to the Section Chemical Processes and Systems)

Abstract

The centrifugal force field in a hydrocyclone was affected by the concave-wall curvature radius R0, and the mechanism underlying droplet deformation was closely related to the mass transfer efficiency. Numerical simulation and experimental data were collected to reveal the deformation characteristics and mechanism of a single droplet crossing concave-wall jet. Normalized interfacial energy γ and stretching performance were provided to investigate the droplet deformation process. The results showed that the droplet was stretched along the streamwise direction and shrank along the spanwise direction in the concave-wall jet. The droplet interfacial energy and deformation were the largest when the droplet crossed the jet boundary at t = 0.20 s. The maximum γ value increased with the increase in R0 by 57.3% to 71.4%, and the distance between the droplet and concave wall increased with R0. The Q-criterion was exported to show the increase in the vortex strength with the decrease in R0 at the jet boundary. The pressure distribution inside the droplet showed that the pressure decreased as R0 increased, while the pressure difference increased along the streamwise and wall-normal directions. This study suggested that the droplet breakup was more difficult for a smaller R0, which was beneficial for liquid–liquid heterogeneous separation.

Graphical Abstract

1. Introduction

The liquid–liquid heterogeneous flow process is widely applied in the chemical industry [1]. An in-depth analysis of droplet deformation and breakup contributed to the design and optimization of dispersed multiphase flows [2]. Disruptive shear stress can be found at the jet boundary vortices. Droplet deformation or breakup was found to be caused by shear stress, and the mass transfer between the phases was determined by the droplet surface area [3,4,5]. To predict and evaluate the separation or mixing processes of multiphase flow, the droplet deformation mechanism was investigated to explore mass transfer processes, such as liquid–liquid heterogeneous phase mixing and separation.
When a droplet traverses a vortex, the uneven energy is transferred to the droplet surface from the vortex, which results in the deformation or breakup of a droplet. Andersson developed an energy criterion to predict droplet breakup, which occurred when the turbulent kinetic energy of the vortex attained a critical value. The energy-critical value was calculated using the interfacial energy of the mother drop, and the breakup criterion was defined as the interfacial energy increase for the drop-deformed complex [6]. Andersson revealed that the deformed drops attained a maximum value of interfacial energy before the breakup, and more energy was required to be transferred from the turbulent vortices for the breakup [7,8]. The drop breakup in the turbulent flow was mainly caused by the turbulent pressure fluctuation mechanism when the Ohnesorge number was less than 0.01. Chen et al. proposed that the drop breakup criteria depended on the degree of surface deformation prior to the breakup, and the relationship between turbulent eddies and drop breakup was established and quantified [9]. Han et al. proposed a theoretical model based on the theories of isotropic turbulence, which stated that drop breakup was based on an interfacial energy density increase [10]. As mentioned above, interfacial energy played a key role in the study of droplet deformation and breakup. The reason for drop breakup was that droplets were subject to large-scale deformations prior to breakup, and the surface oscillation was obvious.
Computational fluid dynamics (CFD) simulation has been widely used in the study of jet flow, and numerical simulation provides theoretical support to facilitate engineering applications. The k-ε turbulence models made more contributions to studying the large-scale vortices caused the jet flow [11,12,13]. However, the changes in small-scale vortices with time cannot be studied in depth. Direct numerical simulation (DNS) was gradually accepted in the study of liquid jets, but grid and time scales were unacceptable in industry computation [14,15]. Compared with different turbulence models, the prediction result of the pressure and reaction process using the LES model was found to be closer to the experimental results [16]. Bao et al. also pointed out that the LES model was more suitable for calculating liquid turbulent flow in a confined space [17]. Furthermore, the LES and VOF models were coupled to capture the phase interface of large-scale bubbles [18] and droplets [19]. The LES-VOF model provides an excellent simulation strategy for studying the effects of dynamic processes, such as the deformation, attraction, repulsion [20,21], and breakup [22,23] of discrete particles. Liu et al. used the LES-VOF model to investigate the primary breakup of a high-speed diesel jet, and the ligament and droplet formation processes were effectively captured and the effects of the surface wave characteristics and the liquid structure were revealed [24]. Saeedipour et al. suggested that the LES-VOF model effectively predicted local turbulence characteristics as well as the energy spectra and accurately calculated industrial problems of dispersed droplets under a coarse grid in heterogeneous flow with density contrasts [25]. Ouyang et al. revealed the breakup mechanism of fluid particles in turbulent flows based on the LES-VOF model, where droplets obtained more energy from the turbulent vortices into the breakup when the interfacial energy reached a critical value [26]. Zhang et al. used the LES-VOF model to describe the droplet deformation and breakup caused by vortices [27]. The above studies indicated that the LES-VOF model is recognized as a classic method to explain droplet dynamic characteristics.
Our previous research found that wall jet flow was affected by the curvature radius of a concave wall in two ways: the jet spread in the radial direction shrank and the instability at the jet boundary increased [27]. Within the potential studies on concave-wall jets, the intrinsic and extrinsic factors of droplet deformation were of particular interest to this paper. In industrial separation processes, the cross-section of a hydrocyclone is mainly circular in shape, and the diameter is designed according to graded particle size and pressure loss. Therefore, studying the curvature radius in a concave-wall jet is necessary to improve the liquid–liquid heterogeneous separation efficiency. The LES-VOF model was used to study the deformation mechanism of carbon tetrachloride (CCl4) droplets in a concave-wall jet with water as the continuous phase. The droplet dynamic characteristics were investigated based on the centrifugal force field that was created by the concave-wall jet with various curvature radii.

2. Numerical Simulation

2.1. Physical Models and Materials

Figure 1a depicts the falling process of a CCl4 droplet in a vertical cylinder filled with water. The jet inlet section was made into a semicircular shape with a radius of 15 mm (R = 15 mm), where θ = 0° was the circumferential coordinate of the jet inlet. Since this study focused on the localized flow near the concave wall at the jet inlet, the annular channel at −15° ≤ θ ≤ 35° was retained as the study domain considering the jet inlet effect, which is depicted in Figure 1b. The coordinate system in Figure 1b was converted from the cylindrical coordinate system in Figure 1a with the following conversion equation:
l = θ 180 π R 0
n = R 0 - r
where l is the streamwise coordinate, n is the wall-normal coordinate, and R0 is the curvature radius of the concave wall. The influence range of the wall jet and droplet trajectory was considered in order to improve calculation accuracy in this study. The range of the wall-normal was n ≤ 40 mm, and the spanwise range was limited to −60 mm ≤ z ≤ 60 mm. The streamwise dimension was affected by R0, where R0 was defined as 150 mm, 200 mm, 250 mm, 300 mm, and 400 mm based on the actual dimensions of the separation equipment.

2.2. Numerical Simulation Method and Boundary Conditions

The numerical framework was implemented in Ansys Fluent 16.2, and the unsteady turbulent flow was computed using a three-dimensional double-precision implicit solver. LES and VOF models were coupled to explore the fluid dynamics of CCl4 drop deformation in the concave-wall jet under purified water conditions. The physical properties of the binary system are described in Table 1. The VOF model relied on the discrete-phase volume fraction α, and the cell was situated at the heterogeneous interface when 0 < α < 1, indicating that the volume fraction of CCl4 was α and that of water was 1 − α. The continuity equations and the momentum equations shared by the continuous phase and the discrete phase were solved throughout the domain [22], and the body forces were treated referring to the continuum surface force model [28].
The PISO algorithm was used to deal with pressure–velocity coupling, and the PRESTO! scheme was applied for the pressure discretization in large eddy simulation. The momentum equation was discretized using the Bounded Central Differencing scheme. The geo-reconstruct scheme was utilized to track the phase interface in the computing cell. The dynamic adaptive approach was used to refine the droplet boundary mesh.
According to the actual operation of the hydrocyclone, the boundary conditions (refer to Figure 1b) were as follows: the jet inlet was set as the velocity inlet (uin). The analysis of the wall jet showed that the pressure in the wall jet region was much higher than that in the center of the vertical cylinder. For this reason, the interface between the computational domain and the surrounding fluid was defined as a pressure outlet, and the gauge pressure was approximately 0. The concave wall was set as the smooth and non-slip wall. A gravitational field with a magnitude of −9.81 m∙s−2 in the Z-direction was applied. In terms of the discrete-phase initialization, the CCl4 droplet was defined as a sphere for falling into the jet. The droplet center was arranged at z = 40 mm, n = 5 mm, and l = 10 mm from the jet inlet. Due to the short time that the study object was at the jet boundary, grid convergence and the time step were tested. The time-step size was set as a 10 μs unsteady calculation, and 200 computing steps were set as the maximum value to ensure convergence limited to 10−5 in each time step.

2.3. Mesh Division and Independence Analysis

To obtain a three-dimensional hexahedral grid, the computational domain was divided into two parts bounded by the jet inlet section. The flow domain in this study was meshed with ICEM CFD 16.2 software with refinement near the concave wall, as illustrated in Figure 2. The mesh independence analysis was performed in two steps: (i) the various grid densities were used for the same computational domains (Grid-1, Grid-2, Grid-3) and (ii) the various computational domain sizes were used for the same grid density condition (Grid-2, Grid-4, Grid-5). Due to the flow characteristic of the concave-wall jet, the droplet dynamics were greatly impacted by the spanwise size of the computational domain, and the effect of wall-normal size was smaller. Therefore, the spanwise sizes of Grid-2, Grid-4, and Grid-5 were adjusted to 120 mm, 80 mm, and 200 mm, respectively, while the wall-normal sizes remained the same.
The five grid schemes were applied to the case of a drop with dp = 5.6 mm, uin = 0.55 m∙s−1, and R0 = 300 mm, where the droplet surface area (Ap) was obtained from multi-time computational results. Maximum values of Ap were compared at the period of t = 0.00~0.30 s, and the specific simulation results are presented in Table 2. The simulation data indicates that the droplet maximum surface areas of Grid-2, Grid-3, and Grid-5 were similar when the identical computational settings were assessed. The Ap deviation of Grid-2 and Grid-3 was only 5.1%, while that of Grid-2 and Grid-5 was 4.7%. Considering the accuracy of the simulated data, the computational domain setting and meshing scheme of Grid-2 were selected to save computational time and storage space. The total number of meshes ranged from 1,005,855–1,061,886 for different structure models, and the mesh size near the concave wall was 0.05 mm.

2.4. Experimental Validation

Our team provided an experimental system utilized to capture images of the dynamic process of droplet deformation and breakup in a concave-wall tangential jet [29]. Figure 3a illustrates the experimental setup, which consisted of three components: a water jet system, a CCl4 droplet generator, and a real-time image acquisition system. The detailed dimensions of the test equipment are shown in Figure 3b. A lighting device was installed opposite to the camera to obtain clear images (see Figure 3a). CCl4 droplets with dp = 5.6 mm were chosen to fall from above the jet outlet (jet velocity uin = 0.55 m∙s−1) for experimental validation at an experimental temperature of T = 293.15 K and a curvature radius of the concave wall of R0 = 400 mm. A plate with multiple holes was installed at θ = −10° to generate a uniform velocity inlet uin = 0.55 m∙s−1. Both the top and bottom cross-sections of the cylinder were set as flow outlets.
In this experiment, the jet was stable. The volume of the single droplet is a vital uncertainty factor in this study, so the droplet uncertainty was analyzed. The peristaltic pump flow remained constant, and the droplet volume was proportional to time. The droplet flow between cumulative time was calculated, referring to gas flow standard facilities with the master meter method, and the droplet flow test formula is given as follows:
q i = V i t i = const
t = i = 1 n t i n
E t = i = 1 n t i t t 2 n 1 1 / 2 × 100 %
where qi is the peristaltic pump flow rate, t is the average time interval, and Et is the standard deviation, where Et = 3.9%.
In this study, the flow rate accuracy of the electromagnetic flowmeter and peristaltic pump are 0.5% and 1.0%, respectively. The measurement deviations in interfacial tension and the single droplet volume are 6.2% and 3.9%, respectively. The error of image post-processing is 2.9%. Thus, the uncertainty in the experimental data was calculated as 7.96% [30].
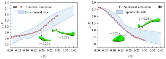
To reduce the deviation between numerical simulation and experimental results as much as possible, we used a grid division scheme with more grids and a larger computation domain. For the droplet boundary, dynamic gradient adaption approach was used to refine the boundary mesh to approximate the actual result. The consistency in the numerical simulation and experiment was verified using multiple experiments at the same time. Figure 4 establishes the experimental error bands and shows a comparison of the drop centroid position between the experimental data and simulation data. The numerical simulations performed in this paper were validated with data for which five droplets were obtained from the experiments, which proved the simulation precision using the LES-VOF model in foretelling the process of droplet deformation and breakup. The simulation result demonstrated similar trends as the experimental data concerning the relative positions of the drop centroid position and the jet inlet. All simulated data existed within the experimental data range, indicating the feasibility of using the numerical simulation scheme to describe the dynamic behavior of droplets passing through a concave-wall jet.

3. Results and Analysis

With a decrease in the concave wall curvature radius R0, the centrifugal force increased in the jet region and the jet expansion shrank along the wall-normal direction. The jet boundary flow was significantly influenced, and droplet behaviors at the jet boundary were inevitably affected by R0 for the heterogeneous phase flow.

3.1. Normalized Interfacial Energy

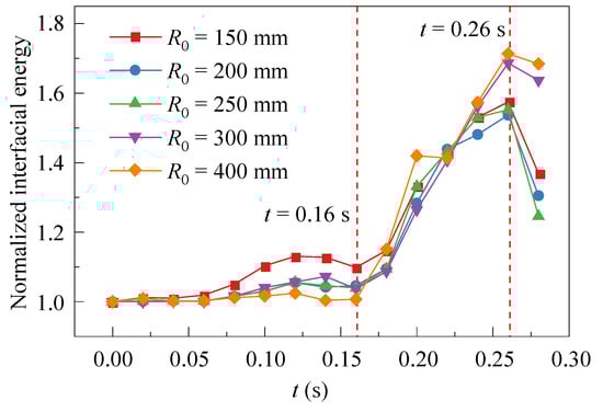
Previous studies showed that droplets interact with vortices in the flow field and the phase-interface contact area of droplets increases by consuming vortex energy [31]. In the concave-wall jet, the droplet was mainly stretched along the streamwise direction, and the heterogeneous interface area and interfacial energy increased. The interfacial energy was defined as the product of the interfacial tension coefficient and the instantaneous interfacial area. The normalized interfacial energy γ was a dimensionless parameter of droplet deformation.
γ t = σ A p σ A p 0 = A p A p 0
where Ap0 is the droplet area at the initial time t = 0 s, the droplet was spherical, and γ = 1.
To investigate the relationship between the normalized interfacial energy and droplet deformation to breakup, the γ value was analyzed, as shown in Figure 5. The droplet goes through three stages crossing the concave-wall jet: free-falling outside the jet, spreading at the jet boundary, and ultimately breaking in the jet. The interfacial energy changed significantly during these three stages. For the droplets in the free-falling stage at t ≤ 0.16 s, the interfacial energy increased slowly from γ = 1. The maximum increment in the interfacial energy was 2.5%~13.1%. When the droplet entered the jet boundary at t = 0.16~0.26 s, the interfacial energy of the droplet increased sharply. The breakup occurred at t ≈ 0.26 s, and the maximum increment in the interfacial energy was 53.7%~71.4%, which translated to γmax = 1.54~1.71. These results agree with the experimental estimate 1.26 < γ < 1.92 for droplet deformation before breakup [8]. The droplet entered the breakup stage after t > 0.26 s, and the mother droplet broke into daughter droplets, causing the total interfacial area to significantly decrease due to the shrinkage of the daughter droplets into an approximate ellipsoidal shape after breakage.
It can be seen from Figure 5 that the normalized interfacial energy was affected by the concave-wall curvature radius. The droplet fell outside of the jet at t ≤ 0.16 s, and the smaller the curvature radius of the concave wall in the free-falling stage, the larger the increment in the droplet interfacial energy and the larger the droplet deformation. At t = 0.16 s, the γ value of R0 = 400 mm decreased by 8.4% compared with that of R0 = 150 mm. After the droplet entered the jet boundary at t = 0.16~0.26 s, the interface area increased with the larger the curvature radius, and the larger the interfacial energy increment. At the moment t ≈ 0.26 s, the maximum interfacial energy was increased with R0: γmax = 1.54 when R0 = 200 mm and γmax = 1.71 when R0 = 400 mm. The result showed that a smaller R0 would still maintain a smaller interfacial energy when the droplet rushed into the concave-wall jet boundary. This explained why the hydrocyclone diameter was often designed as smaller, so the effect of the concave-wall curvature radius on a single droplet should be the basis for our investigation.

3.2. Deformation Properties

Both shear stress and normal stress are the keys to droplet breakup in turbulent flow [8]. When a droplet enters the jet boundary, the shear rate around the drop significantly changes. The shear rate is an important factor for droplet breakup. The concave-wall curvature radius played a crucial role in the distribution of shear stress and centrifugal force at the jet boundary, directly affecting the droplet dynamic behaviors. In our previous research [29], we found that droplet extension along the streamwise direction was caused by the wall jet velocity, and the stretching along the spanwise direction was caused by a high shear rate. To gain insight into the droplet deformation properties that are affected by the centrifugal force field, we analyzed the droplet deformation dimensions along the streamwise Ll and wall-normal Ln directions. Figure 6 shows the dimensionless size analysis based on the droplet’s initial diameter dp.
It can be seen that the droplet stretching processes were similar in different centrifugal force fields based on R0. Figure 6a shows the droplet deformation along the streamwise direction, where the deformation rate was accelerated when the droplet entered the jet region after t = 0.16 s. At t = 0.20~0.26 s, Ll of the droplet was longer with the increasing R0. In Figure 6b, the droplet was stretched Ln/dp = 0.9~1.2 at t ≤ 0.16 s. At t = 0.16~0.20 s, the droplet entered the jet boundary, and the droplet size was close to Ln/dp ≈ 1.0. At t ≥ 0.20 s, while the droplet was in the concave-wall jet, the droplet rapidly shrank along the wall-normal direction under the centrifugal force.
Based on Figure 5 and Figure 6, the results were summarized so that the droplet deformation process was divided into three stages. Outside the jet, the droplets were only subjected to the flow resistance of the continuous phase, and the spreading deformation occurred along the streamwise and wall-normal directions (Ln < Ll). Within the jet boundary, the shear rate in the streamwise direction was much greater than the wall-normal direction, and the droplets were stretched along the streamwise direction while Lndp. In the core area of potential flow, the centrifugal force field caused the droplets to approach the concave wall, and the droplets contracted along the wall-normal direction by the restricted wall. When Ln << Ll, the drop broke up into multiple daughter droplets. Therefore, this study focused on the droplet in the jet boundary at t = 0.20 s and investigated the influence of the concave-wall curvature on the droplet deformation mechanism.

3.3. Q-Criterion-Based Vortex Analysis of a Concave-Wall Jet

The Q-criterion is a well-established method for identifying vortices. Constantinescu et al. suggested that the second invariant of the velocity gradient tensor was defined as the quantity Q, and vortices can be pointed when Q > 0 [32]. To understand the droplet deformation process in the concave-wall jet, the Q-criterion was used to accurately locate the core of the vortices. Figure 7 shows the flow field at the critical moment (t = 0.20 s) when the droplet entered the jet boundary. In this study, a Q threshold of 53 s−2 (Level = 0.01) was selected to describe the vortices, and vortices with varying sizes can be found in the concave-wall jet boundary. The droplet was visualized using the isosurface of volume fraction of CCl4 α = 0.5 and colored black to indicate its location and shape.
According to the Q-criterion, we can observe the vortices generated at the jet boundary. It can be seen that the continuous-phase flow field was influenced by the concave-wall curvature radius. With an increased R0, the region of Q > 53 s−2 reduced, the distance between neighboring vortices grew larger, and the influence range of the vortices became narrower along the spanwise direction. The dimensionless velocity parameter u/uin revealed that the u/uin > 0.5 regions shrank both streamwise and spanwise directions, and the continuous-phase velocity in the vortices decreased. This also indicated that the vortex strength decreased as the concave-wall curvature radius increased.
At t = 0.20 s, the droplet exhibited a unique “high left and low right” shape, and a part of the droplet far from the jet inlet entered the jet boundary region. The droplet swiftly spread out and formed a thin sheet that integrated closely to the jet boundary region where it underwent the spreading deformation process along the streamwise direction in the jet boundary. As R0 increased, the stretching length along the streamwise direction grew due to the decrease in centrifugal force, while the sheet thickness along the spanwise direction remained unchanged. Interestingly, the droplet fell and triggered the formation of vortices in the surrounding fluid, and the strength of these vortices around the droplet grew in proportion to R0, as indicated by the increase in the u/uin value.

3.4. Pressure Field Distribution inside the Droplet

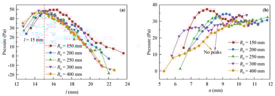
Droplet deformation is a form of energy transfer, and Wang and his team discovered that there was a direct correlation between the additional hydrostatic energy consumption and droplet stretching and deformation [32]. The surface pressure distribution of the droplet change was affected by the jet, resulting in the deformation and breakup of the droplet. According to the Laplace law, the critical pressure difference Δp between the interior and the exterior of a droplet can be obtained [33].
Δ p = 2 γ / d p
If the difference in the internal and external pressure was balanced with the interfacial tension, the droplet tended to be stable. Instead, the interphase equilibrium was destroyed, and the droplets were further deformed, causing breakup. Therefore, the pressure distribution of multiple sections along the spanwise direction was applied to study the droplet internal pressure at t = 0.20 s, as shown in Figure 8. The droplet exhibited a region (left side of the droplet) with positive pressure outside the jet and a region (right side of the droplet) with negative pressure in the jet boundary. Figure 8 shows that the volume of the negative pressure region inside the droplet increased significantly with the increase in R0. The reason is that the jet width narrowed along the wall-normal direction because the centrifugal force was strengthened when the R0 value was smaller. The streamwise size of the droplet was elongated with an increase in R0, where Ll of R0 = 400 mm rises by 10.1% more than Ll of R0 = 150 mm. Therefore, the droplet was easily broken with the larger R0 value.
Based on the LES-VOF model simulation result, the pressure distribution inside the droplet was calculated along the streamwise and wall-normal directions. As shown in Figure 9a, the pressure distribution followed a similar trend, with the highest pressure of 50 Pa occurring at l = 15 mm. The droplet pressure near the jet inlet was lower, and the pressure increased with R0. A negative pressure region existed inside the droplet away from the jet inlet, but there was no negative pressure inside the droplet for R0 = 150 mm. As the curvature radius increased, the region and value of the negative pressure all increased. This indicates that the pressure difference inside the droplet increased, increasing the droplet length along the streamwise direction. Figure 9b reveals that the near-wall pressure of the droplet formed significant peaks when R0 = 150 mm, R0 = 200 mm, and R0 = 250 mm. When R0 = 300 mm, the droplet pressure remained essentially constant, while the pressure of R0 = 400 mm displayed a linear increase along the wall-normal direction. It was found that the pressure difference near the concave wall in the droplet decreased as the curvature radius decreased. However, the total pressure difference in the drop was lower for R0 = 150 mm and R0 = 200 mm. The droplet distance from the wall increased when reducing R0, although the centrifugal force field was enhanced near the concave wall. For the smaller R0 value, it was difficult for the droplet to break because the pressure difference inside the droplet was smaller and the distance from the wall increased.
Figure 9 shows that the maximum pressure difference was at 46.5 Pa~66.8 Pa along the streamwise direction and 21.1 Pa~30.4 Pa along the spanwise direction. The droplet was more easily broken up along the streamwise direction than the spanwise direction. According to formula (7), the critical value of breakup pressure difference Δp = 16.3 Pa can be obtained. In this study, the pressure differences along the streamwise and spanwise directions were higher than the critical value of breakup. But the droplet did not break up at t = 0.20 s when the droplet rushed into the jet boundary. It is worth noting that the pressure difference between the inner droplet and the outer droplet declined with the decreasing curvature radius in Figure 8. It can be seen that the droplet in the concave-wall jet with a smaller R0 was not easy to break, and the separation efficiency of the equipment was further improved.

4. Conclusions

The LES-VOF model was used to perform numerical simulations on the process of a single droplet in a concave-wall jet. Three stages of droplet behaviors were obtained, including free-falling outside the jet, spreading at the jet boundary, and ultimately leading to a breakup. In this study, the effect of the concave-wall curvature radius on the dynamic characteristics of a droplet received special attention at the jet boundary.
The investigation revealed that the normalization interfacial energy showed significant growth when the droplet crossed the jet boundary, and the maximum interfacial energy (γmax) ranged from 1.54 to 1.71. Further analysis of the Q-criterion revealed the structure of multi-vortices at the jet boundary, which led to droplet spreading deformation. The stretched size along the streamwise (Ll) direction and γmax all increased with R0; therefore, reducing R0 could effectively decrease droplet spreading deformation and interfacial energy. This study suggested that the intensity and influence range of vortices decreased with the increase in R0, while droplet breakup was more difficult for a smaller R0, although the centrifugal force was enhanced near the concave wall. Some results of the droplet indicated that the streamwise size was smaller, the total pressure difference in the drop was lower, and the droplet distance from the wall was larger when R0 was provided as a smaller value. The concave-wall jet raised the critical pressure difference of droplet breakup. This study provided the theoretical basis for the structural design of a concave-wall jet in liquid–liquid heterogeneous phase separation equipment.
There are still some limitations in this study. In future research, in order to be more widely applicable in the industrial application of a hydrocyclone, simulations in a variety of media conditions are worth exploring. At the same time, we can further consider the effect of the wall material on the cyclone separation and the dynamic characteristics of the droplet impact on the concave wall in the hydrocyclone, which are very important for the design of liquid–liquid heterogeneous phase separation equipment.

Author Contributions

Methodology and writing—original draft preparation, B.G.; software, validation, and software data curation, A.J.; writing—reviewing and editing, J.Z.; supervision, G.Y.; visualization and investigation, Y.L. All authors have read and agreed to the published version of the manuscript.

Funding

This research was funded by the Applied Basic Research Program Project of Liaoning Province of China, grant number 2022JH2/101300077, and the Basic Research Projects of Higher Education Institutions of Education Department of Liaoning Provincial of China, grant number JYTMS20231507.

Data Availability Statement

The data presented in this study are available upon request from the corresponding author.

Conflicts of Interest

The authors declare no conflicts of interest.

References

  1. Zhang, M.; Liu, X.; Zhang, C.; Li, X.; Zhang, H.; Tan, Z.; Zhang, L.; Wang, Z. Numerical investigation of shear flow structure induced by guided vane in a liquid-liquid cyclone reactor. Chem. Eng. Process. 2021, 167, 108521. [Google Scholar] [CrossRef]
  2. Fu, Y.; Wang, H.; Zhang, X.; Bai, L.; Jin, Y.; Cheng, Y. Numerical simulation of liquid mixing inside soft droplets with periodic deformation by a lattice Boltzmann method. J. Taiwan Inst. Chem. Eng. 2019, 98, 37–44. [Google Scholar] [CrossRef]
  3. Liu, H.; Lu, Y.; Li, S.; Yu, Y.; Sahu, K.C. Deformation and breakup of a compound droplet in three-dimensional oscillatory shear flow. Int. J. Multiph. Flow 2021, 134, 103472. [Google Scholar] [CrossRef]
  4. Foronda-Trillo, F.J.; Rodríguez-Rodríguez, J.; Gutiérrez-Montes, C.; Martínez-Bazán, C. Deformation and breakup of bubbles interacting with single vortex rings. Int. J. Multiph. Flow 2021, 142, 103734. [Google Scholar] [CrossRef]
  5. Xu, Z.; Wang, T.; Che, Z. Droplet breakup in airflow with strong shear effect. J. Fluid Mech. 2023, 941, A54. [Google Scholar] [CrossRef]
  6. Andersson, R.; Andersson, B. Modeling the breakup of fluid particles in turbulent flows. AlChE J. 2006, 52, 2031–2038. [Google Scholar] [CrossRef]
  7. Andersson, R.; Helmi, A. Computational fluid dynamics simulation of fluid particle fragmentation in turbulent flows. Appl. Math. Model. 2014, 38, 4186–4196. [Google Scholar] [CrossRef]
  8. Andersson, R.; Andersson, B. On the breakup of fluid particles in turbulent flows. AlChE J. 2006, 52, 2020–2030. [Google Scholar] [CrossRef]
  9. Chen, Y.; Ding, J.; Weng, P.; Yang, X.; Wu, W. On the breakup of Taylor length scale size bubbles and droplets in turbulent dispersions. Chem. Eng. J. 2020, 386, 121826. [Google Scholar] [CrossRef]
  10. Han, L.; Luo, H.; Liu, Y. A theoretical model for droplet breakup in turbulent dispersions. Chem. Eng. Sci. 2011, 66, 766–776. [Google Scholar] [CrossRef]
  11. Zhu, H.; Xing, J.; Zhu, W.; Guan, X. Numerical Simulation of Impinging Jet Drying Multiphase Flow in Gravure Printing Water-Based Ink Based on the Volume of Fluid Method. Processes 2023, 11, 847. [Google Scholar] [CrossRef]
  12. Alwafi, A.M.; Alshehri, S.M.; Alzahrani, S.M. Computational Fluid Dynamics Modeling of Single Isothermal and Non-Isothermal Impinging Jets in a Scaled-Down High-Temperature Gas-Cooled Reactor Facility. Processes 2022, 11, 46. [Google Scholar] [CrossRef]
  13. Xu, K.; Wang, G.; Wang, L.; Yun, F.; Sun, W.; Wang, X.; Chen, X. CFD-Based Study of Nozzle Section Geometry Effects on the Performance of an Annular Multi-Nozzle Jet Pump. Processes 2020, 8, 133. [Google Scholar] [CrossRef]
  14. Asuri Mukundan, A.; Ménard, T.; Brändle de Motta, J.C.; Berlemont, A. Detailed numerical simulations of primary atomization of airblasted liquid sheet. Int. J. Multiph. Flow 2022, 147, 103848. [Google Scholar] [CrossRef]
  15. Payri, R.; Gimeno, J.; Martí-Aldaraví, P.; Martínez, M. Transient nozzle flow analysis and near field characterization of gasoline direct fuel injector using Large Eddy Simulation. Int. J. Multiph. Flow 2022, 148, 103920. [Google Scholar] [CrossRef]
  16. Karthik, G.M.; Thaker, A.H.; Buwa, V.V. Particle-resolved simulations of catalytic fixed bed reactors: Comparison of turbulence models, LES and PIV measurements. Powder Technol. 2020, 361, 474–489. [Google Scholar] [CrossRef]
  17. Bao, Y.; Wang, R.; Wang, F.; Tong, S.; Jia, J.; Gao, Z.; Cai, Z. Experimental and numerical investigations of motion and mass transfer of single bubbles in a turbulent flow chamber. J. Taiwan Inst. Chem. Eng. 2022, 136, 104435. [Google Scholar] [CrossRef]
  18. Zhang, X.; Zhao, W.; Wan, D. A Hybrid Volume-of-Fluid/Euler-Lagrange Method for Vertical Plunging Jet Flows. Int. J. Offshore Polar Eng. 2022, 32, 31–38. [Google Scholar] [CrossRef]
  19. Tavangar, S.; Hashemabadi, S.H.; Saberimoghadam, A. CFD simulation for secondary breakup of coal–water slurry drops using OpenFOAM. Fuel Process. Technol. 2015, 132, 153–163. [Google Scholar] [CrossRef]
  20. He, H.; Liu, Z.; Ji, J.; Li, S. Analysis of Interaction and Flow Pattern of Multiple Bubbles in Shear-Thinning Viscoelastic Fluids. Energies 2023, 16, 5345. [Google Scholar] [CrossRef]
  21. Ying, H.; Puzhen, G.; Chaoqun, W. Experimental and Numerical Investigation of Bubble–Bubble Interactions during the Process of Free Ascension. Energies 2019, 12, 1977. [Google Scholar] [CrossRef]
  22. Zhang, J.; Liu, Y.; Gong, B.; Li, X.; Li, Y.; Wu, J. Dynamic Characteristic Analysis of a Single Droplet in a Liquid-Liquid Concave-Wall Jet. Chem. Eng. Technol. 2022, 45, 918–929. [Google Scholar] [CrossRef]
  23. Daskiran, C.; Xue, X.; Cui, F.; Katz, J.; Boufadel, M.C. Large eddy simulation and experiment of shear breakup in liquid-liquid jet: Formation of ligaments and droplets. Int. J. Heat Fluid Flow 2021, 89, 108810. [Google Scholar] [CrossRef]
  24. Liu, Z.; Li, Z.; Liu, J.; Wu, J.; Yu, Y.; Ding, J. Numerical Study on Primary Breakup of Disturbed Liquid Jet Sprays Using a VOF Model and LES Method. Processes 2022, 10, 1148. [Google Scholar] [CrossRef]
  25. Saeedipour, M.; Schneiderbauer, S. Favre-filtered LES-VOF of two-phase flows with eddy viscosity-based subgrid closure models: An a-posteriori analysis. Int. J. Multiph. Flow 2021, 144, 103780. [Google Scholar] [CrossRef]
  26. Ouyang, Y.; Zou, H.K.; Gao, X.Y.; Chu, G.W.; Xiang, Y.; Chen, J.F. Computational fluid dynamics modeling of viscous liquid flow characteristics and end effect in rotating packed bed. Chem. Eng. Process. 2018, 123, 185–194. [Google Scholar] [CrossRef]
  27. Zhang, J.; Li, X.; Gong, B.; Li, Y.; Wang, W.; Wang, S.; Wu, J. Numerical simulation and instability analysis of particles in liquid-solid concave-wall jet using DPM-RSM. Asia-Pac. J. Chem. Eng. 2022, 17, e2765. [Google Scholar] [CrossRef]
  28. Ubbink, O.; Issa, R.I. A Method for Capturing Sharp Fluid Interfaces on Arbitrary Meshes on Arbitrary Meshes. J. Comput. Phys. 1999, 153, 26–50. [Google Scholar] [CrossRef]
  29. Zhang, J.; Gao, Y.; Gong, B.; Li, Y.; Wu, J. Experimental investigation on single-droplet deformation and breakup in a concave-wall jet. Chem. Eng. Technol. 2020, 44, 238–247. [Google Scholar] [CrossRef]
  30. Liang, W.; Wang, D.; Cai, Z.; Li, Z.; Huang, X.; Gao, Z.; Derksen, J.J.; Komrakova, A.E. Deformation and breakup of single drop in laminar and transitional jet flows. Chem. Eng. J. 2020, 386, 121812. [Google Scholar] [CrossRef]
  31. Constantinescu, G.; Miyawaki, S.; Rhoads, B.; Sukhodolov, A.; Kirkil, G. Structure of turbulent flow at a river confluence with momentum and velocity ratios close to 1: Insight provided by an eddy-resolving numerical simulation. Water Resour. Res. 2011, 47, W05507. [Google Scholar] [CrossRef]
  32. Liang, X.; Wang, X.; Lu, S.; Wang, K.; Luo, G. Pressure drop analysis for the droplet break-up flow in a locally constrictive microchannel. Chem. Eng. Sci. 2021, 230, 116190. [Google Scholar] [CrossRef]
  33. Zhang, R.; He, X.; Chen, S. Interface and surface tension in incompressible lattice Boltzmann multiphase model. Comput. Phys. Commun. 2000, 129, 121–130. [Google Scholar] [CrossRef]
Figure 1. (a) Physical model of the droplet-falling process in a vertical cylinder with a semicircular shape inlet; and (b) the computational domain and boundary conditions (unmarked surfaces are set as the wall boundary).
Figure 1. (a) Physical model of the droplet-falling process in a vertical cylinder with a semicircular shape inlet; and (b) the computational domain and boundary conditions (unmarked surfaces are set as the wall boundary).
Processes 12 00141 g001
Figure 2. Three-dimensional hexahedral mesh used for simulations.
Figure 2. Three-dimensional hexahedral mesh used for simulations.
Processes 12 00141 g002
Figure 3. Experimental setup for a single droplet in a concave-wall jet. (a) The experimental flowchart and (b) the tested equipment: (1) support, (2) needle, (3) concave-wall jet inlet, (4) inner cylinder, (5) tank, (6) circulating water inlet, and (7) circulating water outlet. Dimensions are in mm.
Figure 3. Experimental setup for a single droplet in a concave-wall jet. (a) The experimental flowchart and (b) the tested equipment: (1) support, (2) needle, (3) concave-wall jet inlet, (4) inner cylinder, (5) tank, (6) circulating water inlet, and (7) circulating water outlet. Dimensions are in mm.
Processes 12 00141 g003
Figure 4. Comparison of experimental and simulation results of the droplet centroid position along the jet (a) streamwise and (b) spanwise directions (the green area represents the droplet and the red symbol + represents the droplet centroid position).
Figure 4. Comparison of experimental and simulation results of the droplet centroid position along the jet (a) streamwise and (b) spanwise directions (the green area represents the droplet and the red symbol + represents the droplet centroid position).
Processes 12 00141 g004
Figure 5. Effect of concave-wall curvature radii on the normalized interfacial energy of droplets.
Figure 5. Effect of concave-wall curvature radii on the normalized interfacial energy of droplets.
Processes 12 00141 g005
Figure 6. Dimensionless size of the droplets along (a) the streamwise and (b) wall-normal directions.
Figure 6. Dimensionless size of the droplets along (a) the streamwise and (b) wall-normal directions.
Processes 12 00141 g006
Figure 7. Droplet deformation and interaction with jet boundary vortices at t = 0.20 s based on different concave-wall curvature radii. (a) R0 = 150 mm; (b) R0 = 200 mm; (c) R0 = 250 mm; (d) R0 = 300 mm; (e) R0 = 400 mm. The droplet is colored black, and the vortices are colored by velocity magnitude.
Figure 7. Droplet deformation and interaction with jet boundary vortices at t = 0.20 s based on different concave-wall curvature radii. (a) R0 = 150 mm; (b) R0 = 200 mm; (c) R0 = 250 mm; (d) R0 = 300 mm; (e) R0 = 400 mm. The droplet is colored black, and the vortices are colored by velocity magnitude.
Processes 12 00141 g007
Figure 8. Effect of the concave-wall curvature radius on the pressure distribution inside the droplet at t = 0.20 s. (a) R0 = 150 mm; (b) R0 = 200 mm; (c) R0 = 250 mm; (d) R0 = 300 mm; (e) R0 = 400 mm. The spacing within the figure is stretched along the spanwise direction for clarity.
Figure 8. Effect of the concave-wall curvature radius on the pressure distribution inside the droplet at t = 0.20 s. (a) R0 = 150 mm; (b) R0 = 200 mm; (c) R0 = 250 mm; (d) R0 = 300 mm; (e) R0 = 400 mm. The spacing within the figure is stretched along the spanwise direction for clarity.
Processes 12 00141 g008
Figure 9. Distribution of pressure inside the droplet along (a) the streamwise and (b) the wall-normal directions (t = 0.20 s).
Figure 9. Distribution of pressure inside the droplet along (a) the streamwise and (b) the wall-normal directions (t = 0.20 s).
Processes 12 00141 g009
Table 1. Physical parameters of the continuous phase (water) and the discrete phase (CCl4) at T = 293.15 K.
Table 1. Physical parameters of the continuous phase (water) and the discrete phase (CCl4) at T = 293.15 K.
Continuous PhaseValueDiscrete PhaseValue
Density ρ/kg·m−3998.2Density ρp/kg·m−31595.0
Viscosity/m2·s−11.003 × 10−6Viscosity/m2·s−19.69 × 10−4
Jet inlet velocity uin/m·s−10.55Droplet diameter dp/mm5.6
Interfacial tension σ/mN·m−145.7 [22]
Gravity g/m·s−2−9.81
Table 2. Mesh independence test performed for the case of dp = 5.6 mm, uin = 0.55 m∙s−1, and R0 = 300 mm.
Table 2. Mesh independence test performed for the case of dp = 5.6 mm, uin = 0.55 m∙s−1, and R0 = 300 mm.
PlansNumber of GridsComputational Domain
Volume/mm3
Maximum of
Ap/mm2
Grid-1529,142633,083141.27
Grid-21,034,352633,083166.65
Grid-31,539,646633,083168.92
Grid-4994,088359,522176.21
Grid-51,492,0802,596,751163.28
Disclaimer/Publisher’s Note: The statements, opinions and data contained in all publications are solely those of the individual author(s) and contributor(s) and not of MDPI and/or the editor(s). MDPI and/or the editor(s) disclaim responsibility for any injury to people or property resulting from any ideas, methods, instructions or products referred to in the content.

Share and Cite

MDPI and ACS Style

Gong, B.; Jian, A.; Zhang, J.; Yang, G.; Liu, Y. Effect of the Curvature Radius on Single-Droplet Dynamic Characteristics within a Concave-Wall Jet. Processes 2024, 12, 141. https://doi.org/10.3390/pr12010141

AMA Style

Gong B, Jian A, Zhang J, Yang G, Liu Y. Effect of the Curvature Radius on Single-Droplet Dynamic Characteristics within a Concave-Wall Jet. Processes. 2024; 12(1):141. https://doi.org/10.3390/pr12010141

Chicago/Turabian Style

Gong, Bin, Aibo Jian, Jing Zhang, Guang Yang, and Yifeng Liu. 2024. "Effect of the Curvature Radius on Single-Droplet Dynamic Characteristics within a Concave-Wall Jet" Processes 12, no. 1: 141. https://doi.org/10.3390/pr12010141

APA Style

Gong, B., Jian, A., Zhang, J., Yang, G., & Liu, Y. (2024). Effect of the Curvature Radius on Single-Droplet Dynamic Characteristics within a Concave-Wall Jet. Processes, 12(1), 141. https://doi.org/10.3390/pr12010141

Note that from the first issue of 2016, this journal uses article numbers instead of page numbers. See further details here.

Article Metrics

Back to TopTop