Abstract
When designing a new type of power plants operating on pulsed detonations of gaseous or liquid fuels, the concept of fast deflagration-to-detonation transition (FDDT) is used. According to the concept, a flame arising from a weak ignition source must accelerate so fast as to form an intense shock wave at a minimum distance from the ignition source so that the intensity of the shock wave is sufficient for fast shock-to-detonation transition by some additional arrangements. Hence, the FDDT concept implies the use of special means for flame acceleration and shock wave amplification. In this work, we study the FDDT using a pulsed detonation tube comprising a Shchelkin spiral and a helical tube section with ten coils as the means for flame acceleration and shock amplification (focusing), respectively. To attain the FDDT at the shortest distances for fuels of significantly different detonability, the diameter of the pulsed detonation tube is taken close to the limiting diameter of detonation propagation for air mixtures of regular hydrocarbon fuels (50 mm). Experiments are conducted with air mixtures of individual gaseous fuels (hydrogen, methane, propane, and ethylene) and binary fuel compositions (methane–hydrogen, propane–hydrogen, and ethylene–hydrogen) at normal pressure and temperature conditions. The use of a helical tube with ten coils is shown to considerably extend the fuel-lean concentration limits of detonation as compared to the straight tube and the tube with a helical section with two coils.
1. Introduction
There are two known scenarios of deflagration-to-detonation transition (DDT) in tubes with gaseous explosive mixtures or gas suspensions of droplets and solid particles. In the first, classical DDT [1,2,3], the ignition of the mixture by a weak ignition source leads to the appearance of a flame, which, while propagating along the tube, changes its shape, increasing the combustion surface, and accelerates, forming compression and shock waves, eventually leading to the self-ignition of a shock-compressed explosive mixture and the onset of detonation. At the stage of flame acceleration, the most important role is played by gas-dynamic effects associated with the generation of turbulence ahead of the flame, for example, those produced with the help of the Shchelkin spiral [4,5,6] or regular orifice plates [7,8,9]. The second scenario was developed for the design of a new type of power plants operating on pulsed detonations and is referred to as fast DDT (FDDT) [10,11]. In this scenario, the flame arising from a weak ignition source must accelerate so fast as to form an intense shock wave at a minimum distance from the ignition source so that the intensity of the shock wave is sufficient for the fast shock-to-detonation transition caused by some additional arrangements in the detonation tube. Hence, the FDDT concept implies the use of special means for flame acceleration and shock wave amplification. Effective passive means of flame acceleration, in addition to the Shchelkin spiral and regular orifice plates, include regular or irregular obstacles of a special shape [12,13,14,15,16] and snail-shaped channels with smooth walls [17]. The obstacles of a special shape provide the fastest flame acceleration with the minimal detrimental impact on the flame-born compression and shock waves traveling ahead of the flame. In snail-shaped channels, the flame propagation velocity increases exponentially rather than linearly, as in a straight channel, due to a large transverse velocity gradient. Fluidic obstacles generating intense turbulence for flame acceleration [18,19,20] and nanosecond repetitive pulsed plasma discharges [21,22,23] can be attributed to active means of flame acceleration.
Effective passive means of shock wave amplification include a single orifice plate [24], focusing nozzles [25,26] or central bodies [27] of special shapes, one or several U-turns of the detonation tube [28,29,30,31,32], annular channels [33,34], tube coils [35,36,37,38], etc. Active means of shock wave amplification include coherent energy deposition to a traveling shock wave triggered by an additional single electrical discharge or distributed electrical discharges [39,40,41,42,43] or by creating a cloud of chemically activated gas in the path of the shock wave [44,45]. Generally speaking, the use of the FDDT concept allows one to maximize the energy potential of fuel for the fastest possible detonation initiation without applying strong ignition sources. This is possible by a proper redistribution of the available energy deposition in space and time.
The use of the FDDT concept with various means of flame acceleration and shock wave amplification allows us to develop and test a standard pulsed detonation tube (SDT-1) for ranking gaseous and liquid fuels by their detonability in mixtures with air using the measured FDDT run-up distance and time [46,47,48,49,50] as the detonability criteria, as well as to study the detonability of binary methane–hydrogen [51,52], propane–hydrogen [53,54], and ethylene–hydrogen [55,56] fuels in mixtures with air. According to Shchelkin [4], the run-up distance of DDT (if it exists) is proportional to the tube diameter; the smaller the diameter, the shorter the DDT run-up distance. The minimum (limiting) value of the tube diameter for the detonation of stoichiometric mixtures of alkane and alkene hydrocarbons larger than propane and propylene is about 50 mm, whereas lighter hydrocarbons (except for methane) and hydrogen exhibit lower limiting tube diameter values. Therefore, to minimize the size of the detonation tube in the experimental setup intended for the various hydrocarbons, we choose this value (50 mm) to cover the whole range of the hydrocarbons, at least for the mixtures of stoichiometric composition. It appears that the stoichiometric methane-air mixture is marginally detonable in the tube of such a diameter. Based on the existing knowledge, one could expect the detonability limits in the tube of larger diameter to be somewhat wider. However, keeping in mind the strong (U-shaped) dependence of the limiting tube diameter on fuel concentration, one could expect the concentration limits, starting from a certain value of tube diameter, to be independent of it. Due to the use of (i) a detonation tube with a diameter close to the limiting diameter of detonation propagation for air mixtures of regular hydrocarbon fuels (50 mm), (ii) a Shchelkin spiral, which provides fast flame acceleration, and (iii) a helical tube section with two coils, which provides the gas-dynamic focusing of the flame-born shock wave, the SDT-1 facility allows the reliable registration of FDDT in air mixtures of gaseous and liquid fuels with significantly different detonability (from methane and aviation kerosene to hydrogen) at the shortest distances (less than 2 m) and for the shortest times (less than 15 ms).
The most Important element of the SDT-1 facility is a helical tube section with two coils. This element allows the fast transition of a flame-born shock wave to a detonation at the shortest distances even in fuel-air mixtures of low detonability. The removal of the helical tube section from the SDT-1 facility, other things being equal, results in the failure of DDT for fuel-air mixtures, which do not exhibit DDT in a straight tube with a Shchelkin spiral. Calculations in [38] showed that successive reflections of the flame-born shock wave from the compressive wall in the coils produce hot spots with elevated temperature and pressure. These hot spots promote the onset of detonation. It is worth noting that similar hot spots arise during DDT and develop detonation propagation in straight tubes with Shchelkin spirals [57] or orifice plates [58]. In these cases, the hot spots originate due to reflections of the flame-born shock wave or a detonation wave from the upstream surfaces of the obstacles. However, contrary to a helical tube with smooth walls, straight tubes with obstacles exhibit a considerable hydrodynamic drag, which deteriorates the conditions for shock amplification [10].
The objectives of this work are to”test’the new version of the standard pulsed detonation tube (SDT-2), in which the helical tube section with two coils is replaced by a helical tube section with ten coils, and to study the effect of the number of coils on the FDDT in air mixtures of individual gaseous fuels (hydrogen, methane, propane, and ethylene) and binary fuel compositions (methane-hydrogen, propane-hydrogen, and ethylene-hydrogen) at normal pressure and temperature (NPT) conditions. These objectives and the obtained results are the novel and distinctive features of this study.
2. Materials and Methods
2.1. Pulsed Detonation Tubes
Figure 1 shows the schematics of SDT-1 (Figure 1a) and SDT-2 (Figure 1b) with the numbers of the measuring ports (shown in bold), the distances between the measuring ports along the axial line, and the overall dimensions of individual sections. Additionally, the total lengths of the tubes along the centerline and the overall size of the tubes are indicated. Table 1 presents information on the sensors: ionization probes (Ips) and pressure sensors (PSs) installed in the measuring ports.
Figure 1.
Schematics of SDT-1 (a) and SDT-2 (b). The asterisk shows the position of the spark gap.
Table 1.
Schemes of installation of ionization probes (IP) and pressure sensors (PS) in SDT-1 and SDT-2.
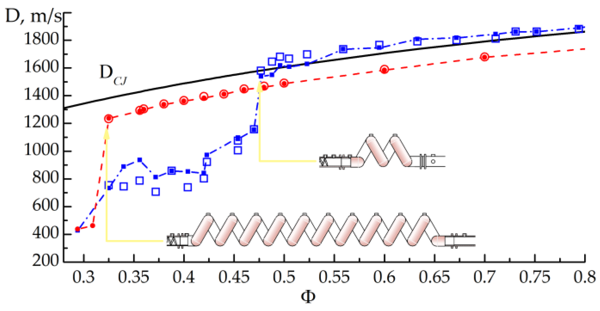
The SDT-2 consists of the same structural elements as the SDT-1, namely, a prechamber with a spark plug (the position of the spark gap is shown by an asterisk in Figure 1), a flame acceleration section with a Shchelkin spiral, a helical tube section for the amplification of a flame-born shock wave, and a measuring section (a straight tube with smooth walls) for measuring the reaction wave (detonation) parameters after it exits from the helical tube section. Both tubes, SDT-2 and SDT-1, have an inner diameter of 50 mm. The geometric parameters of all structural elements of SDT-2 and SDT-1, except for the helical tube section and the length of the measuring section, differ insignificantly. Thus, following the results of [51,52,53,54,55,56], the distance between the last turn of the Shchelkin spiral and the first coil of the helical tube in SDT-2 is reduced to 100 mm, whereas that of the SDT-1 is 150 mm. The Shchelkin spirals themselves are the same: they are wound from steel wire with a diameter of 6.7 mm; the spiral length is 940 mm; the outer diameter of the spiral is 49 mm; and the pitch of the turns is 24 mm. In contrast to that of SDT-1, the helical tube section in SDT-2 contains ten rather than two coils, whereas the average pitch of the coils is the same (216 mm). The measuring section in SDT-2 is approximately a factor of 2.5 shorter than that in SDT-1 (1000 mm vs. 2500 mm). Despite the fact that the length of the SDT-2 along the centerline is increased to 7075 mm (instead of 5005 mm for the SDT-1), the overall dimensions of the SDT-2 (4935 mm) and SDT-1 (4710 mm) are approximately the same. The internal volume of SDT-2 is increased by 4 dm3: 14 dm3 instead of 10 dm3 for SDT-1.
2.2. Experimental Setup and Procedure
Figure 2 shows a schematic of the experimental setup with the SDT-2. The setup consists of a fuel-air mixture preparation and supply system, ignition system, control system, and data acquisition system. All systems are identical to those used in the experimental setup with SDT-1. The mixture is prepared in a 40 dm3 mixer equipped with a fan. Before mixture preparation, the mixer is evacuated to a pressure of less than 0.1 kPa using a vacuum pump. The mixture is prepared by partial pressures. The pressure is determined with an accuracy of 0.1 kPa. Molecular mixing of the components is achieved by turning on the fan located inside the mixer for 20 min.
Figure 2.
Schematic of the experimental setup with SDT-2.
The SDT-2 is filled with a fuel-air mixture in the following way. First, the tube is purged with compressed air. Thereafter, the tube is purged with the fuel-air mixture from the mixer until the volume of the purged mixture is four times the volume of SDT-2. The volume of the fuel-air mixture purged through the tube is controlled by the pressure drop in the mixer, whereas the flow rate of the mixture (10–20 L/min) is controlled by the vent valve. After the vent valve is closed, the ignition is triggered with a delay of 4 s. The number of experiments (hereinafter “shots”) for fuel-air mixtures of a certain composition is normally 3. The instantaneous location and arrival time of the leading edge of the reaction front is determined using IPs [59]. The accuracy of determining the location and the arrival time of the reaction front using IPs is ± 2 mm and ± 1 μs. To record the pressure amplitude and profile in the shock and detonation waves, high-frequency piezoelectric PSs (PCB113B24) with a natural frequency of 500 kHz are used. The accuracy of determining the location of the pressure wave using PSs is ± 6 mm. From the IP and PS records, the velocities of the reaction front and leading shock wave are calculated, respectively. The apparent velocity of the leading edge of the reaction front on a measuring segment is determined by the known distance between the measuring ports with IPs along the axial line and by the time interval between the instants of arrival of the reaction front at these IPs. The propagation velocity of the flame-born pressure wave is determined similarly, but, instead of the IP records, the PS records are used. The error in determining the propagation velocity of the reaction front and pressure wave at > 1000 m/s and > 1000 m/s is estimated at 3%. This allows one to build “time-distance” () and “wave velocity-distance” () diagrams of the development of the process. Joint consideration of the and diagrams allows one to determine the FDDT run-up distance and time . The values of and are the distance from the ignition source and the time from the ignition instant at which the reaction front velocity reaches a steady-state value of the self-sustaining detonation velocity close to the thermodynamic Chapman-Jouguet (CJ) detonation velocity for the fuel-air mixture under study. Self-sustaining detonation is understood as the steady-state reaction wave propagating at an average velocity, which is constant within ± 3%, whereas the fronts of the reaction and the leading shock wave merge within ± 6 μs. Particular attention is paid to the reproducibility of the results; a detonation wave is considered to be established if it propagates with approximately the same supersonic speed in all shots with the fuel-air mixture of a given composition. The errors in determining and are the maximum deviations of the values of and from the arithmetic mean in 3 successive shots. The minimum absolute error in determining corresponds to half the length of the measuring segment on which the FDDT is registered. To refine the values of , the trajectory of the detonation wave recorded with the help of PSs is used.
2.3. Gases
The pressurized gases used in the experiments are air, hydrogen, methane (natural gas), propane, and ethylene at = 300 K. The gases provided by the manufacturer are commercial-grade (99.9% purity) hydrogen, propane, and ethylene. The room air is compressed by an oil-free air compressor (Fubag OL195/6 CM1.5, Fubag GmbH, Germany) and used as an oxidizer. The composition of the natural gas is presented in Table 2. As can be seen, the volume fraction of methane in the natural gas is 94.8%.
Table 2.
Natural gas composition (%vol.).
3. Results and Discussion
This section discusses the results of experiments on the FDDT in the SDT-2 facility in air mixtures of hydrogen, methane, propane, and ethylene, as well as in air mixtures of binary methane-hydrogen, propane-hydrogen, and ethylene-hydrogen fuels, under NPT conditions. Where possible, the experimental results are compared with those obtained in SDT-1.
3.1. Hydrogen-Air Mixtures
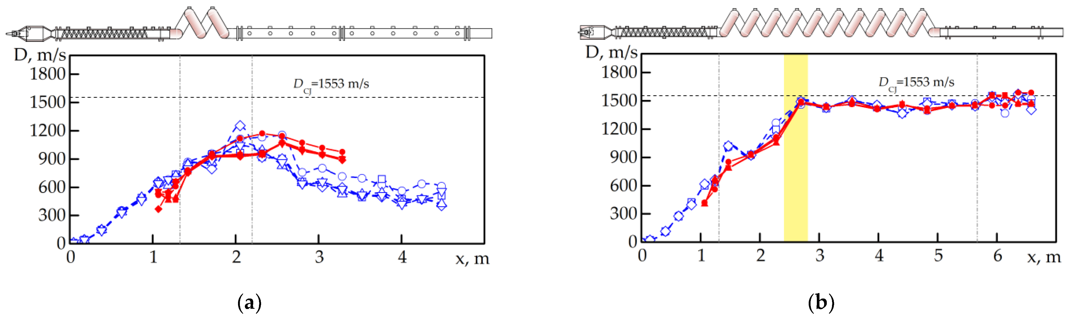
Experiments with hydrogen-air mixtures showed that the FDDT occurred in a very similar way in both SDT-1 and SDT-2 over a wide range of compositions determined by the value of the fuel-to-air equivalence ratio . Figure 3 compares the dependences of the reaction front velocity and shock wave velocity measured in SDT-1 (Figure 3a) and in SDT-2 (Figure 3b) on the axial distance from the ignition source for a hydrogen-air mixture with 0.5 (hydrogen volume fraction in the mixture 17.2–17.3%(vol.)). From now on, the vertical dash-dotted lines in the figures show the beginning and end of the helical tube section in SDT-1 and SDT-2, and the horizontal dashed line shows the CJ detonation velocity . The yellow vertical bar corresponds to the experimental spread of the measured FDDT run-up distance . In SDT-1, the FDDT in a mixture with 0.5 occurred at the exit from the helical tube section at a distance = 2.2–2.3 m with a steady-state value of the detonation velocity in the measuring section 1585±15 m/s. The CJ detonation velocity for this mixture was = 1607 m/s. This means that the detonation propagated with the velocity deficit 1%. In SDT-2, the FDDT occurred in a similar way between the second and third coils at a distance = 2.2–2.5 m; however, the steady-state value of the detonation velocity in the helical tube section was noticeably lower ( = 1490 ± 20 m/c) than the CJ detonation velocity, so that the detonation velocity deficit was 7%. When the detonation wave entered the measuring section of SDT-2, the detonation velocity increased to 1540 ± 20 m/s, and the detonation velocity deficit decreased to 1%.
Figure 3.
diagrams for several shots with a fuel-lean hydrogen–air mixture with 0.5: (a) 17.2%(vol.) H2–air mixture, SDT-1; (b) 17.3%(vol.) H2–air mixture, SDT-2. Horizontal dashed lines correspond to the CJ detonation velocity ; different symbols correspond to different shots; empty symbols connected by a dotted line correspond to the reaction front velocity ; filled symbols connected by a solid line correspond to the shock wave velocity .
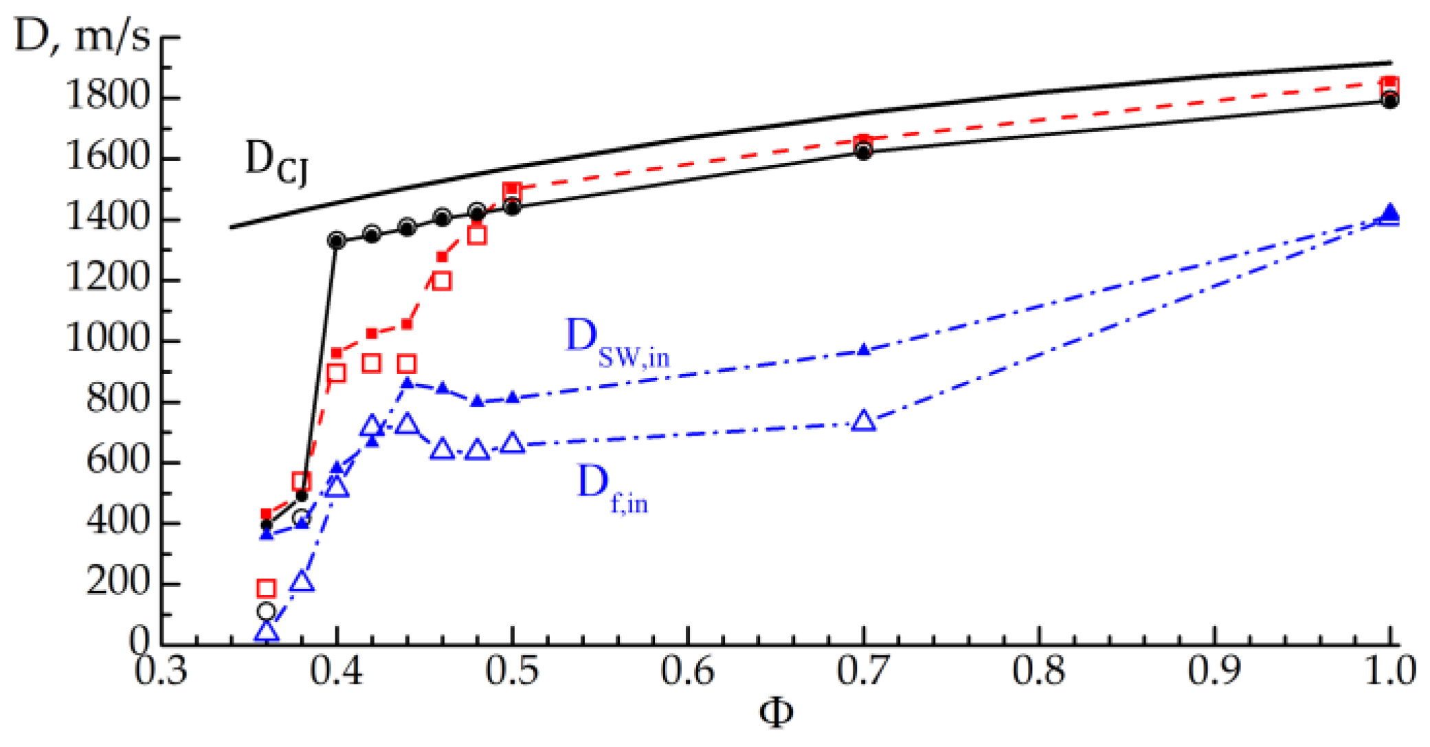
When the hydrogen content in the hydrogen-air mixture decreased below 0.5, the maximum velocity of the reaction front in the Shchelkin spiral decreased, and, at a certain limiting value, , the FDDT failed to occur. The value of in SDT-2 turned out to be lower than in SDT-1, which means that the fuel-lean concentration limit of FDDT in SDT-2 was extended. In confirmation of this, Figure 4 shows the dependences of the propagation velocities of the reaction front and flame-born shock wave on the distance measured in SDT-1 (Figure 4a) and SDT-2 (Figure 4b) for a hydrogen-air mixture with = 12%(vol.) ( 0.325). In SDT-1, there was no FDDT, while in SDT-2, the FDDT occurred in the seventh coil of the helical tube section at a distance 4 m, and the steady-state value of the detonation velocity in the helical tube section was = 1240 ± 40 m/s at = 1385 m/s (velocity deficit 10%). The extension of the fuel-lean concentration limit of FDDT in SDT-2 was obviously caused by the longer helical tube section and a larger number of successive reflections of the flame-born shock wave from the compressive wall in the coils, leading to a secondary explosion and detonation onset. The established detonation wave was capable of propagating in a smooth-walled helical tube with a large velocity deficit above 10%, which was apparently caused by the additional stabilizing effect of the transverse shock waves formed upon reflection of the detonation wave from curved surfaces. Previously [60], a similar velocity deficit (above 10%) was detected during the propagation of transient detonation waves in short tubes under the intense action of rarefaction waves. Interestingly, when entering the straight measuring section of SDT-2, the detonation wave decayed (see Figure 4b).
Figure 4.
diagrams for several shots with a fuel-lean 12%(vol.) H2–air mixture ( 0.325): (a) SDT-1; (b) SDT-2. The horizontal dashed lines correspond (from bottom to top) to the speed of sound in the initial mixture, the speed of sound in the detonation products, and the CJ detonation velocity; different symbols correspond to different shots; open symbols connected by a dotted line correspond to the reaction front velocity ; filled symbols connected by a solid line correspond to the shock wave velocity .
Several important observations must be noted. First, the process evolution in the same segments of SDT-1 and SDT-2 facilities was about the same. This can be readily seen from Figure 3 and Figure 4 for hydrogen-air mixtures with 0.5 and 0.325. The evolution of the reaction front and shock wave velocities in the flame acceleration section and in the first two coils of the helical tube looked very similar. However, their further evolution looked different, apparently due to an additional effect of shock wave reflections from the curved surfaces in the longer helical tube of the SDT-2 facility. To demonstrate the effect of such reflections on DDT, let us consider Figure 5, which shows three successive snapshots of pressure isosurfaces in the course of shock wave propagation in a tube coil filled with a gaseous reactive mixture. These snapshots were obtained by calculations similar to those discussed in [38]. The incident shock wave propagates counterclockwise. As seen, shock wave propagation along the coil results in multiple reflections from the outer coil wall. One of the reflections at the 11 o’clock position results in the onset of detonation through the formation of a detonation “bubble” (see Figure 5a), its growth (see Figure 5b), and transformation to the overdriven detonation wave propagating in both directions, clockwise and counterclockwise (see Figure 5c).
Figure 5.
Three successive snapshots of pressure isosurfaces in the course of shock wave propagation (counterclockwise) in a tube coil filled with a gaseous reactive mixture; the pressure scale is in MPa. (a) Formation of a detonation bubble, (b) growth of the detonation bubble, and (c) propagation of the overdriven detonation in both directions.
Second, at the fuel-lean concentration limit of FDDT (at ), the minimum apparent propagation velocity of the reaction front at the inlet to the helical tube section was virtually constant and close to 400 m/s. As is shown later in this paper, for mixtures of hydrocarbon fuels with air, as well as for mixtures of binary hydrocarbon-hydrogen fuels, the minimum value of the apparent reaction front velocity at the fuel-lean concentration limit of FDDT (at ) was also almost constant and close to 500 m/s. Third, in SDT-1 and SDT-2, both the reaction front and the flame-born shock wave propagated at an almost constant velocity of about 800 m/s when entering the helical tube section. Fourth, in our previous experiments with spark ignition of the hydrogen-air mixture with 0.325 at the closed end of a straight, smooth-walled tube with the same length-to-diameter ratio, the maximum measured propagation velocity of the reaction front reached only 40–80 m/s, and no tendency of the flame to accelerate was noted. In the experiments on SDT-1 and SDT-2, the apparent flame propagation velocity in the flame acceleration section (inside the Shchelkin spiral) increased to about 600 m/s and further increased to about 800 m/s in the helical tube section. Furthermore, in SDT-2, the FDDT led to the formation of the established detonation wave propagating steadily along the helical tube section. Thus, a sufficiently extended helical tube allows one to obtain the FDDT in fuel-air mixtures of extremely fuel-lean composition, such that classical DDT is impossible neither in straight tubes with smooth walls nor in straight tubes with rough walls.
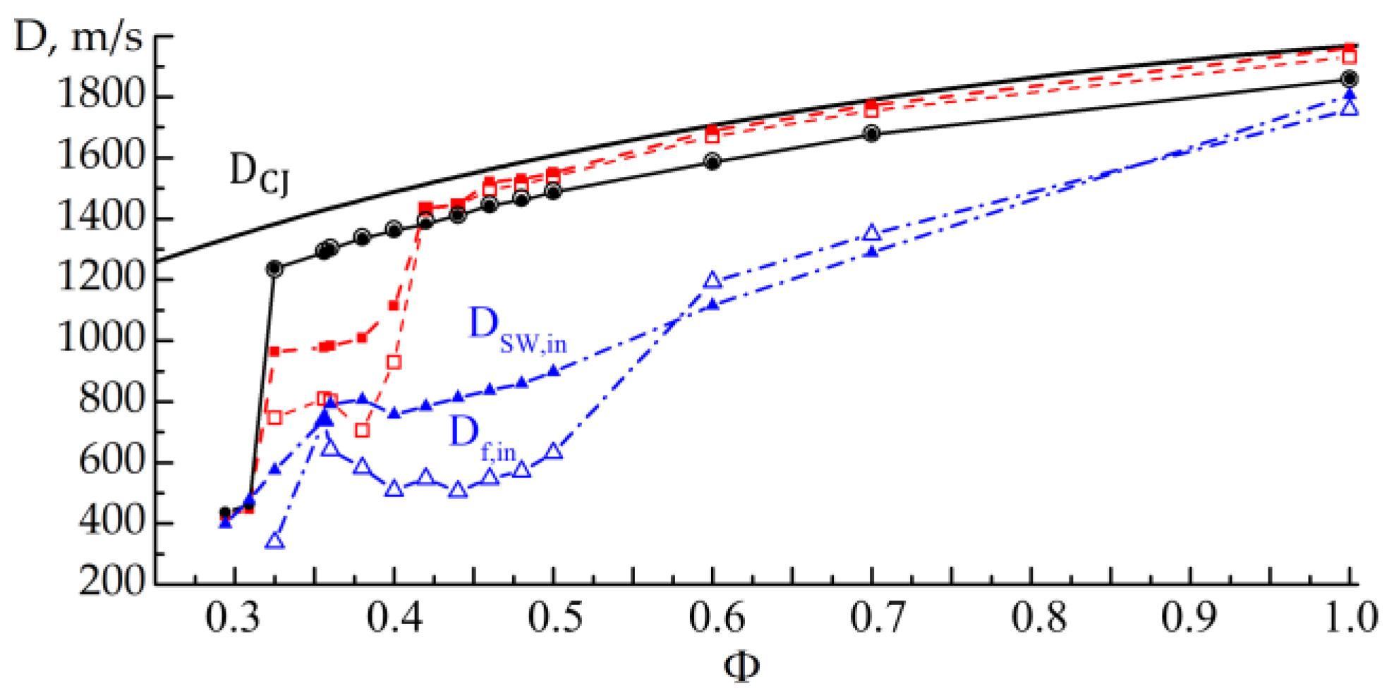
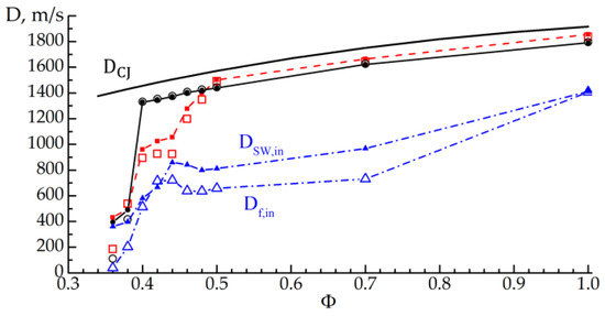
Figure 6 shows the dependences of the propagation velocities of the reaction front and the flame-born shock wave measured in different sections of SDT-2 on the fuel-to-air equivalence ratio in the hydrogen-air mixture. A decrease in hydrogen volume fraction from = 29.6%(vol.) (=1) to = 15%(vol.) ( = 0.42) led to a decrease in the detonation velocity in the measuring section of SDT-2 and to an increase in the detonation velocity deficit from approximately 1% to 6%. At < 15%(vol.), the detonation decayed in the measuring section of SDT-2, and the velocity of the flame-born shock wave decreased sharply from 1450 to 960 m/s when decreased from 15%(vol.) to 14%(vol.). Nevertheless, in the helical tube section, detonation propagated steadily at > 12%(vol.) ( = 0.325) with a velocity deficit 10%, which was two times higher than the detonation velocity deficit for the detonation wave propagating in the fuel-air mixture of near-stoichiometric composition ( 5–6%). Interestingly, when the hydrogen volume fraction in the mixture approached = 15%(vol.) ( = 0.42), the probability of detonation failure increased in the shots with the same mixture. Thus, at = 15.6%(vol.) ( = 0.44), detonation failed in one of three shots. The closer the mixture composition was to = 0s.42, the more shots with detonation failure were registered (see Appendix). Transition from the steadily propagating detonation to a galloping mode (the mode with significant fluctuations in the detonation velocity) always occurred through a single-headed spin [61]. The domain of the galloping mode at the fuel-lean limit for hydrogen-air mixtures found in [61] corresponded to = 12.5–14.3%(vol.) or = 0.34–0.40. In our study, this domain approximately corresponded to the domain = 12–15%(vol.) ( = 0.325–0.42), in which we registered detonation decay in the course of detonation transition from the helical tube section to the straight measuring section with smooth walls.
Figure 6.
Dependences of the propagation velocities of the reaction front and the flame-born shock wave measured in different sections of SDT-2 on the fuel-to-air equivalence ratio in the hydrogen–air mixture. The solid curve corresponds to the CJ detonation velocity open symbols correspond to the reaction front velocity ; filled symbols correspond to the shock wave velocity ; squares connected with a dashed line correspond to the velocities in the measuring section; circles connected with a solid line correspond to the velocities measured in the helical tube section; triangles connected with a dash-dotted line correspond to the velocities at the inlet to the helical tube section.
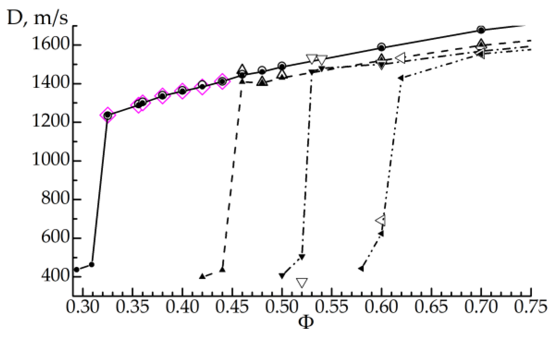
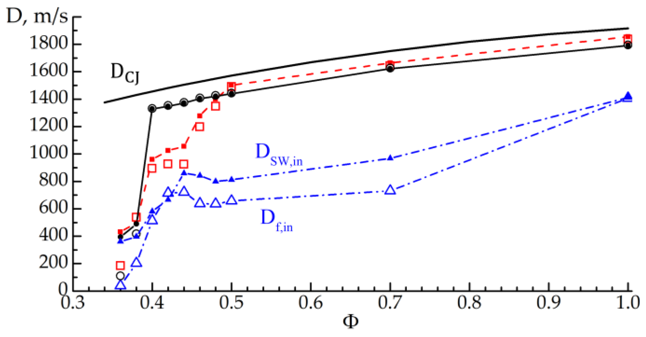
Figure 7 compares the measured detonation velocities in the measuring sections of SDT-1 and SDT-2 as a function of the fuel-to-air equivalence ratio in fuel-lean and near-stoichiometric hydrogen-air mixtures. In SDT-1 and SDT-2, the FDDT was registered at > 0.48 and > 0.32, respectively. According to the literature data, when the detonation is obtained by direct initiation, the lower concentration limit of detonation propagation in tubes of different diameter filled with the hydrogen-air mixture is = 18.3%(vol.) ( = 0.53 [62]) and = 12.5%(vol.) ( = 0.34, up to 30 cm [61]). The use of a combination of Shchelkin spiral and a helical tube section with ten coils allowed approaching the lower concentration limit of detonation reported in [61] via FDDT rather than via direct detonation initiation.
Figure 7.
Comparison of the measured detonation velocities in the last coil of the helical tube section in SDT-1 and SDT-2 with fuel-to-air equivalence ratio in the hydrogen–air mixture. The solid curve corresponds to the CJ detonation velocity open symbols correspond to the reaction front velocity ; filled symbols correspond to the shock wave velocity ; squares connected with a dash-dotted line correspond to the velocities at the exit from the last coil of the helical tube section in SDT-1; circles connected with a dashed line correspond to the steady-state detonation velocities in the helical tube section in SDT-2.
The maximum measured DDT run-up distance for hydrogen-air mixtures was attained at 0.326 (see Appendix) with a value of 3.97 m along the facility centerline, i.e., DDT always occurred far from the end of the helical tube in the SDT-2 facility.
3.2. Methane-Air Mixtures
Experiments with methane-air mixtures were conducted at = 0.7, 0.8, 0.9, and 1.0 (see Appendix). Figure 8 compares the dependences of the reaction front velocity and the flame-born shock wave velocity measured in SDT-1 (Figure 8a) and SDT-2 (Figure 8b) on the distance for the methane-air mixture with = 1.0 (methane volume fraction = 9.5%(vol.)). The reproducibility of experiments in SDT-2 was seen to be much better than in SDT-1. However, when switching from a mixture with = 1.0 to a mixture with = 0.9, detonation decayed in the measuring section of SDT-2 in two of three shots, and, when switching to a mixture with = 0.8, it decayed in each shot. At = 0.7, at the exit from the Shchelkin spiral, the maximum apparent propagation velocity of the reaction front reached only 150 m/s, and the flame no longer accelerated in the helical tube section.
Figure 8.
diagrams for several shots with the stoichiometric methane–air mixture ( = 1): (a) SDT-1; (b) SDT-2. Horizontal dashed lines correspond to the CJ detonation velocity ; different symbols correspond to different shots; empty symbols connected by a dotted line correspond to the reaction front velocity ; filled symbols connected by a solid line correspond to the shock wave velocity .
The maximum measured DDT run-up distance for methane-air mixtures was attained at 0.8 (see Appendix) with a value of 4.04 m along the facility centerline, i.e., DDT always occurred inside the helical tube in the SDT-2 facility.
3.3. Methane-Hydrogen-Air Mixtures
The addition of methane to hydrogen led to the narrowing of the fuel-lean concentration limits of FDDT in SDT-2. Figure 9 shows an example illustrating this fact. The dilution of hydrogen with methane by 10%(vol.) (the fuel consisted of 10%(vol.) CH4 and 90%(vol.) H2) led to a shift in the lower concentration limit of FDDT from = 0.32 for a hydrogen-air mixture to = 0.40 for a 1% CH4 + 10% H2 + 89% air mixture. It can be seen from Figure 9 that at = 0.38 there was still no FDDT, and at = 0.40, FDDT occurred in the helical tube section with subsequent detonation decay when it entered the straight measuring section with smooth walls.
Figure 9.
diagrams for several shots with the fuel-lean methane–hydrogen–air mixtures in SDT-2: (a) 1% CH4 + 10% H2 + 89% air mixture, 0.38; (b) 1.14% CH4 + 10.3% H2 + 88.6% air, 0.40. Horizontal dashed lines correspond to the CJ detonation velocity ; different symbols correspond to different shots; empty symbols connected by a dotted line correspond to the reaction front velocity ; filled symbols connected by a solid line correspond to the shock wave velocity .
Figure 10 shows the dependences of the propagation velocities of the reaction front and the flame-born shock wave measured in different sections of SDT-2 on the fuel-to-air equivalence ratio in the blended methane-hydrogen (10% CH4 + 90% H2) fuel-air mixture. Similar to in hydrogen-air mixtures, there existed a range of compositions of methane-hydrogen-air mixtures in which FDDT occurred in the helical tube section, and the arising detonation wave propagated steadily in this section but decayed when entering the straight measuring section with smooth walls.
Figure 10.
Dependences of the propagation velocities of the reaction front and the flame-born shock wave measured in different sections of SDT-2 on the fuel-to-air equivalence ratio in the blended (10% CH4 + 90% H2) fuel–air mixture. The solid curve corresponds to the CJ detonation velocity open symbols correspond to the reaction front velocity ; filled symbols correspond to the shock wave velocity ; squares connected with a dashed line correspond to the velocities in the measuring section; circles connected with a solid line correspond to the velocities measured in the helical tube section; triangles connected with a dash-dotted line correspond to the velocities at the inlet to the helical tube section.
Figure 11 shows the results of measurements of the detonation velocity in the helical tube section of SDT-2 for methane-hydrogen-air mixtures with different dilutions of hydrogen with methane. The modes of steady-state detonation propagation in the helical tube section followed by detonation decay in the measuring section (D/F modes) are marked with diamonds. With an increase in the methane content and a decrease in the hydrogen content in the fuel, the domain of existence of such D/F modes in terms of shrunk, while the transition region itself was quite narrow. At the fuel-lean concentration limit of FDDT, the minimum apparent propagation velocity of the reaction front at the inlet to the helical tube section was almost constant and close to 500 m/s; when hydrogen was diluted with methane by 10, 20, 30, 40, and 50%, this velocity was 510 ± 10 ( 0.40), 500 ± 30 ( 0.46), 420 ± 80 ( 0.50), 520 ± 20 ( 0.56), and 500 ± 10 ( 0.60) m/s, respectively (see Appendix).
Figure 11.
Dependences of the propagation velocities of the reaction front and the flame-born shock wave measured in the last coil of the helical tube section in SDT-2 on the fuel-to-air equivalence ratio in methane–hydrogen–air mixtures with different dilution of hydrogen with methane. Open circles correspond to the reaction front velocity ; filled circles correspond to the shock wave velocity ; circles connected with a solid line correspond to 100% H2; triangles 8 and ▲ connected with a dashed line correspond to 10% CH4 + 90% H2; triangles X and ▼ connected with a dash-dotted line correspond to 20% CH4 + 80% H2; triangles Ξ and ◄ connected with a dash-double dotted line correspond to 40% CH4 + 60% H2; diamonds correspond to modes with steady detonation propagation in the helical tube section and detonation decay in the measuring section.
According to the records of pressure sensors in the measuring section of SDT-2, detonation in methane-hydrogen-air mixtures near the fuel-lean concentration limit propagated in the spinning mode. Figure 12 shows an example of pressure records taken by three PSs in the measuring section of SDT-2 in three successive shots with the (20% CH4 + 80% H2)-air mixture at = 0.54. As seen, the detonation decayed in the first shot and propagated steadily in the spinning mode in the second and third shots. The spinning mode of detonation can be recognized from the pressure records. When the spinning detonation wave traveled along the tube and the spin head passed over the surface of a PS, the pressure record showed a sharp pressure rise or pressure peak on the background of a weaker shock wave. Similar pressure records were obtained for the (40% CH4 + 60% H2)-air mixture at = 0.56 (see D/F modes in Appendix).
Figure 12.
Records of pressure sensors 16, 19, and 21 in the measuring section of SDT-2 in three successive shots with (20% CH4 + 80% H2)–air mixture at Φ = 0.54.
The maximum measured DDT run-up distance was attained for (30% CH4 + 70% H2)-air mixture at = 0.5 (see Appendix) with a value of 5.61 m along the facility centerline, i.e., DDT always occurred inside the helical tube in SDT-2 or at the exit of the tenth coil.
3.4. Propane-Hydrogen-Air Mixtures
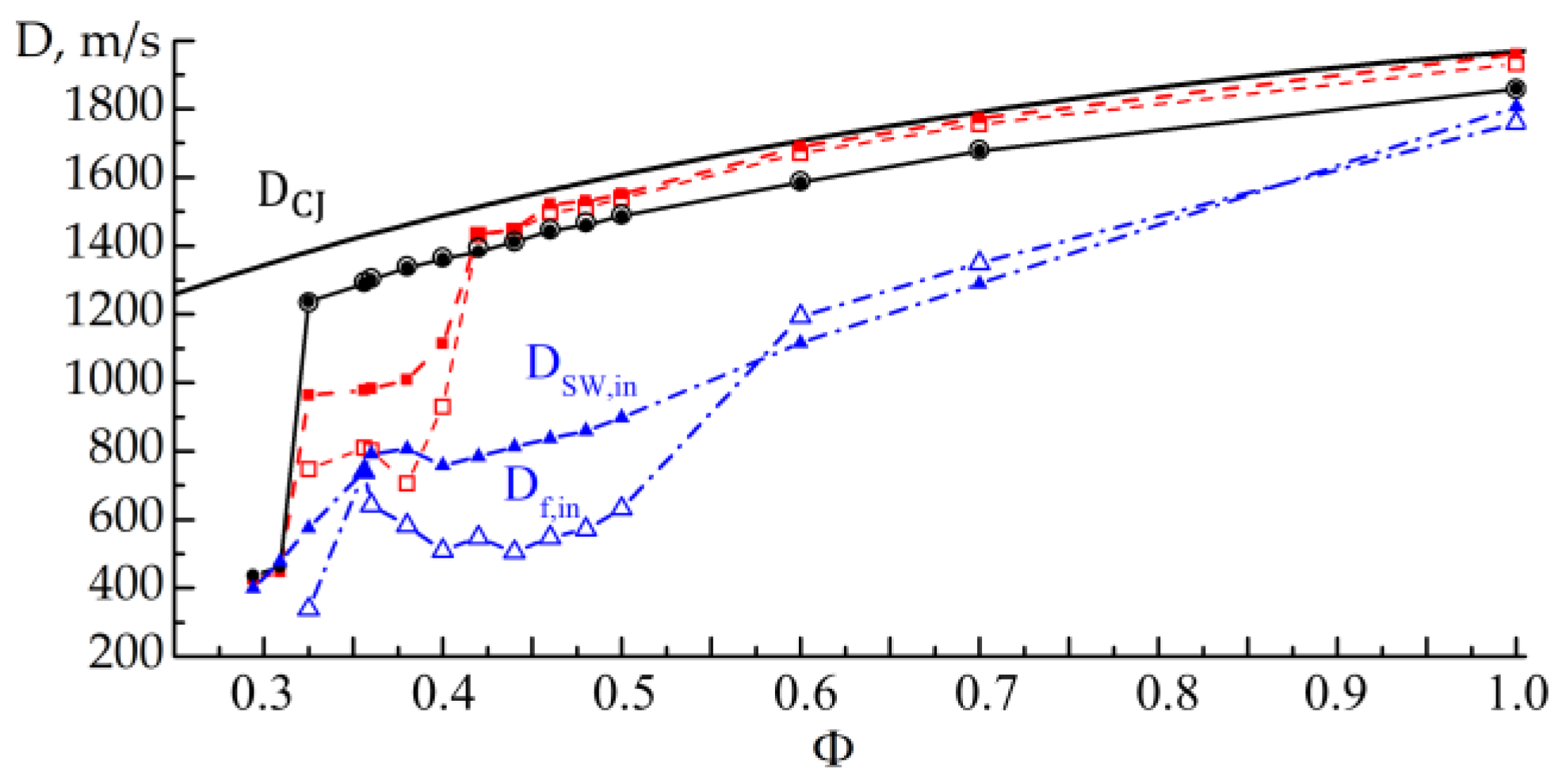
When hydrogen was diluted with propane, the results obtained in SDT-2 were generally the same as those previously obtained in SDT-1 [33,34]. Figure 13 shows the dependences of the measured propagation velocities of the reaction front and flame-born shock wave in the measuring section of SDT-2 on the fuel-to-air equivalence ratio of propane-hydrogen-air mixtures with different dilutions of hydrogen with propane (0, 10, 20, and 40%). At the fuel-lean concentration limit of FDDT, the minimum apparent propagation velocity of the reaction front at the entrance to the helical tube section was virtually constant and close to 500 m/s. When hydrogen was diluted with propane by 10% ( 0.46), 20% ( 0.53), and 40% ( 0.62), this velocity was equal to 510 ± 30, 400 ± 50, and 480 ± 60 m/s, respectively. Note that FDDT in a propane-air mixture (without hydrogen) occurs only at ≥ 0.72 ( 2.9%(vol.)), and there is no FDDT in the leaner mixtures. In the propane-air mixture, the lower concentration limit of FDDT in SDT-2 (2.9%(vol.) C3H8) turned out to be slightly narrower than the lower detonability limits reported in [61] and [60] (2.3%(vol.) C3H8 and 2.6%(vol.) C3H8) for tubes 160 and 70 mm in diameter, respectively, but slightly wider than the limit of detonation reinitiation after it transitioned from a rough tube (a tube with a Shchelkin spiral) to a smooth-walled tube (3.5%(vol.) C3H8 [61]).
Figure 13.
Dependences of the propagation velocities of the reaction front and the flame-born shock wave measured in the last coil of the helical tube section in SDT-2 on the fuel-to-air equivalence ratio in propane–hydrogen–air mixtures with different dilutions of hydrogen with propane. Open circles correspond to the reaction front velocity ; filled circles correspond to the shock wave velocity ; circles connected with a solid line correspond to 100% H2; triangles 8 and ▲ connected with a dotted line correspond to 10% C3H8 + 90% H2; triangles X and ▼ connected with a dash-dotted line correspond to 20% C3H8 + 80% H2; triangles Ξ and ◄ connected with a double dash-dotted line correspond to 40% C3H8 + 60% H2.
The maximum measured DDT run-up distance for propane-air mixtures was attained at 0.71 (see Appendix) with a value of 5.8 m along the facility centerline, i.e., DDT always occurred inside or shortly outside the helical tube of the SDT-2.
3.5. Ethylene-Hydrogen-Air Mixtures
Figure 14 shows the dependences of the propagation velocities of the reaction front and the flame-born shock wave in the measuring section of SDT-2 on the fuel-to-air equivalence ratio of ethylene-hydrogen-air mixtures with dilutions of hydrogen with ethylene by 0, 10, 20, 30, and 40%. With a decrease in the hydrogen content in the fuel, the fuel-lean concentration limit of FDDT shifted to higher values of from 0.32 (100% H2) to 0.50 (60% H2). In SDT-1, the FDDT in ethylene-air mixtures (without hydrogen) was registered at > 0.6, while, in the leaner mixtures, the FDDT was not obtained. Note that for ethylene-air mixtures, the lower detonability limit was 3.5%(vol.) C2H4 ( = 0.52), as reported in [61].
Figure 14.
Dependences of the measured propagation velocities of the reaction front and the flame-born shock wave in the measuring section of SDT-2 on the fuel-to-air equivalence ratio in ethylene–hydrogen–air mixtures with different dilutions of hydrogen with ethylene. Open circles correspond to the reaction front velocity ; filled circles correspond to the shock wave velocity ; circles connected with a solid line correspond to 100% H2; triangles 8 and ▲ connected with a dotted line correspond to 10% C2H4 + 90% H2; triangles X and ▼ connected with a dash-dotted line correspond to 20% C2H4 + 80% H2; triangles Ξ and ◄ connected with a double dash-dotted line correspond to 30% C2H4 + 70% H2; triangles χ and ► connected with a double dash-dotted line correspond to 40% C2H4 + 60% H2.
Figure 15 shows an example demonstrating the extension of the concentration limits of the FDDT in SDT-2 compared to SDT-1 for a fuel containing 30%(vol.) C2H4 and 70%(vol.) H2 at = 0.50. In the initial stages, flame acceleration in SDT-1 and SDT-2 looked almost the same up to distances of 1.7–1.8 m from the ignition source. Thereafter, the FDDT occurred in SDT-2 between the second and third coils of the helical tube section, whereas the FDDT failed in SDT-1; the flame-born shock wave exited the coils at a velocity below 1200 m/s and decayed. When decreased to 0.48, the FDDT was still registered in SDT-2. At the fuel-lean concentration limit of FDDT, the minimum apparent propagation velocity of the reaction front at the inlet to the helical tube section was almost constant and close to 500 m/s. When diluting hydrogen with ethylene by 10, 20, 30, and 40%, this velocity was 450 ± 60 m/s ( 0.40), 470 ± 50 m/s ( 0.44), 450 ± 70 ( 0.48), and 410 ± 90 m/s ( 0.50), respectively.
Figure 15.
diagrams for several shots with a fuel-lean (30% C2H4 + 70% H2)–air mixture with = 0.50. (a) SDT-1, no detonation; (b) SDT-2, detonation in the helical tube section and in the measuring section. The horizontal dashed lines correspond to the CJ detonation velocity; different symbols correspond to different shots; open symbols connected by a dotted line correspond to the reaction front velocity ; filled symbols connected by a solid line correspond to the shock wave velocity .
The maximum measured DDT run-up distance was attained for (20% C2H4 + 80% H2)-air mixture at = 0.44 (see Appendix) with a value of 4.69 m along the facility centerline, i.e., DDT always occurred inside the helical tube of the SDT-2.
4. Conclusions
In this manuscript, we continued the study of the FDDT in tubes filled with gaseous explosive mixtures. The concept of FDDT implies the adoption of special means for flame acceleration and the amplification of the flame-born shock wave. For flame acceleration we used a Shchelkin spiral, and for shock wave amplification we used a helical tube section providing gas-dynamic focusing of the flame-born shock wave. Based on our previous studies and the results obtained in the pulsed detonation tube SDT-1, we developed a new pulsed detonation tube, SDT-2, with a longer helical tube section containing ten rather than two coils. Using SDT-2, we studied the influence of the number of coils in the helical tube section on the FDDT in air mixtures of hydrogen, methane, propane, and ethylene, as well as binary methane-hydrogen, propane-hydrogen, and ethylene-hydrogen fuels, under normal conditions. Despite FDDT mainly occurring inside the helical tube of SDT-2, it was designed for studies of FDDT in both gaseous and heterogeneous fuel-air mixtures, which could potentially have a larger DDT run-up distance. Therefore, SDT-2 was designed with some reserve in terms of the helical tube length. Similar to SDT-1, the SDT-2 facility was used to rank the various gaseous and heterogeneous fuel-air mixtures by their detonability in terms of DDT run-up distance and time. This ranking is different from the common approach based on ranking fuel-air mixtures by their detonability in terms of the detonation cell size; the former accounts for both the low-temperature and high-temperature reactivity of fuels during flame propagation and preflame self-ignition, while the latter is relevant only to high-temperature reactivity of fuels during propagation of developed detonations.
In this study, the following new results were obtained:
- (1)
- The possibility of a significant reduction in the detonation run-up distance in the studied fuel-air mixtures in comparison with that of the SDT-1 was demonstrated;
- (2)
- The possibility of a significant extension of the fuel-lean concentration limit of the fast deflagration-to-detonation transition in the studied fuel-air mixtures in comparison with that of the SDT-1 was demonstrated; in sufficiently long helical tubes, fast deflagration-to-detonation transition is possible in explosive mixtures of such a composition, for which classical DDT is impossible in straight tubes with smooth or rough walls;
- (3)
- The minimum apparent propagation velocity of the reaction front at the entrance to the helical tube section at the fuel-lean concentration limit of fast deflagration-to-detonation transition turned out to be virtually constant and close to 400–500 m/s for all studied fuel-air mixtures;
- (4)
- For all studied fuel-air mixtures, steady-state propagation of detonation in the helical tube section with a velocity deficit above 10% was recorded, which is impossible when detonation propagates in a straight tube with smooth walls.
Author Contributions
Conceptualization, S.M.F. and I.O.S.; methodology, I.O.S.; formal analysis, I.O.S., S.M.F., and M.V.K.; investigation, I.O.S., V.S.A., M.V.K., and P.A.G.; data curation, I.O.S. and M.V.K.; writing—original draft preparation, S.M.F. and I.O.S.; writing—review and editing, S.M.F.; supervision, S.M.F.; project administration, S.M.F.; funding acquisition, S.M.F. All authors have read and agreed to the published version of the manuscript.
Funding
The work was supported by the Ministry of Science and Higher Education (state contract no. 13.1902.21.0014-prolongation, agreement no. 075-15-2020-806).
Data Availability Statement
The data are available on request.
Conflicts of Interest
The authors declare no conflict of interest.
Abbreviations
| CJ | Chapman-Jouguet |
| DDT | Deflagration-to-detonation transition |
| FDDT | Fast deflagration-to-detonation transition |
| IP | Ionization probe |
| NPT | Normal pressure and temperature |
| PS | Pressure sensor |
| SDT-1 | Standard pulsed detonation tube (version 1) |
| SDT-2 | Standard pulsed detonation tube (version 2) |
Appendix
Table A1.
Summary table of experiments conducted in SDT-2 facility with air mixtures of unitary and binary fuels. The table background is used to distinct mixtures of different compositions in terms of fuel and hydrogen content.
Table A1.
Summary table of experiments conducted in SDT-2 facility with air mixtures of unitary and binary fuels. The table background is used to distinct mixtures of different compositions in terms of fuel and hydrogen content.
| Gas | XH2 | Φ | Xf1 | Xf2 | Xf | Df,in | Mode | DCJ | DSW1 | DSW2 | LDDT | TDDT |
|---|---|---|---|---|---|---|---|---|---|---|---|---|
| % | % | % | % | m/s | *) | m/s | m/s | m/s | m | ms | ||
| CH4 | 0 | 0.7 | 6.83 | — | 6.83 | 152 ± 4 | F | 1655 | 374 ± 127 | 468 ± 23 | – | – |
| CH4 | 0 | 0.8 | 7.73 | — | 7.73 | 573 ± 76 | D/F | 1718 | 1567 ± 27 | 1162 ± 104 | 4.04 | 19.38 |
| CH4 | 0 | 0.9 | 8.61 | — | 8.61 | 707 ± 45 | D/F | 1766 | 1611 ± 9 | 1245 ± 145 | 2.44 | 14.18 |
| CH4 | 0 | 1 | 9.48 | — | 9.48 | 671 ± 18 | D | 1802 | 1644 ± 10 | 1720 ± 16 | 2.55 | 13.62 |
| CH4 | 10 | 0.7 | 6.61 | 0.73 | 7.34 | 247 ± 117 | F | 1659 | 539 ± 368 | 496 ± 5 | – | – |
| CH4 | 10 | 1 | 9.15 | 1.02 | 10.17 | 819 ± 29 | D | 1806 | 1642 ± 24 | 1773 ± 33 | 2.43 | 12.13 |
| CH4 | 20 | 0.7 | 6.35 | 1.59 | 7.94 | 346 ± 44 | F | 1664 | 840 ± 72 | 1067 ± 70 | – | – |
| CH4 | 20 | 1 | 8.7 | 2.18 | 10.88 | 909 ± 32 | D | 1811 | 1645 ± 9 | 1730 ± 17 | 2.47 | 10.92 |
| CH4 | 30 | 0.7 | 6.05 | 2.59 | 8.64 | 547 ± 34 | D/F | 1669 | 1528 ± 33 | 1150 ± 97 | 4.33 | 18.60 |
| CH4 | 30 | 1 | 8.34 | 3.57 | 11.91 | 880 ± 31 | D | 1818 | 1655 ± 4 | 1796 ± 45 | 2.48 | 9.89 |
| CH4 | 40 | 0.6 | 4.94 | 3.30 | 8.24 | 172 ± 23 | F | 1598 | 433 ± 24 | 489 ± 10 | – | – |
| CH4 | 40 | 0.7 | 5.69 | 3.79 | 9.48 | 755 ± 36 | D/F | 1675 | 1535 ± 16 | 1201 ± 93 | 2.55 | 13.78 |
| CH4 | 40 | 1 | 7.81 | 5.21 | 13.02 | 798 ± 20 | D | 1825 | 1667 ± 7 | 1779 ± 26 | 2.57 | 8.73 |
| CH4 | 50 | 0.58 | 4.43 | 4.43 | 8.86 | 308 ± 72 | F | 1588 | 664 ± 161 | 807 ± 34 | – | – |
| CH4 | 50 | 0.6 | 4.57 | 4.57 | 9.14 | 496 ± 10 | D/F | 1606 | 1461 ± 371 | 1546 ± 20 | 5.24 | 20.83 |
| CH4 | 50 | 0.62 | 4.71 | 4.71 | 9.42 | 580 ± 25 | D/F | 1622 | 1505 ± 2 | 1153 ± 141 | 3.90 | 17.71 |
| CH4 | 50 | 0.64 | 4.84 | 4.84 | 9.68 | 672 ± 29 | D/F | 1638 | 1493 ± 7 | 1191 ± 97 | 2.66 | 14.88 |
| CH4 | 50 | 0.66 | 4.98 | 4.98 | 9.96 | 798 ± 28 | D | 1654 | 1499 ± 7 | 1589 ± 14 | 2.75 | 13.82 |
| CH4 | 50 | 0.7 | 5.25 | 5.25 | 10.50 | 818 ± 28 | D | 1683 | 1544 ± 5 | 1635 ± 26 | 2.68 | 11.86 |
| CH4 | 50 | 1 | 7.18 | 7.18 | 14.36 | 769 ± 10 | D | 1835 | 1681 ± 12 | 1771 ± 16 | 2.50 | 7.71 |
| CH4 | 60 | 0.5 | 3.48 | 5.21 | 8.69 | 151 ± 80 | F | 1521 | 439 ± 94 | 426 ± 10 | – | – |
| CH4 | 60 | 0.52 | 3.60 | 5.41 | 9.01 | 172 ± 26 | F | 1541 | 429 ± 13 | 454 ± 4 | – | – |
| CH4 | 60 | 0.54 | 3.73 | 5.60 | 9.33 | 210 ± 13 | F | 1561 | 529 ± 41 | 508 ± 13 | – | – |
| CH4 | 60 | 0.56 | 3.86 | 5.78 | 9.64 | 523 ± 23 | D | 1580 | 1423 ± 113 | 1553 ± 24 | 5.25 | 21.30 |
| CH4 | 60 | 0.58 | 3.98 | 5.97 | 9.95 | 637 ± 4 | D/F | 1598 | 1464 ± 23 | 1252 ± 114 | 3.56 | 17.18 |
| CH4 | 60 | 0.6 | 4.10 | 6.16 | 10.26 | 806 ± 179 | D/F | 1615 | 1469 ± 13 | 1414 ± 83 | 2.89 | 14.80 |
| CH4 | 60 | 0.62 | 4.22 | 6.34 | 10.56 | 848 ± 56 | D | 1632 | 1488 ± 24 | 1554 ± 9 | 2.71 | 13.35 |
| CH4 | 60 | 0.64 | 4.34 | 6.52 | 10.86 | 789 ± 31 | D | 1648 | 1501 ± 20 | 1585 ± 10 | 2.77 | 12.44 |
| CH4 | 60 | 0.7 | 4.70 | 7.06 | 11.76 | 711 ± 10 | D | 1693 | 1548 ± 12 | 1676 ± 48 | 2.95 | 10.46 |
| CH4 | 60 | 0.8 | 5.29 | 7.93 | 13.22 | 725 ± 8 | D | 1757 | 1608 ± 5 | 1709 ± 19 | 2.57 | 8.09 |
| CH4 | 60 | 0.9 | 5.85 | 8.78 | 14.63 | 767 ± 58 | D | 1808 | 1668 ± 30 | 1762 ± 14 | 2.36 | 6.88 |
| CH4 | 60 | 1 | 6.40 | 9.60 | 16.00 | 767 ± 8 | D | 1847 | 1694 ± 8 | 1768 ± 18 | 2.33 | 6.58 |
| CH4 | 70 | 0.48 | 2.87 | 6.71 | 9.58 | 165 ± 51 | F | 1512 | 469 ± 8 | 465 ± 4 | – | – |
| CH4 | 70 | 0.5 | 2.98 | 6.95 | 9.93 | 423 ± 79 | D | 1533 | 903 ± 19 | 1546 ± 64 | 5.61 | 23.68 |
| CH4 | 70 | 0.54 | 3.19 | 7.45 | 10.64 | 700 ± 14 | D/F | 1573 | 1442 ± 0 | 1260 ± 95 | 2.88 | 15.60 |
| CH4 | 70 | 0.6 | 3.50 | 8.18 | 11.68 | 672 ± 9 | D/F | 1627 | 1485 ± 9 | 1439 ± 76 | 2.88 | 11.96 |
| CH4 | 70 | 0.7 | 4.02 | 9.37 | 13.39 | 714 ± 16 | D | 1706 | 1570 ± 3 | 1635 ± 14 | 2.58 | 8.33 |
| CH4 | 70 | 1 | 5.42 | 12.65 | 18.07 | 753 ± 24 | D | 1863 | 1723 ± 7 | 1813 ± 9 | 2.24 | 5.49 |
| CH4 | 80 | 0.40 | 1.90 | 7.58 | 9.48 | 85 ± 3 | F | 1435 | 455 ± 58 | 412 ± 9 | – | – |
| CH4 | 80 | 0.42 | 1.98 | 7.93 | 9.91 | 68 ± 6 | F | 1459 | 433 ± 9 | 434 ± 6 | – | – |
| CH4 | 80 | 0.44 | 2.07 | 8.26 | 10.33 | 226 ± 22 | F | 1483 | 525 ± 23 | 498 ± 5 | – | – |
| CH4 | 80 | 0.46 | 2.15 | 8.60 | 10.75 | 502 ± 28 | D/F | 1506 | 1401 ± 20 | 998 ± 84 | 4.66 | 21.15 |
| CH4 | 80 | 0.5 | 2.32 | 9.26 | 11.58 | 759 ± 75 | D/F | 1549 | 1419 ± 14 | 1359 ± 77 | 2.69 | 14.60 |
| CH4 | 80 | 0.54 | 2.48 | 9.91 | 12.39 | 689 ± 23 | D/F | 1589 | 1456 ± 9 | 1429 ± 68 | 2.99 | 12.14 |
| CH4 | 80 | 0.56 | 2.56 | 10.23 | 12.79 | 685 ± 17 | D | 1608 | 1478 ± 7 | 1537 ± 12 | 2.76 | 10.93 |
| CH4 | 80 | 0.6 | 2.72 | 10.86 | 13.58 | 658 ± 10 | D | 1644 | 1512 ± 4 | 1584 ± 10 | 2.60 | 9.27 |
| CH4 | 80 | 0.7 | 3.10 | 12.39 | 15.49 | 669 ± 5 | D | 1724 | 1592 ± 6 | 1669 ± 8 | 2.29 | 6.75 |
| CH4 | 80 | 1 | 4.15 | 16.60 | 20.75 | 763 ± 15 | D | 1885 | 1748 ± 0 | 1813 ± 14 | 2.22 | 4.61 |
| CH4 | 90 | 0.36 | 1.04 | 9.36 | 10.40 | 38 ± 1 | F | 1403 | 394 ± 10 | 431 ± 5 | – | – |
| CH4 | 90 | 0.38 | 1.09 | 9.85 | 10.94 | 202 ± 78 | F | 1430 | 489 ± 52 | 497 ± 7 | – | – |
| CH4 | 90 | 0.40 | 1.14 | 10.28 | 11.42 | 513 ± 11 | D/F | 1456 | 1329 ± 7 | 960 ± 82 | 3.93 | 21.40 |
| CH4 | 90 | 0.42 | 1.19 | 10.73 | 11.92 | 714 ± 23 | D/F | 1481 | 1348 ± 6 | 1025 ± 82 | 2.94 | 17.31 |
| CH4 | 90 | 0.44 | 1.24 | 11.18 | 12.42 | 720 ± 14 | D/F | 1505 | 1372 ± 16 | 1055 ± 78 | 2.88 | 15.17 |
| CH4 | 90 | 0.46 | 1.29 | 11.61 | 12.90 | 638 ± 16 | D/F | 1528 | 1403 ± 0 | 1277 ± 71 | 3.06 | 13.79 |
| CH4 | 90 | 0.48 | 1.34 | 12.06 | 13.40 | 635 ± 5 | D/F | 1550 | 1421 ± 3 | 1400 ± 47 | 3.01 | 12.39 |
| CH4 | 90 | 0.5 | 1.39 | 12.49 | 13.88 | 657 ± 16 | D | 1572 | 1439 ± 7 | 1501 ± 4 | 2.93 | 11.16 |
| CH4 | 90 | 0.7 | 1.84 | 16.57 | 18.41 | 731 ± 27 | D | 1750 | 1622 ± 3 | 1664 ± 25 | 2.24 | 5.51 |
| CH4 | 90 | 1 | 2.44 | 21.93 | 24.37 | 1407 ± 131 | D | 1917 | 1791 ± 5 | 1855 ± 18 | 1.33 | 3.08 |
| C2H4 | 0 | 0.7 | 4.66 | — | 4.66 | 775 ± 48 | D | 1692 | 1570 ± 9 | 1664 ± 9 | 2.24 | 12.97 |
| C2H4 | 0 | 1 | 6.53 | — | 6.53 | 1407 ± 194 | D | 1822 | 1703 ± 3 | 1824 ± 5 | 1.32 | 6.01 |
| C2H4 | 10 | 0.7 | 4.55 | 0.51 | 5.06 | 791 ± 36 | D | 1694 | 1566 ± 13 | 1662 ± 8 | 2.38 | 12.49 |
| C2H4 | 10 | 1 | 6.37 | 0.71 | 7.08 | 1464 ± 29 | D | 1825 | 1706 ± 8 | 1825 ± 8 | 1.32 | 5.74 |
| C2H4 | 20 | 0.7 | 1.43 | 1.11 | 5.54 | 737 ± 22 | D | 1696 | 1572 ± 5 | 1679 ± 5 | 2.28 | 11.47 |
| C2H4 | 20 | 1 | 6.18 | 1.55 | 7.73 | 1305 ± 163 | D | 1828 | 1705 ± 0 | 1813 ± 1 | 1.35 | 5.57 |
| C2H4 | 30 | 0.7 | 4.28 | 1.84 | 6.12 | 740 ± 21 | D | 1699 | 1570 ± 1 | 1666 ± 3 | 2.39 | 10.86 |
| C2H4 | 30 | 1 | 5.96 | 2.56 | 8.52 | 1350 ± 75 | D | 1831 | 1710 ± 3 | 1817 ± 5 | 1.34 | 5.29 |
| C2H4 | 40 | 0.7 | 4.1 | 2.73 | 6.83 | 724 ± 9 | D | 1702 | 1572 ± 12 | 1664 ± 8 | 2.28 | 10.12 |
| C2H4 | 40 | 1 | 5.69 | 3.79 | 9.48 | 1188 ± 290 | D | 1836 | 1714 ± 6 | 1836 ± 6 | 1.37 | 5.10 |
| C2H4 | 50 | 0.5 | 2.82 | 2.82 | 5.65 | 218 ± 11 | F | 1542 | 521 ± 45 | 489 ± 5 | – | – |
| C2H4 | 50 | 0.7 | 3.86 | 3.86 | 7.73 | 708 ± 25 | D | 1706 | 1581 ± 5 | 1684 ± 7 | 2.25 | 9.26 |
| C2H4 | 50 | 1 | 5.34 | 5.34 | 10.7 | 1276 ± 85 | D | 1842 | 1721 ± 5 | 1837 ± 5 | 1.35 | 4.74 |
| C2H4 | 60 | 0.46 | 2.41 | 3.62 | 6.04 | 122 ± 33 | F | 1519 | 437 ± 85 | 452 ± 17 | – | – |
| C2H4 | 60 | 0.48 | 2.51 | 3.77 | 6.28 | 196 ± 55 | F | 1526 | 406 ± 32 | 456 ± 27 | – | – |
| C2H4 | 60 | 0.5 | 2.61 | 3.92 | 6.53 | 408 ± 88 | D | 1547 | 1454 ± 33 | 1580 ± 41 | 4.26 | 25.82 |
| C2H4 | 60 | 0.52 | 2.70 | 4.06 | 6.76 | 570 ± 9 | D | 1567 | 1448 ± 4 | 1489 ± 13 | 2.72 | 20.38 |
| C2H4 | 60 | 0.54 | 2.81 | 4.21 | 7.02 | 744 ± 28 | D | 1586 | 1469 ± 5 | 1513 ± 10 | 2.47 | 16.92 |
| C2H4 | 60 | 0.7 | 3.56 | 5.34 | 8.90 | 707 ± 37 | D | 1712 | 1585 ± 6 | 1694 ± 3 | 2.24 | 8.36 |
| C2H4 | 60 | 1 | 4.90 | 7.35 | 12.25 | 1168 ± 189 | D | 1850 | 1732 ± 2 | 1843 ± 15 | 1.37 | 4.42 |
| C2H4 | 70 | 0.44 | 2.06 | 4.81 | 6.87 | 126 ± 9 | F | 1488 | 476 ± 20 | 507 ± 24 | – | – |
| C2H4 | 70 | 0.46 | 2.15 | 5.01 | 7.16 | 243 ± 42 | F | 1511 | 480 ± 32 | 490 ± 6 | – | – |
| C2H4 | 70 | 0.48 | 2.23 | 5.21 | 7.44 | 453 ± 73 | D | 1556 | 1437 ± 17 | 1496 ± 15 | 4.53 | 24.14 |
| C2H4 | 70 | 0.5 | 2.32 | 5.40 | 7.72 | 647 ± 15 | D | 1553 | 1439 ± 7 | 1505 ± 35 | 2.61 | 18.58 |
| C2H4 | 70 | 0.54 | 2.49 | 5.81 | 8.30 | 736 ± 20 | D | 1592 | 1471 ± 10 | 1585 ± 46 | 2.58 | 14.51 |
| C2H4 | 70 | 0.56 | 2.57 | 6.01 | 8.58 | 737 ± 56 | D | 1610 | 1493 ± 6 | 1585 ± 19 | 2.60 | 13.00 |
| C2H4 | 70 | 0.58 | 2.66 | 6.20 | 8.85 | 744 ± 42 | D | 1628 | 1516 ± 7 | 1630 ± 13 | 2.58 | 11.49 |
| C2H4 | 70 | 0.7 | 3.15 | 7.34 | 10.49 | 767 ± 49 | D | 1720 | 1593 ± 4 | 1654 ± 20 | 2.24 | 7.54 |
| C2H4 | 70 | 1 | 4.30 | 10.03 | 14.33 | 1406 ± 129 | D | 1862 | 1742 ± 3 | 1846 ± 7 | 1.33 | 4.02 |
| C2H4 | 70 | 1.4 | 5.70 | 13.30 | 19.00 | 1445 ± 108 | D | 1935 | 1803 ± 8 | 1905 ± 6 | 1.33 | 4.85 |
| C2H4 | 80 | 0.42 | 1.62 | 6.47 | 8.09 | 125 ± 5 | F | 1473 | 466 ± 23 | 445 ± 7 | – | – |
| C2H4 | 80 | 0.44 | 1.69 | 6.75 | 8.44 | 467 ± 48 | D | 1497 | 1399 ± 37 | 1447 ± 18 | 4.69 | 24.10 |
| C2H4 | 80 | 0.46 | 1.76 | 7.03 | 8.79 | 569 ± 21 | D | 1519 | 1398 ± 2 | 1485 ± 23 | 3.12 | 20.15 |
| C2H4 | 80 | 0.48 | 1.83 | 7.30 | 9.13 | 775 ± 24 | D | 1541 | 1418 ± 8 | 1435 ± 22 | 2.53 | 16.36 |
| C2H4 | 80 | 0.5 | 1.90 | 7.58 | 9.48 | 748 ± 51 | D | 1562 | 1429 ± 65 | 1533 ± 30 | 2.58 | 14.75 |
| C2H4 | 80 | 0.54 | 2.03 | 8.14 | 10.17 | 690 ± 49 | D | 1601 | 1479 ± 6 | 1630 ± 46 | 2.61 | 11.94 |
| C2H4 | 80 | 0.7 | 2.56 | 10.22 | 12.78 | 698 ± 11 | D | 1731 | 1601 ± 9 | 1674 ± 13 | 2.24 | 6.68 |
| C2H4 | 80 | 1 | 3.46 | 13.86 | 17.32 | 1483 ± 34 | D | 1879 | 1759 ± 4 | 1839 ± 13 | 1.32 | 3.55 |
| C2H4 | 90 | 0.38 | 0.96 | 8.63 | 9.59 | 166 ± 50 | F | 1436 | 441 ± 5 | 457 ± 21 | – | – |
| C2H4 | 90 | 0.4 | 1.00 | 9.04 | 10.05 | 446 ± 62 | D/F | 1462 | 1342 ± 6 | 976 ± 44 | 3.82 | 22.71 |
| C2H4 | 90 | 0.42 | 1.05 | 9.45 | 10.50 | 664 ± 28 | D/F | 1487 | 1362 ± 4 | 1062 ± 40 | 2.77 | 18.18 |
| C2H4 | 90 | 0.44 | 1.09 | 9.85 | 10.94 | 693 ± 21 | D/F | 1497 | 1389 ± 2 | 1477 ± 35 | 2.64 | 15.65 |
| C2H4 | 90 | 0.46 | 1.14 | 10.26 | 11.40 | 660 ± 34 | D | 1519 | 1403 ± 0 | 1454 ± 15 | 2.97 | 14.44 |
| C2H4 | 90 | 0.48 | 1.19 | 10.73 | 11.92 | 643 ± 33 | D | 1556 | 1428 ± 7 | 1541 ± 41 | 2.81 | 12.14 |
| C2H4 | 90 | 0.5 | 1.22 | 11.02 | 12.24 | 652 ± 10 | D | 1577 | 1453 ± 0 | 1518 ± 21 | 2.66 | 11.28 |
| C2H4 | 90 | 0.7 | 1.64 | 14.73 | 16.37 | 780 ± 71 | D | 1751 | 1624 ± 9 | 1768 ± 26 | 2.23 | 5.46 |
| C2H4 | 90 | 1 | 2.18 | 19.65 | 21.83 | 1513 ± 88 | D | 1908 | 1774 ± 6 | 1892 ± 4 | 0.62 | 2.63 |
| C3H8 | 0 | 0.7 | 2.85 | — | 2.85 | 285 ± 92 | F | 1660 | 624 ± 74 | 625 ± 60 | – | – |
| C3H8 | 0 | 0.71 | 2.89 | — | 2.89 | 383 ± 80 | F+D | 1667 | 917 ± 0 | 1669 ± 69 | 5.80 | 44.93 |
| C3H8 | 0 | 0.72 | 2.93 | — | 2.93 | 352 ± 78 | D | 1673 | 1635 ± 40 | 1633 ± 17 | 5.14 | 44.31 |
| C3H8 | 0 | 0.74 | 3.01 | — | 3.01 | 528 ± 37 | D | 1686 | 1561 ± 13 | 1669 ± 20 | 3.32 | 31.43 |
| C3H8 | 0 | 0.76 | 3.09 | — | 3.09 | 560 ± 27 | D | 1697 | 1571 ± 5 | 1684 ± 20 | 2.58 | 25.52 |
| C3H8 | 0 | 0.8 | 3.24 | — | 3.24 | 690 ± 17 | D | 1719 | 1591 ± 4 | 1674 ± 15 | 2.31 | 20.76 |
| C3H8 | 0 | 1 | 4.02 | — | 4.02 | 874 ± 25 | D | 1798 | 1660 ± 0 | 1773 ± 12 | 2.22 | 11.75 |
| C3H8 | 10 | 0.7 | 2.81 | 0.31 | 3.12 | 336 ± 46 | D | 1662 | 1430 ± 184 | 1638 ± 17 | 4.62 | 39.42 |
| C3H8 | 10 | 1 | 3.96 | 0.44 | 4.40 | 830 ± 33 | D | 1800 | 1664 ± 3 | 1779 ± 6 | 2.22 | 11.30 |
| C3H8 | 20 | 0.7 | 2.76 | 0.69 | 3.45 | 447 ± 52 | D | 1663 | 1540 ± 11 | 1676 ± 46 | 3.98 | 33.67 |
| C3H8 | 20 | 1 | 3.89 | 0.97 | 4.86 | 817 ± 28 | D | 1802 | 1667 ± 4 | 1786 ± 9 | 2.23 | 10.80 |
| C3H8 | 30 | 0.7 | 2.7 | 1.16 | 3.86 | 543 ± 76 | D | 1665 | 1537 ± 10 | 1676 ± 21 | 3.34 | 26.95 |
| C3H8 | 30 | 1 | 3.8 | 1.63 | 5.43 | 800 ± 21 | D | 1805 | 1668 ± 6 | 1779 ± 7 | 2.24 | 10.15 |
| C3H8 | 40 | 0.7 | 2.63 | 1.75 | 4.38 | 523 ± 19 | D | 1668 | 1545 ± 13 | 1694 ± 38 | 2.58 | 22.51 |
| C3H8 | 40 | 1 | 3.69 | 2.46 | 6.15 | 774 ± 10 | D | 1809 | 1670 ± 0 | 1802 ± 11 | 2.24 | 9.60 |
| C3H8 | 50 | 0.7 | 2.53 | 2.53 | 5.06 | 669 ± 30 | D | 1672 | 1547 ± 4 | 1674 ± 35 | 2.53 | 19.34 |
| C3H8 | 50 | 1 | 3.54 | 3.54 | 7.08 | 772 ± 10 | D | 1814 | 1678 ± 6 | 1825 ± 20 | 2.22 | 8.82 |
| C3H8 | 60 | 0.5 | 1.74 | 2.62 | 4.36 | – | X | 1510 | – | – | – | – |
| C3H8 | 60 | 0.58 | 2.01 | 3.01 | 5.02 | 219 ± 43 | F | 1585 | 443 ± 68 | 479 ± 8 | – | – |
| C3H8 | 60 | 0.6 | 2.07 | 3.11 | 5.18 | 293 ± 62 | F | 1602 | 624 ± 192 | 821 ± 56 | – | – |
| C3H8 | 60 | 0.62 | 2.14 | 3.21 | 5.35 | 475 ± 56 | D | 1618 | 1429 ± 7 | 1563 ± 10 | 4.13 | 27.47 |
| C3H8 | 60 | 0.7 | 2.40 | 3.60 | 6.00 | 814 ± 14 | D | 1677 | 1554 ± 0 | 1735 ± 54 | 2.22 | 15.88 |
| C3H8 | 60 | 1 | 3.34 | 5.01 | 8.35 | 773 ± 21 | D | 1820 | 1687 ± 3 | 1825 ± 17 | 2.22 | 8.07 |
| C3H8 | 70 | 0.5 | 1.61 | 3.75 | 5.36 | 42 ± 5 | F | 1517 | 356 ± 10 | 356 ± 2 | – | – |
| C3H8 | 70 | 0.6 | 1.91 | 4.45 | 6.36 | 563 ± 8 | D | 1609 | 1445 ± 75 | 1550 ± 19 | 3.94 | 23.25 |
| C3H8 | 70 | 0.7 | 2.20 | 5.14 | 7.34 | 766 ± 10 | D | 1685 | 1543 ± 4 | 1709 ± 49 | 2.56 | 14.03 |
| C3H8 | 70 | 1 | 3.05 | 7.12 | 10.17 | 773 ± 30 | D | 1830 | 1698 ± 4 | 1819 ± 6 | 2.23 | 7.16 |
| C3H8 | 80 | 0.5 | 1.39 | 5.57 | 6.96 | 134 ± 36 | F | 1528 | 408 ± 13 | 455 ± 10 | – | – |
| C3H8 | 80 | 0.52 | 1.44 | 5.78 | 7.22 | 200 ± 25 | F | 1548 | 505 ± 38 | 498 ± 6 | – | – |
| C3H8 | 80 | 0.53 | 1.47 | 5.88 | 7.35 | 402 ± 47 | D | 1558 | 1461 ± 27 | 1517 ± 12 | 4.71 | 25.96 |
| C3H8 | 80 | 0.54 | 1.50 | 5.98 | 7.48 | 465 ± 63 | D | 1567 | 1480 ± 15 | 1559 ± 30 | 4.73 | 24.46 |
| C3H8 | 80 | 0.6 | 1.65 | 6.59 | 8.24 | 805 ± 41 | D | 1621 | 1500 ± 6 | 1576 ± 10 | 2.28 | 15.10 |
| C3H8 | 80 | 0.7 | 1.90 | 7.58 | 9.48 | 721 ± 10 | D | 1698 | 1568 ± 3 | 1635 ± 12 | 2.57 | 10.49 |
| C3H8 | 80 | 1 | 2.60 | 10.42 | 13.02 | 763 ± 34 | D | 1846 | 1718 ± 0 | 1813 ± 25 | 2.23 | 6.11 |
| C3H8 | 90 | 0.42 | 0.85 | 7.63 | 8.48 | 106 ± 10 | F | 1460 | 399 ± 24 | 432 ± 3 | – | – |
| C3H8 | 90 | 0.44 | 0.88 | 7.96 | 8.84 | 143 ± 32 | F | 1484 | 435 ± 24 | 465 ± 10 | – | – |
| C3H8 | 90 | 0.46 | 0.92 | 8.29 | 9.21 | 513 ± 28 | D/F | 1506 | 1409 ± 39 | 1072 ± 85 | 4.20 | 23.34 |
| C3H8 | 90 | 0.48 | 0.96 | 8.61 | 9.57 | 622 ± 12 | D | 1528 | 1404 ± 4 | 1466 ± 10 | 2.86 | 18.83 |
| C3H8 | 90 | 0.5 | 0.99 | 8.94 | 9.93 | 743 ± 24 | D | 1549 | 1430 ± 8 | 1529 ± 30 | 2.53 | 16.02 |
| C3H8 | 90 | 0.6 | 1.16 | 10.52 | 11.68 | 700 ± 28 | D | 1644 | 1520 ± 4 | 1616 ± 14 | 2.58 | 10.18 |
| C3H8 | 90 | 0.7 | 1.34 | 12.03 | 13.37 | 708 ± 34 | D | 1722 | 1598 ± 9 | 1704 ± 9 | 2.26 | 7.22 |
| C3H8 | 90 | 1 | 1.81 | 16.26 | 18.07 | 1061 ± 88 | D | 1878 | 1749 ± 11 | 1813 ± 15 | 1.50 | 4.19 |
| — | 100 | 0.295 | — | 11 | 11 | –**) | F | 1337 | 437 ± 17 | 425 ± 7 | – | – |
| — | 100 | 0.310 | — | 11.5 | 11.5 | –**) | F | 1362 | 463 ± 6 | 447 ± 6 | – | – |
| — | 100 | 0.326 | — | 12 | 12 | 339 ± 94 | D/F | 1385 | 1237 ± 35 | 964 ± 53 | 3.97 | 24.66 |
| — | 100 | 0.357 | — | 13 | 13 | 740 ± 88 | D/F | 1431 | 1289 ± 19 | 977 ± 69 | 3.06 | 18.29 |
| — | 100 | 0.36 | — | 13.11 | 13.11 | 642 ± 33 | D/F | 1434 | 1300 ± 12 | 982 ± 70 | 3.04 | 17.63 |
| — | 100 | 0.38 | — | 13.73 | 13.73 | 583 ± 9 | D/F | 1462 | 1336 ± 18 | 1008 ± 97 | 3.14 | 15.39 |
| — | 100 | 0.4 | — | 14.35 | 14.35 | 509 ± 16 | D/F | 1488 | 1361 ± 6 | 1114 ± 60 | 3.11 | 13.74 |
| — | 100 | 0.42 | — | 14.96 | 14.96 | 548 ± 32 | D/F | 1514 | 1383 ± 10 | 1434 ± 26 | 3.04 | 12.03 |
| — | 100 | 0.44 | — | 15.57 | 15.57 | 505 ± 95 | D/F | 1539 | 1411 ± 7 | 1448 ± 68 | 3.01 | 10.89 |
| — | 100 | 0.46 | — | 16.16 | 16.16 | 548 ± 50 | D | 1562 | 1444 ± 10 | 1521 ± 20 | 2.68 | 9.39 |
| — | 100 | 0.48 | — | 16.74 | 16.74 | 572 ± 35 | D | 1585 | 1461 ± 5 | 1531 ± 9 | 2.61 | 8.68 |
| — | 100 | 0.5 | — | 17.32 | 17.32 | 632 ± 40 | D | 1607 | 1487 ± 21 | 1551 ± 17 | 2.56 | 7.87 |
| — | 100 | 0.6 | — | 20.09 | 20.09 | 1194 ± 40 | D | 1707 | 1585 ± 32 | 1690 ± 27 | 1.60 | 4.83 |
| — | 100 | 0.7 | — | 22.68 | 22.68 | 1349 ± 51 | D | 1791 | 1677 ± 18 | 1772 ± 39 | 1.34 | 3.64 |
| — | 100 | 1 | — | 29.57 | 29.57 | 1759 ± 36 | D | 1967 | 1858 ± 13 | 1960 ± 23 | 0.62 | 2.05 |
*) Propagation mode of the reaction wave: X—no ignition, F—flame, D—detonation, D/F—detonation in the helical tube section and detonation decay in the measuring section, F + D—flame in some shots and detonation in other shots (limiting mode), Xf1—volume fraction of fuel 1 in the fuel-air mixture, Xf2—volume fraction of fuel 2 in the fuel-air mixture, Xf—volume fraction of fuel in the fuel-air mixture (Xf = Xf1 + Xf2), XH2—volume fraction of hydrogen in the binary fuel (CnHm + H2), Df,in—the apparent propagation velocity of the reaction front at the entrance to the helical tube section with the root-mean-square deviation in three shots, DCJ—CJ detonation velocity, DSW1—steady-state detonation velocity in the helical tube section, DSW2—steady-state detonation velocity in the measuring section, LDDT—FDDT run-up distance (mean value over three shots), TDDT—FDDT run-up time (mean value over three shots). **) Flame propagates with acoustic effect; however, flame is not registered by IPs.
References
- Bone, W.A.; Fraser, R.P. A photographic investigation of flame movements in carbonic oxide-oxygen explosions. Philos. Trans. R. Soc. London. Ser. A Contain. Pap. A Math. Or Phys. Character 1929, 228, 197–234. [Google Scholar] [CrossRef]
- Zel’dovich, Y.B. The Theory of Combustion and Detonation of Gases; Academy of Sciences of the Soviet Union: Moscow, Russia, 1944. [Google Scholar]
- Oppenheim, A.K. Introduction to Gasdynamics of Explosions; Springer: New York, NY, USA, 1972. [Google Scholar]
- Shchelkin, K.I. Fast Combustion and Spinning Detonation of Gases; Voenizdat: Moscow, Russia, 1949. [Google Scholar]
- Lindstedt, R.P.; Michels, H.J. Deflagration to detonation transitions and strong deflagrations in alkane and alkene air mixtures. Combust. Flame 1989, 76, 169–181. [Google Scholar] [CrossRef]
- Sorin, R.; Zitoun, R.; Desbordes, D. Optimization of the deflagration to detonation transition: Reduction of length and time of transition. Shock Waves 2006, 15, 137–145. [Google Scholar] [CrossRef]
- Theodorczyk, A.; Lee, J.H.S.; Knystautas, R. Propagation Mechanism of Quasidetonations. Symp. Int. Combustion 1988, 22, 1723–1731. [Google Scholar] [CrossRef]
- Lee, J.H.S. The Detonation Phenomenon; The Cambridge University Press: New York, NY, USA, 2008. [Google Scholar]
- Feng, X.; Huang, X. Influence of variable blocking ratio on DDT process. Energies 2022, 15, 7706. [Google Scholar] [CrossRef]
- Frolov, S.M. Initiation of strong reactive shocks and detonation by traveling ignition pulses. J. Loss Prev. Process Ind. 2006, 19, 238–244. [Google Scholar] [CrossRef]
- Frolov, S.M. Fast deflagration-to-detonation transition. Russ. J. Phys. Chem. B 2008, 2, 442–455. [Google Scholar] [CrossRef]
- Frolov, S.M.; Semenov, I.V.; Komissarov, P.V.; Utkin, P.S.; Markov, V.V. Reduction of the deflagration-to-detonation transition distance and time in a tube with regular shaped obstacles. Doklady Phys. Chem. 2007, 415, 209–213. [Google Scholar] [CrossRef]
- Li, J.-M.; Teo, C.J.; Lim, K.S.; Wen, C.-S.; Khoo, B.C. Deflagration to detonation transition by hybrid obstacles in pulse detonation engines. In Proceedings of the 49th AIAA/ASME/SAE/ASEE Joint Propulsion Conference, San Jose, CA, USA, 14–17 July 2013; pp. 2013–3657. [Google Scholar] [CrossRef]
- Coates, A.M.; Mathias, D.L.; Cantwell, B.J. Numerical investigation of the effect of obstacle shape on deflagration to detonation transition in a hydrogen–air mixture. Combust. Flame 2019, 209, 278–290. [Google Scholar] [CrossRef]
- Xiao, H.; Oran, E.S. Flame acceleration and deflagration-to-detonation transition in hydrogen-air mixture in a channel with an array of obstacles of different shapes. Combust. Flame 2020, 220, 378–393. [Google Scholar] [CrossRef]
- Liu, Z.; Li, X.; Li, M.; Xiao, H. Flame acceleration and DDT in a channel with fence-type obstacles: Effect of obstacle shape and arrangement. Proc. Combust. Inst. 2022, in press. [Google Scholar] [CrossRef]
- Li, T.; Wang, X.; Xu, B.; Kong, F. An efficient approach to achieve flame acceleration and transition to detonation. Phys. Fluids 2021, 33, 056103. [Google Scholar] [CrossRef]
- Frolov, S.M.; Smetanyuk, V.A.; Aksenov, V.S.; Koval’, A.S. Deflagration-to-detonation transition in crossed-flow fast jets of propellant components. Doklady Phys. Chem. 2017, 476, 153–156. [Google Scholar] [CrossRef]
- Wang, Y.; Fan, W.; Li, S.; Zhang, Q.; Li, H. Numerical simulations of flame propagation and DDT in obstructed detonation tubes filled with fluidic obstacles. In Proceedings of the 21st AIAA International Space Planes and Hypersonics Technologies Conference, Xiamen, China, 6–9 March 2017; pp. 2017–2382. [Google Scholar]
- Peng, H.; Huang, Y.; Deiterding, R.; You, Y.; Luan, Z. Effects of transverse jet parameters on flame propagation and detonation transition in hydrogen–oxygen–argon mixture. Combust. Sci. Technol. 2019, 193, 1516–1537. [Google Scholar] [CrossRef]
- Starikovskaia, S. Plasma assisted ignition and combustion. J. Phys. D Appl. Phys. 2006, 39, R265–R299. [Google Scholar] [CrossRef]
- Zhukov, V.; Starikovskii, A. Effect of a nanosecond gas discharge on deflagration to detonation transition. Combust. Explos. Shock Waves 2006, 42, 195–204. [Google Scholar] [CrossRef]
- Gray, J.A.T.; Lacoste, D.A. Enhancement of the transition to detonation of a turbulent hydrogen–air flame by nanosecond repetitively pulsed plasma discharges. Combust. Flame 2019, 199, 258–266. [Google Scholar] [CrossRef]
- Ciccarelli, G.; de Witt, B. Detonation initiation by shock reflection from an orifice plate. Shock Waves 2006, 15, 259–265. [Google Scholar] [CrossRef]
- Frolov, S.M.; Aksenov, V.S. Initiation of gas detonation in a tube with a shaped obstacle. Doklady Phys. Chem. 2009, 427, 129–132. [Google Scholar] [CrossRef]
- Habicht, F.E.; Yücel, F.C.; Gray, J.A.; Paschereit, C.O. Detonation initiation by shock focusing at elevated pressure conditions in a pulse detonation combustor. Intern. J. Spray Combust. Dynamics 2020, 12, 175682772092171. [Google Scholar] [CrossRef]
- Frolov, S.M.; Shamshin, I.O.; Medvedev, S.N.; Dubrovskii, A.V. Initiation of detonation in a tube with a profiled central body. Dokl. Phys. Chem. 2011, 438, 114–117. [Google Scholar] [CrossRef]
- Frolov, S.M.; Aksenov, V.S.; Shamshin, I.O. Initiation of gaseous detonation in tubes with sharp U-bends. Dokl. Phys. Chem. 2007, 417, 22–25. [Google Scholar] [CrossRef]
- Frolov, S.M.; Aksenov, V.S.; Shamshin, I.O. Shock wave and detonation propagation through U-bend tubes. Proc. Combust. Inst. 2007, 31, 2421–2428. [Google Scholar] [CrossRef]
- Frolov, S.M.; Aksenov, V.S.; Shamshin, I.O. Propagation of shock and detonation waves in channels with U-shaped bends of limiting curvature. Russ. J. Phys. Chem. B 2008, 2, 759–774. [Google Scholar] [CrossRef]
- Gwak, M.-C.; Yoh, J.J. Effect of multi-bend geometry on deflagration to detonation transition of a hydrocarbon-air mixture in tubes. Int. J. Hydrogen Energy 2013, 38, 11446–11457. [Google Scholar] [CrossRef]
- Zheng, H.; Zhu, W.; Jia, X.; Zhao, N. Eulerian–Lagrangian modeling of deflagration to detonation transition in n-decane/oxygen/nitrogen mixtures. Phys. Fluids 2022, 34, 126110. [Google Scholar] [CrossRef]
- Pan, Z.; Zhang, Z.; Yang, H.; Gui, M.; Zhang, P.; Zhu, Y. Experimental and numerical investigation on flame propagation and transition to detonation in curved channel. Aerospace Sci. Technol. 2021, 118, 107036. [Google Scholar] [CrossRef]
- Gai, J.; Qiu, H.; Xiong, C.; Huang, Z. Experimental investigation on the propagation process of combustion wave in the annular channel filled with acetylene-air/oxygen mixture. Flow Turbul. Combust. 2022, 108, 797–817. [Google Scholar] [CrossRef]
- Frolov, S.M.; Basevich, V.Y.; Aksenov, V.S.; Polikhov, S.A. Optimization study of spray detonation initiation by electric discharge. Shock Waves 2005, 14, 175–186. [Google Scholar] [CrossRef]
- Frolov, S.M.; Aksenov, V.S.; Basevich, V.Y. Initiation of heterogeneous detonation in tubes with coils and Shchelkin spiral. High Temp. 2006, 44, 283–290. [Google Scholar] [CrossRef]
- Frolov, S.M.; Aksenov, V.S. Deflagration-to-detonation transition in a kerosene–air mixture. Doklady Phys. Chem. 2007, 416, 261–264. [Google Scholar] [CrossRef]
- Frolov, S.M.; Semenov, I.V.; Ahmedyanov, I.F.; Markov, V.V. Shock-to-Detonation Transition in Tube Coils. In Shock Waves: 26th International Symposium on Shock Waves; Hannemann, K., Seiler, F., Eds.; Springer: Berlin/Heidelberg, Germany, 2009; Volume 1, pp. 365–370. ISBN 978-3-540-85167-7. [Google Scholar]
- Frolov, S.M.; Basevich, V.Y.; Aksenov, V.S.; Polikhov, S.A. Detonation initiation by controlled triggering of electric discharges. J. Propuls. Power 2003, 19, 573–580. [Google Scholar] [CrossRef]
- Frolov, S.M.; Basevich, V.Y.; Aksenov, V.S.; Polikhov, S.A. Spray detonation initiation by controlled triggering of electric discharges. J. Propuls. Power 2005, 21, 54–64. [Google Scholar] [CrossRef]
- Frolov, S.M.; Basevich, V.Y.; Aksenov, V.S.; Polikhov, S.A. Initiation of gaseous detonation by a traveling forced ignition pulse. Doklady Phys. Chem. 2004, 394, 16–18. [Google Scholar]
- Frolov, S.M.; Basevich, V.Y.; Aksenov, V.S.; Polikhov, S.A. Initiation of gas detonation by a travelling ignition source. Russ. J. Chem. Phys. 2004, 23, 61–67. [Google Scholar]
- Ciccarelli, G.; Johansen, C.; Hickey, M. Flame acceleration enhancement by distributed ignition points. J. Propuls. Power 2005, 21, 1029–1034. [Google Scholar] [CrossRef]
- Frolov, S.M.; Aksenov, V.S.; Basevich, V.Y. Detonation initiation by shock wave interaction with the prechamber jet ignition zone. Doklady Phys. Chem. 2006, 410, 255–259. [Google Scholar] [CrossRef]
- Frolov, S.M.; Aksenov, V.S.; Basevich, V.Y. Shock-to-Detonation Transition Due to Shock Interaction with Prechamber-Jet Cloud. In Shock Waves: 26th Intern Symp. on Shock Waves; Hannemann, K., Seiler, F., Eds.; Springer: Berlin/Heidelberg, Germany, 2009; Volume 1, pp. 359–364. ISBN 978-3-540-85167-7. [Google Scholar]
- Frolov, S.M.; Zvegintsev, V.I.; Aksenov, V.S.; Bilera, I.V.; Kazachenko, M.V.; Shamshin, I.O.; Gusev, P.A.; Belotserkovskaya, M.S.; Koverzanova, E.V. Detonability of air mixtures of the polypropylene pyrolysis products. Combust. Explos. 2018, 11, 44–60. [Google Scholar] [CrossRef]
- Frolov, S.M.; Shamshin, I.O.; Aksenov, V.S.; Kazachenko, M.V.; Gusev, P.A. Ranking of gaseous fuel–air mixtures according to their detonability using a standard pulsed detonation tube. Combust. Explos. 2019, 12, 78–90. [Google Scholar] [CrossRef]
- Frolov, S.M.; Zvegintsev, V.I.; Shamshin, I.O.; Kazachenko, M.V.; Aksenov, V.S.; Bilera, I.V.; Semenov, I.V. Detonability of air mixtures of polyethylene pyrolysis products. Combust. Explos. 2020, 13, 48–61. [Google Scholar] [CrossRef]
- Frolov, S.M.; Zvegintsev, V.I.; Aksenov, V.S.; Bilera, I.V.; Kazachenko, M.V.; Shamshin, I.O.; Gusev, P.A.; Belotserkovskaya, M.S. Detonability of fuel–air mixtures. Shock Waves 2020, 30, 721–739. [Google Scholar] [CrossRef]
- Frolov, S.M.; Shamshin, I.O.; Kazachenko, M.V.; Aksenov, V.S.; Bilera, I.V.; Ivanov, V.S.; Zvegintsev, V.I. Polyethylene pyrolysis products: Their detonability in air and applicability to solid-fuel detonation ramjets. Energies 2021, 14, 820. [Google Scholar] [CrossRef]
- Shamshin, I.O.; Kazachenko, M.V.; Frolov, S.M.; Basevich, V.Y. Deflagration-to-detonation transition in air mixtures of hydrogen–methane fuel. Combust. Explos. 2020, 13, 60–75. [Google Scholar] [CrossRef]
- Shamshin, I.O.; Kazachenko, M.V.; Frolov, S.M.; Basevich, V.Y. Deflagration-to-detonation transition in stochiometric mixtures of the binary methane–hydrogen fuel with air. Int. J. Hydrog. Energy 2021, 46, 34046–34058. [Google Scholar] [CrossRef]
- Shamshin, I.O.; Kazachenko, M.V.; Frolov, S.M.; Basevich, V.Y. Deflagration-to-detonation transition in air mixtures of propane–hydrogen fuel. Combust. Explos. 2021, 14, 8–25. [Google Scholar] [CrossRef]
- Shamshin, I.O.; Kazachenko, M.V.; Frolov, S.M.; Basevich, V.Y. Deflagration-to-detonation transition in stochiometric propane–hydrogen–air mixtures. Fuels 2022, 3, 667–681. [Google Scholar] [CrossRef]
- Shamshin, I.O.; Kazachenko, M.V.; Frolov, S.M.; Basevich, V.Y. Deflagration-to-detonation transition in air mixtures of ethylene–hydrogen fuel. Combust. Explos. 2021, 14, 26–39. [Google Scholar] [CrossRef]
- Shamshin, I.O.; Kazachenko, M.V.; Frolov, S.M.; Basevich, V.Y. Transition of deflagration to detonation in ethylene-hydrogen-air mixtures. Int. J. Hydrogen Energy 2022, 47, 16676–16685. [Google Scholar] [CrossRef]
- Zhang, B. The influence of wall roughness on detonation limits in hydrogen–oxygen mixture. Combust. Flame 2016, 169, 333–339. [Google Scholar] [CrossRef]
- Zhang, B.; Liu, H. The effects of large scale perturbation-generating obstacles on the propagation of detonation filled with methane–oxygen mixture. Combust. Flame 2017, 182, 279–287. [Google Scholar] [CrossRef]
- Frolov, S.M.; Shamshin, I.O.; Aksenov, V.S.; Ivanov, V.S.; Vlasov, P.A. Ion sensors for pulsed and continuous detonation combustors. Chemosensors 2023, 11, 33. [Google Scholar] [CrossRef]
- Borisov, A.A.; Loban’, S.A. Detonation limits of hydrocarbon-air mixtures in tubes. Combust. Explos. Shock Waves 1977, 13, 618–621. [Google Scholar] [CrossRef]
- Borisov, A.A.; Gel’fand, B.E.; Loban’, S.A.; Mailkov, A.E.; Khomik, S.V. Detonation limits of fuel–air mixtures in smooth and rough tubes. Khim. Fiz. 1982, 2, 848–853. [Google Scholar]
- Nettleton, M.A. Gaseous Detonations: Their Nature, Effects and Control; Chapman and Hall: London, UK, 1987. [Google Scholar]
Disclaimer/Publisher’s Note: The statements, opinions and data contained in all publications are solely those of the individual author(s) and contributor(s) and not of MDPI and/or the editor(s). MDPI and/or the editor(s) disclaim responsibility for any injury to people or property resulting from any ideas, methods, instructions or products referred to in the content. |
© 2023 by the authors. Licensee MDPI, Basel, Switzerland. This article is an open access article distributed under the terms and conditions of the Creative Commons Attribution (CC BY) license (https://creativecommons.org/licenses/by/4.0/).














