Preparation and Characterization of Polyhedron Mn(III) Oxide/-β-Mn(IV) Oxide/Poly-o-chloroaniline Porous Nanocomposite for Electroanalytical Photon Detection
Abstract
1. Introduction
2. Experimental Section
2.1. Materials
2.2. Mn2O3/β-MnO2/POCA Nanocomposite Preparation
2.3. Characterization Tools
2.4. The Electroanalytical Measurements
3. Results and Discussion
3.1. Analyses
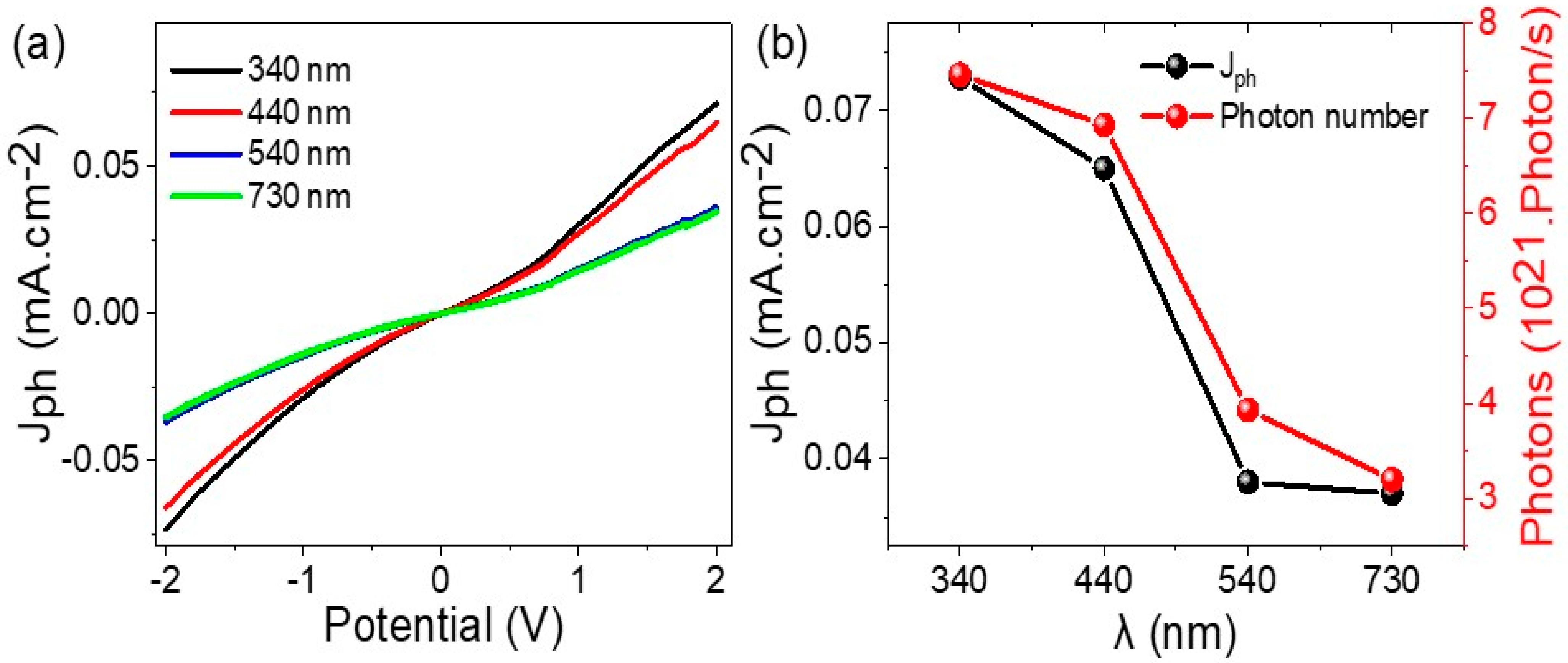
3.2. Electrical Study
4. Conclusions
Author Contributions
Funding
Data Availability Statement
Acknowledgments
Conflicts of Interest
References
- Huang, H.Y.; Chen, J.H.; Nan, F.; Lin, Y.; Zhou, L. Enhancement of near Ultraviolet Spectral Range Responsibility of Silicon Photodetectors via Additional Fluorescent InP/ZnS Quantum Dots Layer. Opt. Laser Technol. 2023, 166, 109608. [Google Scholar] [CrossRef]
- Chao, J.; Zhang, K.; Meng, D. Simple-Grown SnO2 Microflowers/Carbon Cloth as Rigid and Flexible Ultraviolet Photodetectors. Mater. Lett. 2023, 350, 134912. [Google Scholar] [CrossRef]
- Wang, J.; Chen, J. Ag Nanoparticles Enhanced PbS QDs/Graphene/Si near-Infrared Photodetector. Phys. E Low-Dimens. Syst. Nanostruct. 2023, 154, 115793. [Google Scholar] [CrossRef]
- Zhao, J.; Liu, H.; Deng, L.; Du, Y.; Wang, J.; Wen, S.; Wang, S.; Zhu, Z.; Xie, F.; Liu, W. Photovoltaic High-Performance Broadband Photodetector Based on the Heterojunction of MoS2/Silicon Nanopillar Arrays. Appl. Surf. Sci. 2023, 638, 157994. [Google Scholar] [CrossRef]
- Deng, S.; Guo, H.; Yan, J.; Zhu, D.; Li, J.; Qiao, M.; Xie, J. NIR-UV Dual-Mode Photodetector with the Assistance of Machine-Learning Fabricated by Hybrid Laser Processing. Chem. Eng. J. 2023, 472, 144908. [Google Scholar] [CrossRef]
- Sreedhar, A.; Ta, Q.T.H.; Noh, J.-S. Versatile Role of 2D Ti3C2 MXenes for Advancements in the Photodetector Performance: A Review. J. Ind. Eng. Chem. 2023. [Google Scholar] [CrossRef]
- Li, S.; Guo, D.; Li, P.; Wang, X.; Wang, Y.; Yan, Z.; Liu, Z.; Zhi, Y.; Huang, Y.; Wu, Z.; et al. Ultrasensitive, Superhigh Signal-to-Noise Ratio, Self-Powered Solar-Blind Photodetector Based on n-Ga2O3/p-CuSCN Core-Shell Microwire Heterojunction. ACS Appl. Mater. Interfaces 2019, 11, 35105–35114. [Google Scholar] [CrossRef]
- Shaban, M.; Abukhadra, M.R.; Rabia, M.; Elkader, Y.A.; Abd El-Halim, M.R. Investigation the Adsorption Properties of Graphene Oxide and Polyaniline Nano/Micro Structures for Efficient Removal of Toxic Cr(VI) Contaminants from Aqueous Solutions; Kinetic and Equilibrium Studies. Rend. Lincei 2018, 29, 141–154. [Google Scholar] [CrossRef]
- Abukhadra, M.R.; Rabia, M.; Shaban, M.; Verpoort, F. Heulandite/Polyaniline Hybrid Composite for Efficient Removal of Acidic Dye from Water; Kinetic, Equilibrium Studies and Statistical Optimization. Adv. Powder Technol. 2018, 29, 2501–2511. [Google Scholar] [CrossRef]
- Shaikh, N.S.; Ubale, S.B.; Mane, V.J.; Shaikh, J.S.; Lokhande, V.C.; Praserthdam, S.; Lokhande, C.D.; Kanjanaboos, P. Novel Electrodes for Supercapacitor: Conducting Polymers, Metal Oxides, Chalcogenides, Carbides, Nitrides, MXenes, and Their Composites with Graphene. J. Alloys Compd. 2022, 893, 161998. [Google Scholar] [CrossRef]
- Xu, Z.; Chu, X.; Wang, Y.; Zhang, H.; Yang, W. Three-Dimensional Polymer Networks for Solid-State Electrochemical Energy Storage. Chem. Eng. J. 2020, 391, 123548. [Google Scholar] [CrossRef]
- Yu, X.; Marks, T.J.; Facchetti, A. Metal Oxides for Optoelectronic Applications. Nat. Mater. 2016, 15, 383–396. [Google Scholar] [CrossRef]
- Elsayed, A.M.; Rabia, M.; Shaban, M.; Aly, A.H.; Ahmed, A.M. Preparation of Hexagonal Nanoporous Al2O3/TiO2/TiN as a Novel Photodetector with High Efficiency. Sci. Rep. 2021, 11, 17572. [Google Scholar] [CrossRef]
- Zhang, M.; Xiong, Z.; Jia, J.; Zhou, Z.; Wu, B.; Ni, Y.; Zhou, X.; Cao, L. Improving Electrochemical Performance of Hollow Cr2O3/CrN Nanoshells as Electrode Materials for Supercapacitors. J. Electroanal. Chem. 2020, 856, 113696. [Google Scholar] [CrossRef]
- Liu, Y.; Guo, P.; Gao, P.; Tong, J.; Li, J.; Wang, E.; Wang, C.; Xia, Y. Effect of Fluorine Atoms on Optoelectronic, Aggregation and Dielectric Constants of 2,1,3-Benzothiadiazole-Based Alternating Conjugated Polymers. Dye. Pigment. 2021, 193, 109486. [Google Scholar] [CrossRef]
- Ahmad, M.N.; Rafique, F.; Nawaz, F.; Farooq, T.; Anjum, M.N.; Hussain, T.; Hassan, S.; Batool, M.; Khalid, H.; Shehzad, K. Synthesis of Antibacterial Poly(o-Chloroaniline)/Chromium Hybrid Composites with Enhanced Electrical Conductivity. Chem. Cent. J. 2018, 12, 46. [Google Scholar] [CrossRef]
- Linganathan, P.; Sundararajan, J.; Samuel, J.M. Synthesis, Characterization, and Photoconductivity Studies on Poly(2-Chloroaniline) and Poly(2-Chloroaniline)/CuO Nanocomposites. J. Compos. 2014, 2014, 838975. [Google Scholar] [CrossRef]
- Shauloff, N.; Prishkolnik, N.; Singh, S.; Manikandan, R.; Ben Nun, U.; Jelinek, R. Carbon Dot / Thermo-Responsive Polymer Capacitive Wavelength-Specific Photodetector. Carbon 2023, 213, 118211. [Google Scholar] [CrossRef]
- Mondal, A.; Reddy, Y.A.K. Influence of Oxygen Partial Pressure on the Performance of MoO3-Based Ultraviolet Photodetectors. Surf. Interfaces 2023, 41, 103179. [Google Scholar] [CrossRef]
- Yuan, M.; Jiang, B.; Zeng, L.; Zeng, C.; Lin, R.; Xin, W.; Yan, G.; Hong, R. Nanosecond-Response Cu(In,Ga)Se2 Self-Powered Photodetectors Enhanced by the Back Contact Modification. Appl. Surf. Sci. 2023, 637, 157867. [Google Scholar] [CrossRef]
- Zeng, Z.; Wang, D.; Fang, X.; Zhao, C.; Zhang, B.; Liu, D.; Chen, T.; Pan, J.; Liu, S.; Liu, G.; et al. Self-Powered Broadband Photodetector Based on Bi2Se3/GaN Pn Mixed-Dimensional Heterojunction with Boosted Responsivity. Mater. Today Nano 2023, 23, 100372. [Google Scholar] [CrossRef]
- Shi, K.; Luo, M.; Ying, J.; Zhen, S.; Xing, Z.; Chen, R. Extraction of Lithium from Single-Crystalline Lithium Manganese Oxide Nanotubes Using Ammonium Peroxodisulfate. iScience 2020, 23, 101768. [Google Scholar] [CrossRef] [PubMed]
- Wang, T.; Wang, Y.; Zhu, L.; Lv, L.; Hu, Y.; Deng, Z.; Cui, Q.; Lou, Z.; Hou, Y.; Teng, F. High Sensitivity and Fast Response Sol-Gel ZnO Electrode Buffer Layer Based Organic Photodetectors with Large Linear Dynamic Range at Low Operating Voltage. Org. Electron. 2018, 56, 51–58. [Google Scholar] [CrossRef]
- Wang, Y.; Zhu, L.; Wang, T.; Hu, Y.; Deng, Z.; Cui, Q.; Lou, Z.; Hou, Y.; Teng, F. Fast and Sensitive Polymer Photodetectors with Extra High External Quantum Efficiency and Large Linear Dynamic Range at Low Working Voltage Bias. Org. Electron. 2018, 62, 448–453. [Google Scholar] [CrossRef]
- Hou, P.; Wang, C.; Chen, Y.; Zhong, Q.; Zhang, Y.; Guo, H.; Zhong, X.; Wang, J.; Ouyang, X. Ionization Effect and Displacement Effect Induced Photoresponsivity Degradation on α-In2Se3 Based Transistors for Photodetectors. Radiat. Phys. Chem. 2020, 174, 108969. [Google Scholar] [CrossRef]
- Al-Jumaili, B.E. Fabrication and Photoresponsive Characteristics of ZnO Film for Ultraviolet ZnO/Porous Si Photodetector: The Effect of Post-Processing Treatment. Opt. Mater. 2022, 133, 112897. [Google Scholar] [CrossRef]
- Hong, Q.; Cao, Y.; Xu, J.; Lu, H.; He, J.; Sun, J.L. Self-Powered Ultrafast Broadband Photodetector Based on p-n Heterojunctions of CuO/Si Nanowire Array. ACS Appl. Mater. Interfaces 2014, 6, 20887–20894. [Google Scholar] [CrossRef]
- Kalra, A.; Vura, S.; Rathkanthiwar, S.; Muralidharan, R.; Raghavan, S.; Nath, D.N. Demonstration of High-Responsivity Epitaxial β-Ga2O3/GaN Metal-Heterojunction-Metal Broadband UV-A/UV-C Detector. Appl. Phys. Express 2018, 11, 064101. [Google Scholar] [CrossRef]
- Zheng, L.; Yu, P.; Hu, K.; Teng, F.; Chen, H.; Fang, X. Scalable-Production, Self-Powered TiO2 Nanowell-Organic Hybrid UV Photodetectors with Tunable Performances. ACS Appl. Mater. Interfaces 2016, 8, 33924–33932. [Google Scholar] [CrossRef]
- Lan, T.; Fallatah, A.; Suiter, E.; Padalkar, S. Size Controlled Copper (I) Oxide Nanoparticles Influence Sensitivity of Glucose Biosensor. Sensors 2017, 17, 1944. [Google Scholar] [CrossRef]
- Tan, W.C.; Shih, W.H.; Chen, Y.F. A Highly Sensitive Graphene-Organic Hybrid Photodetector with a Piezoelectric Substrate. Adv. Funct. Mater. 2014, 24, 6818–6825. [Google Scholar] [CrossRef]
- Bai, Z.; Zhang, Y. Self-Powered UV–Visible Photodetectors Based on ZnO/Cu2O Nanowire/Electrolyte Heterojunctions. J. Alloys Compd. 2016, 675, 325–330. [Google Scholar] [CrossRef]
- Costas, A.; Florica, C.; Preda, N.; Apostol, N.; Kuncser, A.; Nitescu, A.; Enculescu, I. Radial Heterojunction Based on Single ZnO-CuxO Core-Shell Nanowire for Photodetector Applications. Sci. Rep. 2019, 9, 5553. [Google Scholar] [CrossRef]
- Chen, Z.; Ci, H.; Tan, Z.; Dou, Z.; Chen, X.-D.; Liu, B.; Liu, R.; Lin, L.; Cui, L.; Gao, P.; et al. Growth of 12-Inch Uniform Monolayer Graphene Film on Molten Glass and Its Application in PbI2-Based Photodetector. Nano Res. 2019, 12, 1888–1893. [Google Scholar] [CrossRef]
- Ismail, R.A.; Mousa, A.M.; Shaker, S.S. Visible-Enhanced Silver-Doped PbI2 Nanostructure/Si Heterojunction Photodetector: Effect of Doping Concentration on Photodetector Parameters. Opt. Quantum Electron. 2019, 51, 362. [Google Scholar] [CrossRef]
- Wang, S.B.; Hsiao, C.H.; Chang, S.J.; Lam, K.T.; Wen, K.H.; Hung, S.C.; Young, S.J.; Huang, B.R. A CuO Nanowire Infrared Photodetector. Sens. Actuators A Phys. 2011, 171, 207–211. [Google Scholar] [CrossRef]
- Naldoni, A.; Guler, U.; Wang, Z.; Marelli, M.; Malara, F.; Meng, X.; Besteiro, L.V.; Govorov, A.O.; Kildishev, A.V.; Boltasseva, A.; et al. Broadband Hot-Electron Collection for Solar Water Splitting with Plasmonic Titanium Nitride. Adv. Opt. Mater. 2017, 5, 1601031. [Google Scholar] [CrossRef]
- Liu, K.; Sakurai, M.; Liao, M.; Aono, M. Giant Improvement of the Performance of ZnO Nanowire Photodetectors by Au Nanoparticles. J. Phys. Chem. C 2010, 114, 19835–19839. [Google Scholar] [CrossRef]
- Zheng, L.; Hu, K.; Teng, F.; Fang, X. Novel UV–Visible Photodetector in Photovoltaic Mode with Fast Response and Ultrahigh Photosensitivity Employing Se/TiO2 Nanotubes Heterojunction. Small 2017, 13, 1602448. [Google Scholar] [CrossRef]







| Electrode | λ (nm) | Bais (V) | R (mAW−1) | 
|---|---|---|---|
| CuO/Si Nanowire [27] | 405 | 0.2 | 3.8 × 10−3 | 
| Graphene/GaN [28] | 365 | 7 | 3 × 10−3 | 
| TiO2-PANI [29] | 320 | 0 | 3 × 10−3 | 
| GO/Cu2O [30] | 300 | 2 | 0.5 × 10−3 | 
| Graphene/P3HT [31] | 325 | 1 | NA | 
| ZnO/Cu2O [32] | 350 | 2 | 4 × 10−3 | 
| ZnO-CuO [33] | 405 | 1 | 3 × 10−3 | 
| PbI2-graphene [34] | 550 | 2 | NA | 
| PbI2-5%Ag [35] | 532 | 6 | NA | 
| CuO nanowires [36] | 390 | 5 | - | 
| TiN/TiO2 [37] | 550 | 5 | - | 
| ZnO /RGO [38] | 350 | 5 | 1.3 × 10−3 | 
| Se/TiO2 [39] | 450 | 1 | 5 × 10−3 | 
| ZnO /RGO [38] | 350 | 5 | 1.3 × 10−3 | 
| Mn2O3/β-MnO2/POCA (this work) | 440 | 2 | 0.73 | 
| Disclaimer/Publisher’s Note: The statements, opinions and data contained in all publications are solely those of the individual author(s) and contributor(s) and not of MDPI and/or the editor(s). MDPI and/or the editor(s) disclaim responsibility for any injury to people or property resulting from any ideas, methods, instructions or products referred to in the content. | 
© 2023 by the authors. Licensee MDPI, Basel, Switzerland. This article is an open access article distributed under the terms and conditions of the Creative Commons Attribution (CC BY) license (https://creativecommons.org/licenses/by/4.0/).
Share and Cite
Rabia, M.; Elsayed, A.M.; Alnuwaiser, M.A. Preparation and Characterization of Polyhedron Mn(III) Oxide/-β-Mn(IV) Oxide/Poly-o-chloroaniline Porous Nanocomposite for Electroanalytical Photon Detection. Processes 2023, 11, 2375. https://doi.org/10.3390/pr11082375
Rabia M, Elsayed AM, Alnuwaiser MA. Preparation and Characterization of Polyhedron Mn(III) Oxide/-β-Mn(IV) Oxide/Poly-o-chloroaniline Porous Nanocomposite for Electroanalytical Photon Detection. Processes. 2023; 11(8):2375. https://doi.org/10.3390/pr11082375
Chicago/Turabian StyleRabia, Mohamed, Asmaa M. Elsayed, and Maha Abdallah Alnuwaiser. 2023. "Preparation and Characterization of Polyhedron Mn(III) Oxide/-β-Mn(IV) Oxide/Poly-o-chloroaniline Porous Nanocomposite for Electroanalytical Photon Detection" Processes 11, no. 8: 2375. https://doi.org/10.3390/pr11082375
APA StyleRabia, M., Elsayed, A. M., & Alnuwaiser, M. A. (2023). Preparation and Characterization of Polyhedron Mn(III) Oxide/-β-Mn(IV) Oxide/Poly-o-chloroaniline Porous Nanocomposite for Electroanalytical Photon Detection. Processes, 11(8), 2375. https://doi.org/10.3390/pr11082375
 
        
 
                                                

 
       