Model-Based Optimization of Multi-Stage Nanofiltration Using the Solution-Diffusion–Electromigration Model
Abstract
1. Introduction
2. Computational Methods
2.1. Orthogonal Collocation
2.2. Model Development
2.3. Optimization
3. Results
3.1. Case Study 1—Modeling and Optimization of a Hypothetic Mixture
3.2. Case Study 2—Modeling and Optimization of a Real Mixture
3.3. Case Study 3—Application on Lithium Separation from Aqueous Sources
4. Conclusions
Supplementary Materials
Author Contributions
Funding
Data Availability Statement
Acknowledgments
Conflicts of Interest
Abbreviations
| Latin letters | ||
| Molar volume | m3 mol−1 | |
| Feed concentration of ion in node j | mol L−1 | |
| Permeate concentration of ion in node j | mol L−1 | |
| Retentate concentration of ion in node j | mol L−1 | |
| Cross-sectional area of the membrane channel | m2 | |
| Cross-sectional area of the pipe | m2 | |
| Cross-sectional area of the module’s shell part | m2 | |
| Feed volume flow in node j | L min−1 | |
| Permeate volume flow in node j | L min−1 | |
| Retentate volume flow in node j | L min−1 | |
| Transmembrane volume flux in node j | m s−1 | |
| Permeance of ion i | µm s−1 | |
| Saltwater permeability | m s−1 bar−1 | |
| Charge number of ion i | - | |
| Concentration of ion i | mol L−1 | |
| Diameter of membrane channel | m | |
| Transmembrane ion flux of ion i | mol m−2 s−1 | |
| Length of membrane channel | m | |
| i | Component index | - |
| k | Component index | - |
| j | Node index | - |
| Parallel tubes in membrane module | - | |
| Feed pressure supplied by pump | bar | |
| Velocity in membrane channel in node j | m s−1 | |
| Velocity in pipe | m s−1 | |
| F | Faraday constant | C mol−1 |
| f | Fanning friction factor | - |
| n | Number of ion species | - |
| N | Number of nodes | - |
| R | Molar gas constant | J K−1 mol−1 |
| Re | Reynolds number | - |
| SDEM | Solution-diffusion–electromigration model | |
| SDM | Solution-diffusion model | |
| T | Temperature | K |
| v | Number of collocation points | - |
| x | Transmembrane coordinate | m |
| Pressure loss within the membrane channels | bar | |
| Pressure loss at the module inlet | bar | |
| y | Arbitrary variables to demonstrate the method of collocation | - |
| z | Collocation point | - |
| Greek letters | ||
| Saltwater density | kg m−3 | |
| Polynomial coefficients | - | |
| δ | Membrane thickness | µm |
| Osmotic permeate pressure in node j | bar | |
| Osmotic feed pressure in node j | bar | |
| Dimensionless electrostatic potential in the virtual solution | - |
References
- Yu, L.-Y.; Wu, K.-J.; He, C.-H. A two-step green liquid-liquid extraction strategy for selective lithium recovery and application to seawater. Hydrometallurgy 2023, 220, 106102. [Google Scholar] [CrossRef]
- Yang, S.; Zhang, F.; Ding, H.; He, P.; Zhou, H. Lithium Metal Extraction from Seawater. Joule 2018, 2, 1648–1651. [Google Scholar] [CrossRef]
- Lee, M.; Jung, W.; Kwon, H.J.; Lim, G. Continuous ion separation via electrokinetic-driven ion migration path differentiation: Practical application to lithium extraction from brines. J. Mater. Chem. A 2022, 10, 4621–4633. [Google Scholar] [CrossRef]
- Li, Z.; Li, C.; Liu, X.; Cao, L.; Li, P.; Wei, R.; Li, X.; Guo, D.; Huang, K.-W.; Lai, Z. Continuous electrical pumping membrane process for seawater lithium mining. Energy Environ. Sci. 2021, 14, 3152–3159. [Google Scholar] [CrossRef]
- Xu, P.; Hong, J.; Qian, X.; Xu, Z.; Xia, H.; Tao, X.; Xu, Z.; Ni, Q.-Q. Materials for lithium recovery from salt lake brine. J. Mater. Sci. 2021, 56, 16–63. [Google Scholar] [CrossRef]
- Liu, G.; Zhao, Z.; Ghahreman, A. Novel approaches for lithium extraction from salt-lake brines: A review. Hydrometallurgy 2019, 187, 81–100. [Google Scholar] [CrossRef]
- Yaroshchuk, A.E. Dielectric exclusion of ions from membranes. Adv. Colloid Interface Sci. 2000, 85, 193–230. [Google Scholar] [CrossRef]
- Ahmad, N.N.R.; Ang, W.L.; Teow, Y.H.; Mohammad, A.W.; Hilal, N. Nanofiltration membrane processes for water recycling, reuse and product recovery within various industries: A review. J. Water Process Eng. 2022, 45, 102478. [Google Scholar] [CrossRef]
- Yaroshchuk, A. Non-steric mechanisms of nanofiltration: Superposition of Donnan and dielectric exclusion. Sep. Purif. Technol. 2001, 22–23, 143–158. [Google Scholar] [CrossRef]
- Spiegler, K.S.; Kedem, O. Thermodynamics of hyperfiltration (reverse osmosis): Criteria for efficient membranes. Desalination 1966, 1, 311–326. [Google Scholar] [CrossRef]
- Hussain, A.A.; Abashar, M.; Al-Mutaz, I.S. Effect of Ion Sizes on Separation Characteristics of Nanofiltration Membrane Systems. J. King Saud Univ. Eng. Sci. 2006, 19, 1–18. [Google Scholar] [CrossRef]
- Bowen, W.; Welfoot, J.S. Modelling the performance of membrane nanofiltration—Critical assessment and model development. Chem. Eng. Sci. 2002, 57, 1121–1137. [Google Scholar] [CrossRef]
- Bowen, W.; Mukhtar, H. Characterisation and prediction of separation performance of nanofiltration membranes. J. Membr. Sci. 1996, 112, 263–274. [Google Scholar] [CrossRef]
- Ghorbani, A.; Bayati, B.; Drioli, E.; Macedonio, F.; Kikhavani, T.; Frappa, M. Modeling of Nanofiltration Process Using DSPM-DE Model for Purification of Amine Solution. Membranes 2021, 11, 230. [Google Scholar] [CrossRef]
- Mohammad, A.W.; Hilal, N.; Al-Zoubi, H.; Darwish, N.A. Prediction of permeate fluxes and rejections of highly concentrated salts in nanofiltration membranes. J. Membr. Sci. 2007, 289, 40–50. [Google Scholar] [CrossRef]
- Wang, R.; Lin, S. Pore model for nanofiltration: History, theoretical framework, key predictions, limitations, and prospects. J. Membr. Sci. 2021, 620, 118809. [Google Scholar] [CrossRef]
- Bandini, S.; Boi, C. Transport phenomena in reverse osmosis/nanofiltration membranes. In Current Trends and Future Developments on (Bio-) Membranes; Elsevier: Amsterdam, The Netherlands, 2021; pp. 49–90. [Google Scholar]
- Yaroshchuk, A.; Bruening, M.L.; Zholkovskiy, E. Modelling nanofiltration of electrolyte solutions. Adv. Colloid Interface Sci. 2019, 268, 39–63. [Google Scholar] [CrossRef]
- Yaroshchuk, A.; Bruening, M.L. An analytical solution of the solution-diffusion-electromigration equations reproduces trends in ion rejections during nanofiltration of mixed electrolytes. J. Membr. Sci. 2017, 523, 361–372. [Google Scholar] [CrossRef]
- Yaroshchuk, A.; Bruening, M.L.; Licón Bernal, E.E. Solution-Diffusion–Electro-Migration model and its uses for analysis of nanofiltration, pressure-retarded osmosis and forward osmosis in multi-ionic solutions. J. Membr. Sci. 2013, 447, 463–476. [Google Scholar] [CrossRef]
- Fernández de Labastida, M.; Yaroshchuk, A. Nanofiltration of Multi-Ion Solutions: Quantitative Control of Concentration Polarization and Interpretation by Solution-Diffusion-Electro-Migration Model. Membranes 2021, 11, 272. [Google Scholar] [CrossRef]
- López, J.; Yaroshchuk, A.; Reig, M.; Gibert, O.; Cortina, J.L. An engineering model for solute transport in semi-aromatic polymeric nanofiltration membranes: Extension of Solution-Electro-Diffusion model to complex mixtures. J. Environ. Chem. Eng. 2021, 9, 105262. [Google Scholar] [CrossRef]
- Du, Y.; Xie, L.; Liu, J.; Wang, Y.; Xu, Y.; Wang, S. Multi-objective optimization of reverse osmosis networks by lexicographic optimization and augmented epsilon constraint method. Desalination 2014, 333, 66–81. [Google Scholar] [CrossRef]
- Skiborowski, M.; Mhamdi, A.; Kraemer, K.; Marquardt, W. Model-based structural optimization of seawater desalination plants. Desalination 2012, 292, 30–44. [Google Scholar] [CrossRef]
- Kotb, H.; Amer, E.H.; Ibrahim, K.A. On the optimization of RO (Reverse Osmosis) system arrangements and their operating conditions. Energy 2016, 103, 127–150. [Google Scholar] [CrossRef]
- Garg, M.C.; Joshi, H. Optimization and economic analysis for a small scale nanofiltration and reverse osmosis water desalination system. Water Supply 2015, 15, 1027–1033. [Google Scholar] [CrossRef]
- Alves, Y.P.C.; Antunes, F.A.F.; Da Silva, S.S.; Forte, M.B.S. From by- to bioproducts: Selection of a nanofiltration membrane for biotechnological xylitol purification and process optimization. Food Bioprod. Process. 2021, 125, 79–90. [Google Scholar] [CrossRef]
- Geraldes, V.; Brites Alves, A.M. Computer program for simulation of mass transport in nanofiltration membranes. J. Membr. Sci. 2008, 321, 172–182. [Google Scholar] [CrossRef]
- Roy, Y.; Sharqawy, M.H.; Lienhard, J.H. Modeling of flat-sheet and spiral-wound nanofiltration configurations and its application in seawater nanofiltration. J. Membr. Sci. 2015, 493, 360–372. [Google Scholar] [CrossRef]
- Fridman-Bishop, N.; Nir, O.; Lahav, O.; Freger, V. Predicting the Rejection of Major Seawater Ions by Spiral-Wound Nanofiltration Membranes. Environ. Sci. Technol. 2015, 49, 8631–8638. [Google Scholar] [CrossRef]
- Hubach, T.; Schlüter, S.; Held, C. Li+ separation from aqueous sources by nanofiltration membranes: Experiments and modeling: Submitted. J. Membr. Sci. 2023. [Google Scholar]
- Pagès, N.; Reig, M.; Gibert, O.; Cortina, J.L. Trace ions rejection tunning in NF by selecting solution composition: Ion permeances estimation. Chem. Eng. J. 2017, 308, 126–134. [Google Scholar] [CrossRef]







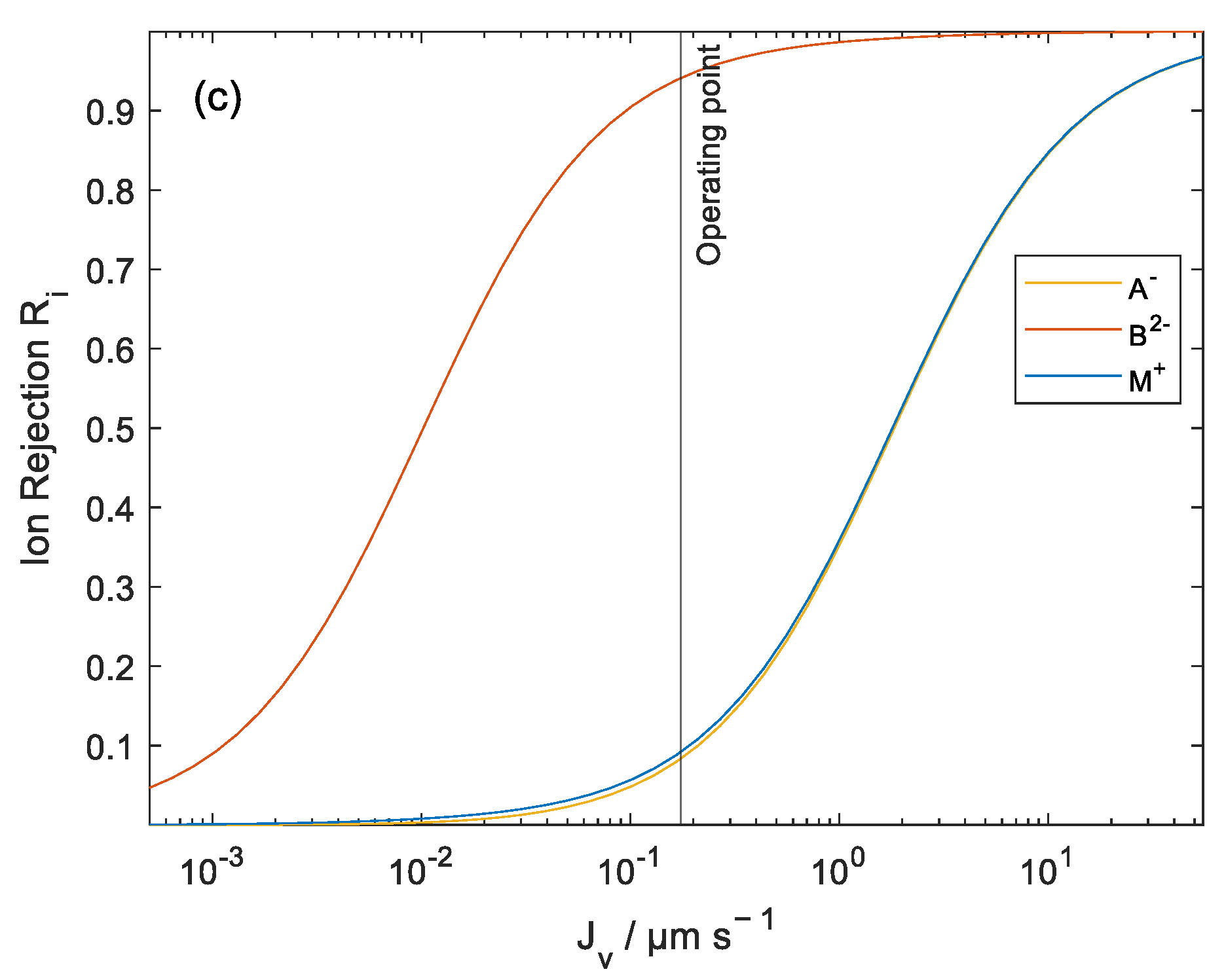
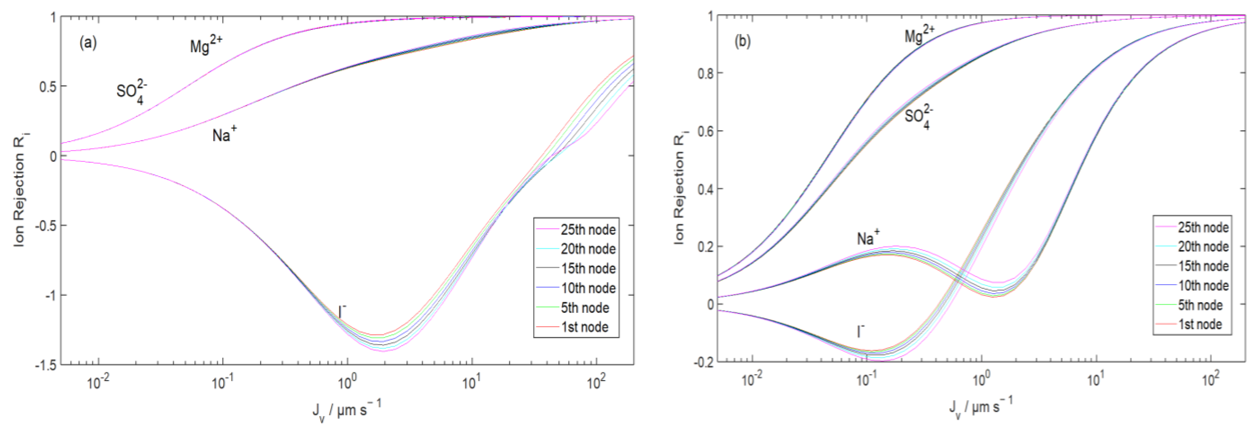
), SO42− in orange (
), Na+ in yellow (
), and I− in violet (
), whereby the blue symbol and blue line lay on the same positions as the orange ones.
), SO42− in orange (
), Na+ in yellow (
), and I− in violet (
), whereby the blue symbol and blue line lay on the same positions as the orange ones.





Disclaimer/Publisher’s Note: The statements, opinions and data contained in all publications are solely those of the individual author(s) and contributor(s) and not of MDPI and/or the editor(s). MDPI and/or the editor(s) disclaim responsibility for any injury to people or property resulting from any ideas, methods, instructions or products referred to in the content. |
© 2023 by the authors. Licensee MDPI, Basel, Switzerland. This article is an open access article distributed under the terms and conditions of the Creative Commons Attribution (CC BY) license (https://creativecommons.org/licenses/by/4.0/).
Share and Cite
Hubach, T.; Schlüter, S.; Held, C. Model-Based Optimization of Multi-Stage Nanofiltration Using the Solution-Diffusion–Electromigration Model. Processes 2023, 11, 2355. https://doi.org/10.3390/pr11082355
Hubach T, Schlüter S, Held C. Model-Based Optimization of Multi-Stage Nanofiltration Using the Solution-Diffusion–Electromigration Model. Processes. 2023; 11(8):2355. https://doi.org/10.3390/pr11082355
Chicago/Turabian StyleHubach, Tobias, Stefan Schlüter, and Christoph Held. 2023. "Model-Based Optimization of Multi-Stage Nanofiltration Using the Solution-Diffusion–Electromigration Model" Processes 11, no. 8: 2355. https://doi.org/10.3390/pr11082355
APA StyleHubach, T., Schlüter, S., & Held, C. (2023). Model-Based Optimization of Multi-Stage Nanofiltration Using the Solution-Diffusion–Electromigration Model. Processes, 11(8), 2355. https://doi.org/10.3390/pr11082355

