A Novel Thermal Lattice Boltzmann Method for Numerical Simulation of Natural Convection of Non-Newtonian Fluids
Abstract
1. Introduction
2. Numerical Method
2.1. BGK-LB Equations for the Flow Field
2.2. BGK-LB Equations for the Temperature Field
3. Physical Problem
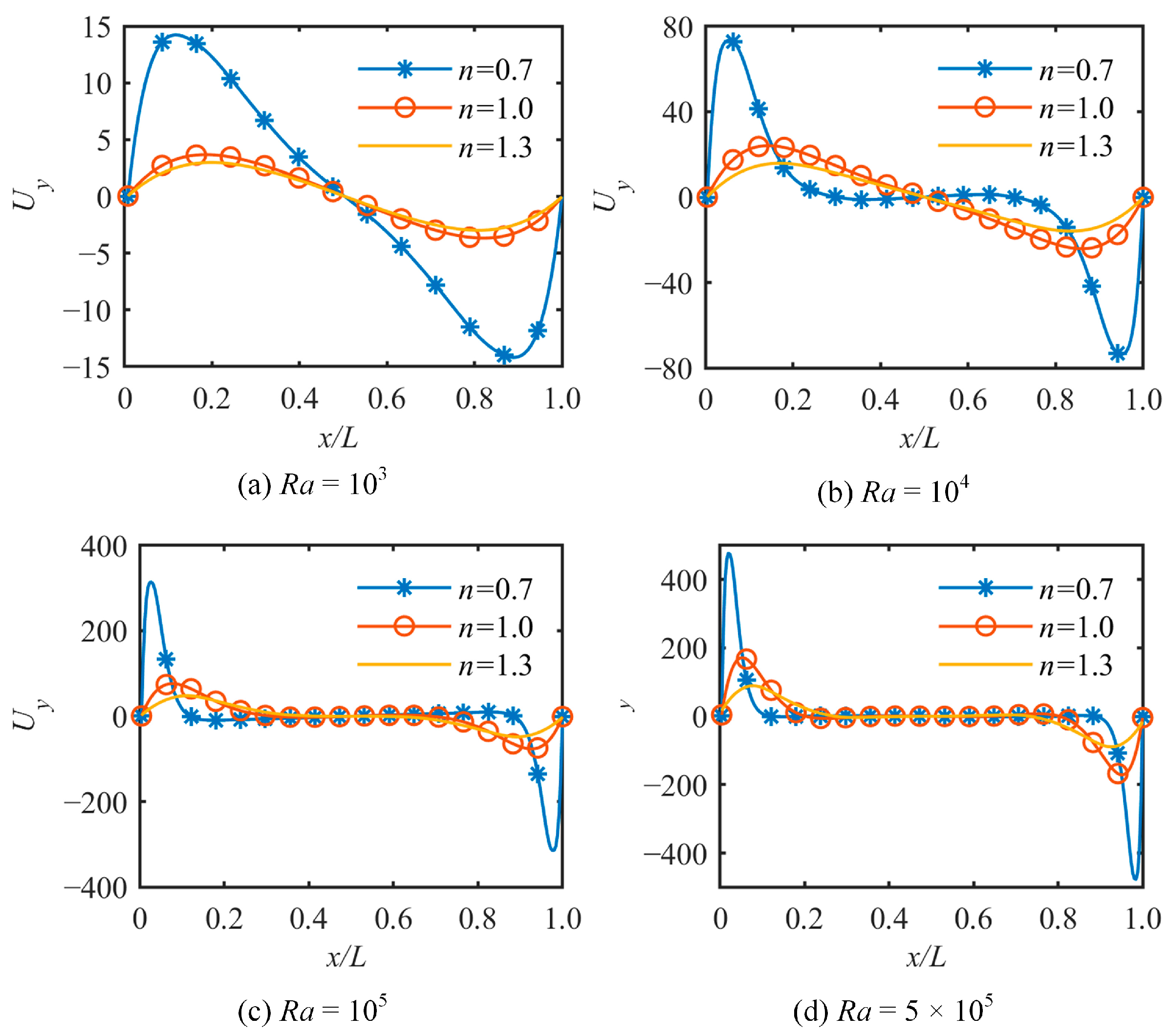
4. Results and Discussion
4.1. Research on Independence from the Grid
4.2. Numerical Validation
4.3. NC of Power-Law Fluids
5. Conclusions
- (1)
- Increasing the Ra number could improve the convective strength and HT rate of both NFs and NNFs.
- (2)
- A decrease in the n value (0 < n < 1) improved the convective strength and HT rate compared to Newtonian fluids (n = 1), whereas an increase in the n value (n > 1) had the opposite effect.
- (3)
- The current study presents a more efficient and simplified non-Newtonian thermal BGK-LB model, which proved valuable for studying the mass or heat transfer in NNFs. The model’s ability to accurately capture convective heat transfer phenomena and its computational efficiency contributed to its practical applications in optimizing the design and performance of heat transfer systems using NNFs. Furthermore, this model can serve as a framework for future research addressing more complex non-Newtonian fluid behaviors and extending its application to different flow scenarios.
Author Contributions
Funding
Data Availability Statement
Conflicts of Interest
Nomenclature
| a | Acceleration from the external force |
| c | Lattice speed |
| Lattice sound speed | |
| Discrete lattice velocity | |
| F | External force term |
| Density distribution function | |
| Equilibrium density distribution function | |
| Discrete forcing term | |
| g | Gravitational acceleration |
| Temperature distribution function | |
| Equilibrium temperature distribution function | |
| I | Unit tensor |
| K | Consistency index |
| L | Side-length of cavity |
| n | Power–law index |
| Nu | Nusselt number |
| Average Nusselt number | |
| Pr | Prandtl number |
| Ra | Rayleigh number |
| S | Shear rate |
| Th | Temperature of the hot wall |
| Tc | Temperature of the cold wall |
| T0 | Reference temperature |
| Abbreviations | |
| BGK | Bhatnagar-Gross-Krook |
| CDE | Convection Diffusion Equation |
| CFD | Computational Fluid Dynamics |
| D2Q9 | Two-dimensional nine velocity |
| DF | Distribution Function |
| EDF | Equilibrium Distribution Function |
| FDM | Finite Difference Method |
| HT | Heat Transfer |
| LBM | Lattice Boltzmann Method |
| MRT | Multiple Relaxation Time |
| NC | Natural Convection |
| NFs | Newtonian Fluids |
| NNFs | Non-Newtonian Fluids |
| PL | Power-Law |
| Greek symbols | |
| Thermal diffusivity | |
| Thermal expansion coefficient | |
| Time step | |
| Lattice size | |
| Strain rate tensor | |
| Dynamic viscosity | |
| Kinematic viscosity | |
| Weight factors | |
| Density of fluid | |
| Shear stress | |
| , | Relaxation parameters |
Appendix A. Chapman–Enskog Expansion for Macroscopic Equation of Flow Field
References
- Pandey, S.; Park, Y.G.; Ha, M.Y. An exhaustive review of studies on natural convection in enclosures with and without internal bodies of various shapes. Int. J. Heat Mass Transf. 2019, 138, 762–795. [Google Scholar] [CrossRef]
- Murshed, S.S.; De Castro, C.N. A critical review of traditional and emerging techniques and fluids for electronics cooling. Renew. Sustain. Energy Rev. 2017, 78, 821–833. [Google Scholar] [CrossRef]
- Aghakhani, S.; Pordanjani, A.H.; Karimipour, A.; Abdollahi, A.; Afrand, M. Numerical investigation of heat transfer in a power-law non-Newtonian fluid in a C-Shaped cavity with magnetic field effect using finite difference lattice Boltzmann method. Comput. Fluids 2018, 176, 51–67. [Google Scholar] [CrossRef]
- Ozoe, H.; Churchill, S.W. Hydrodynamic stability and natural convection in Ostwald-de Waele and Ellis fluids: The development of a numerical solution. AIChE J. 1972, 18, 1196–1207. [Google Scholar]
- Ohta, M.; Ohta, M.; Akiyoshi, M.; Obata, E. A numerical study on natural convective heat transfer of pseudoplastic fluids in a square cavity. Numer. Heat Transf. Part A Appl. 2002, 41, 357–372. [Google Scholar] [CrossRef]
- Kim, G.B.; Hyun, J.M.; Kwak, H.S. Transient buoyant convection of a power-law non-Newtonian fluid in an enclosure. Int. J. Heat Mass Transf. 2003, 46, 3605–3617. [Google Scholar]
- Lamsaadi, M.; Naimi, M.; Hasnaoui, M.; Mamou, M. Natural convection in a vertical rectangular cavity filled with a non-Newtonian power law fluid and subjected to a horizontal temperature gradient. Numer. Heat Transf. Part A Appl. 2006, 49, 969–990. [Google Scholar] [CrossRef]
- Turan, O.; Sachdeva, A.; Chakraborty, N.; Poole, R.J. Laminar natural convection of power-law fluids in a square enclosure with differentially heated side walls subjected to constant temperatures. J. Non-Newton. Fluid Mech. 2011, 166, 1049–1063. [Google Scholar]
- Khezzar, L.; Siginer, D.; Vinogradov, I. Natural convection of power law fluids in inclined cavities. Int. J. Therm. Sci. 2012, 53, 8–17. [Google Scholar] [CrossRef]
- Matin, M.H.; Pop, I.; Khanchezar, S. Natural convection of power-law fluid between two-square eccentric duct annuli. J. Non-Newton. Fluid Mech. 2013, 197, 11–23. [Google Scholar] [CrossRef]
- Bihiche, K.; Lamsaadi, M.; Hasnaoui, M. Multiple steady state solutions for double-diffusive convection in a shallow horizontal rectangular cavity uniformly heated and salted from the side and filled with non-Newtonian power-law fluids. J. Non-Newton. Fluid Mech. 2020, 283, 104349. [Google Scholar]
- Mahmood, R.; Bilal, S.; Majeed, A.H.; Khan, I.; Sherif, E.S.M. A comparative analysis of flow features of Newtonian and power law material: A New configuration. J. Mater. Res. Technol. 2020, 9, 1978–1987. [Google Scholar]
- Li, Z.; Li, J.; Yan, G.; Galindo-Torres, S.; Scheuermann, A.; Li, L. Mesoscopic model framework for liquid slip in a confined parallel-plate flow channel. Phys. Rev. Fluids 2021, 6, 034203. [Google Scholar] [CrossRef]
- Yan, G.; Li, Z.; Bore, T.; Torres, S.A.G.; Scheuermann, A.; Li, L. A lattice Boltzmann exploration of two-phase displacement in 2D porous media under various pressure boundary conditions. J. Rock Mech. Geotech. Eng. 2022, 14, 1782–1798. [Google Scholar]
- Ren, X.; Wei, S.; Qu, X.; Liu, F. Electrohydrodynamic analysis of electrowetting-on-dielectric (EWOD)-Induced transport of a microdroplet based on the lattice Boltzmann method. AIP Adv. 2019, 9, 055021. [Google Scholar]
- He, Y.L.; Liu, Q.; Li, Q.; Tao, W.Q. Lattice Boltzmann methods for single-phase and solid-liquid phase-change heat transfer in porous media: A review. Int. J. Heat Mass Transf. 2019, 129, 160–197. [Google Scholar]
- Kefayati, G.R.; Hosseinizadeh, S.F.; Gorji, M.; Sajjadi, H. Lattice Boltzmann simulation of natural convection in tall enclosures using water/SiO2 nanofluid. Int. Commun. Heat Mass Transf. 2011, 38, 798–805. [Google Scholar] [CrossRef]
- Dash, S.; Lee, T. Natural convection from inclined square cylinder using novel flexible forcing IB-LBM approach. Eng. Appl. Comput. Fluid Mech. 2014, 8, 91–103. [Google Scholar]
- Sheikholeslami, M.; Shehzad, S.A. Magnetohydrodynamic nanofluid convective flow in a porous enclosure by means of LBM. Int. J. Heat Mass Transf. 2017, 113, 796–805. [Google Scholar] [CrossRef]
- Grasinger, M.; Overacker, S.; Brigham, J. Numerical investigation of the accuracy, stability, and efficiency of lattice Boltzmann methods in simulating non-Newtonian flow. Comput. Fluids 2018, 166, 253–274. [Google Scholar]
- Wang, L.; Mi, J.; Guo, Z. A modified lattice Bhatnagar–Gross–Krook model for convection heat transfer in porous media. Int. J. Heat Mass Transf. 2016, 94, 269–291. [Google Scholar]
- Kefayati, G.R. Simulation of non-Newtonian molten polymer on natural convection in a sinusoidal heated cavity using FDLBM. J. Mol. Liq. 2014, 195, 165–174. [Google Scholar] [CrossRef]
- Zhang, R.; Aghakhani, S.; Hajatzadeh Pordanjani, A.; Vahedi, S.M.; Shahsavar, A.; Afrand, M. Investigation of the entropy generation during natural convection of Newtonian and non-Newtonian fluids inside the L-shaped cavity subjected to magnetic field: Application of lattice Boltzmann method. Eur. Phys. J. Plus 2020, 135, 184. [Google Scholar]
- Boutra, A.; Benkahla, Y.K.; Ameziani, D.E.; Bennacer, R. Lattice Boltzmann simulation of natural convection in cubical enclosures for the Bingham plastic fluid. Heat Transf. Res. 2017, 48, 607–624. [Google Scholar] [CrossRef]
- Jahanbakhshi, A.; Nadooshan, A.A.; Bayareh, M. Magnetic field effects on natural convection flow of a non-Newtonian fluid in an L-shaped enclosure. J. Therm. Anal. Calorim. 2018, 133, 1407–1416. [Google Scholar] [CrossRef]
- Rahman, A.; Nag, P.; Molla, M.M.; Hassan, S. Magnetic field effects on natural convection and entropy generation of non-Newtonian fluids using multiple-relaxation-time lattice Boltzmann method. Int. J. Mod. Phys. C 2021, 32, 2150015. [Google Scholar]
- Li, L.; Mei, R.; Klausner, J.F. Lattice Boltzmann models for the convection-diffusion equation: D2Q5 vs. D2Q9. Int. J. Heat Mass Transf. 2017, 108, 41–62. [Google Scholar]
- Wang, C.H.; Ho, J.R. A lattice Boltzmann approach for the non-Newtonian effect in the blood flow. Comput. Math. Appl. 2011, 62, 75–86. [Google Scholar] [CrossRef]
- Chai, Z.; Zhao, T. Lattice Boltzmann model for the convection-diffusion equation. Phys. Rev. E 2013, 87, 063309. [Google Scholar] [CrossRef]
- Yigit, S.; Chakraborty, N. Numerical investigation of aspect ratio influences on Rayleigh-Bénard convection of power-law fluids in vertical cylindrical annuli. Therm. Sci. Eng. Prog. 2019, 9, 185–199. [Google Scholar]
- He, X.; Chen, S.; Doolen, G.D. A novel thermal model for the lattice Boltzmann method in incompressible limit. J. Comput. Phys. 1998, 146, 282–300. [Google Scholar] [CrossRef]
- Turan, O.; Chakraborty, N.; Poole, R.J. Laminar natural convection of Bingham fluids in a square enclosure with differentially heated side walls. J. Non-Newton. Fluid Mech. 2010, 165, 901–913. [Google Scholar]
- Guo, Z.; Zheng, C.; Shi, B.; Zhao, T.S. Thermal lattice Boltzmann equation for low Mach number flows: Decoupling model. Phys. Rev. E 2007, 75, 036704. [Google Scholar]
- de Vahl Davis, G. Natural convection of air in a square cavity: A bench mark numerical solution. Int. J. Numer. Methods Fluids 1983, 3, 249–264. [Google Scholar]









| Nx × Ny (lu) | |||
|---|---|---|---|
| 64 × 64 | 9.4011 | 4.8734 | 3.6996 |
| 96 × 96 | 9.3896 | 4.7816 | 3.6619 |
| 128 × 128 | 9.3812 | 4.7309 | 3.6324 |
| 160 × 160 | 9.3768 | 4.6867 | 3.5982 |
| 192 × 192 | 9.3745 | 4.6702 | 3.5803 |
| 224 × 224 | 9.3725 | 4.6582 | 3.5624 |
| 256 × 256 | 9.3719 | 4.6578 | 3.5620 |
Disclaimer/Publisher’s Note: The statements, opinions and data contained in all publications are solely those of the individual author(s) and contributor(s) and not of MDPI and/or the editor(s). MDPI and/or the editor(s) disclaim responsibility for any injury to people or property resulting from any ideas, methods, instructions or products referred to in the content. |
© 2023 by the authors. Licensee MDPI, Basel, Switzerland. This article is an open access article distributed under the terms and conditions of the Creative Commons Attribution (CC BY) license (https://creativecommons.org/licenses/by/4.0/).
Share and Cite
Ren, X.; Liu, F.; Xin, Z. A Novel Thermal Lattice Boltzmann Method for Numerical Simulation of Natural Convection of Non-Newtonian Fluids. Processes 2023, 11, 2326. https://doi.org/10.3390/pr11082326
Ren X, Liu F, Xin Z. A Novel Thermal Lattice Boltzmann Method for Numerical Simulation of Natural Convection of Non-Newtonian Fluids. Processes. 2023; 11(8):2326. https://doi.org/10.3390/pr11082326
Chicago/Turabian StyleRen, Xiaofei, Feifei Liu, and Zheng Xin. 2023. "A Novel Thermal Lattice Boltzmann Method for Numerical Simulation of Natural Convection of Non-Newtonian Fluids" Processes 11, no. 8: 2326. https://doi.org/10.3390/pr11082326
APA StyleRen, X., Liu, F., & Xin, Z. (2023). A Novel Thermal Lattice Boltzmann Method for Numerical Simulation of Natural Convection of Non-Newtonian Fluids. Processes, 11(8), 2326. https://doi.org/10.3390/pr11082326
